Research on a Method for Generating 3D Topologies of Combat Networks Based on Conditional Graph Diffusion Models
Abstract
1. Introduction
- By developing a multi-attribute conditional embedding framework, we propose a novel architecture inspired by the Conditional Graph Generated algorithm, named 3DTG-CGD. This approach achieves comprehensive integration of target characteristics, tactical requirements, and three-dimensional constraints. This methodology effectively overcomes the limitations of conventional approaches [7,10] in target specificity and environmental adaptability, thereby enabling precise and controllable generation of combat network topologies.
- Through systematic integration of battlefield entity attributes, spatial deployment constraints, and tactical associations, we construct a comprehensive dataset encompassing multiple target types, providing robust data support for model training. Building upon this foundation, the optimized sampling method significantly enhances generation efficiency for complex combat networks while effectively addressing the bottlenecks of traditional methods in real-time performance and scalability.
- By developing a militarily-compliant loss function and multi-dimensional evaluation metrics, we ensure comprehensive performance of the generated networks in terms of structural rationality, tactical effectiveness, and 3D deployment feasibility [14]. This approach provides reliable quality assurance for combat network generation.
2. Related Work
2.1. Combat Networks
2.2. Graph Generation
3. System Model
3.1. Target Threat Perception
3.2. Authorization Constraints of Operational Rules
3.3. Generation of 3D Topology Through Diffusion
3.4. Model Training and Topology Generation
- Rule-Constrained Loss: This term ensures the legitimacy of the output topology. It measures the distance between the generated connections and the valid connections defined by military orders. We use the Kullback-Leibler (KL) divergence for this purpose:where, represents the distribution of the predicted adjacency matrix, and represents the distribution of valid adjacency matrix.
- Threat Perception Loss: This term supervises the feature fusion process within the model. It guarantees that the representations of each combat node accurately encode the current battlefield threat situation. It is calculated using the Frobenius norm between the extracted node features and the target threat features: . Here, denotes the feature extraction function at layer l, and represents the desired threat feature.
| Algorithm 1. Model Training |
| Input: Dataset D, containing distinct combat networks G. Number of iterations Output: Trained combat network topology generation model , whose parameterized distribution approximates 1: Initialize network parameters 2: for to do 3: Sample batch , get by encode 4: 6: Forward noising: 7: Loss calculation: Equation (14) 8: Parameter update: 9: end for |
| Algorithm 2. Topology Generation |
| Input: Target threat vector . Topology generation model Output: Generated combat network topology 1: 2: for upto T do 3: Condition encoding 4: Call model 5: Reverse denoising: 7: return |
4. Results and Discussion
4.1. Dataset Description and Evaluation Metrics
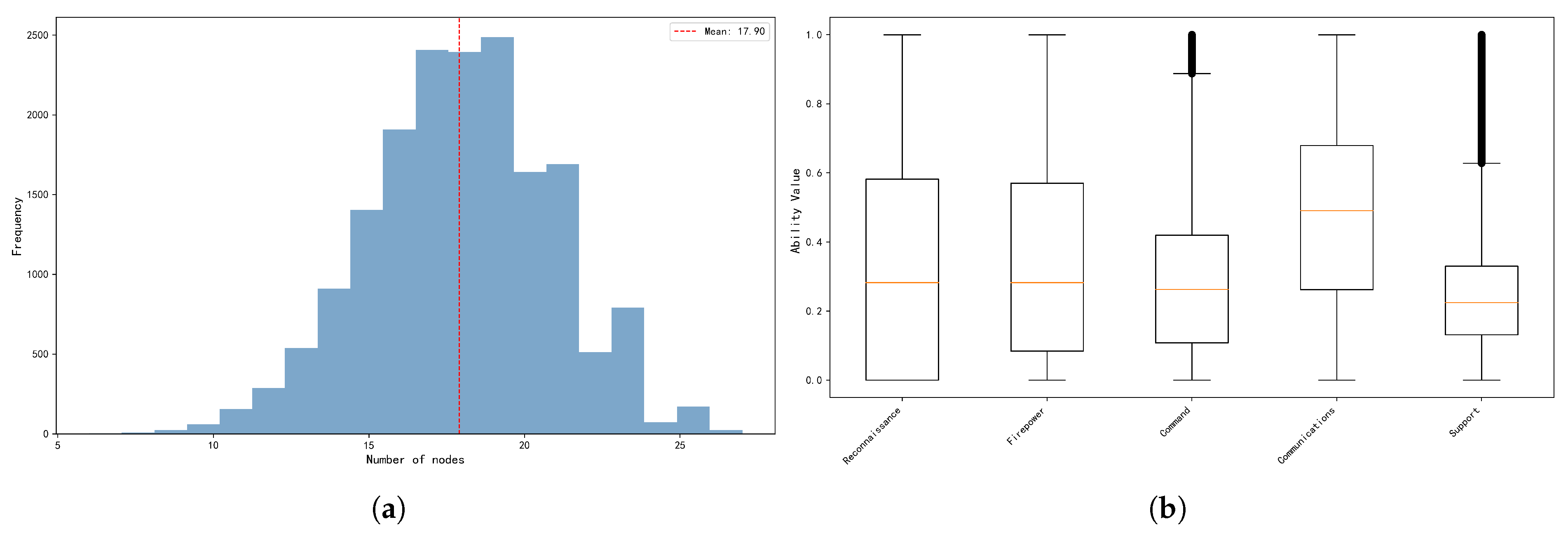
4.1.1. Dataset Description
