Symmetric Element Stiffness and Symplectic Integration for Eringen’s Integral Nonlocal Rods: Static Response and Higher-Order Vibrations
Abstract
1. Introduction
- -
- We developed a kernel-agnostic symplectic (structure-preserving) integration algorithm for Eringen’s two-phase integral nonlocal rod model, based on belt-wise influence-domain discretization.
- -
- We established a symmetry-explicit stiffness construction for the discretized integral operator, together with a symmetry-oriented interpretation of the resulting nonlocal coupling pattern and its relation to symmetric near-boundary responses.
- -
- We performed benchmark validation against analytical and asymptotic results, with an emphasis on robustness for higher-order eigenfrequencies.
2. Nomenclature and Physical Quantities
3. Eringen’s Nonlocal Integral Elasticity
4. The Symplectic Method for Solving Integro-Differential Equations
5. Results
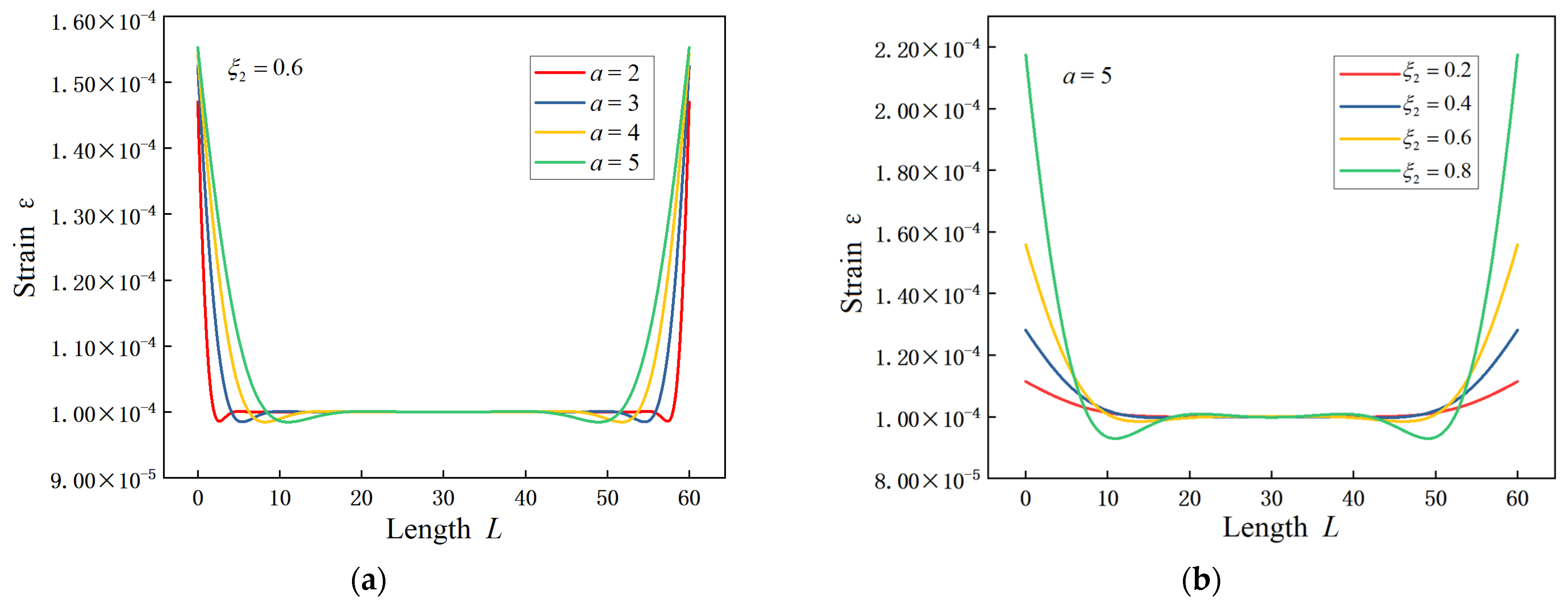
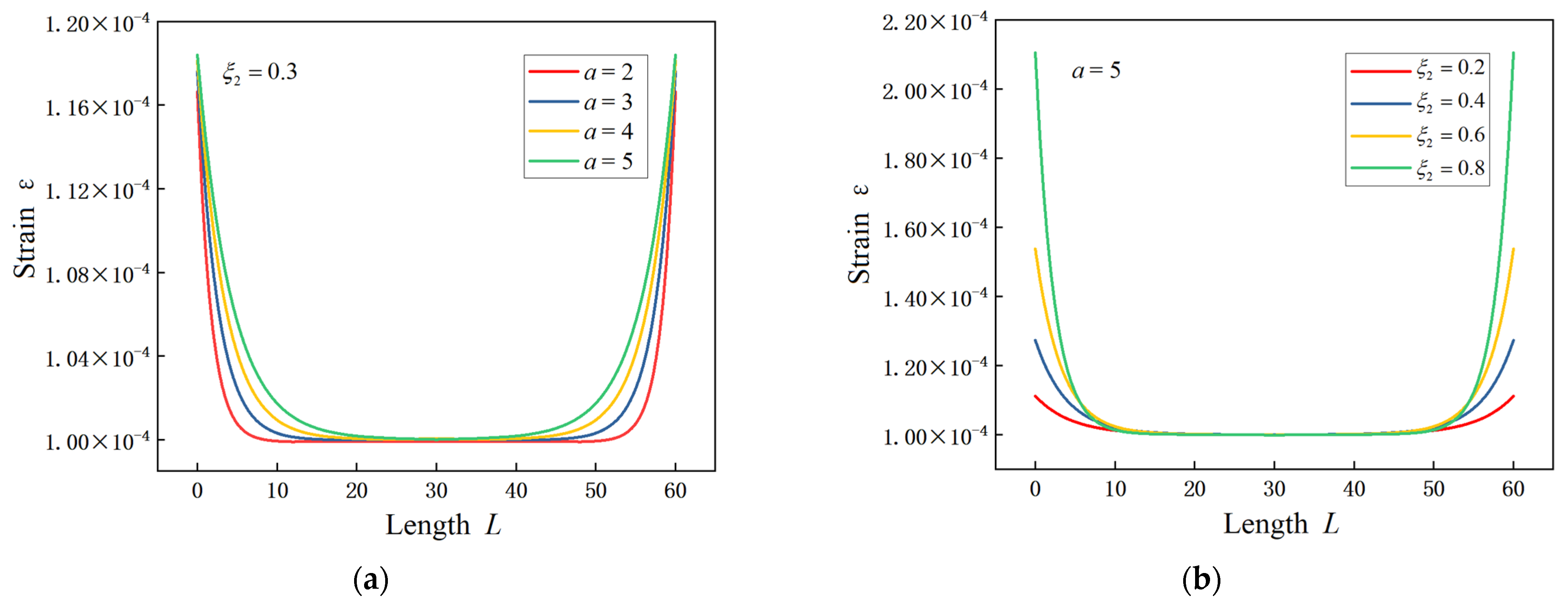
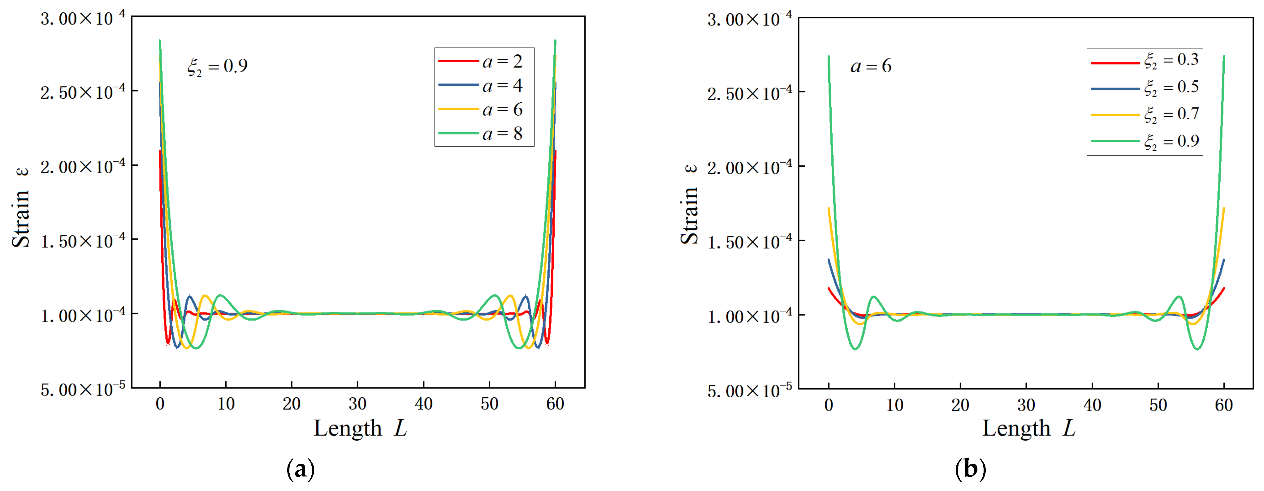
5.1. Static Calculations
5.2. Dynamic Calculations
6. Discussion
7. Conclusions
- (1)
- The transfer-matrix implementation reproduces the expected near-boundary behavior of integral nonlocality and converges under step refinement.
