Next Article in Journal
Two-Sample Belief Reliability Sampling with Three Quality Levels
Previous Article in Journal
B3LYP and B3PW Simulations of ABO3 Perovskite (001) Surfaces, Interfaces, and Oxygen Vacancies Therein
 
 
Font Type:
Arial Georgia Verdana
Font Size:
Aa Aa Aa
Line Spacing:
Column Width:
Background:
Article

An RXTE Search for the Sterile Neutrino Decay in Galaxy Clusters

by
Mark Jeffrey Henriksen
Physics Department, University of Maryland, Baltimore County, MD 21250, USA
Symmetry 2026, 18(4), 551; https://doi.org/10.3390/sym18040551
Submission received: 22 August 2025 / Revised: 10 March 2026 / Accepted: 17 March 2026 / Published: 24 March 2026
(This article belongs to the Section Physics)

Abstract

We have used long observations of galaxy clusters obtained with the Rossi X-ray Timing Explorer to search for the 3.55 keV line from sterile neutrino decay. If a lepton-number asymmetry exists in one or more types of active neutrinos in the early Universe, sterile neutrinos can be produced via the Shi–Fuller mechanism. The data consist of 11 clusters observed for a total of 3.1 megaseconds using the Proportional Counter Array. A 2.5 σ excess of emission over a thermal model is found over the energy span of the 3.55 keV line in the combined spectra of the eight clusters that individually have an excess. These residuals are added to increase the signal to noise ratio of the excess, which is then modeled with a Gaussian to simulate the instrumental spectral response. We find a significant correlation (r = 0.76) for a line centered at 3.6 keV with a model flux of 3.07 × 10−5 ph cm−2 s−1. Mixing angle for detected clusters ranges from 2.0 to 21.6 × 10−10. The decay rate inferred from the line flux is strongly correlated (r = 0.87) with cluster temperature, which is due to hotter, more massive clusters having a larger amount of dark matter. Approximately half of the total flux comes from the Coma cluster. The mixing angle for Coma is calculated to be 6.2 × 10−10. We fit the Coma cluster spectrum with two different three-component models. The first includes a Gaussian fixed at 3.55 keV to model soft emission. The flux of the Gaussian is 5.6 × 10−12 ph cm−2 s−1 or 1.3% of the total flux. The second three-component model uses a second thermal component to model soft emission. This model gives a temperature of 0–17 keV for the second thermal component and a lower temperature for the hot component. This indicates that the second thermal component is modeling high-energy residuals rather than low ones, where the Gaussian is. Though our line fluxes exceed most reported detections and upper limits, they do not overproduce the dark matter. We conclude that some fraction of the marginally detected excess could be attributed to the decay line since low-temperature thermal emission and systematics fail to model it completely.

1. Introduction

Dark matter and dark energy are arguably the two greatest mysteries of physics beyond the standard model today. There is ample evidence from nearly a century of data utilizing multiple observationally independent methods that dark matter exists. These observations show that dark matter makes its presence known dynamically on the scales of galaxies, groups, and clusters of galaxies as well as in the overall appearance of the large-scale, filamentary universe. Direct detection of dark matter particles is elusive both astronomically and in particle accelerators as well as other types of experiments. For this reason, with few real clues as to its true identity, there are many suggestions for possible dark matter particles that can be searched for with astronomical observations. If a lepton-number asymmetry exists in one or more types of active neutrinos in the early Universe [1] this can provide flexibility in sterile neutrinos (dark matter) produced via the Shi–Fuller mechanism [2], which better matches the X-ray and structure formation constraints. Sterile neutrinos may be produced from active neutrinos via the MSW resonant conversion process. This requires a lepton asymmetry near the era of big bang nucleosynthesis. Only neutrinos that evolve through resonances adiabatically are efficiently converted. The resonant process can produce an energy distribution for sterile neutrinos that is cold in that their relatively large rest mass implies they become nonrelativistic at an early epoch, making them a cold dark matter (CDM) candidate. Figure 1 is a Feynmann diagram that shows the production of the X-ray signature. The incoming sterile neutrino couples with an active neutrino due to the small mixing angle. In the weak interaction loop, from the active neutrino a W-bozon is emitted which couples to a charged lepton. The positively charged lepton propagates and emits the X-ray. The lepton then reconnects with the W-bozon emitting the active neutrino.
Relatively recent investigations of the sterile neutrino as a candidate for dark matter have gained considerable attention due to the decay being easily accessible with astronomical X-ray detectors. The authors of Ref. [3] were the first to point out the connection between the allowable parameter space for sterile neutrino dark matter decay and the detectability in galaxies and galaxy clusters by high-resolution X-ray observatories such as Chandra and XMM. As a result there have been searches of archival and new data including Chandra [4], XMM [5], Suzaku [6], and HaloSat [7]. A comprehensive summary of these results indicates that while there are detections of a feature at the sterile neutrino decay energy, the general consensus is that its attribution to dark matter is inconclusive at best. It is pointed out that the observations are made with similar CCD detectors that may contribute to the contradictory results through variations in calibration [7].
In this paper, we investigate the spectra of 11 long observations of galaxy clusters taken with the proportional counter array (PCA) onboard the Rossi X-ray Timing Explorer (RXTE). The PCA consists of large area of gas-filled proportional counters that provide a large effective area and modest energy resolution.

