Nonlinear Receding Contact Mechanics of Functionally Graded Layers for Aerospace Structures: A Symmetry-Based Analytical and FEM Study
Abstract
1. Introduction
2. Analytical Solution
3. Finite Element Modeling
4. Numerical Results
4.1. Contact Length
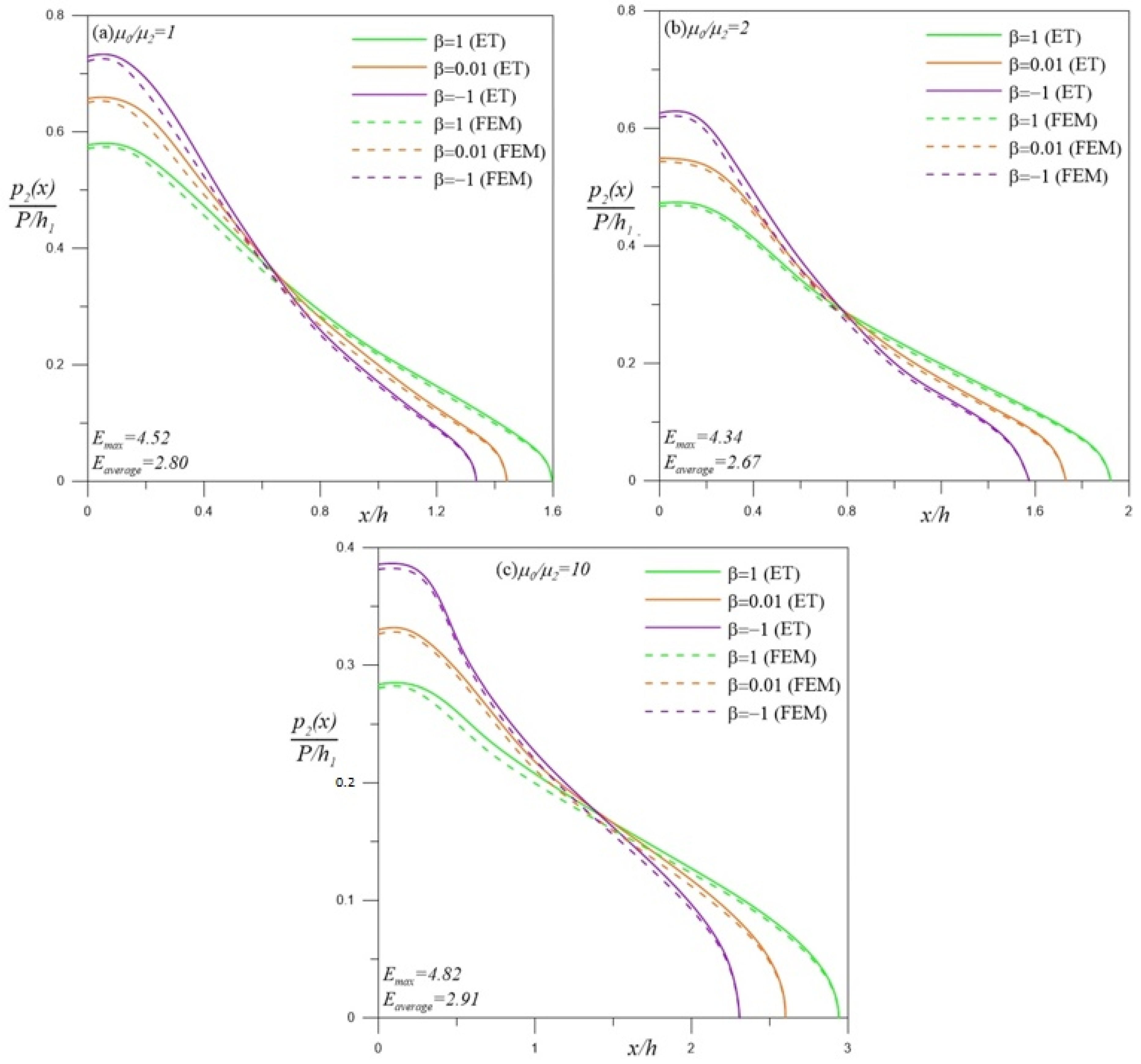
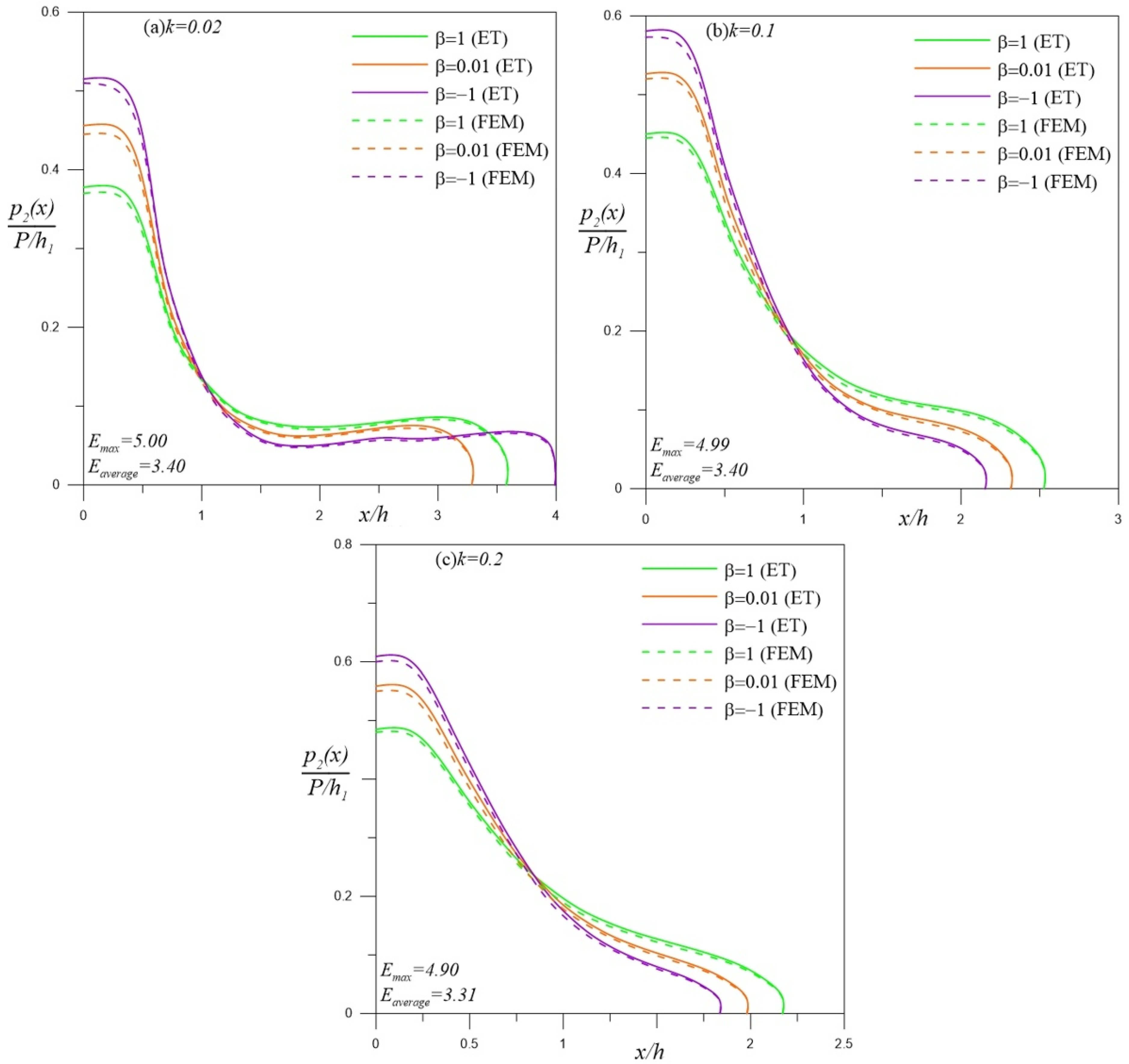
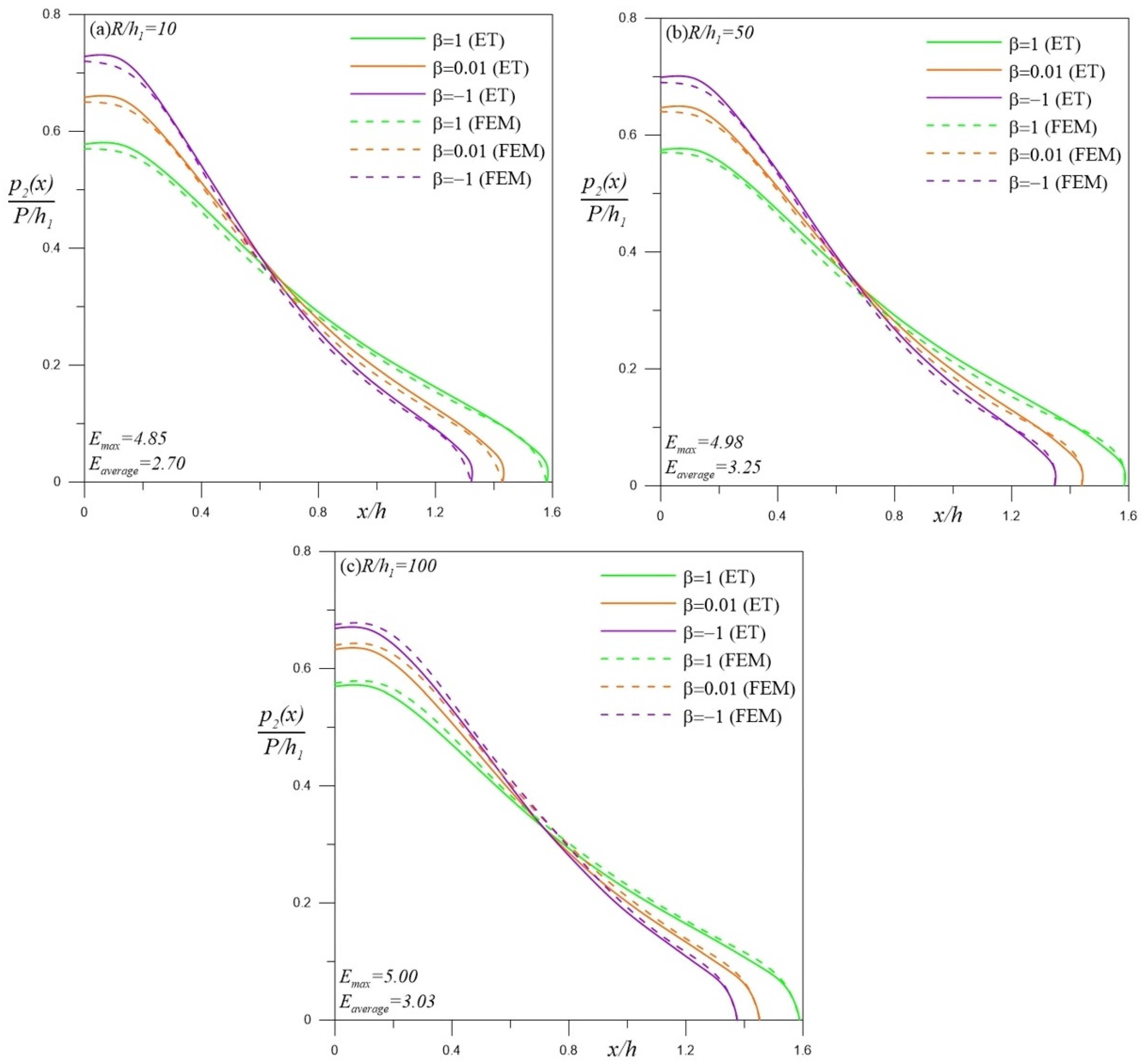
4.2. Contact Stress
5. Significance and Contributions
6. Relevance to Aerospace Engineering and Symmetry/Asymmetry Considerations
7. Conclusions
- The analytical formulation based on elasticity theory showed strong agreement with the FEM results, with relative differences generally remaining below 3.3% for contact length predictions across all investigated parameter combinations.
