Next Article in Journal
PI-VLA: Adaptive Symmetry-Aware Decision-Making for Long-Horizon Vision–Language–Action Manipulation
Previous Article in Journal
Insights into the Time-Fractional Nonlinear KdV-Type Equations Under Non-Singular Kernel Operators
 
 
Font Type:
Arial Georgia Verdana
Font Size:
Aa Aa Aa
Line Spacing:
Column Width:
Background:
Article

Multi-Objective Optimization of Grasping Trajectories for Manipulator with Improved OMOPSO

1
School of Automation and Electrical Engineering, Zhejiang University of Science and Technology, Hangzhou 310023, China
2
Gosuncn Chuanglian Technology Co., Ltd., Hangzhou 310059, China
3
Xianheng International (Hangzhou) Electrical Manufacturing Co., Ltd., Hangzhou 310000, China
*
Authors to whom correspondence should be addressed.
Symmetry 2026, 18(2), 392; https://doi.org/10.3390/sym18020392
Submission received: 29 December 2025 / Revised: 4 February 2026 / Accepted: 17 February 2026 / Published: 23 February 2026
(This article belongs to the Section Computer)

Abstract

With the rapid development of artificial intelligence and robotics, the application of robotics in the chemical domain is driving a transformation toward intelligent and large-scale research in chemistry and material science. However, sample weighing and synthesis reactions constitute critical stages in chemical experiments, which presents significant challenges for robotic gripping of reagent tubes to achieve precise measurements and collision-free path planning autonomously. Therefore, this study aims to address automation of manipulation in chemical experiments, achieving collision-free path planning and optimization under multi-objective constraints. Specifically, the trajectory planning problem for such tasks is formulated as a multi-objective optimization to minimize motion time, joint jerk and energy consumption. Then, an improved optimized multi-objective particle swarm optimization (OMOPSO) algorithm that incorporates seventh-order polynomial interpolation is proposed to improve the smoothness of robotic motion trajectory. A uniform Pareto front is obtained through a reference vector-guided leader selection mechanism, and an update strategy based on ε -domination, and inflection point selection is proposed to balance the convergence and diversity of the solution set. Finally, simulation results and demonstrations on a manipulation platform have fully validated the feasibility and practicality of the proposed method, which further provides a reference for robotic execution of chemical experiments.

1. Introduction

Robotic technology is revolutionizing chemical and materials research by advancing intelligent and large-scale methodologies, which enhance data reliability, ensure experimental safety, and enable autonomous weighing, high-throughput screening, and chemical synthesis [1]. In response to this paradigm shift, several nations have implemented strategic initiatives. Brian Valentine, Technology Manager at the U.S. Department of Energy’s Advanced Manufacturing Office, emphasized in a report that “the broad application of artificial intelligence and machine learning from material design to process development” represents a critical priority for technological advancement [2]. Similarly, China and Germany have intensified their efforts to develop intelligent research platforms driven by robotic technologies [3,4].
Due to the inherent hazards of chemical samples, the synthesis experiments demand extremely stringent control over experimental procedures. Improper handling poses threats to the physical and mental health of laboratory personnel. The first robotic system capable of autonomous hypothesis proposal and validation is introduced, and the system architecture of robotic chemists has evolved from task-specific automation toward collaborative autonomy [5]. Initially, system relied on integrated workstations with fixed experimental workflows, and it was designed for efficient task execution. Notable advancements include Cronin’s Chemputer for organic synthesis [6], automated thin-layer chromatography purification system [7], an AI-integrated flow synthesis platform [8], a machine learning–based synthesis framework [9], and an inverse-design nanocrystal system [10]. To overcome the constraints of rigid workflows, a mobile robotic paradigm is introduced [11], which enables autonomous operation across distributed workstations and supports flexible exploration of unstructured problems. Furthermore, the AI-Chemist system is developed [12], which merges workstation efficiency with multi-module collaboration. This system achieves a closed-loop workflow encompassing intelligent perception, task planning, and coordinated execution, representing a significant step toward fully intelligent laboratory automation.
The robotic serves as an essential execution mechanism in both mobile workstations and conventional laboratory platforms, including AI-integrated systems. In complex chemical environments, the performance of grasping tasks critically depends on the quality of trajectory planning, which can be conducted in Cartesian space or joint space [13]. Joint-space planning is often preferred due to its lower computational cost and suitability for real-time control. Typically, an initial path is generated through parametric curve interpolation, and subsequently optimized under kinematic and dynamic constraints to meet specific task requirements [14]. The evolution of trajectory planning methods reflects increasing sophistication in addressing kinematic and dynamic constraints. Initially, cubic polynomial interpolation was commonly employed [15], later followed by higher-order polynomials such as quintic [16] and seventh-order methods [17], as well as spline-based techniques. For instance, a fifth-order B-spline method was integrated with the elitist non-dominated sorting genetic algorithm for multi-objective optimization [18]. In trajectory optimization, objectives of time, energy consumption, and ensuring motion smoothness are optimized by genetic algorithms and particle swarm optimization (PSO) [19,20,21].
High-quality grasping trajectories require balancing multiple, such as time, smoothness, energy efficiency and collision avoidance. Representative efforts include a bi-objective function formulated based on jerk and time [22], differential evolution applied for multi-objective trajectory optimization [23] and Pareto-optimal trajectory solutions by NSGA-II algorithm [24]. Among these, the PSO algorithm has gained significant traction due to its simplicity, parameter efficiency and rapid convergence [25]. A key challenge in multi-objective PSO is selecting a suitable global leader to maintain convergence and diversity. This issue was addressed through the introduction of MOPSO, which incorporates an external archive to store non-dominated solutions and employs crowding distance for leader selection [26]. Despite its utility, conventional MOPSO still faces issues such as diversity loss, premature convergence, and parameter sensitivity, particularly in complex manipulator trajectory planning scenarios. To address these challenges, algorithmic enhancements have been proposed across multiple dimensions. These include optimizing initial particle distributions using good point set theory [27], incorporating adaptive inertia weights to balance exploration and exploitation [28] and integrating differential evolution operators to enhance the escape from local optima [29]. Furthermore, external archive maintenance and leader selection strategies have been refined to improve the distribution and convergence of the Pareto front.
This paper proposes an improved OMOPSO for solving the multi-objective trajectory optimization problem of a seven-degree-of-freedom manipulator in laboratory manipulation scenarios, where strict smoothness and multiple physical constraints must be satisfied. The algorithm incorporates seventh-order polynomial interpolation to guarantee high-order kinematic continuity, which is essential for precision-demanding operations such as grasping and weighing. To alleviate the non-uniform Pareto distribution and convergence instability commonly observed in swarm-based optimization methods, a reference vector-based leader selection mechanism is combined with a hybrid archive update strategy using ε -dominance and inflection point sorting. Based on this framework, a multi-objective optimization model considering motion duration, smoothness, and energy consumption is established under joint-level constraints. Experimental results indicate that the optimized trajectories achieve shorter execution times, smoother transitions, and lower energy consumption, demonstrating the suitability of the proposed method for automated chemical synthesis operations.
The rest of this paper is organized as follows: Section 2 describes the kinematic model of the 7-DOF manipulator based on the Denavit–Hartenberg (D–H) method and the constraint model for manipulator. The proposed multi-objective optimization strategy is presented in Section 3. The simulation results and experimental verification are discussed in Section 4. Finally, the conclusion and future works are discussed in Section 5.

2. Problem Statement

2.1. Task Scenario

Effective trajectory planning is required to enable the manipulator to perform grasping and weighing tasks in chemical experiments. As illustrated in Figure 1, the experimental platform is configured with the test tube rack positioned to the left of the manipulator and the balance positioned to the right. Without proper trajectory planning, the joints of the manipulator may operate near their physical angular limits during task execution. This would not only shorten the manipulator’s lifespan, but also cause certain joint velocities to theoretically approach infinity, resulting in significantly reduced motion smoothness and control precision.
To this end, a grasping trajectory was designed to enable the manipulator to transfer the test tubes from the rack to the balance. The objective of the optimization process was to generate a smooth trajectory that would eliminate oscillations between task points while ensuring high reliability and consistency in repeated experiments. Figure 1 illustrates the trajectory optimization process, where the black smooth curve composed of waypoints ( P 1 P 5 ) represents the final optimized trajectory. Waypoints P 0 and P 5 represent the start and end of the trajectory, respectively. This study proposes a trajectory planning method based on an improved OMOPSO algorithm. The overall procedure comprises the following steps: First, system constraints are defined according to the operational environment and task requirements, including physical limits such as the joint motion range. Next, the improved OMOPSO planner performs a multi-objective path search and optimization process within these constraints to generate a globally optimal or near-optimal feasible path. Next, this path is temporally parameterized and smoothed to produce an executable trajectory. Finally, the trajectory commands are sent to the control system for execution, thereby accomplishing the designated motion task in the given operational scenario (Figure 2).