2. Observations and Methodology

The sample of 11 clusters used in this study were all observed with the Rossi X-ray Timing Explorer (RXTE). Table 1 has basic data for these clusters including the RXTE-specific observation ID, observation length, and background subtracted count rate. Table 1 also has parameters used in model fitting: redshift and column density. The total cluster observation time is 3.1 megaseconds. The average number of source counts per cluster spectrum is 3.75 million. There are typically 57 channels in the spectrum and roughly 66,000 source counts per channel or less than 0.3% counting error. The systematic error is 0.5% [8], which dominates the counting error.
The following sequence of HEASoft tools are run to obtain the analysis files: pcaprepobsid, pcamergeobsids, maketime, pcaextspect2. These programs essentially run the pipeline processing in standard 2 mode with default parameters. The general sequence is to process each short observation within an obsid. Then the multiple observations are merged into a single file. Good time intervals are selected based on, for example, pointing within 6 arc min of the target, insuring at least one PCA detector is on, and the elevation is at least 4 degrees above the Earth’s horizon. Source and background are extracted and deadtime correction applied. The background file utilized reflects the latest PCA background model. The response matrix is created using the appropriate gain at the time of the observation for the particular PCUs that were on. The dominant source of error is the Cosmic X-ray Background (CXB) fluctuations, which are modeled during spectral analysis.
The continuum must be accurately modeled to accurately model the decay line in the X-ray spectrum. We modeled each cluster spectrum independently to obtain the residuals around the decay line for each cluster. Each cluster must be modeled independently because each cluster is characterized by a different emission-weighted temperature, abundance, emission integral, redshift, and column density of absorbing material in the Galaxy along the cluster’s observational line of sight. The broadband (2–30 keV) spectrum is modeled using a thermal (Apec) model and a power law with a high energy cutoff (cutoffpl); both models are part of the XSPEC suite of models in the HEASoft tools. The power law is used to model the fluctuations in the CXB that can occur within the PCA field of view, FWHM of 1°. The parameters for cutoffpl are power law index 1.29, cutoff at 41.13 keV, and variable amplitude equal to 8% of the mean CXB flux at 20 keV (requires a normalization of ±1.84 × 10−4) [9]. The column density is fixed at the weighted average obtained with the HEASARC nH tool, which uses data from [10]. The redshift, CXB spectral index, and high-energy cutoff are also fixed parameters. For the thermal component, the free parameters are plasma temperature, chemical abundance [11], and emission integral. Each cluster spectrum is fit with the model described above using Xspec to obtain a minimum χ 2 . For the two clusters with multiple ObsIDs, Abell 754 and Abell 1656, a joint fit was performed of the two ObsIDs with an additional free parameter for the thermal normalization.
To look for emission from the 3.55 keV line from sterile neutrino decay, the residuals, obtained after accurately modeling the thermal emission for each cluster individually, were modeled to search for the signature of the decay. The PCA has an energy resolution of 18% at 6.7 keV, which is 1.2 keV. The energy calibration from the onboard Am241 (an isotope of Americium 243) indicates that the line emission can be well-fit with a Gaussian [12]. For a line centered at 3.55 keV, the Gaussian line profile will be spread over 2.35–4.75 keV. In standard 2 analysis, this is a channel range of 2–8 for epoch 3 observations (Abell 754, Abell 496, and Abell 1656) and 1–7 for epoch 4 and 5, which applies to the other 8 clusters in the sample. A maximum systematic error in the energy scale calibration of 0.5–2% [12] is not accounted for as it does not change the energy bins used, which extend ∼4% beyond the energy range of interest.
The delchi residuals, (data-model)/error, in each of the 7 PHA channels from each cluster are added together. The three clusters with channels 2–8 are matched as closely as possible in energy to 1–7 and are added to them. This creates a stacked 7-channel data set. A Gaussian function, as shown in Equation (1), is fit to these data with the independent variable being the mid-channel energy and the dependent variable the summed delchi residuals. The mid-channel energies are (in keV) 2.26, 2.67, 3.07, 3.48, 3.88, 4.29, and 4.69. Delchi is chosen so that each excess compared to the model is weighted by its statistical error. The free parameters for the Gaussian are the normalization, A, the line center, μ , and the line width, σ . A 0.5% systematic error, which dominates the counting error, is used to weight each data point.
f ( x ) = A e x μ σ 2