- Static Target: Characterized by high priority and hardness alongside zero mobility, typically representing critical, fixed infrastructure.
- Mobile Target: Features high mobility and moderate stealth capabilities, representing maneuvering units such as vehicles or mobile platforms.
- Hardened Target: Possesses superior hardness and significant countermeasure capabilities, representing fortified or well-defended positions.
- Area Target: Defined by lower priority and hardness, representing broader geographical objectives.
- Time-Sensitive Target (TST): Exhibits the highest priority but low hardness and moderate mobility, representing fleeting targets requiring rapid engagement.
- Stealth Target: Distinguished by high stealth and electronic warfare capabilities, representing low-observable assets.
- Electronic Warfare (EW) Target: Demonstrates the highest electronic warfare and countermeasure attributes, representing dedicated jamming or surveillance units.
4.1.2. Evaluation Metrics
- Structural Similarity Metrics. Node distribution similarity quantifies the consistency in node type distributions between generated and original networks. This metric is calculated as: , where and denote the proportions of the i-th node type in the original and generated combat networks, respectively. Network density matching assesses the similarity in connection density between the generated and original networks, defined as , where represents the network density.
- Tactical Effectiveness Metrics. Target accessibility evaluates the efficiency of connectivity from non-target nodes to target nodes, reflecting the network’s information flow capability. This metric is formulated as: , where denotes the set of non-target nodes, represents the set of target nodes, and indicates the existence of a connected path from node i to any target node. Network resilience measures robustness through random node removal tests, calculated as , where is the total number of nodes in the original network, and represents the size of the largest connected component after the i-th random node removal.The defense strength quantifies the robustness of the combat network by aggregating five key topological attributes. It is calculated as a weighted sum of normalized sub-metrics:where represents the indices for network connectivity, clustering coefficient, command control efficiency, graph density, and node type diversity. The command control efficiency is inversely proportional to the average shortest path length from command nodes to all other nodes. The final score is normalized to a range of , with higher values indicating a more robust and defensible network structure.The attack efficiency evaluates the offensive capability by balancing response speed with firepower allocation. The calculation principle prioritizes shorter transmission paths to ensure rapid engagement:where L represents the average shortest path length of the network, and denotes the ratio of firepower nodes. The term ensures that networks with tighter connectivity achieve higher efficiency scores, while the firepower term ensures sufficient combat resources are present.
- Condition Matching Metrics. Attribute consistency assesses the degree of alignment between generated networks and target attributes. This metric is computed as: , where P represents the set of target node attributes, and denotes the generated attribute values.