2.2. Kinematic Modeling of the Manipulator Based on the D–H Method

This study establishes the forward kinematics of the Realman GEN72 robotic manipulator using an improved D–H parameterization method. The relationship between the coordinate frames is shown in Figure 3.
The improved D–H parameters are listed in Table 1. These parameters describe the kinematic characteristics of each joint in the manipulator. Specifically, a i denotes the distance along the X i axis from the Z i 1 axis to the Z i axis; α i represents the rotation angle about the X i axis from the Z i 1 axis to the Z i axis; d i indicates the distance along the Z i axis from the X i 1 axis to the X i axis; and θ i denotes the rotation angle about the Z i axis from the X i 1 axis to the X i axis.
Homogeneous transformation matrix complete transformation from coordinate frame [ i 1 ] to frame [ i ] can be obtained through the cascade of four basic transformations. The mathematical expression is given as follows:
i 1 T i = Rot ( Z i 1 , θ i ) · Trans ( Z i 1 , d i ) · Trans ( X i , a i ) · Rot ( X i , α i )
By multiplying the four matrices sequentially, the homogeneous transformation matrix from coordinate frame { i 1 } to { i } is obtained as follows:
i 1 T i = cos θ i sin θ i cos α i sin θ i sin α i a i cos θ i sin θ i cos θ i cos α i cos θ i sin α i a i sin θ i 0 sin α i cos α i d i 0 0 0 1
Assuming the manipulator has seven joints, the coordinate frames { 0 } to { 7 } are defined sequentially from the base to the end-effector. The pose of the end-effector with respect to the base frame can be obtained using the following matrix product:
0 T 7 ( q ) = 0 T 1 ( θ 1 ) · 1 T 2 ( θ 2 ) · 2 T 3 ( θ 3 ) · 3 T 4 ( θ 4 ) · 4 T 5 ( θ 5 ) · 5 T 6 ( θ 6 ) · 6 T 7 ( θ 7 )
where q = [ θ 1 , θ 2 , θ 3 , θ 4 , θ 5 , θ 6 , θ 7 ] denotes the joint variable vector.
The transformation matrix 0 T 7 ( q ) can be decomposed as follows:
0 T 7 = r 11 r 12 r 13 p x r 21 r 22 r 23 p y r 31 r 32 r 33 p z 0 0 0 1 = R 3 × 3 P 3 × 1 0 1 × 3 1
where R is the 3 × 3 rotation matrix that describes the orientation of the end-effector, and  P = ( p x , p y , p z ) T is the position vector representing the end-effector’s position in the base coordinate frame.

2.3. Establishment of the Manipulator Constraint Model

In practical operation, grasping tasks require simultaneous consideration of joint limits and the pose constraints of the manipulator’s end-effector.The actual values are shown in Table 2. To address singularity issues in seven-degree-of-freedom manipulator, joint singularity constraints are introduced to prevent system instability, which is manifested as severe oscillations or trajectory loss. The expressions for the constraint conditions and objective function are as follows:
| q ˙ i | ν max , | q ¨ i | a max , | q i | j max , | τ i | τ max q i , min q i q i , max θ min θ ee θ max q ˙ κ · min d ( q , S 1 ) 1 , d ( q , S 2 ) 1 , d ( q , S 3 ) 1
where q ˙ i , q ¨ i , q i , and  τ i represent the joint velocity, acceleration, jerk, and torque, respectively; q i denotes the joint position within its limit range; θ ee is the end-effector orientation; S 1 , S 2 , S 3 denote the singular configurations of the manipulator; d ( q , S i ) is the configuration-space distance between the current joint state q and the singular point S i ; and κ is a safety coefficient (typically set between 0.1 and 0.5). The configuration-space distance for a 7-DOF manipulator can be computed as follows:
d ( q , S i ) = k = 1 7 q k q S i , k q k , max q k , min 2
where metric is commonly used to evaluate the relative proximity of the manipulator configuration to its singular states, serving as a quantitative constraint for ensuring stable motion planning.

2.4. Establishment of the Optimization Model

The aim of trajectory planning for manipulators used to grasp test tubes is to generate optimal motion paths that satisfy joint movement constraints based on a series of given key teach points. The resulting trajectory must not only precisely replicate the grasping path, but also deliver outstanding overall motion performance. However, focusing solely on minimizing execution time can result in excessive acceleration and deceleration, which can cause liquid to splash within test tubes or produce unstable balance readings. Conversely, prioritizing smoothness of the trajectory too highly may prolong operation cycles, thereby reducing experimental throughput. Therefore, the planning process must balance the following core optimization objectives. Minimum time, to improve grasping efficiency and ensure proper rhythm in the experimental workflow; Minimum energy consumption, to enhance the manipulator’s durability and operational economy during frequent start-stop and continuous tasks; Minimum jerk, to generate smooth trajectories under strict jerk constraints, effectively suppressing motion-induced vibration—an essential factor in preventing liquid splashing, ensuring stable grasping, and improving task success rates. In summary, trajectory planning for the test tube grasping task constitutes a comprehensive optimization problem that integrates multiple performance objectives under motion constraints.
min ω ( x ) = ω 1 ( x ) , ω 2 ( x ) , , ω m ( x ) T s . t . g j ( x ) 0 , j = 1 , 2 , , J h k ( x ) = 0 , k = 1 , 2 , , K
where min ω ( x ) denotes the simultaneous minimization of multiple objective functions. x = ( x 1 , x 2 , , x n ) T is the vector of decision variables. ω i ( x ) represents the i-th objective function, and a total of m objectives are optimized simultaneously. The notation “s.t.” denotes the constraints of the optimization problem. g j ( x ) 0 and h k ( x ) = 0 represent the j-th inequality constraint and the k-th equality constraint, respectively.
Accordingly, this study considers three optimization objectives, expressed as follows:
(a) Time objective function
Execution time is considered as a basic task-efficiency indicator in trajectory planning. For a discretized trajectory with n time intervals, the total execution time is defined as
ω 1 = i = 0 n 1 Δ t i = i = 0 n 1 | t i + 1 t i |
where t i denotes the time stamp of the i-th discretization point. Minimizing ω 1 leads to shorter task execution duration.
(b) Energy-related objective function
In robotic manipulation tasks involving test tube grasping and weighing, trajectory planning must consider not only execution efficiency but also the actuation effort required by the robotic joints. From a physical perspective, the mechanical energy consumed by the manipulator during motion can be defined at the actuation level as the time integral of joint power. Specifically, the total mechanical energy consumption over a motion duration T can be expressed as
E = 0 T i = 1 N P i ( t ) d t = 0 T i = 1 N τ i ( t ) q ˙ i ( t ) d t
where N denotes the number of joints, τ i ( t ) and q ˙ i ( t ) represent the driving torque and angular velocity of the i-th joint, respectively, and  P i ( t ) = τ i ( t ) q ˙ i ( t ) is the instantaneous joint power. Equation (9) provides a physically meaningful definition of mechanical energy consumption with units of joules (J).
However, directly minimizing the physical energy defined in Equation (9) within a trajectory optimization framework requires accurate torque modeling and full dynamic computation, which significantly increases computational complexity and sensitivity to modeling uncertainties. Moreover, in laboratory automation tasks such as test tube grasping and weighing, the robotic manipulator typically operates under moderate velocities, limited payload variation, and strict jerk constraints in order to suppress liquid sloshing and measurement disturbances.
Under these operating conditions, joint dynamics can be reasonably approximated as inertia-dominated, such that τ i ( t ) M i ( q ) q ¨ i ( t ) , where M i ( q ) denotes the equivalent rotational inertia of the i-th joint and q ¨ i ( t ) is the joint angular acceleration. This approximation indicates a strong correlation between joint acceleration profiles and actuator effort. Nevertheless, it should be emphasized that acceleration-based quantities are not physically equivalent to the mechanical energy consumption defined in Equation (9), and therefore should not be interpreted as direct energy measures.
Motivated by this observation, an energy-related surrogate objective is introduced for optimization purposes. Instead of directly minimizing physical energy, the following acceleration-based proxy metric is employed:
ω 2 = i = 1 N 1 T 0 T q ¨ i ( t ) 2 d t
where the term penalizes large joint accelerations throughout the duration of the motion. Although this objective is not dimensionally equivalent to physical energy, it is strongly correlated with actuator effort and energy consumption under inertia-dominated dynamics while offering favorable numerical properties for trajectory optimization.
In summary, Equation (9) defines the physical mechanical energy consumption at the actuation level, whereas Equation (10) serves as an optimization-oriented energy-related proxy objective. This formulation enables efficient multi-objective trajectory optimization while indirectly promoting reduced actuation effort and improved operational economy in repetitive test tube grasping and weighing tasks. Throughout this section, q i ( t ) , q ˙ i ( t ) , and  q ¨ i ( t ) denote joint position, velocity, and acceleration, respectively.
(c) Smoothness objective function
For the test tube grasping and weighing task, trajectory smoothness is a critical performance factor. Excessive variations in joint acceleration may induce mechanical vibrations, liquid sloshing inside test tubes, and transient disturbances in weighing measurements, ultimately degrading task success rates. To explicitly suppress such high-frequency motion components, trajectory smoothness is quantified by minimizing joint jerk, defined as the time derivative of joint acceleration.
The smoothness objective is formulated as
ω 3 = i = 1 N 1 T 0 T q i ( t ) 2 d t
where q i ( t ) denotes the jerk of the i-th joint, q i ( t ) is the joint position, and T is the total motion duration. This objective penalizes rapid changes in joint acceleration and effectively constrains higher-order motion dynamics.
It should be noted that the jerk-based objective in Equation (11) does not correspond to a physical energy quantity, but instead serves as a motion-quality metric that directly reflects trajectory smoothness. By explicitly minimizing jerk, the generated trajectories exhibit reduced vibration excitation, improved grasping stability, and enhanced robustness against motion-induced disturbances. This is particularly important in laboratory automation scenarios where liquid handling accuracy and measurement stability are of primary concern.
(d) Normalized multi-objective aggregation function
The trajectory planning problem considered in this study involves multiple, potentially conflicting objectives, including execution time, actuation effort, and motion smoothness. As formulated in Equation (7), these objectives are optimized simultaneously within a multi-objective optimization framework, yielding a set of Pareto-optimal solutions that represent different trade-offs in the objective space.
To select a single executable trajectory from the obtained Pareto-optimal set for practical deployment, a posteriori. The decision-making strategy based on normalized objective aggregation is adopted. Specifically, the following aggregation function is defined:
Φ = k = 1 m λ k · ω k η k
where ω k denotes the k-th objective function, λ k is the corresponding weighting coefficient that reflects the preference of the task, and  η k is a normalization factor. The normalization process ensures that all objectives are mapped to comparable, dimensionless scales, such that ω k / η k ( 0 , 1 ) within the feasible solution space. This prevents any single objective from dominating the aggregated score due to differences in physical units or numerical magnitude.
It is emphasized that Equation (12) is not used to replace the multi-objective optimization process itself. Instead, it serves solely as a post-processing criterion for selecting a compromise solution from the Pareto-optimal solution set. This separation preserves the integrity of the multi-objective formulation while enabling flexible adaptation to different operational priorities in practical robotic control.
Typical weight configurations employed for sensitivity analysis and engineering preference modeling are defined as follows:
  • Time-optimal: λ 1 = 1 , λ k 1 = 0 ;
  • Energy-related optimal: λ 2 = 1 , λ k 2 = 0 ;
  • Smoothness-optimal: λ 3 = 1 , λ k 3 = 0 ;
  • Balanced optimization: λ k = 1 / m , k ;