3. Results

3.1. A Soft Excess in the Co-Added Residuals

The 90% confidence limits for the Apec model free parameters are given in Table 2 for each cluster. Those are temperature in keV, abundance in fraction of Solar, and normalization in cm−5. The best fit values with 95% confidence bounds for the Gaussian fit to the delchi residuals that span the 3.55 keV line are given in Table 3.
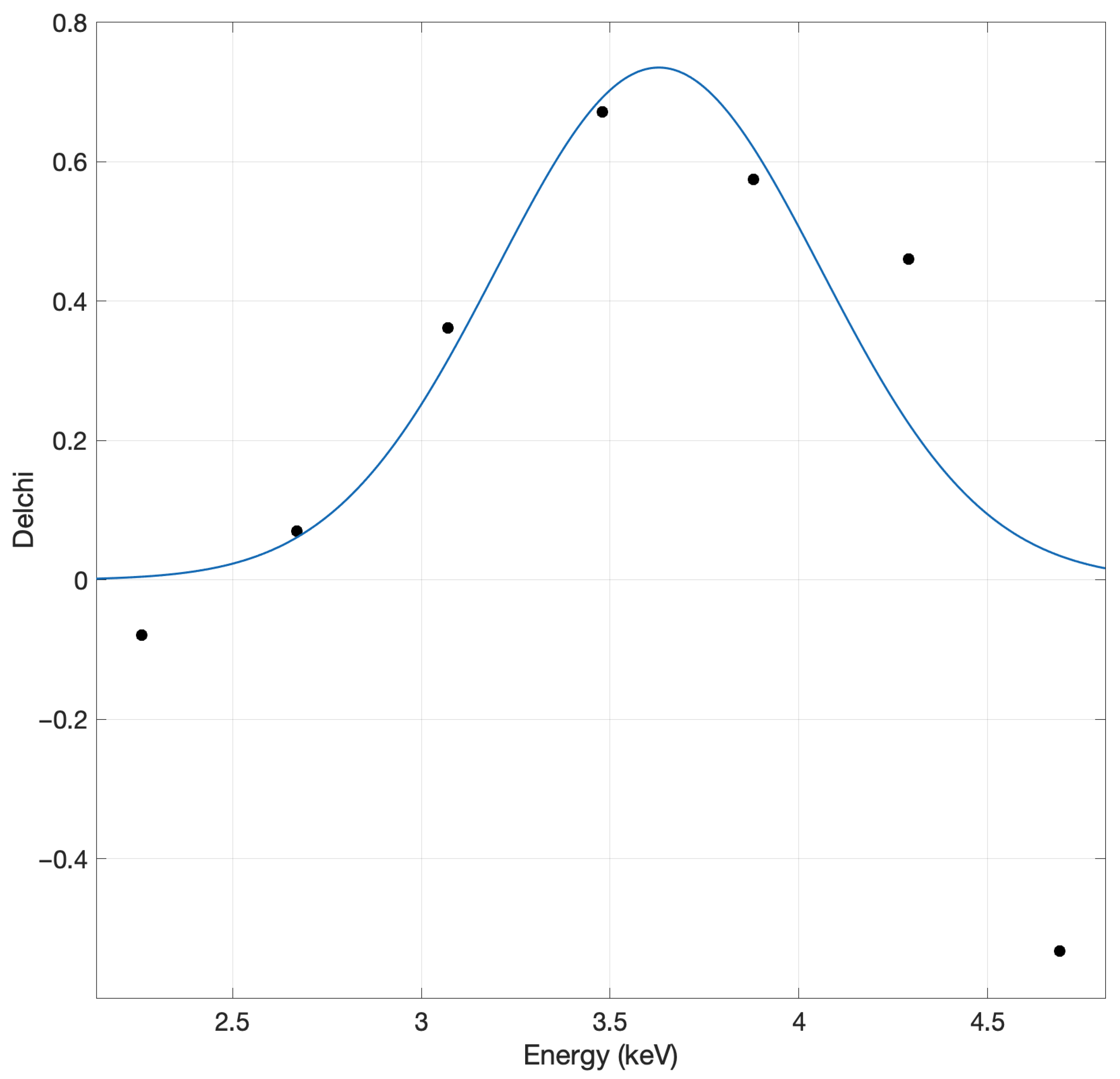
The R parameter, which characterizes goodness of fit, is 0.76, indicative of a strong correlation. The best fit line center for the Gaussian is 3.6 keV with a 95% error of 0.5 keV. Figure 2 shows the Gaussian fit to the delchi residuals. The model flux is 3.07 × 10−5 ph cm−2 s−1. The feature is 2.5 σ , below the standard detection threshold, and is presented with that caveat. This significance is obtained by adding up the deviations from the model measured in units of σ .
The lowest energy channel at 2.26 keV and the two highest at 4.29 and 4.69 keV are the most divergent.
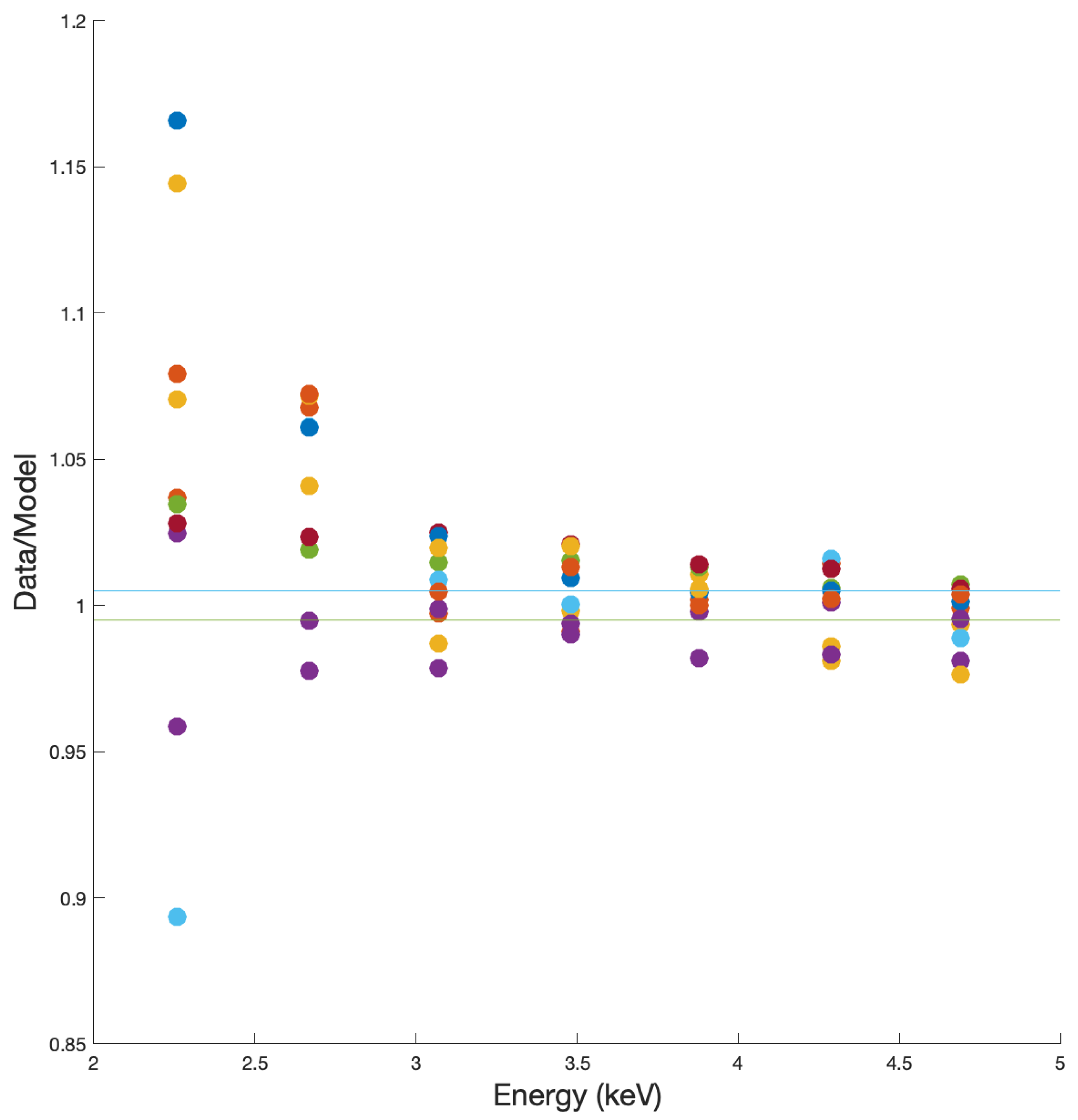
Figure 3 shows the quantity (data/model) for each cluster, represented by a different color. The model is the combined thermal and CXB model. A ratio of 0.995–1.005 brackets the systematic error of the PCA of 0.5% [8]. For the lowest channels the distribution is quite broad, indicating those channels provide the most ambiguous data. The standard deviation of the ratios for the channels between clusters (0.0785, 0.0339, 0.0148, 0.0114, 0.0088, 0.0123, 0.0099) is generally much smaller in the five higher energy channels. This indicates that the higher energy channels that contribute to the Gaussian line feature are not dominated by systematics in the higher energy channels. Perhaps the large spread in the lowest energy channel is indicative of unknown calibration errors at low energy. As is apparent in Figure 2, it does not contribute to the excess.