- Increasing the stamp radius ratio (R/h1 = 10–100) led to a significant increase in the contact length at both interfaces. For the examined cases, relative deviations between ET and FEM remained within 1.25–2.64%, confirming the robustness of the analytical model.
- Decreasing the elastic spring constant ratio (k = 0.02–0.2) increased the structural compliance of the system, modifying the contact length and stress distribution. Even for the most flexible foundation case, discrepancies between ET and FEM did not exceed 3.28%.
- Variations in the shear modulus ratio (μ0/μ2 = 1–10) significantly influenced contact behavior. Increasing the stiffness contrast resulted in reduced contact length and more localized stress transfer. The maximum deviation between analytical and numerical predictions remained below 2.71% in all examined cases.
- The coupled analytical and finite element framework provides a consistent and reliable approach for predicting receding contact behavior in layered graded structures subjected to localized mechanical loading.
- The obtained results are directly relevant to layered aerospace systems, including landing pads interacting with stratified media, protection layers under concentrated loading, and contact interfaces in controlled force transmission mechanisms.
Author Contributions
Funding
Data Availability Statement
Conflicts of Interest
Appendix A
Appendix B
Appendix C
References
- Ma, X.; An, N.; Cong, Q.; Bai, J.-B.; Wu, M.; Xu, Y.; Zhou, J.; Zhang, D.; Zhang, T.; Guo, R. Design, modeling, and manufacturing of high strain composites for space deployable structures. Commun. Eng. 2024, 3, 78. [Google Scholar] [CrossRef]
- Vlazakis, P. Modular Re-Design of a Micro-Launcher Component; Luleå University of Technology: Luleå, Sweden, 2024. [Google Scholar]
- Bayar, B. Designing Extraterrestrial Habitats on Mars and the Moon: An Overview of Environmental Conditions and Design Considerations. In International Civil Engineering and Architecture Conference; Springer: Berlin/Heidelberg, Germany, 2024. [Google Scholar]
- Kalapodis, N.; Kampas, G.; Ktenidou, O.-J. A review towards the design of extraterrestrial structures: From regolith to human outposts. Acta Astronaut. 2020, 175, 540–569. [Google Scholar] [CrossRef]
- Li, B.; Hang, Z.; Dai, T. Thermomechanical Behaviors of a Novel Double-Layer Corrugated Core Structure for Thermal Protection System. Int. J. Aerosp. Eng. 2023, 2023, 5315977. [Google Scholar] [CrossRef]
- Xu, Q.; Li, S.; Meng, Y. Optimization and re-design of integrated thermal protection systems considering thermo-mechanical performance. Appl. Sci. 2021, 11, 6916. [Google Scholar] [CrossRef]
- Deierling, P.; Zhupanska, O.I.; Pasiliao, C.L. Thermo-mechanical behavior of spatially tailored functionally graded materials in a high temperature environment. In Proceedings of the American Society for Composites: Thirtieth Technical Conference; IOWA: Iowa City, IA, USA, 2015; pp. 1462–1472. [Google Scholar]
