Prestressing Design Targeting a Desired Structural Curvature State to Mitigate Time-Dependent Deflection of Long-Span Prestressed Concrete Bridges
Abstract
1. Introduction
2. The Desired Structural Curvature State for PC Bridges
2.1. The Concept of Desired Structural Curvature (DSC)
2.2. Prestressing Design Strategy Based on DSC
2.2.1. The Longitudinal Prestressing System
2.2.2. Design of Closure Tendons
2.2.3. Design of Cantilever Tendons
2.2.4. DSC-Based Prestressing Design Framework
3. Numerical Example of a Simply Supported PC Beam
4. Case Studies of Two PC Bridges with Excessive Deflection
4.1. Case Study 1: A Three-Span Rigid Frame PC Bridge (Bri-1)
4.1.1. Bridge Description
4.1.2. Finite Element (FE) Model and Model Validation
4.1.3. Time-Dependent Behaviors
- BM state
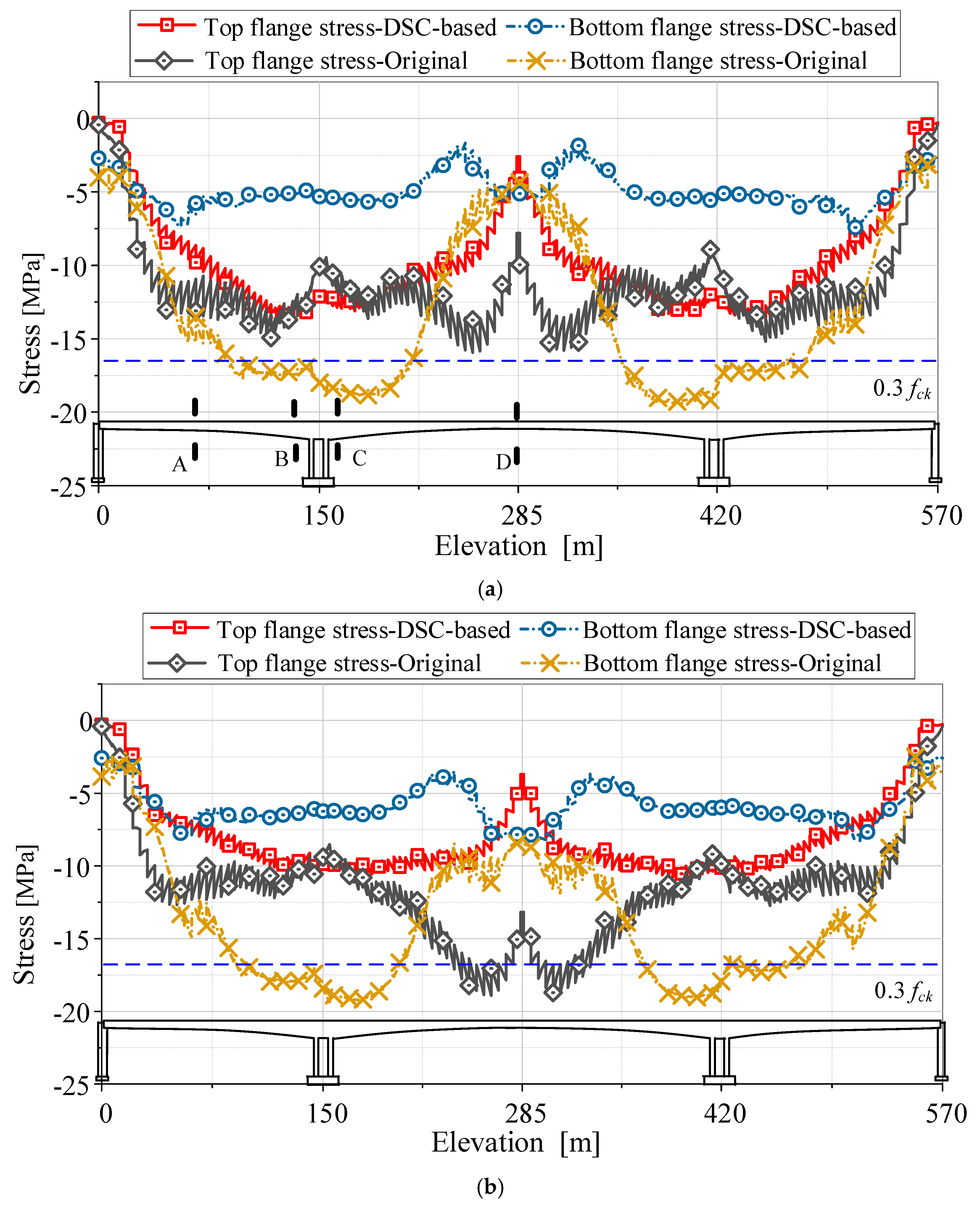
- Time-dependent stress distribution

| Service Stages | Sections | Original Design | State | DSC-Based Design | State | ||
|---|---|---|---|---|---|---|---|
| Top Flange | Bottom Flange | Top Flange | Bottom Flange | ||||
| At completion | A-A | −13.6 | −15.1 | Desired | −9.6 | −6.4 | Desired |
| B-B | −10.7 | −17.6 | Undesired | −12.7 | −5.2 | Desired | |
| C-C | −10.9 | −19.0 | Undesired | −12.5 | −5.4 | Desired | |
| D-D | −7.8 | −4.6 | Undesired | −2.5 | −5.1 | Desired | |
| 8500-day service | A-A | −11.5 | −13.0 | Desired | −7.7 | −6.9 | Desired |
| B-B | −10.7 | −17.5 | Undesired | −9.9 | −5.7 | Desired | |
| C-C | −10.8 | −18.7 | Undesired | −10.1 | −5.8 | Desired | |
| D-D | −13.3 | −7.7 | Undesired | −3.6 | −7.7 | Desired | |

- Long-term deflection at mid span point
4.2. Case Study 2: A Five-Span Continuous Variable-Depth PC Bridge (Bri-2)
4.2.1. Bridge Description
4.2.2. FE Model and Model Validation
4.2.3. Time-Dependent Behaviors
- BM state
- Time-dependent stress distribution

| Service Stages | Sections | Original Design | State | DSC-Based Design | State | ||
|---|---|---|---|---|---|---|---|
| Top Flange | Bottom Flange | Top Flange | Bottom Flange | ||||
| At completion | A-A | 0.5 | −13.0 | Undesired | −13.1 | −11.2 | Desired |
| B-B | −11.8 | −1.8 | Undesired | −11.2 | −10.6 | Desired | |
| C-C | −2.7 | −13.6 | Undesired | −14.7 | −9.3 | Desired | |
| D-D | −8.8 | −3.8 | Undesired | −11.1 | −8.0 | Undesired | |
| 4800-day service | A-A | 1.1 | −14.1 | Undesired | −11.7 | −11.5 | Desired |
| B-B | −11.3 | −2.0 | Undesired | −11.6 | −8.9 | Desired | |
| C-C | −2.1 | −13.2 | Undesired | −13.6 | −10.4 | Desired | |
| D-D | −9.8 | −2.3 | Undesired | −11.8 | −6.9 | Undesired | |

- Long-term deflection at second mid-span point
5. Conclusions
6. Limitation and Future Work
Author Contributions
Funding
Data Availability Statement
Conflicts of Interest
Abbreviations