3.2. Multi-Component Spectral Modeling

We model the broadband Coma cluster spectrum to fit the 3.55 keV line and the thermal continuum at the same time, in contrast to fitting residuals. Coma is singled out because it has a higher count rate than all of the other clusters combined. The model consists of three components: an Apec model for the thermal emission, Gaussian for sterile neutrino decay emission, and cutoffpl for the hard X-ray background fluctuations (CXB). The Coma cluster observational data is shown in Table 1 and consists of two observation periods separated by 17 months. Each Obsid has independent normalization for the thermal component as well as the CXB. All other parameters are shared by the obsids: nH, kT, abundance, redshift, Gaussian line center, width, and normalization. The fixed parameters are nH (at 9.2 × 1019 cm−2), redshift (at 0.0231), line center (at 3.55 keV), and width (at 1.2 keV). The line width corresponds to the PCA spectral resolution at 3.55 keV. The CXB is modeled as described earlier. The results are shown in Table 4 and Table 5. The thermal component normalization, which is proportional to the emission integral, for the ObsIDs is in excellent agreement, justifying the sharing of some physical parameters.

3.3. Attribution of Gaussian Component to Sterile Neutrino Decay

The X-ray luminosity is calculated from the observed soft flux and the luminosity distance for each cluster. We assume that the residuals are due to the 3.55 keV line and calculate the soft flux from them. The residuals are the difference between the observed count rate and the model (thermal plus CXB)-predicted count rate in each channel spanning the PCA convolved line. All channels are then added to get the total count rate. The total count rate is converted to flux using a conversion from WebSim for a source with a Gaussian at 3.55 keV observed with the top layer of the PCA. The conversion is 3.368×10−12 ergs cm−2 s−1 per PCA cnt s−1. The conversion to photon flux is made assuming that all of the photons are emitted at 3.55 keV. The soft flux (FDM) and soft luminosity (LDM) are given in Table 6. When the data is below the thermal model, a negative line flux results, as shown in the table. Physically this is no line emission or zero mixing angle.
A linear regression is performed using the LDM and cluster temperature for the clusters with Gaussian component detections. The R value is 0.87, indicating a strong correlation. The results are given in Table 7 and shown in Figure 4. The correlation implies that hotter, more massive clusters have a higher X-ray luminosity. Since the X-ray luminosity is indicative of the sterile neutrino decay rate, the correlation is consistent with more massive clusters having a higher decay rate, which is to be expected since they have more dark matter.
We looked for any possible indication that the variable CXB powerlaw might be affecting our fits. One way is to look at the number of times the CXB normalization pegs at the extreme flux allowed. This could indicate that the CXB model component is trying to fit some spectral emission not being modeled. We looked at the 11 best fit normalizations and found that only four were pegged at the extreme value. It is possible that there is non-thermal emission in some clusters at the high-energy part of the spectrum, generally above 10 keV, that the CXB component is trying to fit. We investigate this in future work. Looking at the Gaussian flux contribution of the four pegged at the extreme value compared to the unpegged shows no apparent correlation between the CXB and Gaussian contribution.