- Cao, C.; Ali, A.B.; Hussein, Z.A.; Singh, N.S.S.; Abdullaeva, B.; Zubair, A.; Salahshour, S.; Baghaei, S. Analysis of different phase change materials (PCMs) and wall material in a nano-circular space thermal energy storage (TES) system: A molecular dynamics approach. Int. J. Therm. Sci. 2025, 215, 109954. [Google Scholar] [CrossRef]
- Tao, H.; Aldlemy, M.S.; Homod, R.Z.; Aksoy, M.; Mohammed, M.K.; Alawi, O.A.; Togun, H.; Goliatt, L.; Khan, M.M.H.; Yaseen, Z.M. Hybrid nanocomposites impact on heat transfer efficiency and pressure drop in turbulent flow systems: Application of numerical and machine learning insights. Sci. Rep. 2024, 14, 19882. [Google Scholar] [CrossRef]
- Pan, Z.; Cheng, J.; Zhao, L.; Ragab, A.E. Thermo-dynamic response of multi-directional functionally graded panels resting on an elastic substrate with the aid of data-driven solution. Aerosp. Sci. Technol. 2023, 143, 108724. [Google Scholar] [CrossRef]
- Besisa, D.; Ewais, E. Advances in functionally graded materials and structures. In Advances in Functionally Graded Ceramics—Processing, Sintering Properties and Applications; InTech: London, UK, 2016; Volume 1, pp. 1–31. [Google Scholar]
- Feng, X.; Liu, W.; Liu, C. Thermal-mechanical coupling analysis of functionally graded cylindrical shells. IOP Conf. Ser. Mater. Sci. Eng. 2019, 576, 012006. [Google Scholar] [CrossRef]
- Mishra, P.; Gupta, V.; Malwe, P.D.; Urade, A.; Khanke, V.; Siddiqui, M.I.H.; Dixit, S.; Chan, C.K.; Sonawane, C.; Tejani, G.G. Ratcheting fatigue behaviour of advanced structural materials at their service temperatures. Sci. Rep. 2025, 15, 28115. [Google Scholar] [CrossRef] [PubMed]
- Forsbach, F.; Heß, M. Shear-off behavior of adhesive contacts with functionally graded elastic media. J. Adhes. 2025, 101, 1516–1541. [Google Scholar] [CrossRef]
- Han, L.F.; Liu, T.J. Sliding frictional and adhesive coupling contact analysis of FGPM layered half-space under an insulating indenter. Int. J. Solids Struct. 2024, 299, 112874. [Google Scholar] [CrossRef]
- Tian, X.; Zhou, Y.; Ding, S.; Wang, L. Exploring the effects of finite size and indenter shape on the contact behavior of functionally graded thermoelectric materials. Int. J. Solids Struct. 2024, 305, 113089. [Google Scholar] [CrossRef]
- Tian, X.; Zhou, Y.; Zhang, C. On the imperfect interface of a functionally graded thermoelectric layered structure. Compos. Struct. 2023, 322, 117394. [Google Scholar] [CrossRef]
- Karabulut, P.M.; Çetinkaya, I.T.; Oğuz, H.; Çömez, İ. Moving contact problem of a functionally graded orthotropic coated half plane. Acta Mech. 2024, 235, 3989–4004. [Google Scholar] [CrossRef]
- Adıyaman, G.; Birinci, A.; Öner, E.; Yaylacı, M. A receding contact problem between a functionally graded layer and two homogeneous quarter planes. Acta Mech. 2016, 227, 1753–1766. [Google Scholar] [CrossRef]
- Yaylacı, M.; Eyüboğlu, A.; Adıyaman, G.; Yaylacı, E.U.; Öner, E.; Birinci, A. Assessment of different solution methods for receding contact problems in functionally graded layered mediums. Mech. Mater. 2021, 154, 103730. [Google Scholar] [CrossRef]
- Yaylacı, M.; Birinci, A. The receding contact problem of two elastic layers supported by two elastic quarter planes. Struct. Eng. Mech. Int’l J. 2013, 48, 241–255. [Google Scholar] [CrossRef]