- Quantitative Symmetry Indicators. To comprehensively evaluate the structural balance and functional stability of the combat network, we designs four core quantitative metrics.Node Efficiency Distribution Variance measures the dispersion of node importance within the network. It aggregates degree centrality and betweenness centrality to calculate the comprehensive efficiency E of a node. A smaller variance indicates more balanced node performance, implying higher symmetry. , where is the variance of the node efficiency distribution, and is the theoretical maximum variance for normalization.Connectivity Symmetry Coefficient evaluates the balance of network connections using the Gini coefficient. In a perfectly symmetric regular network, node degrees are equal. In an asymmetric network, there is a significant skew in degree distribution. , where is the Gini coefficient of the node degree distribution, calculated as . Here, corresponds to a perfectly symmetric distribution, yielding .Functional Module Symmetry evaluates the uniformity of substructures composed of the same node types. It calculates the stability of path lengths within the subgraph of the same type of nodes. , where K is the number of node types, and is the set of path lengths between nodes of the k-th type. This metric reflects the geometric symmetry of the spatial distribution of similar nodes.Path Length Symmetry reflects the global symmetry of the network topology and the consistency of information transmission. It uses the coefficient of variation () to measure the dispersion of path lengths. where is the coefficient of variation of the shortest path lengths between all node pairs, and and are the standard deviation and mean of the path lengths, respectively. A more symmetric network structure results in smaller differences in node-to-node path lengths.Overall Symmetry Score combines the four dimensions through a weighted average. Higher weights (30% each) are assigned to node efficiency and connectivity to highlight the importance of core topological features: .
4.2. Experimental Setup
4.3. Analysis of Experimental Results
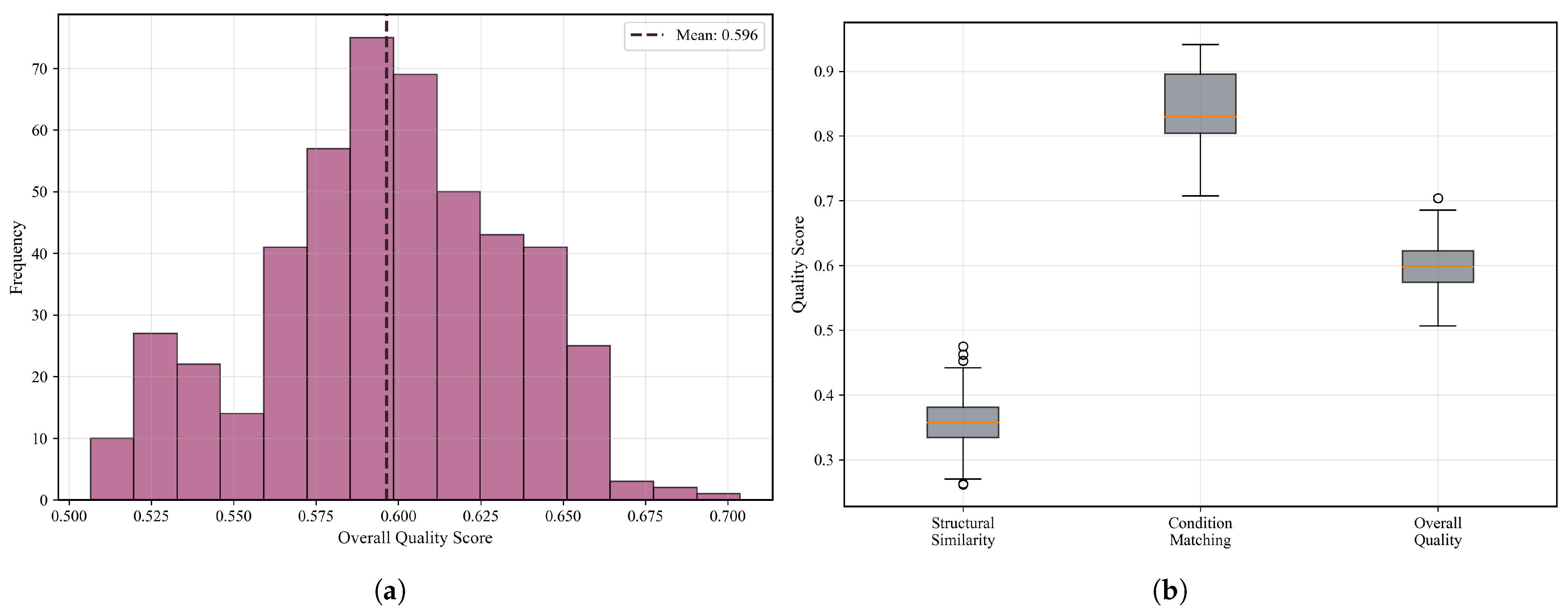
4.3.1. Optimization Analysis of Structural Fidelity and Network Characteristics
4.3.2. Scalability Analysis and Applicability Discussion
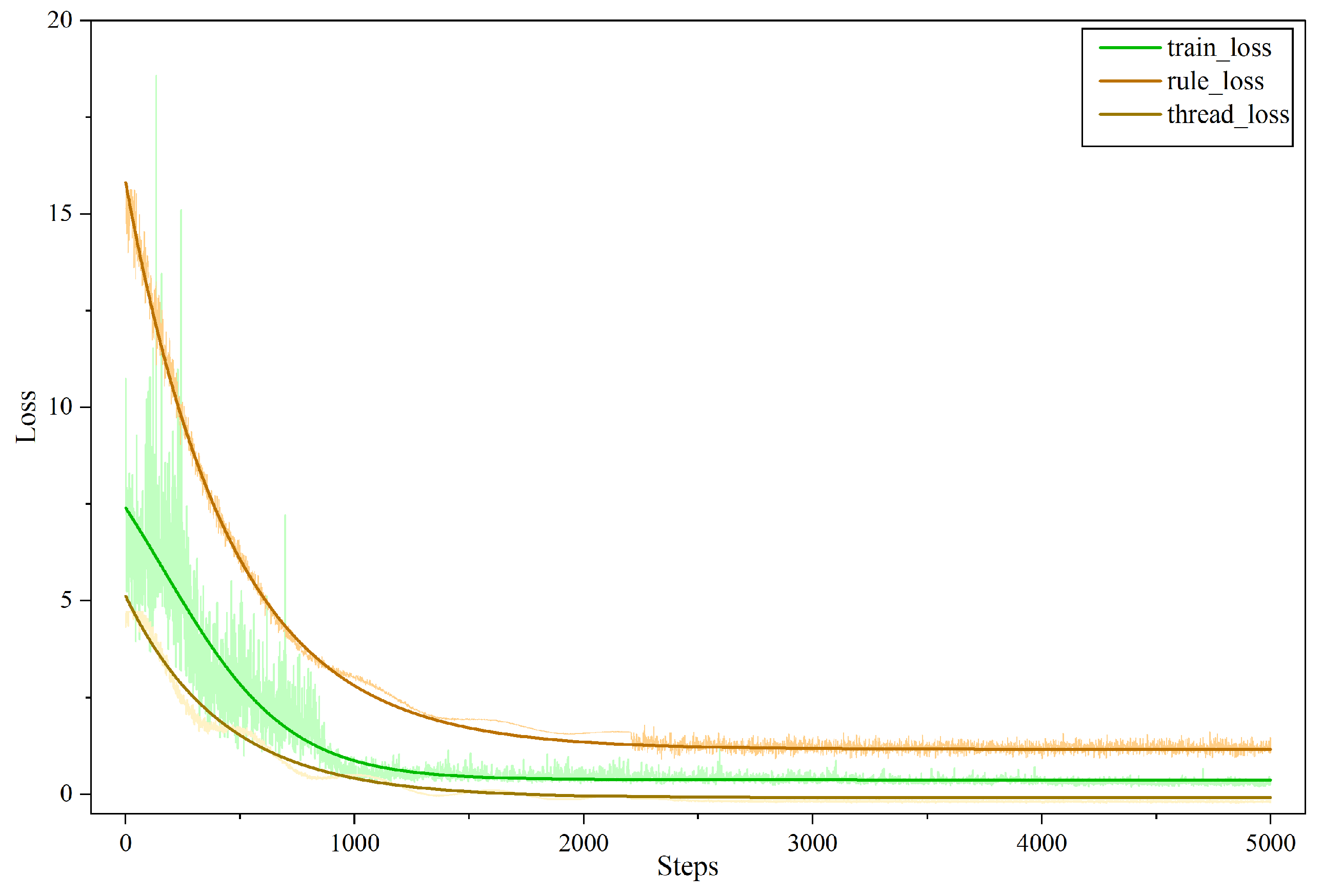
4.3.3. Analysis of Model Training Convergence and Generation Time
- Rule-Constrained Loss (): The light brown curve in Figure 8 shows that declines rapidly during the first 2000 steps. It then stabilizes at a low magnitude. As defined in Equation (14), this term represents the Kullback-Leibler (KL) divergence between the predicted adjacency distribution and the valid military order distribution . The downward trend signifies that the model progressively reduces the informational discrepancy between generated topologies and doctrinal rules. The eventual plateau indicates that generated connections have converged to the subspace of valid military configurations. This ensures topological legitimacy.