3. Methodology

3.1. Seventh-Order Polynomial Interpolation Algorithm

In the planning of trajectories for manipulator, polynomial interpolation is one of the most commonly methods for generating trajectories to ensure smooth motion and high-order continuity. This study adopts a seventh-order polynomial interpolation scheme. A seventh-order polynomial ensures the continuity of position q, velocity q ˙ , acceleration q ¨ , and jerk q at path points, achieving C 3 continuity and satisfying the smoothness requirements of highly dynamic robotic manipulators. Compared with cubic and quintic polynomials [30], the seventh-order polynomial effectively suppresses motion jolts caused by discontinuities in jerk, reduces mechanical vibration and structural impact, and maintains trajectory smoothness. This improves the system’s dynamic performance and execution accuracy. Although cubic polynomials are computationally simple, their acceleration varies linearly between segments, which often leads to sudden changes in jerk at path points and makes them unsuitable for tasks requiring high precision and comfort. Quintic polynomials alleviate this issue to some extent by ensuring jerk continuity, meeting most industrial operation requirements [31]. However, when operating in highly dynamic or flexible scenarios, the smoothness of quintic polynomials is insufficient to eliminate minor oscillations [32]. By contrast, seventh-order polynomial interpolation ensures full continuity from position to the third derivative throughout the trajectory, delivering superior performance in terms of smoothness, dynamic consistency and energy efficiency. The seventh-order polynomial interpolation method offers explicit analytical expressions and low parameter complexity while ensuring high-order continuity and controllability. Although B-splines provide strong local adjustability, their parameter selection and knot optimization are computationally intensive, limiting their suitability for real-time optimization and embedded control. In contrast, seventh-order polynomials achieve a practical balance between smoothness, stability, and implementability for high-performance manipulator trajectory planning.
Further, lower-order polynomial alternatives cannot satisfy the high-order smoothness requirements of the task considered in this study. A cubic polynomial can at most enforce boundary conditions on q and q ˙ , while acceleration continuity cannot be guaranteed; a quintic polynomial can satisfy the endpoint constraints on q, q ˙ , and  q ¨ , but the jerk q ( t ) is generally discontinuous at trajectory junctions, resulting in abrupt changes. From a physical perspective, under the medium-to-low speed operating conditions considered in this work, the joint driving torque can be approximated as τ i ( t ) M i ( q ) q ¨ i ( t ) ; therefore, discontinuities or sharp variations in q i ( t ) lead to sudden changes in q ¨ i ( t ) , inducing impulsive actuator forces and structural vibrations. In chemical manipulation tasks such as test tube grasping and weighing, such vibrations may cause liquid oscillations, degrade grasping stability, and disturb measurement accuracy. By contrast, a seventh-order polynomial ensures the continuity of q, q ˙ , q ¨ , and  q ( C 3 continuity) throughout the entire trajectory, thereby effectively suppressing high-frequency dynamic excitation while satisfying velocity and acceleration constraints (see Equation (5)), and meeting the stringent requirements on smoothness and stability in chemical operation tasks.
The use of a seventh-order polynomial in this work is motivated by a fundamental and quantifiable requirement on the polynomial order. Specifically, to simultaneously satisfy the boundary conditions on position, velocity, acceleration, and jerk at both the initial and final instants over the interval t [ 0 , T ] , a total of eight independent constraints must be imposed, namely
q ( 0 ) = q 0 , q ˙ ( 0 ) = q ˙ 0 , q ¨ ( 0 ) = q ¨ 0 , q ( 0 ) = q 0 q ( T ) = q T , q ˙ ( T ) = q ˙ T , q ¨ ( T ) = q ¨ T , q ( T ) = q T
Let the joint angle q ( t ) vary with time t; its motion trajectory can be described by a seventh-order polynomial:
q ( t ) = a 0 a 1 a 2 a 3 a 4 a 5 a 6 a 7 1 t t 2 t 3 t 4 t 5 t 6 t 7 T
where q ( t ) represents the joint angle at time t, and  a 0 , a 1 , a 2 , a 3 , a 4 , a 5 , a 6 , a 7 are the undetermined polynomial coefficients. The variable t denotes time, which is usually normalized over the interval [ 0 , T ] , where T is the total duration of motion from the starting point to the endpoint. By differentiating the polynomial with respect to time, the first, second, and third derivatives correspond to velocity, acceleration, and jerk, respectively:
q ˙ ( t ) = a 1 a 2 a 3 a 4 a 5 a 6 a 7 1 2 t 3 t 2 4 t 3 5 t 4 6 t 5 7 t 6 T
q ¨ ( t ) = a 2 a 3 a 4 a 5 a 6 a 7 2 6 t 12 t 2 20 t 3 30 t 4 42 t 5 T
q ( t ) = a 3 a 4 a 5 a 6 a 7 6 24 t 60 t 2 120 t 3 210 t 4 T
where the following equations define the boundary conditions for trajectory planning, ensuring that the trajectory and its derivatives satisfy the prescribed target values: at the initial time t = 0 : q ( 0 ) = q 0 , q ˙ ( 0 ) = q ˙ 0 , q ¨ ( 0 ) = q ¨ 0 , q ( 0 ) = q 0 ; and at the final time t = T : q ( T ) = q T , q ˙ ( T ) = q ˙ T , q ¨ ( T ) = q ¨ T , q ( T ) = q T .
Substituting these boundary conditions into Equations (13)–(16) yields an eight-dimensional linear equation system:
A a = b
where matrix form is expressed as follows:
A = 1 0 0 0 0 0 0 0 0 1 0 0 0 0 0 0 0 0 2 0 0 0 0 0 0 0 0 6 0 0 0 0 1 T T 2 T 3 T 4 T 5 T 6 T 7 0 1 2 T 3 T 2 4 T 3 5 T 4 6 T 5 7 T 6 0 0 2 6 T 12 T 2 20 T 3 30 T 4 42 T 5 0 0 0 6 24 T 60 T 2 120 T 3 210 T 4 , a = a 0 a 1 a 2 a 3 a 4 a 5 a 6 a 7 , b = q 0 q ˙ 0 q ¨ 0 q 0 q T q ˙ T q ¨ T q T
where b is the boundary condition vector, A is the coefficient matrix, and a = [ a 0 , a 1 , a 2 , a 3 , a 4 , a 5 , a 6 , a 7 ] T is the vector of unknown coefficients. By solving this linear system, the polynomial coefficients a i can be determined.

3.2. Multi-Objective Optimization Based on Improved OMOPSO

The OMOPSO algorithm is an improved version of standard PSO algorithm that improves performance by incorporating a crowding distance and an external elite archive mechanism [33]. (As shown in the pseudocode for Algorithm 1). In order to overcome these limitations and enhance the convergence and uniformity of solution distribution in complex, high-dimensional, multi-objective problems, an improved OMOPSO algorithm based on reference vector is presented. The improvements focus on two structural levels, such as leader selection and external archive management. Key innovations include a reference vector-based leader selection mechanism and an external archive update strategy integrating ε -domination relationships with inflection point evaluation.
Algorithm 1: Reference Vector-based Improved OMOPSO
Symmetry 18 00392 i001

3.2.1. Reference Vector-Based Leader Selection Mechanism

Standard OMOPSO algorithms typically select the global leader based on congestion distance or random sampling. This makes it difficult to ensure uniform search directions within the objective space. The proposed improved OMOPSO algorithm addresses this issue by introducing a reference vector system that divides the objective space into multiple uniformly distributed conical regions. Each reference vector represents a direction within the objective space and guides the particles to distribute themselves uniformly across the Pareto front. This mechanism enables the algorithm to explore the objective space more evenly, avoid leader selection bias and distribute non-dominated solutions uniformly across the entire front. Let the current external archive be defined as follows:
A = ( x j , f j ) j = 1 N A
where f j = [ f j 1 , , f j m ] T represents the objective vector, with m = 3 in this study. To perform normalization, we define:
f ˜ j = f j f min f max f min
where f min = min j f j , f max = max j f j , and the operations are taken component-wise. Subsequently, a uniformly distributed set of reference vectors is constructed as follows:
W = { w r } r = 1 N ref , w r = [ w r 1 , w r 2 , w r 3 ] T
where the reference vector components satisfy w r 1 + w r 2 + w r 3 = 1 and w r i 0 for i = 1 , 2 , 3 and r = 1 , , N ref . The projection score of each normalized solution f ˜ j onto the reference vector w r is defined as follows:
s r j = f ˜ j T w r
where s r j measures the projection degree of the normalized objective vector f ˜ j along the reference direction w r . For each reference vector, the individual with the minimum projection score is selected as the representative leader in that direction:
j * ( r ) = arg min j { 1 , , N A } s r j
where the leader set is obtained as follows:
L * = x j * ( 1 ) , x j * ( 2 ) , , x j * ( N ref )
During the particle update process, each particle randomly selects a leader from L * according to its corresponding reference direction, thereby enabling synchronous convergence of the swarm toward multiple objective directions.