- (2)
- The discretized nonlocal stiffness exhibits an explicit symmetric splitting-and-separation structure (Equation (19)) that is independent of the specific kernel shape (kernel choice only enters the picture through scalar weights).
- (3)
- The present method remains stable for higher-order eigenfrequencies in regimes where asymptotic formulas can deviate substantially and may even yield nonphysical artifacts (e.g., negative values) at larger nonlocal parameters.
- (4)
- Overall, the formulation can be viewed as a symmetry-explicit discretization within a Hamiltonian setting: symmetry of the assembled discrete stiffness is made explicit for both local and nonlocal couplings and combined with a structure-preserving (symplectic) transfer operation, helping to prevent artificial decay or divergence in higher-order computations and supporting stable eigenfrequency predictions, in line with general structure-preserving viewpoints for conservative dynamics [26,30].
Author Contributions
Funding
Data Availability Statement
Acknowledgments
Conflicts of Interest
References
- Reddy, J. Nonlocal theories for bending, buckling and vibration of beams. Int. J. Eng. Sci. 2007, 45, 288–307. [Google Scholar] [CrossRef]
- Romano, G.; Barretta, R.; Diaco, M.; de Sciarra, F.M. Constitutive boundary conditions and paradoxes in nonlocal elastic nanobeams. Int. J. Mech. Sci. 2017, 121, 151–156. [Google Scholar] [CrossRef]
- Eltaher, M.A.; Khater, M.E.; Emam, S.A. A review on nonlocal elastic models for bending, buckling, vibrations, and wave propagation of nanoscale beams. Appl. Math. Model. 2016, 40, 4109–4128. [Google Scholar] [CrossRef]
- Barretta, R.; Faghidian, S.A.; Luciano, R. Longitudinal vibrations of nano-rods by stress-driven integral elasticity. Mech. Adv. Mater. Struct. 2019, 26, 1307–1315. [Google Scholar] [CrossRef]
- Barretta, R.; Čanadija, M.; Marotti de Sciarra, F. Modified Nonlocal Strain Gradient Elasticity for Nano-Rods and Application to Carbon Nanotubes. Appl. Sci. 2019, 9, 514. [Google Scholar] [CrossRef]
- Eringen, A.C. Theory of nonlocal elasticity and some applications. Res Mech. 1987, 21, 313–342. [Google Scholar]
- Qing, H. Size-dependent nonlinear forced vibration of microbeam using two-phase local/nonlocal viscoelastic integral model with thermal effects. J. Vib. Control. 2024, 30, 4421–4437. [Google Scholar] [CrossRef]
- Zhang, P.; Qing, H. Thermoelastic analysis of nanobar based on nonlocal integral elasticity and nonlocal integral heat conduction. J. Therm. Stress. 2021, 44, 1244–1261. [Google Scholar] [CrossRef]
- Pisano, A.A.; Fuschi, P. Closed form solution for a nonlocal elastic bar in tension. Int. J. Solids Struct. 2003, 40, 13–23. [Google Scholar] [CrossRef]
- Zhu, X.; Li, L. Twisting statics of functionally graded nanotubes using Eringen’s nonlocal integral model. Compos. Struct. 2017, 178, 87–96. [Google Scholar] [CrossRef]