- Yaylacı, M.; Yaylı, M.; Öztürk, Ş.; Ay, S.; Özdemir, M.E.; Yaylacı, E.U.; Birinci, A. Examining the contact problem of a functionally graded layer supported by an elastic half-plane with the analytical and numerical methods. Math. Methods Appl. Sci. 2024, 47, 10400–10420. [Google Scholar] [CrossRef]
- Yaylacı, M.; Öner, E.; Adıyaman, G.; Öztürk, Ş.; Uzun Yaylacı, E.; Birinci, A. Analyzing of continuous and discontinuous contact problems of a functionally graded layer: Theory of elasticity and finite element method. Mech. Based Des. Struct. Mach. 2024, 52, 5720–5738. [Google Scholar] [CrossRef]
- Yan, J.; Wang, C. Receding contact problem of multi-layered elastic structures involving functionally graded materials. Crystals 2022, 12, 354. [Google Scholar] [CrossRef]
- Asiri, S.A.; Akbaş, Ş.D.; Eltaher, M.A. Damped dynamic responses of a layered functionally graded thick beam under a pulse load. Struct. Eng. Mech. Int’l J. 2020, 75, 713–722. [Google Scholar]
- Wang, C.; Ping, X.; Wang, X. An adaptive finite element method for crack propagation based on a multifunctional super singular element. Int. J. Mech. Sci. 2023, 247, 108191. [Google Scholar] [CrossRef]
- Aktarer, S.M.; Kucukomeroglu, T.; Sekban, D.M.; Yaylaci, E.U.; Yaylaci, M.; Ozdemir, M.E.; Mirzaloglu, I. Analysis of the changes in microstructure, mechanical, and contact properties of multi-pass friction stir processed DP800 steel. Adv. Nano Res. 2025, 18, 253–264. [Google Scholar]
- Yan, J.; Mi, C. A receding contact analysis for an elastic layer reinforced with a functionally graded coating and pressed against a half-plane. J. Mech. Sci. Technol. 2019, 33, 4331–4344. [Google Scholar] [CrossRef]
- Lin, W. Stress analysis of thick-Wall hollow functionally graded material based on plane strain problem. J. Phys. Conf. Ser. 2021, 1838, 012006. [Google Scholar] [CrossRef]
- Chidlow, S.; Teodorescu, M.; Vaughan, N.D. A solution method for the sub-surface stresses and local deflection of a semi-infinite inhomogeneous elastic medium. Appl. Math. Model. 2012, 36, 3486–3501. [Google Scholar] [CrossRef]
- Wang, Q.J.; Sun, L.; Zhang, X.; Liu, S.; Zhu, D. FFT-based methods for computational contact mechanics. Front. Mech. Eng. 2020, 6, 61. [Google Scholar] [CrossRef]
- Jagota, V.; Sethi, A.P.S.; Kumar, K. Finite element method: An overview. Walailak J. Sci. Technol. 2013, 10, 1–8. [Google Scholar]
- Liu, S.; Fang, G.; Fu, M.; Yan, X.; Meng, S.; Liang, J. A coupling model of element-based peridynamics and finite element method for elastic-plastic deformation and fracture analysis. Int. J. Mech. Sci. 2022, 220, 107170. [Google Scholar] [CrossRef]
- Cherif, A.A.; Abdelmadjid, M.; El Sallah, Z.M.; Ali, B.; Yaylacı, M.; Abderahmane, S.; Özdemir, M.E.; Dizdar, A.; Yaylacı, E.U.; Güvercin, Y. Comparative study by FEM of different liners of a transfemoral amputated lower limb. Sci. Rep. 2025, 15, 31878. [Google Scholar] [CrossRef] [PubMed]
- Sekban, D.M.; Yaylaci, E.U.; Ozdemir, M.E.; Yaylaci, M. Determination of formability behavior of steel used in ships by various methods. Struct. Eng. Mech. Int. J. 2024, 92, 189–196. [Google Scholar]