3.2.2. Archive Update Strategy Based on ε -Dominance and Knee-Point Evaluation

In the improved OMOPSO, the external archive is managed using a two-stage mechanism that combines ε -dominance compression and knee-point scoring, achieving both archive size control and the preservation of critical trade-off solutions.
To control the size of the archive and maintain distribution uniformity, an ε -dominance criterion is introduced. The adaptive threshold is defined as follows:
ε = ρ · f max f min
where ρ ( 0 , 1 ) is a proportional factor (set to ρ = 0.01 in this study).
Given two solutions f a and f b , if
f a , i f b , i ε i , i { 1 , , m }
where f a ε -dominates f b , and m = 3 is the number of objectives in this study.
Based on this definition, the objective space can be partitioned into several ε -grid cells:
k j = f j f min ε
Within each cell, only one representative solution is retained, m = 3 in this study, typically selected as follows:
f rep = arg min f j cell i = 1 m f j , i
This mechanism effectively removes redundant solutions and improves the uniformity of the solution distribution in the objective space.
In order to preserve the key trade-off solutions on the Pareto frontier, we introduce the knee-point coefficient in order to quantify the local curvature of the frontier. Assuming that the non-dominated set is sorted in ascending order according to the first objective value, the results are as follows:
F = { f ( 1 ) , f ( 2 ) , , f ( n ) }
The proposed curvature-based formulation in Equation (31) is defined in the three-dimensional objective space. The local knee-point score of the i-th solution is defined as follows:
κ i = 1 , i = 1 or i = n 1 π arccos ( f ( i 1 ) f ( i ) ) T ( f ( i + 1 ) f ( i ) ) f ( i 1 ) f ( i ) f ( i + 1 ) f ( i ) , Otherwise
After normalization, κ i [ 0 , 1 ] ; larger values indicate more pronounced curvature, reflecting stronger trade-off characteristics between objectives. To further balance diversity and convergence, the knee-point score is combined with the standard crowding distance D i to form a comprehensive selection score:
S i = α κ i + ( 1 α ) D i
where α [ 0 , 1 ] is the weighting coefficient (set to α = 0.6 in this paper). Finally, the top A s i z e individuals with the highest S i values are selected to form the updated external archive.

3.3. Evaluation Performance Indicator for Multi-Objective Algorithms

Several quantitative indicators are adopted to evaluate the performance of the improved algorithm. In multi-objective optimization, Inverted Generational Distance plus (IGD+), Spacing (SP), and Hypervolume (HV) are three widely used performance indicators that provide a comprehensive assessment of the quality of the obtained solution set. These indicators provide assessments in terms of three key dimensions: convergence, distribution uniformity and overall performance.
The IGD+ performance indicator is an enhanced version of the Inverted Generational Distance (IGD) metric, used to evaluate the convergence and diversity of solution sets in multi-objective optimization [34]. Unlike the conventional IGD, IGD+ employs a modified distance measure d + ( p * , p ) that only penalizes the objectives in which the obtained solution p is worse than the reference point p * on the true Pareto frontier. This modification ensures that solutions that dominate or are equal to the reference points are not penalized, leading to a more accurate assessment of convergence and a stronger emphasis on Pareto dominance.
The IGD+ metric is defined as follows:
IGD + ( P * , P ) = 1 | P * | p * P * min p P d + ( p * , p )
The SP performance indicator measures the uniformity of distribution within the solution set, and the smaller SP value corresponds to a more uniformly distributed set:
SP ( P ) = 1 | P | 1 i = 1 | P | 1 d i d ¯ 2
The HV performance indicator provides a comprehensive evaluation of both convergence and diversity. It measures the volume of the objective space that is dominated by the solution set in relation to a reference point, r. A higher HV value indicates that the solution set covers a higher-quality region of the objective space:
HV ( P , r ) = LebesgueMeasure p P [ p 1 , r 1 ] × × [ p m , r m ]
The ZDT (1–6) and DTLZ(1-6) test suites is a widely adopted standard for benchmarking the performance of multi-objective optimization algorithms. It comprehensively encompasses a range of Pareto frontier characteristics, including convexity, concavity, continuity, discreteness, and uniformity. This provides a thorough and rigorous framework for assessing the overall performance of multi-objective optimization algorithms.

4. Experiment and Discussion

4.1. Evaluation Results

The proposed improved OMOPSO algorithm was implemented in MATLAB 2018b. The population size, maximum number of iterations, and external archive capacity were set to 100, 200, and 150, respectively. Latin hypercube sampling was adopted for population initialization. A linearly decreasing inertia weight strategy was employed, with w decreasing from 0.9 to 0.4, while the learning factors c 1 and c 2 were adaptively adjusted within [ 1.5 , 2.5 ] . The particle velocity was limited to 0.5 times the range of the decision variable. Polynomial mutation was applied with a mutation probability of 1 / D and a distribution index of 20. Archive maintenance was carried out using a reference-vector strategy based on ε -dominance with knee-point preference, where the ε scaling factor and the knee-point weight were set at 0.01 and 0.6, respectively. For leader selection, 41 and 91 reference vectors were employed for bi-objective and tri-objective problems. For the multimodal ZDT4 problem, an initial Pareto front guidance mechanism combined with local search was incorporated. The algorithm was evaluated on the ZDT1–ZDT6 and DTLZ1–DTLZ6 benchmark problems, with 15 independent runs conducted for each problem. Performance was assessed using IGD+, SP, HV, and computational time, where IGD+ and HV were calculated based on the true Pareto fronts.
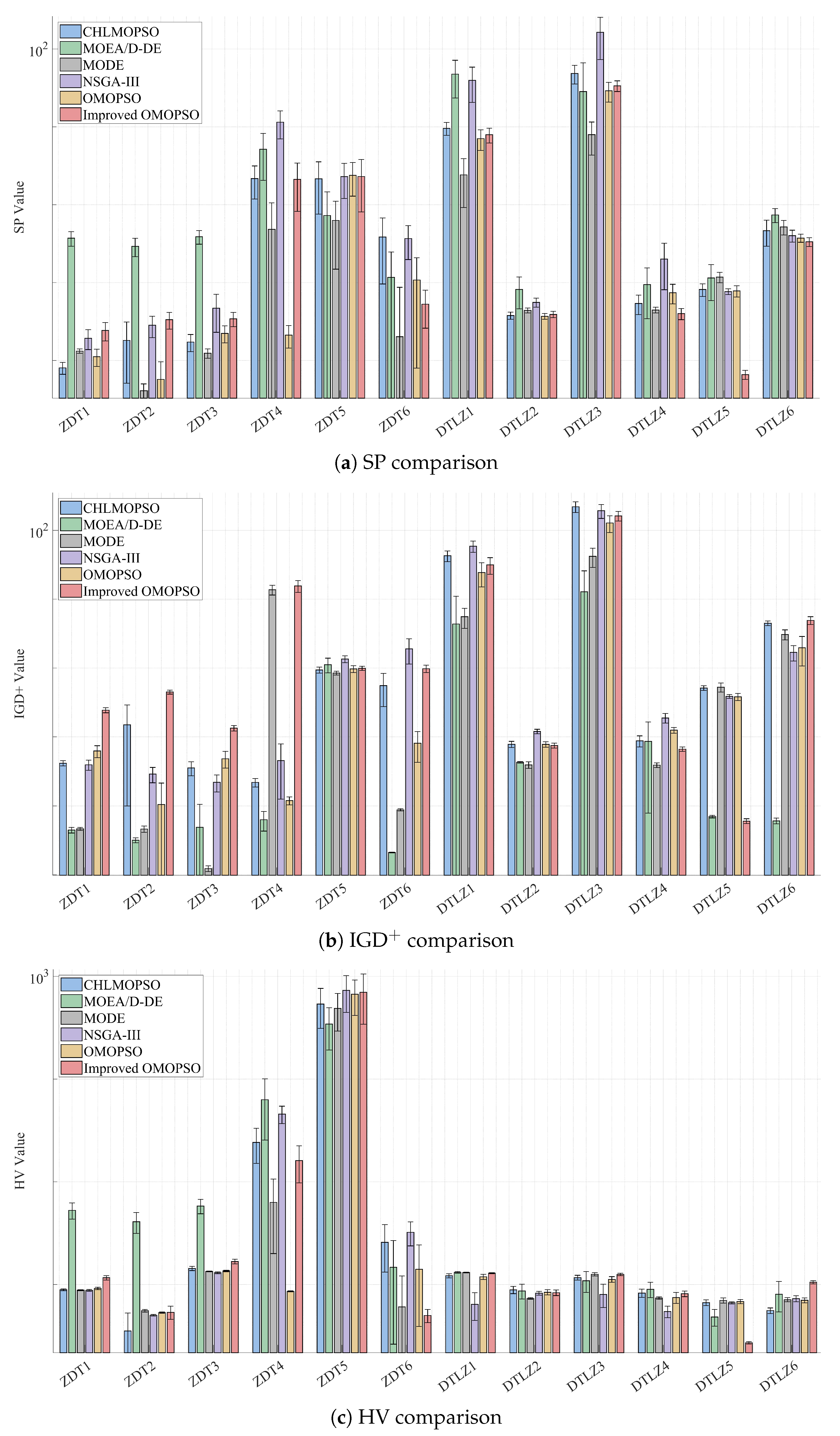
The experimental results on the ZDT and DTLZ benchmark problems are summarized in Table 3, Table 4 and Table 5, which report the performance of different algorithms in terms of the SP, IGD+, and HV indicators, respectively. The results show that the proposed improved OMOPSO algorithm achieves competitive and, in many cases, superior performance across multiple performance indicators, indicating consistent improvements in convergence accuracy, solution distribution, and overall solution quality. Figure 4 presents a bar chart visualization of these results.
Based on the quantitative results reported in Table 3, Table 4 and Table 5, a visual comparison is further conducted to provide deeper insights into the performance of the compared algorithms. Accordingly, Figure 4 presents the visualized results of the SP, IGD+, and HV indicators, offering an intuitive comparison of the algorithms in terms of solution set distribution, convergence behavior, and overall solution quality across different test problems.
In terms of convergence accuracy, the IGD+ results indicate that the improved OMOPSO achieves lower values than CHLMOPSO and the original OMOPSO on most test problems while performing comparably to MOEA/D-DE and NSGA-III on problems such as ZDT1–ZDT3. Specifically, on ZDT2, ZDT4, and ZDT6, the IGD+ values of the improved OMOPSO are 1.05 × 10 2 , 1.20 × 10 2 , and 8.10 × 10 2 , respectively. These results are slightly better than those obtained by CHLMOPSO and MODE, and remain close to the values achieved by the best-performing algorithms. Regarding solution distribution, the SP indicator shows that the improved OMOPSO generally yields more uniformly distributed solution sets than CHLMOPSO, MODE, and the original OMOPSO, and performs similarly to NSGA-III on most test cases. Notably, on the ZDT4 problem, the SP value of the improved OMOPSO is reduced by two orders of magnitude compared with CHLMOPSO and the original OMOPSO, indicating an improvement in distribution uniformity. From the perspective of overall solution quality, the HV results reveal that the improved OMOPSO achieves competitive Pareto front coverage across the majority of test problems. It obtains the highest HV values on ZDT2 and ZDT5 while exhibiting performance comparable to that of NSGA-III and MOEA/D-DE on ZDT3 and ZDT6. Overall, although the improved OMOPSO does not achieve the best performance on all test problems and indicators, the experimental results indicate that it provides a more stable improvement in solution distribution uniformity. Meanwhile, its convergence performance and overall solution quality remain comparable to those of several representative multi-objective optimization algorithms. These results suggest that, within the original algorithmic framework, the proposed modifications lead to a certain degree of performance improvement in multi-objective optimization.