- Tuna, M.; Kirca, M. Exact solution of Eringen’s nonlocal integral model for bending of Euler-Bernoulli and Timoshenko beams. Int. J. Eng. Sci. 2016, 105, 80–92. [Google Scholar] [CrossRef]
- Zhu, X.; Li, L. Longitudinal and torsional vibrations of size-dependent rods via nonlocal integral elasticity. Int. J. Mech. Sci. 2017, 133, 639–650. [Google Scholar] [CrossRef]
- Koutsoumaris, C.C.; Eptaimeros, K.; Tsamasphyros, G. A different approach to Eringen’s nonlocal integral stress model with applications for beams. Int. J. Solids Struct. 2017, 112, 222–238. [Google Scholar] [CrossRef]
- Koutsoumaris, C.C.; Eptaimeros, K. Nonlocal integral static problems of nanobeams resting on an elastic foundation. Eur. J. Mech. A/Solids 2021, 89, 104295. [Google Scholar] [CrossRef]
- Pisano, A.; Sofi, A.; Fuschi, P. Nonlocal integral elasticity: 2D finite element based solutions. Int. J. Solids Struct. 2009, 46, 3836–3849. [Google Scholar] [CrossRef]
- Schwartz, M.; Niane, N.; Njiwa, R.K. A simple solution method to 3D integral nonlocal elasticity: Isotropic-BEM coupled with strong form local radial point interpolation. Eng. Anal. Bound. Elem. 2012, 36, 606–612. [Google Scholar] [CrossRef]
- Zou, D.; Liu, G.; Rao, Z.; Tan, T.; Zhang, W.; Liao, W.-H. A device capable of customizing nonlinear forces for vibration energy harvesting, vibration isolation, and nonlinear energy sink. Mech. Syst. Signal Process. 2021, 147, 107101. [Google Scholar] [CrossRef]
- He, D.; Yang, N.; Liu, Y.; Xu, H.; Li, G.; Duan, Z.; Wang, T. Nonlinear vibration and vibration transmission of roll controlled by negative stiffness vibration absorbers. Mech. Syst. Signal Process. 2026, 245, 113872. [Google Scholar] [CrossRef]
- Ma, W.; Bai, B.; Li, X.; Li, J.; Wang, S.; Chen, G. Vibration characteristics of integrally mistuned turbine blisks with hard-coating and bladed multi-packet shrouds. J. Sound Vib. 2026, 625, 119607. [Google Scholar] [CrossRef]
- Liu, Q.H.; Liu, Q.; Zhou, Y.; Liu, J.; Dai, Y.; Chen, S.; Dai, T. Identifying vibration characteristics of hemispherical resonators with mass defects. Int. J. Mech. Sci. 2025, 306, 110856. [Google Scholar] [CrossRef]
- Mondal, S.; Sur, A. Modeling of nonlocal Caputo-Fabrizio integral models in a nanoscale resonator. Int. J. Comput. Methods Eng. Sci. Mech. 2024, 25, 381–395. [Google Scholar] [CrossRef]
- Nikpourian, A.; Ghazavi, M.R.; Azizi, S. Size-dependent modal interactions of a piezoelectrically laminated microarch resonator with 3:1 internal resonance. Appl. Math. Mech.-Engl. Ed. 2020, 41, 1517–1538. [Google Scholar] [CrossRef]
- Dai, J.; Yang, C.; Gai, P.-P.; Xu, Z.-D.; Yan, X.; Xu, W.-P. Robust damping improvement against the vortex-induced vibration in flexible bridges using multiple tuned mass damper inerters. Eng. Struct. 2024, 313, 118221. [Google Scholar] [CrossRef]
