Adaptive Cooperative Control of Dual-Arm Robots Using RBF-ADP with Event-Triggering Mechanism
Abstract
1. Introduction
- 1.
- An online learning control framework that integrates RBF-ADP with a smooth ESO is proposed. By compensating the total disturbance in real time using the ESO, the complex manipulator dynamics are simplified into a form that is amenable to ADP learning, while achieving both optimality and strong robustness.
- 2.
- A smooth nonlinear ESO based on continuous fractional-power functions is developed. The observer not only guarantees finite-time accurate disturbance estimation but also fundamentally eliminates the chattering issue inherent to conventional approaches, making it more suitable for high-precision servo control.
- 3.
- A static event-triggering mechanism is introduced between the controller and the actuator. By adjusting the triggering threshold online according to the real-time system state, the proposed mechanism significantly reduces the update frequency and communication burden of control commands while maintaining trajectory-tracking accuracy.
2. Method
2.1. Master–Slave Cooperative Structure and Error Definition
2.2. Structure of the RBF–ADP Controller
2.3. Smooth Nonlinear Extended State Observer
2.4. Event-Triggered Mechanism
3. Experiments and Results
3.1. Simulation Platform and System Setup
3.2. Simulation Results and Analysis
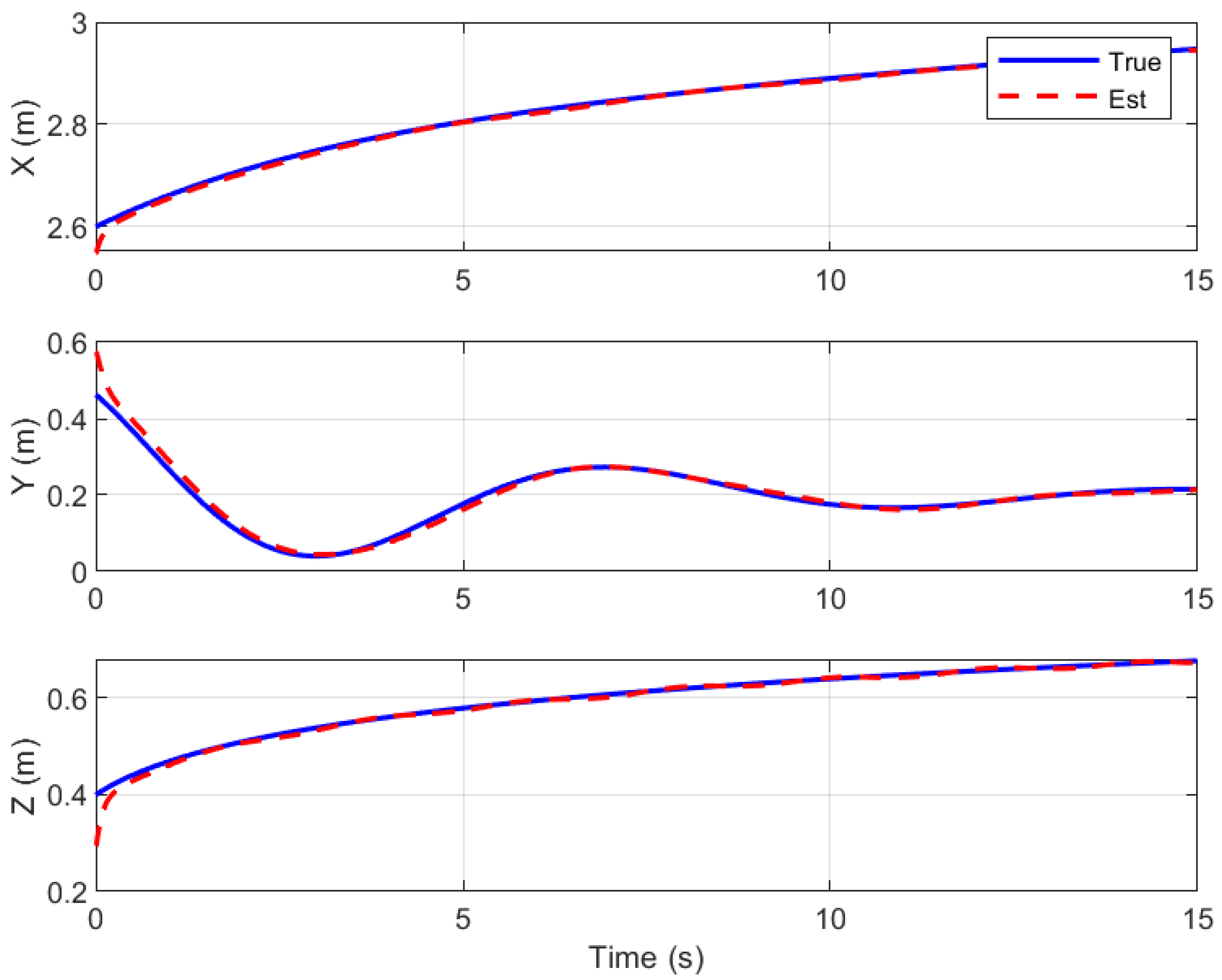
3.2.1. Periodic Paths Validation
3.2.2. Non-Periodic Paths Validation
4. Conclusions
Funding
Data Availability Statement
Conflicts of Interest
References
- Proia, S.; Carli, R.; Cavone, G.; Dotoli, M. Control techniques for safe, ergonomic, and efficient human-robot collaboration in the digital industry: A survey. IEEE Trans. Autom. Sci. Eng. 2022, 19, 1798–1819. [Google Scholar] [CrossRef]
- Liu, Z.; Peng, K.; Han, L.; Guan, S. Modeling and control of robotic manipulators based on artificial neural networks: A review. Iran. J. Sci. Technol. Trans. Mech. Eng. 2023, 47, 1307–1347. [Google Scholar] [CrossRef]
- He, W.; Kang, F.; Kong, L.; Feng, Y.; Cheng, G.; Sun, C. Vibration control of a constrained two-link flexible robotic manipulator with fixed-time convergence. IEEE Trans. Cybern. 2022, 52, 5973–5983. [Google Scholar] [CrossRef]
- Xu, S.; He, B. Robust adaptive fuzzy fault tolerant control of robot manipulators with unknown parameters. IEEE Trans. Fuzzy Syst. 2023, 31, 3081–3092. [Google Scholar] [CrossRef]
- Wang, W.; Tong, S. Adaptive fuzzy bounded control for consensus of multiple strict-feedback nonlinear systems. IEEE Trans. Cybern. 2018, 48, 522–531. [Google Scholar] [CrossRef]