4.2. Simulation Results

To verify the effectiveness of the proposed multi-objective trajectory planning method, a spatial grasping trajectory was first defined. The end-effector of the robotic arm sequentially passes through a series of path points P 0 , P 1 , , P k , , P n . The path points P 1 to P n lie on the optimized trajectory curve. The corresponding joint-space trajectory points are represented as follows:
Q = { P k k = 0 , , n }
where P 0 and P 5 represent the initial and final postures, while P 3 denotes the grasping point for the test tube. For the tube-grasping experiment, a set of fixed discrete path points was predefined, as listed in Table 6.
For the optimization task, the trajectory segment between points P 2 P 4 is chosen as the optimization region. The segments P 0 P 2 correspond to the approach and lifting motion toward the test tube. Since the test tube rack is placed vertically, this portion of the grasping trajectory maintains a fixed geometric pattern and can therefore be represented by a straight-line path. Similarly, the trajectory between P 4 P 5 , corresponding to the test tube placement phase, remains fixed and can also be expressed as a straight line or as the unoptimized original path. Through the designed optimizer, the trajectory between P 2 P 4 is refined to better suit the requirements of the test tube grasping task, thereby improving the stability and efficiency of the grasping operation.
The improved MOPSO algorithm takes the time intervals Δ t from P 2 to P 4 and from P 4 to P 5 , as well as the velocity, acceleration, and jerk of the seven joints corresponding to waypoint P 4 as decision variables. Figure 5 illustrates the three-dimensional Pareto front obtained by the improved OMOPSO opThe improved MOPSO algorithm adopts the time intervals Δ t 1 (from P 2 to P 4 ) and Δ t 2 (from P 4 to P 6 ), together with the velocity, acceleration, and jerk of the seven joints at the intermediate waypoint P 4 , as decision variables. In this study, a global piecewise seventh-order polynomial trajectory parameterization in joint space is employed for the two segments ( P 2 P 4 and P 4 P 6 ), ensuring smooth passage through the intermediate point P 4 . By simultaneously matching joint position, velocity, acceleration, and jerk at P 4 , the resulting trajectory achieves C 3 continuity.
Accordingly, the decision vector is defined as
x = Δ t 1 , Δ t 2 , q ˙ P 4 1 , 2 7 , q ¨ P 4 1 , 2 7 , q P 4 1 , 2 7
with a total dimensionality of 23. The time variables satisfy Δ t 1 , Δ t 2 [ d t min , d t max ] , while the velocity, acceleration, and jerk at P 4 are constrained within fixed proportions of their respective joint limits.
Constraint handling is implemented using a hybrid strategy combining boundary repair and static penalty functions. After particle updates, reflection-based repair and truncation are applied to enforce variable bounds. For any violations of joint position, velocity, acceleration, or jerk limits during trajectory generation, a quadratic penalty term weighted by w pen = 1000 is added to each of the three objective functions. If trajectory generation fails or numerical instability occurs, a large penalty value 10 6 , 10 6 , 10 6 is assigned to the objectives.
Figure 5 illustrates the three-dimensional Pareto front obtained by the improved OMOPSO algorithm, where trajectory execution time, energy consumption, and jerk are considered as optimization objectives. The results reveal a clear trade-off among these objectives: reducing execution time generally leads to increased energy consumption and higher jerk. The final compromise solution, marked by a star in the figure, achieves a desirable balance among time efficiency, energy efficiency, and motion smoothness.
It should be noted that Equation (12) is not part of the OMOPSO search process. Instead, it is applied after the Pareto-optimal set has been obtained, serving as a normalization-based decision metric to select the most balanced trade-off solution. By flexibly adjusting the weighting coefficients according to practical engineering requirements, the proposed method can be effectively adapted to diverse application scenarios. Optimization algorithm, with time, energy consumption, and jerk serving as the optimization objectives. The results reveal a clear trade-off relationship among the three objectives: reducing trajectory execution time generally leads to an increase in energy consumption and jerk. The final compromise solution (marked by the star) achieves a desirable balance among execution time, energy efficiency, and smoothness. The weighting coefficients can be flexibly adjusted according to practical engineering requirements, allowing the method to adapt to diverse application scenarios.
Regarding the Pareto results, the research that selected the optimization solution with weights λ 1 = 1 / 3 , λ 2 = 1 / 3 , and λ 3 = 1 / 3 . Through MATLAB simulation verification, the following results were obtained.
The motion characteristics of each manipulator joint after optimization are illustrated in the following figures. The joint angle trajectories curves, shown in Figure 6a. The joint velocity curves, shown in Figure 6b, indicate that all joint velocities are strictly maintained within the preset limits ( ± 3.5 rad/s). The velocity profiles exhibit continuous variations without oscillations or sharp spikes, verifying that the proposed trajectory optimization achieves smooth motion while ensuring time efficiency and compliance with kinematic constraints. The phase differences among different joints further demonstrate the system’s coordinated control capability, ensuring synchronous posture adjustments of the end-effector.
The joint acceleration responses, presented in Figure 6c, remain mostly within ± 3 rad/s2, indicating that the optimization method effectively suppresses acceleration peaks. This contributes to reduced driving energy consumption and mechanical impact during operation. The jerk profiles, shown in Figure 6d, exhibit continuous variations within the range of approximately ± 7 rad/s3, without abrupt fluctuations. This reflects the excellent high-order smoothness of the optimized trajectory, ensuring both dynamic stability and mechanical safety of the manipulator during motion.
The trajectory performance of the 7-DOF manipulator that optimized by improved OMOPSO algorithm are shown in Figure 6. Examining the joint angle, velocity, acceleration and jerk profiles reveals that all joints exhibit continuous and smooth variations throughout the entire motion process, with no noticeable discontinuities or oscillations. This demonstrates that the generated trajectory possesses excellent dynamic feasibility and smoothness. The velocity and acceleration magnitudes remain strictly within the predefined constraints, ensuring coordinated joint movement and stable, synchronized end-effector posture transitions. Energy consumption analysis confirms that instantaneous joint power fluctuates periodically with motion phases, while cumulative energy increases monotonically to a relatively low total value. These results verify that the proposed trajectory planning method achieves high energy efficiency while maintaining smooth motion.
The energy consumption analysis corresponding to the optimized trajectory is presented in Figure 7. The blue curve shows the instantaneous driving power of each robotic joint and exhibits periodic fluctuations consistent with variations in joint acceleration. The red curve shows the cumulative energy consumption and exhibits a monotonically increasing trend, reaching a final total of approximately 3.2 units. This indicates that the proposed trajectory planning method achieves high energy efficiency while maintaining smooth motion. Power peaks are primarily concentrated during the trajectory’s acceleration phases, suggesting that most energy is expended overcoming system inertia and transient high loads at the joint actuators.
Using an improved OMOPSO optimization method to select the optimal combination of variable values resulted in a smoothly optimized motion trajectory, as shown in Figure 8.

4.3. Experimental Verification

This study involved the development of an integrated robotic gripping platform (Figure 9) for the validation of trajectory planning methods. Based on a high-performance host computer, the system connects to the Realman GEN72 manipulator via Ethernet for real-time operation. During the experiments, standard laboratory balances and test tubes are used to simulate typical chemical laboratory tasks.
During the experiment, the trajectory planning function designed the task trajectory and transmitted the data to the manipulator’s motion controller via a communication protocol. The experimental results showed that the manipulator operated stably with smooth, continuous motion of all joints when executing the optimized trajectory. No mechanical vibrations or abnormal movement behaviors were observed. These results validated the effectiveness and robustness of proposed control method, and Figure 10 showed the manipulator’s motion process of the experiment.

5. Conclusions

This study proposes a multi-objective trajectory optimization method for robotic manipulation tasks in chemical laboratories, with a particular focus on grasping, weighing, and preparation operations. In such scenarios, robotic manipulators are required to operate under strict constraints, including limited workspace, collision avoidance with laboratory equipment, payload sensitivity during weighing processes, and stringent smoothness requirements to prevent liquid spillage or measurement deviations. By integrating seventh-order polynomial interpolation with an improved OMOPSO algorithm, the proposed method effectively addresses the kinematic redundancy and motion continuity requirements of a seven-degree-of-freedom manipulator under laboratory-specific constraints. By jointly considering joint limits as well as velocity, acceleration, and jerk constraints, the method generates a uniformly distributed set of Pareto-optimal trajectories that balance execution time, energy consumption, and motion smoothness. Experimental results demonstrate that the optimized trajectories enhance the reliability of automated chemical preparation workflows. The obtained Pareto solution set allows for flexible trajectory selection according to different task priorities, providing practical support for diverse laboratory operations ranging from rapid preparation to high-precision measurement.
Despite the favorable performance of the proposed method, several limitations should be acknowledged. The experimental validation is primarily conducted under predefined task conditions and static laboratory layouts. In addition, the modeling process simplifies certain factors related to chemical laboratory operations, whose influence on trajectory optimization performance in more complex experimental scenarios remains to be further examined. Moreover, although the improved OMOPSO algorithm exhibits good convergence characteristics for the studied problem scale, its stability and generalization capability for a broader range of task sets or different manipulator configurations require further validation. Future work will focus on extending the proposed framework to dynamic and online trajectory planning, enhancing robustness to uncertainties, and further integrating trajectory optimization with full-process laboratory automation systems.