| AAEM | Age-adjusted effective modulus method |
| BM | Bending moment |
| BMD | Bending moment diagram |
| CG | Continuous girder |
| DSC | Desired structural curvature |
| FE | Finite element |
| LBM | Load balancing method |
| PC | Prestressed concrete |
| RF | Rigid frame |
| RFH | Rigid frame with midspan hinge |
| SBCM | Symmetrical balanced cantilever method |
References
- Takács, P.F. Deformations in Concrete Cantilever Bridges: Observations and Theoretical Modelling. Ph.D. Dissertation, Norwegian University of Science and Technology, Trondheim, Norway, 2002. [Google Scholar]
- Chai, Y.H. Service Performance of Long-Span Lightweight Aggregate Concrete Box-Girder Bridges. J. Perform. Constr. Facil. 2016, 30, 04014196. [Google Scholar] [CrossRef]
- Massicotte, B.; Picard, A.; Gaumond, Y.; Ouellet, C. Strengthening of a Long Span Prestressed Segmental Box Girder Bridge. PCI J. 1994, 39, 52–65. [Google Scholar] [CrossRef]
- Burdet, B. Deflection Monitoring of Prestressed Concrete Bridges Retrofitted by External Post-Tensioning. In Proceedings of the IABSE Symposium, Rio de Janeiro, Brazil, 25–27 August 1999. [Google Scholar]
- Bažant, Z.P.; Yu, Q.; Li, G.-H. Excessive Long-Time Deflections of Prestressed Box Girders. I: Record-Span Bridge in Palau and Other Paradigms. J. Struct. Eng. 2012, 138, 676–686. [Google Scholar] [CrossRef]
- Tilly, G. Performance and management of post-tensioned structures. Proc. Inst. Civ. Eng.-Struct. Build. 2002, 152, 3–16. [Google Scholar] [CrossRef]
- Wu, S.; Tong, T.; Fang, Y.; Ge, F. Numerical model for time-dependent cracking and deflection of large-span concrete bridge structures. Struct. Infrastruct. Eng. 2024, 1–16. [Google Scholar] [CrossRef]
- Xie, J.; Wang, G.; Zheng, X.-H. Review of Study of Long-term Deflection for Long Span Prestressed Concrete Box-girder Bridge. J. Highw. Transp. Res. Dev. (Engl. Ed.) 2007, 2, 47–51. [Google Scholar] [CrossRef]
- Huang, H.; Huang, S.-S.; Pilakoutas, K. Modeling for Assessment of Long-Term Behavior of Prestressed Concrete Box-Girder Bridges. J. Bridge Eng. 2018, 23, 04018002. [Google Scholar] [CrossRef]
- Li, S.; Yang, Y.; Pu, Q.; Yang, D.; Sun, B.; Li, X. Three-dimensional nonlinear creep and shrinkage effects of a long-span prestressed concrete box girder bridge. Struct. Concr. 2019, 20, 638–649. [Google Scholar] [CrossRef]
- Criel, P.; Reybrouck, N.; Caspeele, R.; Matthys, S. Uncertainty quantification of creep in concrete by Taylor expansion. Eng. Struct. 2017, 153, 334–341. [Google Scholar] [CrossRef]
- Wu, S.; Qiao, H. A hybrid LSTM-MPHI2 approach for time-dependent reliability analysis of long-span PC bridges. Structures 2026, 86, 111221. [Google Scholar] [CrossRef]