- Sekban, D.M.; Olmez, H. Effect of stress-strain curve changing with equal channel angular pressing on ultimate strength of ship hull stiffened panels. Struct. Eng. Mech. Int. J. 2021, 78, 473–484. [Google Scholar]
- Chen, X.; Liu, Y. Finite Element Modeling and Simulation with ANSYS Workbench; CRC Press: Boca Raton, FL, USA, 2018. [Google Scholar]
- Erdogan, F.; Gupta, G.D. On the numerical solution of singular integral equations. Q. Appl. Math. 1972, 29, 525–534. [Google Scholar] [CrossRef]
- Jen, E.; Jen, E.; Srivastav, R.P. Solving singular integral equations using Gaussian quadrature and overdetermined systems. Comput. Math. Appl. 1983, 9, 625–632. [Google Scholar] [CrossRef][Green Version]
- Kaya, F.; Polat, A. Stress analysis of the contact problem in a functionally graded layer loaded with a distributed load and two rigid circular punches resting on an elastic two quarter planes. Forces Mech. 2023, 11, 100203. [Google Scholar] [CrossRef]
- Miteva, A.; Bouzekova-Penkova, A. Some aerospace applications of functionally graded materials. Aerosp. Res. Bulg. 2021, 33, 195–209. [Google Scholar]
- Liaoliang, K.; Yuesheng, W. Progress in some basic problems on contact mechanics of functionally graded materials. Chin. Sci. Bull. 2015, 60, 1565–1573. [Google Scholar] [CrossRef]
- Li, Y.; Feng, Z.; Hao, L.; Huang, L.; Xin, C.; Wang, Y.; Bilotti, E.; Essa, K.; Zhang, H.; Li, Z. A review on functionally graded materials and structures via additive manufacturing: From multi-scale design to versatile functional properties. Adv. Mater. Technol. 2020, 5, 1900981. [Google Scholar] [CrossRef]
- Min, L.; Liu, Q.; Liu, L. Crack growth simulation of functionally graded materials based on improved bond-based peridynamic model. Materials 2021, 14, 3032. [Google Scholar] [CrossRef] [PubMed]
- Noda, N.; Nakai, S.; Tsuji, T. Thermal stresses in functionally graded material of particle-reinforced composite. JSME Int. J. Ser. A Solid Mech. Mater. Eng. 1998, 41, 178–184. [Google Scholar]









| Parameter | R/h1 = 10 | R/h1 = 50 | R/h1 = 100 | ||||||
|---|---|---|---|---|---|---|---|---|---|
| ET | FEM | E(%) | ET | FEM | E(%) | ET | FEM | E(%) | |
| 0.151739 | 0.149 | 1.81 | 0.324858 | 0.320 | 1.50 | 0.450813 | 0.441 | 2.18 | |
| 0.097590 | 0.096 | 1.63 | 0.221070 | 0.217 | 1.84 | 0.317386 | 0.312 | 1.70 | |
| 0.061266 | 0.060 | 2.07 | 0.144055 | 0.141 | 2.12 | 0.212656 | 0.210 | 1.25 | |
| Parameter | R/h1 = 10 | R/h1 = 50 | R/h1 = 100 | ||||||
|---|---|---|---|---|---|---|---|---|---|
| ET | FEM | E (%) | ET | FEM | E (%) | ET | FEM | E (%) | |
| 1.336927 | 1.312 | 1.86 | 1.361852 | 1.331 | 2.27 | 1.390786 | 1.358 | 2.36 | |
| 1.445485 | 1.426 | 1.35 | 1.455382 | 1.417 | 2.64 | 1.468406 | 1.450 | 1.25 | |
| 1.598321 | 1.557 | 2.59 | 1.601851 | 1.570 | 1.99 | 1.606983 | 1.585 | 1.37 | |
| Parameter | |||||||||
|---|---|---|---|---|---|---|---|---|---|
| ET | FEM | E (%) | ET | FEM | E (%) | ET | FEM | E (%) | |
| 0.517983 | 0.510 | 1.54 | 0.477351 | 0.490 | 2.65 | 0.466473 | 0.480 | 2.90 | |
| 0.362626 | 0.357 | 1.55 | 0.335652 | 0.344 | 2.49 | 0.328249 | 0.337 | 2.67 | |