3.4. Calculation of Mixing Angle

The calculated mixing angle, the rate of neutrino decay, is constrained primarily by the observed X-ray photon flux and the distance to the cluster. The mixing angle also depends on cluster mass and the sterile neutrino energy. The cluster mass, MDM, is calculated using mass equations in [13]. The dependencies are given in Equation (2).
M D M = 1.65 × 10 14 M ( 0.62 μ ) ( δ 1.0 ) ( R c 250   kpc ) ( T 8.62   keV ) ( x 3 1 + x 2 )
We assume a canonical core radius value (250 kpc), gas density parameter δ = (3/2) β with canonical beta = 2/3, and a fully ionized gas with solar abundances. Gas parameters are needed because hydrostatic equilibrium is the basis of the mass equation. The important parameters in this equation are those have been found to vary the most from cluster to cluster: the number of core radii (x in Table 6) within the PCA fov (which depends on the distance to the cluster), and the temperature. The temperature is our best-fit RXTE-measured PCA cluster temperature given in Table 2. The photon flux FDM is for an emitted photon energy of 3.55 keV, which appears as ms in Equation (3). In general, comparison between X-ray determined masses based on hydrostatic equilibrium and masses based on gravitational lensing indicate that there is a factor ∼2 underestimation of their masses [14]. This reduces the mixing angle by approximately a factor of two, which reduces but does not remove the discrepancy with other reported values as discussed in Section 4.2. We use Equation (3) obtained from [5] for the mixing angle calculation. All of the parameters used in Equations (2) and (3) are given in Table 1, Table 2 and Table 6 or in this section. FDM is the flux of the Gaussian component, DL is the distance to the cluster, Z is the redshift, and ms is the sterile neutrino particle mass, 7.1 keV, chosen to match the unidentified feature in previous X-ray studies.
S i n 2 ( 2 Θ ) = F D M 12.76 ( 10 14 M M D M ) ( D L 100 M p c ) 2 ( 1 1 + z ) ( 1 keV m s ) 4

4. Discussion

4.1. Possible Sources of Soft X-Ray Contamination

Our method of co-adding residuals is preferable to the more common procedure of co-adding the data for cluster X-ray emission because there is significant variation in each cluster’s thermal spectrum so that continuum and line emission vary from cluster to cluster. This variation is even more pronounced for the PCA data because of the broad PSF of the PCA. The possibility of confusing the Gaussian line emission with a low-temperature gas component is the largest source of uncertainty in our analysis and it is addressed in this section.
Though not generally constrained by the RXTE data, there are significant sources of cool gas that manifest in the X-ray spectra of clusters below 2 keV: for example, the WHIM [15], dark X-ray galaxies [16], and the brightest cluster galaxies [17]. If we adopt the upper limit on the mixing angle for 117 clusters [18], which is typical of the published upper limits, this limits the fraction of the RXTE Gaussian component attributed to DM to 7–88% for the largest Gaussian fluxes, Coma and Abell 1750, respectively. This then implies 12–93% of the emission is some other soft X-ray source for these clusters. Figure 5 shows the predicted effect of adding a low-temperature component on the X-ray spectrum. The low-temperature and Gaussian components both contribute to residuals over the hot gas cluster model. However, their spectral shape is quite different, as is apparent in Figure 5, which shows a three-component model consisting of a high-temperature thermal, a low-temperature thermal, and a Gaussian with arbitrary normalizations which allow comparison of shapes. The Gaussian clearly dominates the low-temperature component over most of its width. However, the excess emission over the high-temperature component could clearly be a mixture of the two.
A large soft component could be the WHIM or diffuse gas associated with galaxies. We model the characteristics of such a thermal component that can provide the residual emission directly. This is done by modeling the 2–30 keV PCA spectrum for Coma with a three-component model: two Apec models for hard and soft thermal emission and a cutoffpl to model the hard X-ray background. The Coma cluster is modeled because of its superior signal to noise ratio. The three-component models compared have either the soft emission modeled with a Gaussian or a thermal spectrum. This tests the hypothesis that the component is entirely soft, thermal emission. The Coma cluster observations consist of two Obsids. The normalization for each obsid is tied for each thermal component as well as the CXB. The shared model parameters are nH, first kT and abundance, redshift, first kT normalization, second kT and abundance, and second kT normalization. The frozen shared parameters are nH (at 9.2 × 1019) and redshift (at 0.0231). The other shared parameters are free. The CXB is modeled as described earlier. The results are shown in Table 8. The range of model parameters includes no soft thermal emission in contrast to the Guassian model for Coma, which is always non-zero (see Table 4). Modeling using a soft thermal component fails to adequately fit the residual soft emission and appears to model harder residuals. This is in contrast to the successful modeling with a Gaussian component.

4.2. Physicality of the RXTE Result

Active neutrinos oscillate into sterile neutrinos with a small mixing angle ∼10−7–10−5. This is a non-resonant oscillation that occurs in the early Universe and produces a warm dark matter candidate. When active and sterile neutrino masses align, Shi–Fuller resonant oscillation, which requires a lepton asymmetry, produces a cold dark matter candidate, ∼1–10 keV, with a lower mixing angle, ∼10−10–10−8. The range of mixing angles we report here is consistent with the latter range. Refs. [19,20] provide bounds on the combination of mixing angle and sterile neutrino mass that are allowed based on current theoretical and observational constraints. Extremely low values of mixing angle provide too little dark matter. Too-high values overproduce it. In addition, there are a number of X-ray upper limits that favor a mixing angle less than 10−11 for a 7.1 keV sterile neutrino. Our detections in clusters, ranging from 8.6 × 10−11 to 6.2 × 10−10, do not overproduce the dark matter. However, as pointed out earlier, total attribution of the excess emission to dark matter provides a mixing angle in excess of most of the X-ray upper limits obtained with other measurements.