- Yao, Z.; Zhang, H.; Zhong, W. Time delay and inter-belt. Chin. J. Dyn. Control. 2012, 10, 97–106. [Google Scholar] [CrossRef]
- Zhong, W.; Zhong, X. Method of separation of variables and Hamiltonian system. Numer. Methods Partial Differ. Equ. 1993, 9, 63–75. [Google Scholar] [CrossRef]
- Yao, W.; Zhong, W.; Lim, C. Symplectic Elasticity; World Scientific: Singapore, 2009. [Google Scholar] [CrossRef]
- Yao, Z.; Zheng, C.; Zhong, W. Inter-belt analysis of continuous system. Chin. J. Comput. Mech. 2013, 30, 749–756. [Google Scholar] [CrossRef]
- Lim, C.W.; Zhang, G.; Reddy, J.N. A higher-order nonlocal elasticity and strain gradient theory and its applications in wave propagation. J. Mech. Phys. Solids 2015, 78, 298–313. [Google Scholar] [CrossRef]
- Huang, M.; Zheng, X.; Zhou, C.; An, D.; Li, R. On the symplectic superposition method for new analytic bending, buckling, and free vibration solutions of rectangular nanoplates with all edges free. Acta Mech. 2021, 232, 495–513. [Google Scholar] [CrossRef]
- Zhong, W.X.; Sun, Y. Small-parameter perturbation method and symplecticity. Chin. J. Dyn. Control. 2005, 3, 1–6. [Google Scholar] [CrossRef]
- Zhong, W.X. Symplectic Solution Methodology in Applied Mechanics; Higher Education Press: Beijing, China, 2006. [Google Scholar]
- Wu, F.; Gao, Q.; Zhong, W.X. Multiscale symplectic perturbation integration for the FPU equation. Chin. J. Comput. Mech. 2015, 32, 587–594. [Google Scholar] [CrossRef]
- Eringen, A.C. On differential equations of nonlocal elasticity and solutions of screw dislocation and surface waves. J. Appl. Phys. 1983, 54, 4703–4710. [Google Scholar] [CrossRef]
- Benvenuti, E.; Simone, A. One-dimensional nonlocal and gradient elasticity: Closed-form solution and size effect. Mech. Res. Commun. 2013, 48, 46–51. [Google Scholar] [CrossRef]
- Eringen, A.C. Nonlocal Continuum Field Theories; Springer: New York, NY, USA, 2002. [Google Scholar]





| Symbol | Meaning |
|---|---|
| Axial coordinate and rod domain | |
| L | Rod length |
| Cross-sectional area | |
| E | Young’s modulus |
| is mass per unit length) | |
| Axial displacement | |
| Axial strain | |
| Two-phase | |
| Attenuation kernel with characteristic length a | |
| Dimensionless nonlocal parameter | |
| Influence distance (support for the kernel, which may be finite) | |
| Spatial step used in belt-wise discretization | |
| n | |
| Natural frequency and mode shape | |
| Dimensionless frequency |
| Our Method | Analytical Solutions | Relative Error | |
|---|---|---|---|
| 0.1 | 1.039 | 1.028 | 1.08% |
| 0.2 | 1.084 | 1.063 | 1.97% |
| 0.3 | 1.136 | 1.107 | 2.62% |
| 0.4 | 1.198 | 1.167 | 2.63% |
| 0.5 | 1.273 | 1.250 | 1.80% |
| 0.6 | 1.336 | 1.375 | 0.65% |
| 0.7 | 1.489 | 1.583 | 5.94% |
| 0.8 | 1.660 | 2.000 | 17.0% |
| Our Method | Analytical Solutions | Relative Error | |
|---|---|---|---|
| 0.1 | 0.9981 | 1.000 | 0.19% |
| 0.2 | 0.9975 | 1.000 | 0.25% |
| 0.3 | 0.9975 | 1.000 | 0.25% |