| 0.239327 | 0.236 | 1.39 | 0.223658 | 0.231 | 3.28 | 0.219241 | 0.222 | 1.26 | |
| Parameter | |||||||||
|---|---|---|---|---|---|---|---|---|---|
| ET | FEM | E (%) | ET | FEM | E (%) | ET | FEM | E (%) | |
| 3.095658 | 3.150 | 1.76 | 2.177473 | 2.218 | 1.86 | 1.856735 | 1.900 | 2.33 | |
| 3.321718 | 3.401 | 2.39 | 2.342216 | 2.385 | 1.83 | 2.002576 | 2.050 | 2.37 | |
| 3.618156 | 3.710 | 2.54 | 2.554162 | 2.613 | 2.30 | 2.194941 | 2.219 | 1.10 | |
| Parameter | |||||||||
|---|---|---|---|---|---|---|---|---|---|
| ET | FEM | E (%) | ET | FEM | E (%) | ET | FEM | E (%) | |
| 0.151739 | 0.154 | 1.49 | 0.109098 | 0.108 | 1.01 | 0.049939 | 0.049 | 1.88 | |
| 0.097590 | 0.099 | 1.44 | 0.068995 | 0.068 | 1.44 | 0.030802 | 0.030 | 2.60 | |
| 0.061266 | 0.062 | 1.20 | 0.042878 | 0.042 | 2.05 | 0.018902 | 0.019 | 0.52 | |
| Parameter | |||||||||
|---|---|---|---|---|---|---|---|---|---|
| ET | FEM | E (%) | ET | FEM | E (%) | ET | FEM | E (%) | |
| 1.336927 | 1.320 | 1.27 | 1.569336 | 1.545 | 1.55 | 2.305771 | 2.35 | 1.92 | |
| 1.445485 | 1.420 | 1.76 | 1.726751 | 1.745 | 1.06 | 2.604380 | 2.65 | 1.75 | |
| 1.598321 | 1.555 | 2.71 | 1.921335 | 1.945 | 1.23 | 2.944393 | 2.99 | 1.55 | |
Disclaimer/Publisher’s Note: The statements, opinions and data contained in all publications are solely those of the individual author(s) and contributor(s) and not of MDPI and/or the editor(s). MDPI and/or the editor(s) disclaim responsibility for any injury to people or property resulting from any ideas, methods, instructions or products referred to in the content. |
© 2026 by the authors. Licensee MDPI, Basel, Switzerland. This article is an open access article distributed under the terms and conditions of the Creative Commons Attribution (CC BY) license.
Share and Cite
Abushattal, A.; Terzi, M.; Eyüboğlu, A.; Yaylacı, M.; Sekban, D.M.; Nayır, S.; Yaylacı, E.U.; Dewi, D.A.; Birinci, A. Nonlinear Receding Contact Mechanics of Functionally Graded Layers for Aerospace Structures: A Symmetry-Based Analytical and FEM Study. Symmetry 2026, 18, 378. https://doi.org/10.3390/sym18020378
Abushattal A, Terzi M, Eyüboğlu A, Yaylacı M, Sekban DM, Nayır S, Yaylacı EU, Dewi DA, Birinci A. Nonlinear Receding Contact Mechanics of Functionally Graded Layers for Aerospace Structures: A Symmetry-Based Analytical and FEM Study. Symmetry. 2026; 18(2):378. https://doi.org/10.3390/sym18020378
Chicago/Turabian StyleAbushattal, Ahmad, Merve Terzi, Ayşegül Eyüboğlu, Murat Yaylacı, Dursun Murat Sekban, Safa Nayır, Ecren Uzun Yaylacı, Deshinta Arrova Dewi, and Ahmet Birinci. 2026. "Nonlinear Receding Contact Mechanics of Functionally Graded Layers for Aerospace Structures: A Symmetry-Based Analytical and FEM Study" Symmetry 18, no. 2: 378. https://doi.org/10.3390/sym18020378
APA StyleAbushattal, A., Terzi, M., Eyüboğlu, A., Yaylacı, M., Sekban, D. M., Nayır, S., Yaylacı, E. U., Dewi, D. A., & Birinci, A. (2026). Nonlinear Receding Contact Mechanics of Functionally Graded Layers for Aerospace Structures: A Symmetry-Based Analytical and FEM Study. Symmetry, 18(2), 378. https://doi.org/10.3390/sym18020378