5. Conclusions

We have analyzed 3.1 megaseconds of Proportional Counter Array observations of 11 clusters. We find evidence of a significant correlation (R = 0.76) for a line centered at 3.6 keV with an average flux of 3.1 × 10−5 ph cm−2 s−1. The mixing angle is calculated to be 2.4 × 10−9. The Mixing angle for the individually detected clusters ranges from 2.0 to 21.6 × 10−10. The decay rate inferred from the line flux is strongly correlated (R = 0.87) with cluster temperature, which is due to hotter, more massive clusters having a larger amount of dark matter. Approximately half of this flux comes from the Coma cluster. We fit the Coma cluster spectrum with two different three-component models to test if the soft residuals could be attributed to thermal emission as opposed to a Gaussian line. The first includes a Gaussian fixed at 3.55 keV to model soft emission. The flux of the Gaussian is 5.6 × 10−12 ph cm−2 s−1 or 1.3% of the total flux. The second three-component model uses a second thermal component to model soft emission. This model gives a temperature of 0–17 keV for the second thermal component and a lower temperature for the hot component. This indicates that the second thermal components is modeling high-energy residuals rather than low ones, where the neutrino decay would occur. Though our X-ray line fluxes exceed most reported detections and upper limits, they do not overproduce the dark matter predicted by [3,20]. We conclude that some of the Gaussian component could be thermal but not all of it. Thus some fraction of the Gaussian is attributable to the sterile neutrino decay.

Funding

This research received no external funding.

Data Availability Statement

All of the data used in this study is publicly available at the NASA HEASARC.

Acknowledgments

I am grateful to Keith Jahoda for making suggestions on the manuscript.

Conflicts of Interest

The authors declare no conflicts of interest.