- Taimoor, M.; Lu, X.; Shabbir, W.; Sheng, C. Neural network observer based on fuzzy auxiliary sliding-mode control for nonlinear systems. Expert Syst. Appl. 2024, 237, 121492. [Google Scholar] [CrossRef]
- Haarnoja, T.; Zhou, A.; Abbeel, P.; Levine, S. Soft actor-critic: Off-policy maximum entropy deep reinforcement learning with a stochastic actor. In Proceedings of the International Conference on Machine Learning (ICML), Stockholm, Sweden, 10–15 July 2018; pp. 1861–1870. [Google Scholar]
- Cao, S.; Sun, L.; Jiang, J.; Zuo, Z. Reinforcement learning-based fixed-time trajectory tracking control for uncertain robotic manipulators with input saturation. IEEE Trans. Neural Netw. Learn. Syst. 2021, 34, 4584–4595. [Google Scholar] [CrossRef]
- Nohooji, H.R.; Zaraki, A.; Voos, H. Actor-critic learning based PID control for robotic manipulators. Appl. Soft Comput. 2024, 151, 111153. [Google Scholar] [CrossRef]
- Manzl, P. Reliability evaluation of reinforcement learning methods for mechanical systems with increasing complexity. Multibody Syst. Dyn. 2023, 64, 335–359. [Google Scholar] [CrossRef]
- Han, J. From PID to active disturbance rejection control. IEEE Trans. Ind. Electron. 2009, 56, 900–906. [Google Scholar] [CrossRef]
- Radke, A.; Gao, Z. A survey of state and disturbance observers for practitioners. In Proceedings of the American Control Conference, Minneapolis, MN, USA, 14–16 June 2006; pp. 5183–5188. [Google Scholar]
- Zheng, Y.; Chen, Z.; Huang, Z.; Sun, M.; Sun, Q. Active disturbance rejection controller for multi-area interconnected power system based on reinforcement learning. Neurocomputing 2021, 425, 149–159. [Google Scholar] [CrossRef]
- Kong, X.; Xia, Y.; Hu, R.; Lin, M.; Sun, Z.; Dai, L. Trajectory tracking control for under-actuated hovercraft using differential flatness and reinforcement learning-based active disturbance rejection control. J. Syst. Sci. Complex. 2022, 35, 502–521. [Google Scholar] [CrossRef]
- Liu, D.; Gao, Q.; Chen, Z.; Liu, Z. Linear active disturbance rejection control of a two-degrees-of-freedom manipulator. Math. Probl. Eng. 2020, 2020, 6969207. [Google Scholar] [CrossRef]
- Feng, Y.; Yu, X.; Man, Z. Non-singular terminal sliding mode control of rigid manipulators. Automatica 2002, 38, 2159–2167. [Google Scholar] [CrossRef]
- Yu, S.; Yu, X.; Shirinzadeh, B.; Man, Z. Continuous finite-time control for robotic manipulators with terminal sliding mode. Automatica 2005, 41, 1957–1964. [Google Scholar] [CrossRef]