Author Contributions

Conceptualization, Z.X. and T.L.; data curation, Z.X. and T.L.; formal analysis, H.Y.; funding acquisition, P.T. and J.D.; investigation, H.Y.; methodology, Y.W. and J.D.; resources, P.T. and M.X.; software, Z.X. and T.L.; supervision, P.T. and J.D.; validation, M.X.; visualization, W.X.; writing—original draft, Z.X. and T.L.; writing—review & editing, Z.X., T.L. and P.T. All authors have read and agreed to the published version of the manuscript.

Funding

This work was supported financially by the National Natural Science Foundation of China under grant number 52472422.

Data Availability Statement

Data is contained within this article.

Conflicts of Interest

Authors Weijun Xu and Ming Xu were employed by the companies Gosuncn ChuanglianTechnology Co., Ltd. and Xianheng Internaational (Hangzhou) Electrical Manufacturing Co., Ltd., separately. The remaining authors declare that the research was conducted in the absence of any commercial or financial relationships that oould be construed as a potential conflict of interest.

References

  1. Song, T.; Luo, M.; Zhang, X.; Chen, L.; Huang, Y.; Cao, J.; Zhu, Q.; Liu, D.; Zhang, B.; Zou, G.; et al. A Multiagent-Driven Robotic AI Chemist Enabling Autonomous Chemical Research on Demand. J. Am. Chem. Soc. 2025, 147, 12534–12545. [Google Scholar] [CrossRef] [PubMed]
  2. Valentine, B. AMO MYPP: Moving Applications of AI and ML from Materials Design and Discovery Through Process Design and Development; [Slide presentation]; U.S. Department of Energy, Advanced Manufacturing Office: Washington, DC, USA, 2018; Available online: https://www.energy.gov/sites/prod/files/2018/12/f58/Moving%20Applications%20of%20AI%20and%20ML%20from%20Materials%20Design%20Discovery%20thru%20Process%20Design%20Development_B%20Valentine.pdf (accessed on 9 October 2025).
  3. Ministry of Industry and Information Technology of the People’s Republic of China. Notice on Issuing the “Robotics+” Application action Implementation Plan (MIIT-TLZ [2022] No. 187); [Policy document]; Central People’s Government of the People’s Republic of China: Beijing, China, 2023; Available online: https://www.gov.cn/zhengce/zhengceku/2023-01/19/5738112/files/61a45b6de7f34f4197c4d6fe1b9106fb.pdf (accessed on 19 October 2025).
  4. Bundesministerium für Bildung und Forschung (BMBF). Bundesbericht Forschung und Innovation 2024—Hauptband; BMBF: Berlin, Germany, 2024; Available online: https://www.bundesbericht-forschung-innovation.de/files/BMBF_BuFI-2024_Hauptband.pdf (accessed on 15 October 2025).
  5. King, R.D.; Rowland, J.; Oliver, S.G.; Young, M.; Aubrey, W.; Byrne, E.; Liakata, M.; Markham, M.; Pir, P.; Soldatova, L.N.; et al. The Automation of Science. Science 2009, 324, 85–89. [Google Scholar] [CrossRef] [PubMed]
  6. Steiner, S.; Wolf, J.; Glatzel, S.; Andreou, A.; Granda, J.M.; Keenan, G.; Hinkley, T.; Aragon-Camarasa, G.; Kitson, P.J.; Angelone, D.; et al. Organic Synthesis in a Modular Robotic System Driven by a Chemical Programming Language. Science 2019, 363, eaav2211. [Google Scholar] [CrossRef] [PubMed]
  7. Xu, H.; Lin, J.; Liu, Q.; Chen, Y.; Zhang, J.; Yang, Y.; Young, M.C.; Xu, Y.; Zhang, D.; Mo, F. High-Throughput Discovery of Chemical Structure-Polarity Relationships Combining Automation and Machine-Learning Techniques. Chem 2022, 8, 3202–3214. [Google Scholar] [CrossRef]
  8. Coley, C.W.; Thomas, D.A., III; Lummiss, J.A.M.; Jaworski, J.N.; Breen, C.P.; Schultz, V.; Hart, T.; Fishman, J.S.; Rogers, L.; Gao, H.; et al. A Robotic Platform for Flow Synthesis of Organic Compounds Informed by AI Planning. Science 2019, 365, eaax1566. [Google Scholar] [CrossRef]
  9. Chen, J.; Cross, S.R.; Miara, L.J.; Cho, J.-J.; Wang, Y.; Sun, W. Navigating Phase Diagram Complexity to Guide Robotic Inorganic Materials Synthesis. Nat. Synth. 2024, 3, 606–614. [Google Scholar] [CrossRef]
  10. Zhao, H.; Chen, W.; Huang, H.; Sun, Z.; Chen, Z.; Wu, L.; Zhang, B.; Lai, F.; Wang, Z.; Adam, M.L.; et al. A Robotic Platform for the Synthesis of Colloidal Nanocrystals. Nat. Synth. 2023, 2, 505–514. [Google Scholar] [CrossRef]
  11. Burger, B.; Maffettone, P.M.; Gusev, V.V.; Aitchison, C.M.; Bai, Y.; Wang, X.; Li, X.; Alston, B.M.; Li, B.; Clowes, R.; et al. A Mobile Robotic Chemist. Nature 2020, 583, 237–241. [Google Scholar] [CrossRef]
  12. Zhu, Q.; Zhang, F.; Huang, Y.; Xiao, H.; Zhao, L.; Zhang, X.; Song, T.; Tang, X.; Li, X.; He, G.; et al. An All-Round AI-Chemist with a Scientific Mind. Natl. Sci. Rev. 2022, 9, nwac190. [Google Scholar] [CrossRef]
  13. Abbasnejad, G.; Yoon, J.; Lee, H. Optimum Kinematic Design of a Planar Cable-Driven Parallel Robot with Wrench-Closure Gait Trajectory. Mech. Mach. Theory 2016, 99, 1–18. [Google Scholar] [CrossRef]
  14. Schuetz, C.; Baur, J.; Pfaff, J.; Buschmann, T.; Ulbrich, H. Evaluation of a Direct Optimization Method for Trajectory Planning of a 9-DOF Redundant Fruit-Picking Manipulator. In Proceedings of the 2015 IEEE International Conference on Robotics and Automation (ICRA), Seattle, WA, USA, 26–30 May 2015; pp. 2660–2666. [Google Scholar]
  15. Kim, K.-W.; Kim, H.-S.; Choi, Y.-K.; Park, J.-H. Optimization of Cubic Polynomial Joint Trajectories and Sliding Mode Controllers for Robots Using Evolution Strategy. In Proceedings of the IECON’97 23rd International Conference on Industrial Electronics, Control, and Instrumentation, New Orleans, LA, USA, 14 November 1997; Volume 3, pp. 1444–1447. [Google Scholar]
  16. Duditza, F.; Diaconescu, D.; Gogu, G. Structural and Geometrical Systematization of Spatial Positioning Kinematic Chains Employed in Industrial Robots. In RoManSy 6: Proceedings of the Sixth CISM-IFToMM Symposium on Theory and Practice of Robots and Manipulators; Springer: Berlin/Heidelberg, Germany, 1987; pp. 568–575. [Google Scholar]
  17. Lu, Y.; Xu, Y.; Zhang, W.; Li, J.; Li, F.; Liu, X. Muti-Objective Optimal Trajectory Planning for the Experiment Cabinet Robot Manipulator in the Space Station. Robotica 2025, 43, 1433–1455. [Google Scholar] [CrossRef]
  18. Huang, J.; Hu, P.; Wu, K.; Zeng, M. Optimal Time-Jerk Trajectory Planning for Industrial Robots. Mech. Mach. Theory 2018, 121, 530–544. [Google Scholar] [CrossRef]
  19. Xidias, E.K. Time-Optimal Trajectory Planning for Hyper-Redundant Manipulators in 3D Workspaces. Rob. Comput.-Integr. Manuf. 2018, 50, 286–298. [Google Scholar] [CrossRef]
  20. Zhou, Y.; Han, G.; Wei, Z.; Huang, Z.; Chen, X.; Wu, J. Optimal Trajectory Planning of Robot Energy Consumption Based on Improved Sparrow Search Algorithm. Meas. Control 2024, 57, 1014–1021. [Google Scholar] [CrossRef]
  21. Yokose, Y. Energy-Saving Trajectory Planning for Robots Using the Genetic Algorithm with Assistant Chromosomes. Artif. Life Rob. 2020, 25, 89–93. [Google Scholar] [CrossRef]
  22. Gasparetto, A.; Zanotto, V. A New Method for Smooth Trajectory Planning of Robot Manipulators. Mech. Mach. Theory 2007, 42, 455–471. [Google Scholar] [CrossRef]
  23. Saravanan, R.; Ramabalan, S. Evolutionary Minimum Cost Trajectory Planning for Industrial Robots. J. Intell. Rob. Syst. 2008, 52, 45–77. [Google Scholar] [CrossRef]
  24. Shi, X.; Fang, H.; Guo, L. Multi-Objective Optimal Trajectory Planning of Manipulators Based on Quintic NURBS. In Proceedings of the 2016 IEEE International Conference on Mechatronics and Automation, Harbin, China, 7–10 August 2016; pp. 759–765. [Google Scholar]
  25. Kennedy, J.; Eberhart, R. Particle Swarm Optimization. In Proceedings of the ICNN’95-International Conference on Neural Networks, Perth, Australia, 27 November–1 December 1995; Volume 4, pp. 1942–1948. [Google Scholar]
  26. Coello, C.A.C.; Pulido, G.T.; Lechuga, M.S. Handling Multiple Objectives with Particle Swarm Optimization. IEEE Trans. Evol. Comput. 2004, 8, 256–279. [Google Scholar] [CrossRef]
  27. Li, H.; Xiang, S.; Yang, Y.; Liu, C. Differential Evolution Particle Swarm Optimization Algorithm Based on Good Point Set for Computing Nash Equilibrium of Finite Noncooperative Game. AIMS Math. 2021, 6, 1309–1323. [Google Scholar] [CrossRef]
  28. Shi, Y.; Eberhart, R. A Modified Particle Swarm Optimizer. In Proceedings of the 1998 IEEE International Conference on Evolutionary Computation Proceedings, Anchorage, AK, USA, 4–9 May 1998; pp. 69–73. [Google Scholar]
  29. Zhang, J.; Sanderson, A.C. JADE: Adaptive Differential Evolution with Optional External Archive. IEEE Trans. Evol. Comput. 2009, 13, 945–958. [Google Scholar] [CrossRef]
  30. Lozer, F.; Scalera, L.; Boscariol, P.; Gasparetto, A. Planning Optimal Minimum-Jerk Trajectories for Redundant Robots. Rob. Auton. Syst. 2025, 174, 105049. [Google Scholar] [CrossRef]
  31. Zhu, S.; Zhang, Y.; Li, Z.; Wang, J.; Yuan, S. Multi-Objective Optimal Trajectory Planning Method for Robot Manipulator with Real-Time Parameters Monitoring. Mech. Syst. Signal Process. 2025, 229, 112518. [Google Scholar] [CrossRef]
  32. Xu, J.; Ren, C.; Chang, X. Robot Time-Optimal Trajectory Planning Based on Quintic Polynomial Interpolation and Improved Harris Hawks Algorithm. Axioms 2023, 12, 245. [Google Scholar] [CrossRef]
  33. Xu, X.-F.; Wang, K.; Ma, W.-H.; Wu, C.-L.; Huang, X.-R.; Ma, Z.-X.; Li, Z.-H. Multi-Objective Particle Swarm Optimization Algorithm Based on Multi-Strategy Improvement for Hybrid Energy Storage Optimization Configuration. Renew. Energy 2024, 223, 120086. [Google Scholar] [CrossRef]
  34. Ishibuchi, H.; Masuda, H.; Nojima, Y. Sensitivity of performance evaluation results by inverted generational distance to reference points. In Proceedings of the 2016 IEEE Congress on Evolutionary Computation (CEC), Vancouver, BC, Canada, 24–29 July 2016; pp. 1107–1114. [Google Scholar]