References

  1. Lattanzi, M.; Moretti, M. Lepton Asymmetries in Cosmology. Symmetry 2024, 16, 1657. [Google Scholar] [CrossRef]
  2. Shi, X.-D.; Fuller, G.M. New Dark Matter Candidate: Nonthermal Sterile Neutrinos. Phys. Rev. Lett. 1999, 82, 2832. [Google Scholar] [CrossRef]
  3. Abazajian, K.; Fuller, G.M.; Patel, M. Sterile neutrino hot, warm, and cold dark matter. Phys. Rev. D 2001, 64, 23501. [Google Scholar] [CrossRef]
  4. Hofmann, F.; Sanders, J.S.; Nandra, K.; Clerc, N.; Gaspari, M. 7.1 keV sterile neutrino constraints from X-ray observations of 33 clusters of galaxies with Chandra ACIS. Astron. Astrophys. 2016, 592, A112. [Google Scholar] [CrossRef]
  5. Bulbul, E.; Markevitch, M.; Foster, A.; Smith, R.K.; Loewenstein, M.; Randall, S.W. Detection of an Unidentified Emission Line in the Stacked X-ray Spectrum of Galaxy Clusters. Astrophys. J. 2014, 789, 13. [Google Scholar] [CrossRef]
  6. Urban, O.; Werner, N.; Allen, S.W.; Simionescu, A.; Kaastra, J.S.; Strigari, L.E. A Suzaku search for dark matter emission lines in the X-ray brightest galaxy clusters. Mon. Not. R. Astron. Soc. 2015, 451, 2447. [Google Scholar] [CrossRef]
  7. Silich, E.M.; Jahoda, K.; Angelini, L.; Kaaret, P.; Zajczyk, A.; LaRocca, D.M.; Ringuette, R.; Richardson, J. A Search for the 3.5 keV Line from the Milky Way’s Dark Matter Halo with HaloSat. Astrophys. J. 2021, 916, 2. [Google Scholar] [CrossRef]
  8. Shaposhnikov, N.; Jahoda, K.; Markwardt, C.B. Improvements to the PCA Response. Online Document. 2009. Available online: https://heasarc.gsfc.nasa.gov/docs/xte/pca/doc/rmf/pcarmf-11.7/ (accessed on 16 March 2026).
  9. Revnivtsev, M.; Gilfanov, M.; Sunyaev, R.; Jahoda, K.; Markwardt, C. The spectrum of the cosmic X-ray background observed by RTXE/PCA. Astron. Astrophys. 2003, 411, 329. [Google Scholar] [CrossRef]
  10. Bekhti, N.; Floer, L.; Keller, R.; Kerp, J.; Lenz, D.; Winkel, B.; Bailin, J.; Calabretta, M.R.; Dedes, L.; Ford, H.A.; et al. HI4PI: A full-sky HI survey based on EBHIS and GASS. Astron. Astrophys. 2016, 594, A116. [Google Scholar] [CrossRef]
  11. Anders, E.; Grevesse, N. The Abundances of the Elements: Meteoritic and Solar. Geochim. Cosmochim. Acta 1989, 53, 197. [Google Scholar] [CrossRef]
  12. Jahoda, K.; Markwardt, C.B.; Radeva, Y.; Rots, A.H.; Stark, M.J.; Swank, J.H.; Strohmayer, T.E.; Zhang, W. Calibration of the Rossi X-Ray Timing Explorer Proportional Counter Array. Astrophys. J. Suppl. Ser. 2006, 163, 401. [Google Scholar] [CrossRef]
  13. Henriksen, M.J.; Mamon, G.A. The Baryonic Fraction in Groups of Galaxies from X-Ray Measurements. Astrophys. J. 1994, 421, L63. [Google Scholar] [CrossRef]
  14. Wu, X.-P.; Fang, L.-Z. Comparisons of Cluster Mass Determinations by X-ray Observations and Gravitational Lensing. Astrophys. J. Lett. 1996, 467, L45. [Google Scholar] [CrossRef]
  15. Gouin, C.; Bonamente, M.; Galárraga-Espinosa, D.; Walker, S.; Mirakhor, M. Soft X-ray emission from warm gas in IllustrisTNG circum-cluster environments. Astron. Astrophys. 2023, 680, A94. [Google Scholar] [CrossRef]
  16. Henriksen, M.J.; Dusek, S. Dark X-Ray Galaxies in the A1367 Galaxy Cluster. Astrophys. J. Lett. 2021, 917, L33. [Google Scholar] [CrossRef]
  17. Russell, H.R.; McNamara, B.R.; Edge, A.C.; Hogan, M.T.; Main, R.A.; Vantyghem, A.N. Radiative efficiency, variability and Bondi accretion on to massive black holes: The transition from radio AGN to quasars in brightest cluster galaxies. Mon. Not. R. Astron. Soc. 2013, 432, 530. [Google Scholar] [CrossRef]
  18. Bhargava, S.; Giles, P.A.; Romer, A.K.; Jeltema, T.; Mayers, J.; Bermeo, A.; Hilton, M.; Wilkinson, R.; Vergara, C.; Collins, C.A.; et al. The XMM Cluster Survey: New evidence for the 3.5-keV feature in clusters is inconsistent with a dark matter origin. Mon. Not. R. Astron. Soc. 2020, 497, 656. [Google Scholar] [CrossRef]
  19. Boyarsky, A.; Iakubovskyi, D.; Ruchayskiy, O. Next decade of sterile neutrino studies. Phys. Dark Universe 2012, 1, 136. [Google Scholar] [CrossRef]
  20. Abazajian, K. Sterile neutrinos in cosmology. Phys. Rep. 2017, 711–712, 1–28. [Google Scholar] [CrossRef]
Figure 1. A Feynman diagram for the production of the X-ray via sterile neutrino oscillation.
Figure 1. A Feynman diagram for the production of the X-ray via sterile neutrino oscillation.
Symmetry 18 00551 g001
Figure 2. A Gaussian function is fit to a sum of the delchi or (data-model)/error in each channel covering the energy range of the 3.55 keV decay feature folded through the RXTE PCA energy resolution. A 0.5% error dominates the counting error and is used as a weight on each fit point. The error is approximately the size of the data point plotted. The R value obtained from the best fit is 0.76.
Figure 2. A Gaussian function is fit to a sum of the delchi or (data-model)/error in each channel covering the energy range of the 3.55 keV decay feature folded through the RXTE PCA energy resolution. A 0.5% error dominates the counting error and is used as a weight on each fit point. The error is approximately the size of the data point plotted. The R value obtained from the best fit is 0.76.
Symmetry 18 00551 g002
Figure 3. The ratio (data/model) in each channel covering the energy range of the 3.55 keV decay feature folded through the RXTE PCA energy resolution is shown for each cluster. Lines are shown that bracket the systematic error for the PCA as ±∼0.5%. The features can be compared with the systematic error and the number of clusters driving the excess evaluated as shown in the text.
Figure 3. The ratio (data/model) in each channel covering the energy range of the 3.55 keV decay feature folded through the RXTE PCA energy resolution is shown for each cluster. Lines are shown that bracket the systematic error for the PCA as ±∼0.5%. The features can be compared with the systematic error and the number of clusters driving the excess evaluated as shown in the text.
Symmetry 18 00551 g003