| 0.4 | 0.9967 | 1.000 | 0.33% |
| 0.5 | 0.9954 | 1.000 | 0.46% |
| 0.6 | 0.9950 | 1.000 | 0.50% |
| 0.7 | 0.9938 | 1.000 | 0.62% |
| 0.8 | 0.9947 | 1.000 | 0.73% |
| Order of Transfer Matrix | Our Method | Analytical Solutions | Relative Error |
|---|---|---|---|
| 24 × 24 | 1.660 | 2.000 | 17.0% |
| 48 × 48 | 1.826 | 2.000 | 8.29% |
| 72 × 72 | 1.919 | 2.000 | 4.04% |
| 96 × 96 | 2.072 | 2.000 | 3.58% |
| Eigenfrequency | Our Method | Asymptotic Solutions | Relative Error |
|---|---|---|---|
| 1st | 3.1137 | 3.1347 | 0.67% |
| 2nd | 6.2132 | 6.2676 | 0.88% |
| 3rd | 9.3222 | 9.3969 | 0.08% |
| 4th | 12.4121 | 12.5209 | 0.87% |
| 5th | 15.4924 | 15.6378 | 0.93% |
| 6th | 18.5631 | 18.7458 | 0.97% |
| 7th | 21.6246 | 21.8431 | 1.00% |
| 8th | 24.6575 | 24.9379 | 1.12% |
| 9th | 27.6804 | 27.9985 | 1.14% |
| 10th | 30.6845 | 31.0531 | 1.19% |
| Eigenfrequency | Our Method | Asymptotic Solutions | Relative Error |
|---|---|---|---|
| 1st | 1.5593 | 1.5691 | 0.62% |
| 2nd | 4.6682 | 4.7064 | 0.81% |
| 3rd | 7.7677 | 7.8410 | 0.93% |
| 4th | 10.8671 | 10.9711 | 0.95% |
| 5th | 13.9570 | 14.0949 | 0.98% |
| 6th | 17.0279 | 17.2106 | 1.06% |
| 7th | 20.0987 | 20.3163 | 1.07% |
| 8th | 23.1409 | 23.4103 | 1.15% |
| 9th | 26.1736 | 26.4909 | 1.20% |
| 10th | 29.1777 | 29.5561 | 1.28% |
| Eigenfrequency | Our Method | Asymptotic Solutions | Relative Error |
|---|---|---|---|
| 1st | 3.1328 | 3.1397 | 0.22% |
| 2nd | 6.2704 | 6.2794 | 0.14% |
| 3rd | 9.4080 | 9.4191 | 0.12% |
| 4th | 12.5456 | 12.5585 | 0.10% |
| 5th | 15.6736 | 15.6978 | 0.15% |
| 6th | 18.8207 | 18.8369 | 0.09% |
| 7th | 21.9584 | 21.9756 | 0.08% |
| 8th | 25.0959 | 25.1141 | 0.07% |
| 9th | 28.2431 | 28.2522 | 0.03% |
| 10th | 31.3801 | 31.3898 | 0.03% |
| Eigenfrequency | Our Method | Asymptotic Solutions | Relative Error |
|---|---|---|---|
| 1st | 1.5688 | 1.5703 | 0.01% |
| 2nd | 4.7064 | 4.7110 | 0.01% |
| 3rd | 7.8344 | 7.8516 | 0.22% |
| 4th | 10.9720 | 10.9920 | 0.18% |
| 5th | 14.1096 | 14.1323 | 0.29% |
| 6th | 17.2472 | 17.2724 | 0.16% |
| 7th | 20.3848 | 20.4123 | 0.13% |
| 8th | 23.5224 | 23.5518 | 0.12% |
| 9th | 26.6695 | 26.6910 | 0.08% |
| 10th | 29.8071 | 29.8298 | 0.08% |
| Eigenfrequency | Our Method | Asymptotic Solutions | Relative Error |
|---|---|---|---|
| 1st | 3.1424 | 3.1243 | 0.58% |
| 2nd | 6.2799 | 6.2462 | 0.54% |
| 3rd | 9.4175 | 9.3648 | 0.56% |
| 4th | 12.5551 | 12.4780 | 0.62% |
| 5th | 15.6832 | 15.5840 | 0.63% |
| 6th | 18.8303 | 18.6809 | 0.79% |
| 7th | 21.9679 | 21.7669 | 0.91% |
| 8th | 25.1055 | 24.8404 | 1.05% |
| 9th | 28.2431 | 27.8993 | 1.22% |
| 10th | 31.3801 | 30.9420 | 1.40% |
| Eigenfrequency | Our Method | Asymptotic Solutions | Relative Error |
|---|---|---|---|
| 1st | 1.5688 | 1.5664 | 0.02% |
| 2nd | 4.7064 | 4.6984 | 0.12% |
| 3rd | 7.8440 | 7.8276 | 0.21% |
| 4th | 10.9911 | 10.9522 | 0.35% |
| 5th | 14.1297 | 14.0704 | 0.42% |