Figure 1. Schematic diagram of a robotic arm grasping a test tube.
Figure 1. Schematic diagram of a robotic arm grasping a test tube.
Symmetry 18 00392 g001
Figure 2. Overall framework of the proposed method.
Figure 2. Overall framework of the proposed method.
Symmetry 18 00392 g002
Figure 3. Improved manipulator D–H coordinate system.
Figure 3. Improved manipulator D–H coordinate system.
Symmetry 18 00392 g003
Figure 4. Visualization of multi-objective optimization performance indicator: (a) Visualization of SP. (b) Visualization of IGD+. (c) Visualization of HV.
Figure 4. Visualization of multi-objective optimization performance indicator: (a) Visualization of SP. (b) Visualization of IGD+. (c) Visualization of HV.
Symmetry 18 00392 g004
Figure 5. 3D pareto front.
Figure 5. 3D pareto front.
Symmetry 18 00392 g005
Figure 6. This is a composite figure explaining the key joint states of the manipulator: (a) Joint angle trajectories. (b) Joint velocity trajectories. (c) Joint acceleration trajectories. (d) Joint jerk trajectories.
Figure 6. This is a composite figure explaining the key joint states of the manipulator: (a) Joint angle trajectories. (b) Joint velocity trajectories. (c) Joint acceleration trajectories. (d) Joint jerk trajectories.
Symmetry 18 00392 g006
Figure 7. Total power and cumulative energy consumption.
Figure 7. Total power and cumulative energy consumption.
Symmetry 18 00392 g007
Figure 8. 3D motion trajectory of manipulator’s end-effector.
Figure 8. 3D motion trajectory of manipulator’s end-effector.
Symmetry 18 00392 g008
Figure 9. Experimental platform.
Figure 9. Experimental platform.
Symmetry 18 00392 g009
Figure 10. Operational procedure for test tube grasping and weighing by manipulator.
Figure 10. Operational procedure for test tube grasping and weighing by manipulator.
Symmetry 18 00392 g010
Table 1. D–H parameters of the GEN72 manipulator.
Table 1. D–H parameters of the GEN72 manipulator.
Joint Number (i) a i (mm) α i (°) d i (mm) θ i / offset i (°)
1002180
20−9000
30902800
4409000
5−19−90252.50
6090090
7679090.50
Table 2. Manipulator constraints and singularities.
Table 2. Manipulator constraints and singularities.
ConstraintsJoint 1Joint 2Joint 3Joint 4Joint 5Joint 6Joint 7
Angular velocity limit (°/s)180180180225225225225
Joint angle limit (°) ± 172 ± 105 ± 172 170 –55 ± 172 90 –120 ± 172
Singularity 1 (°)000 90 000
Singularity 2 (°)0300 12.43 000
Singularity 3 (°)0090 90 9000
Table 3. Comparison of SP performance indicator by different algorithms for testing.
Table 3. Comparison of SP performance indicator by different algorithms for testing.
Test FunctionSPCHLMOPSOMOEA/D-DEMODENSGA-IIIOMOPSOImproved OMOPSO
ZDT1Mean8.05 × 10 3 3.73 × 10 1 2.43 × 10 2 1.32 × 10 2 1.93 × 10 2 1.12 × 10 2
Std1.4 × 10 3 7.9 × 10 2 6.4 × 10 3 8.7 × 10 4 5.5 × 10 3 2.8 × 10 3
ZDT2Mean1.81 × 10 2 2.93 × 10 1 3.35 × 10 2 4.10 × 10 3 2.84 × 10 2 5.72 × 10 3
Std1.3 × 10 2 7.8 × 10 2 8.1 × 10 3 9.1 × 10 4 8.7 × 10 3 3.9 × 10 3
ZDT3Mean1.73 × 10 2 3.89 × 10 1 3.43 × 10 2 1.24 × 10 2 4.70 × 10 2 2.23 × 10 2
Std4.3 × 10 3 7.7 × 10 2 7.1 × 10 3 1.7 × 10 3 2.4 × 10 2 5.5 × 10 3
ZDT4Mean2.17 × 10 0 5.16 × 10 0 2.12 × 10 0 4.84 × 10 1 1.15 × 10 1 2.12 × 10 2
Std9.8 × 10 1 3.1 × 10 0 1.3 × 10 0 5.7 × 10 1 4.5 × 10 0 6.8 × 10 3
ZDT5Mean2.16 × 10 0 7.27 × 10 1 2.31 × 10 0 6.29 × 10 1 2.30 × 10 0 2.39 × 10 0
Std1.4 × 10 0 7.4 × 10 1 1.5 × 10 0 4.8 × 10 1 1.1 × 10 0 1.1 × 10 0
ZDT6Mean3.86 × 10 1 1.17 × 10 1 5.30 × 10 2 2.02 × 10 2 3.68 × 10 1 1.08 × 10 1
Std2.9 × 10 1 1.3 × 10 1 2.7 × 10 2 6.7 × 10 2 1.7 × 10 1 1.0 × 10 1
DTLZ1Mean9.57 × 10 0 4.76 × 10 1 7.93 × 10 0 2.42 × 10 0 3.96 × 10 1 7.07 × 10 0
Std1.8 × 10 0 2.4 × 10 1 1.7 × 10 0 1.5 × 10 0 1.9 × 10 1 2.1 × 10 0
DTLZ2Mean3.78 × 10 2 8.20 × 10 2 3.91 × 10 2 4.40 × 10 2 5.58 × 10 2 3.70 × 10 2
Std4.0 × 10 3 3.6 × 10 2 3.6 × 10 3 3.2 × 10 3 7.4 × 10 3 3.1 × 10 3
DTLZ3Mean4.85 × 10 1 2.84 × 10 1 3.37 × 10 1 7.95 × 10 0 1.64 × 10 2 2.91 × 10 1
Std1.3 × 10 1 3.8 × 10 1 5.3 × 10 0 3.6 × 10 0 9.1 × 10 1 8.3 × 10 0
DTLZ4Mean5.40 × 10 2 9.44 × 10 2 4.00 × 10 2 4.46 × 10 2 2.01 × 10 1 7.44 × 10 2
Std1.5 × 10 2 6.0 × 10 2 6.5 × 10 3 3.8 × 10 3 1.2 × 10 1 2.1 × 10 2
DTLZ5Mean8.16 × 10 2 1.15 × 10 1 6.58 × 10 3 1.18 × 10 1 7.68 × 10 2 7.83 × 10 2
Std1.5 × 10 2 5.6 × 10 2 8.7 × 10 4 1.8 × 10 2 6.3 × 10 3 1.3 × 10 2
DTLZ6Mean4.64 × 10 1 7.40 × 10 1 3.35 × 10 1 5.19 × 10 1 4.01 × 10 1 3.74 × 10 1
Std1.7 × 10 1 1.5 × 10 1 4.4 × 10 2 1.1 × 10 1 7.0 × 10 2 4.4 × 10 2
Table 4. Comparison of IGD+ performance indicator by different algorithms for testing.
Table 4. Comparison of IGD+ performance indicator by different algorithms for testing.
Test FunctionIGD+CHLMOPSOMOEA/D-DEMODENSGA-IIIOMOPSOImproved OMOPSO
ZDT1Mean4.18 × 10 2 4.47 × 10 3 2.44 × 10 1 4.66 × 10 3 3.96 × 10 2 6.24 × 10 2
Std3.6 × 10 3 4.2 × 10 4 2.0 × 10 2 2.3 × 10 4 6.6 × 10 3 1.2 × 10 2
ZDT2Mean1.50 × 10 1 3.18 × 10 3 4.48 × 10 1 4.62 × 10 3 2.90 × 10 2 1.05 × 10 2
Std1.4 × 10 1 2.5 × 10 4 3.0 × 10 2 4.8 × 10 4 7.3 × 10 3 1.1 × 10 2
ZDT3Mean3.57 × 10 2 4.90 × 10 3 1.34 × 10 1 1.23 × 10 3 2.21 × 10 2 4.85 × 10 2
Std8.3 × 10 3 5.7 × 10 3 1.2 × 10 2 1.2 × 10 4 6.1 × 10 3 1.3 × 10 2
ZDT4Mean2.20 × 10 2 6.31 × 10 3 1.56 × 10 1 1.37 × 10 1 4.56 × 10 2 1.20 × 10 2
Std3.1 × 10 3 2.0 × 10 3 3.0 × 10 0 2.2 × 10 0 3.3 × 10 2 1.6 × 10 3
ZDT5Mean9.37 × 10 1 1.12 × 10 0 9.91 × 10 1 8.46 × 10 1 1.35 × 10 0 9.70 × 10 1
Std9.4 × 10 2 2.7 × 10 1 6.9 × 10 2 5.3 × 10 2 1.6 × 10 1 1.1 × 10 1
ZDT6Mean5.56 × 10 1 2.11 × 10 3 9.76 × 10 1 8.80 × 10 3 1.90 × 10 0 8.10 × 10 2
Std2.8 × 10 1 3.5 × 10 5 1.2 × 10 1 3.0 × 10 4 7.6 × 10 1 3.8 × 10 2
DTLZ1Mean4.27 × 10 1 4.36 × 10 0 3.15 × 10 1 5.57 × 10 0 5.88 × 10 1 2.44 × 10 1
Std7.7 × 10 0 6.7 × 10 0 8.6 × 10 0 1.8 × 10 0 1.1 × 10 1 9.3 × 10 0
DTLZ2Mean7.81 × 10 2 4.31 × 10 2 7.48 × 10 2 3.95 × 10 2 1.20 × 10 1 7.78 × 10 2
Std8.0 × 10 3 1.3 × 10 3 6.3 × 10 3 4.2 × 10 3 9.0 × 10 3 7.1 × 10 3
DTLZ3Mean2.20 × 10 2 1.28 × 10 1 1.62 × 10 2 4.19 × 10 1 1.93 × 10 2 1.28 × 10 2
Std3.9 × 10 1 1.3 × 10 1 2.6 × 10 1 1.3 × 10 1 4.4 × 10 1 3.5 × 10 1
DTLZ4Mean8.75 × 10 2 8.59 × 10 2 6.63 × 10 2 3.93 × 10 2 1.88 × 10 1 1.25 × 10 1
Std1.6 × 10 2 7.8 × 10 2 4.7 × 10 3 3.1 × 10 3 3.0 × 10 2 1.2 × 10 2
DTLZ5Mean5.12 × 10 1 7.00 × 10 3 6.03 × 10 3 5.27 × 10 1 3.87 × 10 1 3.82 × 10 1
Std3.9 × 10 2 3.0 × 10 4 4.8 × 10 4 8.0 × 10 2 2.3 × 10 2 4.5 × 10 2
DTLZ6Mean4.48 × 10 0 6.08 × 10 3 4.92 × 10 0 3.07 × 10 0 1.69 × 10 0 1.97 × 10 0
Std3.4 × 10 1 5.6 × 10 4 6.4 × 10 1 5.1 × 10 1 4.3 × 10 1 9.0 × 10 1
Table 5. Comparison of HV performance indicator by different algorithms for testing.
Table 5. Comparison of HV performance indicator by different algorithms for testing.
Test FunctionHVCHLMOPSOMOEA/D-DEMODENSGA-IIIOMOPSOImproved OMOPSO
ZDT1Mean8.890 × 10 1 5.280 × 10 0 1.1642 × 10 0 8.806 × 10 1 8.760 × 10 1 9.146 × 10 1
Std1.74 × 10 2 9.60 × 10 1 5.72 × 10 2 1.050 × 10 2 1.970 × 10 2 2.490 × 10 2
ZDT2Mean3.534 × 10 1 4.087 × 10 0 5.363 × 10 1 5.555 × 10 1 5.024 × 10 1 5.320 × 10 1
Std1.732 × 10 1 9.37 × 10 1 7.75 × 10 2 1.740 × 10 2 8.600 × 10 3 8.300 × 10 3
ZDT3Mean1.432 × 10 0 5.816 × 10 0 1.6746 × 10 0 1.343 × 10 0 1.300 × 10 0 1.357 × 10 0
Std6.58 × 10 2 9.32 × 10 1 8.65 × 10 2 1.110 × 10 2 3.060 × 10 2 2.400 × 10 2
ZDT4Mean2.418 × 10 1 6.295 × 10 1 1.6085 × 10 1 6.310 × 10 0 4.569 × 10 1 8.579 × 10 1
Std9.045 × 10 0 3.750 × 10 1 6.3128 × 10 0 4.308 × 10 0 8.817 × 10 0 9.700 × 10 3
ZDT5Mean5.372 × 10 2 3.434 × 10 2 6.9905 × 10 2 4.878 × 10 2 7.305 × 10 2 6.691 × 10 2
Std2.263 × 10 2 1.521 × 10 2 3.5709 × 10 2 1.949 × 10 2 2.852 × 10 2 2.523 × 10 2
ZDT6Mean2.575 × 10 0 1.473 × 10 0 4.993 × 10 1 6.052 × 10 1 3.222 × 10 0 1.408 × 10 0
Std1.256 × 10 0 1.210 × 10 0 7.32 × 10 2 6.074 × 10 1 8.468 × 10 1 1.018 × 10 0
DTLZ1Mean1.216 × 10 0 1.311 × 10 0 1.2892 × 10 0 1.310 × 10 0 6.413 × 10 1 1.188 × 10 0
Std5.86 × 10 2 2.63 × 10 2 1.76 × 10 2 1.070 × 10 2 1.929 × 10 1 6.960 × 10 2
DTLZ2Mean8.865 × 10 1 8.640 × 10 1 8.329 × 10 1 7.320 × 10 1 8.230 × 10 1 8.403 × 10 1
Std7.20 × 10 2 1.43 × 10 1 5.28 × 10 2 1.170 × 10 2 3.500 × 10 2 4.830 × 10 2
DTLZ3Mean1.166 × 10 0 1.088 × 10 0 1.2510 × 10 0 1.256 × 10 0 8.017 × 10 1 1.121 × 10 0
Std6.51 × 10 2 2.49 × 10 1 3.44 × 10 2 4.670 × 10 2 2.060 × 10 1 7.260 × 10 2
DTLZ4Mean8.258 × 10 1 8.972 × 10 1 8.132 × 10 1 7.382 × 10 1 5.447 × 10 1 7.476 × 10 1
Std7.51 × 10 2 1.51 × 10 1 5.19 × 10 2 2.080 × 10 2 7.010 × 10 2 9.150 × 10 2
DTLZ5Mean6.665 × 10 1 4.829 × 10 1 2.706 × 10 1 7.005 × 10 1 6.643 × 10 1 6.818 × 10 1
Std4.17 × 10 2 9.02 × 10 2 7.00 × 10 3 4.140 × 10 2 1.670 × 10 2 3.020 × 10 2
DTLZ6Mean5.572 × 10 1 8.050 × 10 1 1.0536 × 10 0 7.110 × 10 1 7.292 × 10 1 7.023 × 10 1
Std3.41 × 10 2 2.66 × 10 1 3.79 × 10 2 3.360 × 10 2 4.830 × 10 2 3.850 × 10 2
Table 6. Discrete trajectory points of the grasping task.
Table 6. Discrete trajectory points of the grasping task.
Path PointJoint 1 (°)Joint 2 (°)Joint 3 (°)Joint 4 (°)Joint 5 (°)Joint 6 (°)Joint 7 (°)
P 0 1.87 39.20 20.49 107.42 34.00 92.50 7.72
P 1 3.09 50.00 29.14 88.24 30.89 80.10 2.34
P 2 8.41 37.88 39.58 82.31 22.17 60.90 8.05
P 3 1.20 18.62 12.95 135.96 3.79 62.17 6.32
P 4 1.47 19.35 27.62 126.77 1.29 101.15 2.41
P 5 0.91 39.00 25.22 90.02 2.86 82.13 9.49
Disclaimer/Publisher’s Note: The statements, opinions and data contained in all publications are solely those of the individual author(s) and contributor(s) and not of MDPI and/or the editor(s). MDPI and/or the editor(s) disclaim responsibility for any injury to people or property resulting from any ideas, methods, instructions or products referred to in the content.