Figure 4. This figure shows the X-ray luminosity (LDM photons s−1 given in Table 6) attributed to the 3.55 keV line from sterile neutrino decay. It is proportional to the decay rate. The correlation with temperature is strong, R = 0.87, and indicates that hotter, more massive clusters have a higher decay rate.
Figure 4. This figure shows the X-ray luminosity (LDM photons s−1 given in Table 6) attributed to the 3.55 keV line from sterile neutrino decay. It is proportional to the decay rate. The correlation with temperature is strong, R = 0.87, and indicates that hotter, more massive clusters have a higher decay rate.
Symmetry 18 00551 g004
Figure 5. Three models are shown with nominal cluster parameters. A high-temperature Apec model with kT = 6 keV and abundance 30% Solar, a low-temperature Apec model with temperature 1.5 keV and abundance of 30% Solar, and a Gaussian with the best fit parameters: line center 3.58 keV and sigma 0.69. The normalizations are 1, 0.1, and 0.01, respectively. The Gaussian dominates the low-temperature component over most of its width. However, the excess emission over the high-temperature component could be a mixture of the two.
Figure 5. Three models are shown with nominal cluster parameters. A high-temperature Apec model with kT = 6 keV and abundance 30% Solar, a low-temperature Apec model with temperature 1.5 keV and abundance of 30% Solar, and a Gaussian with the best fit parameters: line center 3.58 keV and sigma 0.69. The normalizations are 1, 0.1, and 0.01, respectively. The Gaussian dominates the low-temperature component over most of its width. However, the excess emission over the high-temperature component could be a mixture of the two.
Symmetry 18 00551 g005
Table 1. Basic Data for the Cluster Sample.
Table 1. Basic Data for the Cluster Sample.
ClusterObsIDznH × 1022 cm−2Time ×105 sCount Rate Counts s−1
Abell 262P911490.01630.06852.112.4
Abell 576P501990.03890.05331.442.07
Abell 2256P601540.05810.04223.246.94
Abell 496P401910.03290.04302.206.64
Abell 1750P701660.08520.02691.750.77
Abell 1656P103680.02310.00923.1338.2
P50197 3.8036.7
Abell 2319P401900.05570.08372.05917.6
Abell 3667P601560.05560.04261.4636.40
Abell 1060P401890.01260.05071.7225.00
Abell 754P302720.05420.04963.11910.73
P20355 1.20610.91
RXJ0658.4-5557P701650.2960.04373.7341.59
Table 2. Model Fitting Results: Thermal and CXB.
Table 2. Model Fitting Results: Thermal and CXB.
ClusterkTAbundanceThermal Normalization
keVFraction of Solarcm−5
Abell 2622.05–2.240.23–0.370.066–0.076
Abell 5763.47–3.880.21–0.340.028–0.032
Abell 22566.66–6.960.20–0.270.067–0.071
Abell 4964.08–4.230.28–0.330.164–0.177
Abell 17503.27–3.970.13–0.370.014–0.019
Abell 16567.45–7.550.21–0.230.290–0.296
0.300–0.303
Abell 23198.84–9.120.20–0.270.141–0.147
Abell 36676.59–6.900.18–0.250.081–0.086
Abell 10603.33–3.510.23–0.290.084–0.091
Abell 7549.00–9.240.20–0.250.088–0.091
0.086–0.089
RXJ0658.4-555710.23–11.790–0.350.019–0.022
Table 3. The 95% Confidence Limits for the Gaussian Fit Parameters.
Table 3. The 95% Confidence Limits for the Gaussian Fit Parameters.
ParameterLower BoundBest FitUpper Bound
A (normalization)0.00.71.5
μ (line center in keV)3.13.64.1
σ (line width in keV)0.20.71.4
Table 4. The 90% Confidence Limits for the Three-Component Fit To Coma.
Table 4. The 90% Confidence Limits for the Three-Component Fit To Coma.
kT (keV)Abundance10368 Thermal Norm50197 Thermal NormGaussian Norm
8.18–8.380.24–0.280.28–0.290.28–0.300.00058–0.0015
Table 5. The 90% Confidence Fluxes (×10−10 ergs cm−2 s−1) for the Three-Component Fit to Coma.
Table 5. The 90% Confidence Fluxes (×10−10 ergs cm−2 s−1) for the Three-Component Fit to Coma.
10368 CXB50197 CXB10368 Thermal50197 ThermalGaussian
−0.280.0284.204.260.056
Table 6. Calculation of Mixing Angle.
Table 6. Calculation of Mixing Angle.
ClusterxMMDDLFDMLDMSin2(2Θ)
1014 Solar MassesMpc10−6 ph cm−2 s−11048 ph s−1×10−10
A2624.81.927011.186.180.35
A57611.27.8117516.9758.772.0
A225616.320.8267−1.4−11.28(0)-
A4969.57.4714931.3478.692.8
A175023.115.984071.7632.970.5
Coma Cluster6.769.50109165.25222.056.2
A10603.732.286530.0514.181.7
A231915.726.7325476.95561.475.4
A366715.720.2025514.43106.121.4
A75415.326.54255−1.12−8.23(0)-
Bullet Cluster63.8134.31580−8.80−2484.56-
Table 7. The 95% Confidence Limits for the Linear Fit to Luminosity versus Temperature.
Table 7. The 95% Confidence Limits for the Linear Fit to Luminosity versus Temperature.
ParameterLower BoundBest FitUpper Bound
slope30.1268.07106.03
Y Intercept−417.80−208.780.25
Table 8. The 90% Confidence Limits for the Two Thermal Components’ Fit.
Table 8. The 90% Confidence Limits for the Two Thermal Components’ Fit.
First kTAbundanceFirst kT NormSecond kTSecond kT Norm
0.0–17.20.21–0.230.010–0.297.08–7.700.27–0.30
Disclaimer/Publisher’s Note: The statements, opinions and data contained in all publications are solely those of the individual author(s) and contributor(s) and not of MDPI and/or the editor(s). MDPI and/or the editor(s) disclaim responsibility for any injury to people or property resulting from any ideas, methods, instructions or products referred to in the content.

Share and Cite

MDPI and ACS Style

Henriksen, M.J. An RXTE Search for the Sterile Neutrino Decay in Galaxy Clusters. Symmetry 2026, 18, 551. https://doi.org/10.3390/sym18040551

AMA Style

Henriksen MJ. An RXTE Search for the Sterile Neutrino Decay in Galaxy Clusters. Symmetry. 2026; 18(4):551. https://doi.org/10.3390/sym18040551

Chicago/Turabian Style

Henriksen, Mark Jeffrey. 2026. "An RXTE Search for the Sterile Neutrino Decay in Galaxy Clusters" Symmetry 18, no. 4: 551. https://doi.org/10.3390/sym18040551

APA Style

Henriksen, M. J. (2026). An RXTE Search for the Sterile Neutrino Decay in Galaxy Clusters. Symmetry, 18(4), 551. https://doi.org/10.3390/sym18040551

Note that from the first issue of 2016, this journal uses article numbers instead of page numbers. See further details here.

Article Metrics

Back to TopTop