| 6th | 17.2663 | 17.1804 | 0.50% |
| 7th | 20.4039 | 20.2804 | 0.61% |
| 8th | 23.5415 | 23.3685 | 0.73% |
| 9th | 26.6790 | 26.4428 | 0.89% |
| 10th | 29.8071 | 29.5017 | 1.02% |
| Eigenfrequency | Our Method ) | Asymptotic Solutions ) | Our Method ) | Asymptotic Solutions ) |
|---|---|---|---|---|
| 1st | 2.9707 | 2.9708 | 2.8944 | 2.9281 |
| 2nd | 5.2595 | 5.7604 | 4.9925 | 5.6189 |
| 3rd | 7.1287 | 8.1879 | 6.8903 | 7.8348 |
| 4th | 9.0837 | 10.0722 | 8.9884 | 9.3385 |
| 5th | 11.2104 | 11.2321 | 11.1723 | 9.8925 |
| 6th | 13.4039 | 11.4866 | 13.3753 | 9.2595 |
| 7th | 15.6069 | 10.6545 | 15.5973 | 7.2020 |
| 8th | 17.8289 | 8.5549 | 17.8099 | 3.4827 |
| 9th | 20.0510 | 5.0065 | 20.0415 | −2.1360 |
| 10th | 22.2731 | −0.1716 | 22.2635 | −9.8913 |
| Eigenfrequency | Our Method ) | Asymptotic Solutions ) | Our Method ) | Asymptotic Solutions ) |
|---|---|---|---|---|
| 1st | 1.5497 | 1.5303 | 1.5306 | 1.5196 |
| 2nd | 4.2105 | 4.4809 | 4.0197 | 4.4024 |
| 3rd | 6.2037 | 7.1022 | 5.9175 | 6.8161 |
| 4th | 8.0824 | 9.1743 | 7.9203 | 8.4480 |
| 5th | 10.1328 | 10.4777 | 10.0756 | 8.8954 |
| 6th | 12.2976 | 10.7926 | 12.2690 | 8.1155 |
| 7th | 14.5006 | 9.8994 | 14.4911 | 5.5257 |
| 8th | 16.7131 | 7.5786 | 16.7036 | 0.9031 |
| 9th | 18.9352 | 3.6105 | 18.9257 | −6.0648 |
| 10th | 21.1573 | −2.2247 | 21.1478 | −15.6909 |
Disclaimer/Publisher’s Note: The statements, opinions and data contained in all publications are solely those of the individual author(s) and contributor(s) and not of MDPI and/or the editor(s). MDPI and/or the editor(s) disclaim responsibility for any injury to people or property resulting from any ideas, methods, instructions or products referred to in the content. |
© 2026 by the authors. Licensee MDPI, Basel, Switzerland. This article is an open access article distributed under the terms and conditions of the Creative Commons Attribution (CC BY) license.
Share and Cite
Yao, Z.; Zheng, C.; Wen, L. Symmetric Element Stiffness and Symplectic Integration for Eringen’s Integral Nonlocal Rods: Static Response and Higher-Order Vibrations. Symmetry 2026, 18, 571. https://doi.org/10.3390/sym18040571
Yao Z, Zheng C, Wen L. Symmetric Element Stiffness and Symplectic Integration for Eringen’s Integral Nonlocal Rods: Static Response and Higher-Order Vibrations. Symmetry. 2026; 18(4):571. https://doi.org/10.3390/sym18040571
Chicago/Turabian StyleYao, Zheng, Changliang Zheng, and Lulu Wen. 2026. "Symmetric Element Stiffness and Symplectic Integration for Eringen’s Integral Nonlocal Rods: Static Response and Higher-Order Vibrations" Symmetry 18, no. 4: 571. https://doi.org/10.3390/sym18040571
APA StyleYao, Z., Zheng, C., & Wen, L. (2026). Symmetric Element Stiffness and Symplectic Integration for Eringen’s Integral Nonlocal Rods: Static Response and Higher-Order Vibrations. Symmetry, 18(4), 571. https://doi.org/10.3390/sym18040571