Share and Cite

MDPI and ACS Style

Xu, Z.; Liu, T.; Ding, J.; Xu, W.; Xu, M.; Yi, H.; Wu, Y.; Tan, P. Multi-Objective Optimization of Grasping Trajectories for Manipulator with Improved OMOPSO. Symmetry 2026, 18, 392. https://doi.org/10.3390/sym18020392

AMA Style

Xu Z, Liu T, Ding J, Xu W, Xu M, Yi H, Wu Y, Tan P. Multi-Objective Optimization of Grasping Trajectories for Manipulator with Improved OMOPSO. Symmetry. 2026; 18(2):392. https://doi.org/10.3390/sym18020392

Chicago/Turabian Style

Xu, Zhen, Tao Liu, Jin Ding, Weijun Xu, Ming Xu, Huoping Yi, Yongbo Wu, and Ping Tan. 2026. "Multi-Objective Optimization of Grasping Trajectories for Manipulator with Improved OMOPSO" Symmetry 18, no. 2: 392. https://doi.org/10.3390/sym18020392

APA Style

Xu, Z., Liu, T., Ding, J., Xu, W., Xu, M., Yi, H., Wu, Y., & Tan, P. (2026). Multi-Objective Optimization of Grasping Trajectories for Manipulator with Improved OMOPSO. Symmetry, 18(2), 392. https://doi.org/10.3390/sym18020392

Note that from the first issue of 2016, this journal uses article numbers instead of page numbers. See further details here.

Article Metrics

Back to TopTop