- Wu, S.; Liu, Z.; Tong, T. Nonlinear Creep Analysis of Long-span Prestressed Concrete Bridges. In Proceedings of the IABSE Symposium Manchester 2024: Construction’s Role for a World in Emergency, Manchester, UK, 10–14 April 2024; pp. 252–259. [Google Scholar]
- Bonopera, M.; Chang, K.-C. Novel method for identifying residual prestress force in simply supported concrete girder-bridges. Adv. Struct. Eng. 2021, 24, 3238–3251. [Google Scholar] [CrossRef]
- Giaccu, G.F.; Solinas, D.; Briseghella, B.; Fenu, L. Time-Dependent Analysis of Precast Segmental Bridges. Int. J. Concr. Struct. Mater. 2021, 15, 13. [Google Scholar] [CrossRef]
- Tong, T.; Zhao, C.; Wu, S.; Li, J.; Liu, Z. Lessons from time-dependent deflection in record span prestressed concrete bridges. Sci. Rep. 2025, 15, 39446. [Google Scholar] [CrossRef]
- Carino, N.J.; Slate, F.O. Limiting tensile strain criterion for failure of concrete. J. Proc. 1976, 73, 160–165. [Google Scholar] [CrossRef]
- Wang, J.; Xu, J.; Gao, D. Numerical relationship between creep deformation coefficients of prestressed concrete beams. Mater. Struct. 2016, 49, 1443–1453. [Google Scholar] [CrossRef]
- Tong, T.; Li, X.; Wu, S.; Wang, H.; Wu, D. Surrogate modeling for the long-term behavior of PC bridges via FEM analyses and long short-term neural networks. Structures 2024, 63, 106309. [Google Scholar] [CrossRef]
- Di Luzio, G.; Cedolin, L.; Beltrami, C. Tridimensional Long-Term Finite Element Analysis of Reinforced Concrete Structures with Rate-Type Creep Approach. Appl. Sci. 2020, 10, 4772. [Google Scholar] [CrossRef]
- Liu, Z.; Dai, W.; He, Z.; Ji, L.; Li, Z.; Zhao, J. Design Method for Rational Completion Status of Long Span PC Girder Bridges. Bridge Constr. 2010, 1, 40–44. (In Chinese) [Google Scholar]
- Xue, W.; Liu, T.; Zeng, M. Prediction of Long-Term Deflections for High-Speed Railway Prestressed Concrete Beams. ACI Struct. J. 2016, 113, 769–778. [Google Scholar] [CrossRef]
- Jia, S.; Han, B.; Ji, W.; Xie, H. Bayesian inference for predicting the long-term deflection of prestressed concrete bridges by on-site measurements. Constr. Build. Mater. 2022, 320, 126189. [Google Scholar] [CrossRef]
- Hedegaard, B.D.; Shield, C.K.; French, C.E.W. Smeared-Bar Model for Viscoelastic Analysis of Uncracked Reinforced Concrete Structures. J. Struct. Eng. 2015, 141, 04014167. [Google Scholar] [CrossRef]
- Zhu, Y.; Meng, D.; Zhang, Y.; Hussein, H.H.; He, S. Long-term performance of a continuous box-girder bridge constructed using precast segments with wet ultra-high-performance concrete (UHPC) joints. Case Stud. Constr. Mater. 2022, 17, e01285. [Google Scholar] [CrossRef]
- Zhang, Y.; Zhu, P.; Zhu, Y.; Bao, C.; Shao, X.; Shi, J. NC-UHPC composite structure for long-term creep-induced deflection control in continuous box-girder bridges. J. Bridge Eng. 2018, 23, 04018034. [Google Scholar] [CrossRef]