- Sun, Z.Y.; Yun, M.M.; Li, T. A new approach to fast global finite-time stabilization of high-order nonlinear system. Automatica 2017, 81, 455–463. [Google Scholar] [CrossRef]
- Nguyen, V.; Lin, C.; Su, S.; Sun, W.; Er, M.J. Global finite time active disturbance rejection control for parallel manipulators with unknown bounded uncertainties. IEEE Trans. Syst. Man, Cybern. Syst. 2020, 51, 7838–7849. [Google Scholar] [CrossRef]
- Xie, Y.; Ma, Q.; Ahn, C.K. Finite-time adaptive tracking control for output-constrained nonlinear systems: An improved command filter approach. IEEE Trans. Syst. Man, Cybern. Syst. 2024, 54, 6103–6112. [Google Scholar] [CrossRef]
- Elahi, A.; Alfi, A.; Chadli, M. Fixed-time consensus control for uncertain heterogeneous multi-agent systems with high-order dynamics and time-varying delay under generic topologies. Math. Comput. Simul. 2024, 225, 111–128. [Google Scholar] [CrossRef]
- Li, Y.; Lu, G.; Li, K. Fuzzy adaptive event-triggered consensus control for nonlinear multiagent systems with output constraints and DoS attacks. IEEE Trans. Cybern. 2024, 55, 2–13. [Google Scholar] [CrossRef]
- Noorizadegan, A.; Chen, C.S.; Cavoretto, R.; De Rossi, A. Efficient truncated randomized SVD for mesh-free kernel methods. Comput. Math. Appl. 2024, 164, 12–20. [Google Scholar] [CrossRef]












Disclaimer/Publisher’s Note: The statements, opinions and data contained in all publications are solely those of the individual author(s) and contributor(s) and not of MDPI and/or the editor(s). MDPI and/or the editor(s) disclaim responsibility for any injury to people or property resulting from any ideas, methods, instructions or products referred to in the content. |
© 2026 by the author. Licensee MDPI, Basel, Switzerland. This article is an open access article distributed under the terms and conditions of the Creative Commons Attribution (CC BY) license.
Share and Cite
Dai, Y. Adaptive Cooperative Control of Dual-Arm Robots Using RBF-ADP with Event-Triggering Mechanism. Symmetry 2026, 18, 437. https://doi.org/10.3390/sym18030437
Dai Y. Adaptive Cooperative Control of Dual-Arm Robots Using RBF-ADP with Event-Triggering Mechanism. Symmetry. 2026; 18(3):437. https://doi.org/10.3390/sym18030437
Chicago/Turabian StyleDai, Yuanwei. 2026. "Adaptive Cooperative Control of Dual-Arm Robots Using RBF-ADP with Event-Triggering Mechanism" Symmetry 18, no. 3: 437. https://doi.org/10.3390/sym18030437
APA StyleDai, Y. (2026). Adaptive Cooperative Control of Dual-Arm Robots Using RBF-ADP with Event-Triggering Mechanism. Symmetry, 18(3), 437. https://doi.org/10.3390/sym18030437