- Sun, Y.; Zhan, Y.; Li, P.; Li, Z.; Li, Y.; Zhang, Z. Long-term creep prediction for a PC bridge with stiffened steel truss based on field testing. Adv. Struct. Eng. 2025, 28, 13694332251325890. [Google Scholar] [CrossRef]
- Peng, Y.; Zhang, Z. Development of a Novel Type of Open-Web Continuous Reinforced-Concrete Rigid-Frame Bridge. J. Bridge Eng. 2020, 25, 05020005. [Google Scholar] [CrossRef]
- Kwak, H.-G.; Son, J.-K. Span ratios in bridges constructed using a balanced cantilever method. Constr. Build. Mater. 2004, 18, 767–779. [Google Scholar] [CrossRef]
- Elbadry, M.; Ghali, A.; Gayed, R.B. Deflection Control of Prestressed Box Girder Bridges. J. Bridge Eng. 2014, 19, 04013027. [Google Scholar] [CrossRef]
- Lin, T.Y. Load-Balancing Method for Design and Analysis of Prestressed Concrete Structures. ACI J. Proc. 1963, 60, 719–742. [Google Scholar] [CrossRef]
- Ghali, A.; Favre, R.; Elbadry, M. Concrete Structures: Stresses and Deformations: Analysis and Design for Serviceability; CRC Press: Boca Raton, FL, USA, 2018. [Google Scholar]
- Pan, Z.; You, F. Quantitative Design of Backup Prestressing Tendons for Long-Span Prestressed Concrete Box Girder Bridges. J. Bridge Eng. 2015, 20, 04014066. [Google Scholar] [CrossRef]
- Oh, B.H.; Yang, I.H. Realistic Long-Term Prediction of Prestress Forces in PSC Box Girder Bridges. J. Struct. Eng. 2001, 127, 1109–1116. [Google Scholar] [CrossRef]
- Birhane, F.N.; Kim, S.-I.; Jang, S.Y. Long-Term Deflection of Prestressed Concrete Bridge Considering Nonuniform Shrinkage and Crack Propagation by Equivalent Load Approach. Appl. Sci. 2020, 10, 7754. [Google Scholar] [CrossRef]
- Bažant, Z.P.; Jirásek, M. Creep and Hygrothermal Effects in Concrete Structures; Springer: Dordrecht, The Netherlands, 2018. [Google Scholar]
- Hamed, E. Non-linear creep effects in concrete under uniaxial compression. Mag. Concr. Res. 2015, 67, 876–884. [Google Scholar] [CrossRef]
- JTG 3362-2018; Code for Design of Highway Reinforced Concrete and Prestressed Concrete Bridges and Culverts. Ministry of Transport of the People’s Republic of China: Beijing, China, 2018.
- Yang, M.; Jin, S.; Gong, J. Concrete Creep Analysis Method Based on a Long-Term Test of Prestressed Concrete Beam. Adv. Civ. Eng. 2020, 2020, 3825403. [Google Scholar] [CrossRef]
- Bažant, Z.P.; Hubler, M.; Wendner, R. Model B4 for creep, drying shrinkage and autogenous shrinkage of normal and high-strength concretes with multi-decade applicability. Mater. Struct. 2015, 48, 753–770. [Google Scholar]
- JTG/T H21-2011; Standards for Technical Condition Evaluation of Highway Bridges. Ministry of Transport of the People’s Republic of China (MOT): Beijing, China, 2011.
- Lee, M.J.; Lee, K. Performance and cost effectiveness analysis of the active external post tensioning system. J. Asian Archit. Build. Eng. 2012, 11, 139–146. [Google Scholar] [CrossRef][Green Version]
- Cadenazzi, T.; Dotelli, G.; Rossini, M.; Nolan, S.; Nanni, A. Cost and environmental analyses of reinforcement alternatives for a concrete bridge. Struct. Infrastruct. Eng. 2020, 16, 787–802. [Google Scholar] [CrossRef]


















| Name of Bridge | Structure Type | Location | Span Arrangement (m) | Deflection (mm) | Years After Completion | Source |
|---|---|---|---|---|---|---|
| Stolma Bridge | RF | Norway | 94 + 301 + 72 | 92 | 3 | [1] |
| Støvset Bridge | RF | Norway | 100 + 220 + 100 | 200 | 8 | [1] |
| Parrots Ferry Bridge | RF | USA | 99 + 195 + 99 | 635 | 12 | [2] |
| Grand-mere Bridge | CG | Canada | 40 + 181 + 40 | 300 | 9 | [3] |
| Lutrive Bridge | CG | Switzerland | 58 + 130 + 144 + 64 | 160 | 14 | [4] |
| K-B Bridge | RFH | Palau | 72 + 241 + 72 | 1200 | 12 | [5] |
| Kingston Bridge | RFH | UK | 63 + 143 + 63 | 300 | 28 | [6] |
| Humen Channel Bridge | RF | China | 150 + 270 + 150 | 260 | 7 | [7] |
| Huangshi Bridge | CG | China | 163 + 3 × 245 + 163 | 305 | 7 | [8] |
| Jiangjin Bridge | CG | China | 140 + 240 + 140 | 330 | 10 | [9] |
| Lancang Bridge | RF | China | 124 + 220 + 124 | 236 | 11 | [10] |
| Span Arrangement (m) | Height/Span Ratio | Web Thickness (m) | Bottom Flange Thickness (m) | |
|---|---|---|---|---|
| Pier Table Segment | Mid-Span Segment | |||
| 150 + 270 + 150 | 1/18.24 | 1/54 | 0.4~0.6 | 0.32~1.30 |
| Materials | Properties | Values |
|---|---|---|
| Concrete | Density | 2550 kg/m3 |
| 52.1 MPa | ||
| 2.7 MPa | ||
| 35.1 GPa | ||
| Prestressing tendons | 1860 MPa | |
| 195 GPa | ||
| 1302 MPa |
| Span Arrangement (m) | Height/Span Ratio | Web Thickness (m) | Bottom Flange Thickness (m) | |
|---|---|---|---|---|
| Pier Table Segment | Mid-Span Segment | |||
| 96 + 3 × 160 + 96 | 1/11.85 | 1/22.85 | 0.5~0.8 | 0.32~1.10 |
| Materials | Properties | Values |
|---|---|---|
| Concrete | Density | 2600 kg/m3 |
| 54.5 MPa | ||
| 2.75 MPa | ||
| 35.8 GPa | ||
| Prestressing tendons | 1860 MPa | |
| 195 GPa | ||
| 1200 MPa |
Disclaimer/Publisher’s Note: The statements, opinions and data contained in all publications are solely those of the individual author(s) and contributor(s) and not of MDPI and/or the editor(s). MDPI and/or the editor(s) disclaim responsibility for any injury to people or property resulting from any ideas, methods, instructions or products referred to in the content. |
© 2026 by the authors. Licensee MDPI, Basel, Switzerland. This article is an open access article distributed under the terms and conditions of the Creative Commons Attribution (CC BY) license.
Share and Cite
Wu, S.; Liu, Z.; Di Luzio, G. Prestressing Design Targeting a Desired Structural Curvature State to Mitigate Time-Dependent Deflection of Long-Span Prestressed Concrete Bridges. Symmetry 2026, 18, 456. https://doi.org/10.3390/sym18030456
Wu S, Liu Z, Di Luzio G. Prestressing Design Targeting a Desired Structural Curvature State to Mitigate Time-Dependent Deflection of Long-Span Prestressed Concrete Bridges. Symmetry. 2026; 18(3):456. https://doi.org/10.3390/sym18030456
Chicago/Turabian StyleWu, Shiyu, Zhao Liu, and Giovanni Di Luzio. 2026. "Prestressing Design Targeting a Desired Structural Curvature State to Mitigate Time-Dependent Deflection of Long-Span Prestressed Concrete Bridges" Symmetry 18, no. 3: 456. https://doi.org/10.3390/sym18030456
APA StyleWu, S., Liu, Z., & Di Luzio, G. (2026). Prestressing Design Targeting a Desired Structural Curvature State to Mitigate Time-Dependent Deflection of Long-Span Prestressed Concrete Bridges. Symmetry, 18(3), 456. https://doi.org/10.3390/sym18030456