- Threat Perception Loss (): Similarly, the dark brown curve representing decreases steadily. This reflects the optimization of the Frobenius norm between node features and target threat vectors. This trend demonstrates that the feature extraction function effectively aligns the latent representations of combat nodes () with dynamic battlefield threat information (). The minimization of this term confirms an important aspect of the conditional generation process. It is not merely reconstructing structures; rather, it actively encodes the situational context of the combat environment into the node features.
4.3.4. Systematic Improvement of Multi-Dimensional Tactical Effectiveness
- In the “Condition Matching” dimension, multiple discrete peak clusters appear. These are visible as concentrated high-value regions within the color curves. This pattern corresponds to the clear hierarchical characteristics of the generated schemes in satisfying conditional constraints.
- Node count and edge count display hierarchical aggregation. Curves for different targets gather into distinct groups within these two dimensions. Furthermore, the distribution of edge count is highly correlated with node count, as shown by the consistent curve trends. This correlation reflects grouping differences in the scale of combat networks.
- In the middle and high-density regions (the “Density” dimension), dense trajectory lines are distributed. Most curves concentrate in this interval, indicating that the majority of combat networks are high-density. However, a small number of curves fall into the low-density region. This distribution demonstrates the variation in network tightness among the generated schemes.
4.3.5. Correlation Analysis Between Symmetry and Tactical Effectiveness
- Target Accessibility and Symmetry: As shown in the table, target accessibility exhibits the highest correlation with symmetry (), with an of 0.611. This indicates that structural symmetry is a key factor influencing network response speed. In symmetric networks, the variance in path lengths between nodes is minimized (indicating high path length symmetry). This allows commands and data to propagate throughout the network with consistent latency. Such a balanced topology avoids congestion at central nodes, thereby enhancing the capability to rapidly discover and lock targets.
- Network Resilience and Symmetry: Network resilience demonstrates a strong correlation with symmetry (). A high-symmetry network implies the absence of hub nodes with disproportionately high degrees (indicated by a high connectivity symmetry coefficient). Consequently, under enemy attack, functional degradation is distributed across nodes rather than concentrated at specific points. The regression analysis indicates that a 0.1 increase in the symmetry score yields an average increase of 0.095 in network resilience. This validates the core value of symmetry design in ensuring survivability.
- Synergistic Effect of Attack and Defense Strength: The correlation coefficients for attack and defense strength are 0.715 and 0.634, respectively. These results demonstrate that functional module symmetry ensures a uniform spatial distribution of firepower, reconnaissance, and support modules. This configuration enables the combat network to maintain consistent strike and defense capabilities in all directions, effectively eliminating defensive blind spots and achieving a globally optimal configuration.
4.3.6. Result Analysis of 3D Topology Generation for Combat Networks
4.4. Engineering Application Prospects
4.4.1. Model Deployment Plan
4.4.2. System Interface Design
4.4.3. Real-Time Optimization and Dynamic Adjustment
4.4.4. Application Limitations and Future Directions
5. Conclusions
Author Contributions
Funding
Data Availability Statement
Conflicts of Interest
References
- Chen, L.; Wang, L.; Zeng, C.; Liu, H.; Chen, J. GMTDG: A Graph Generation Method for Mosaic Warfare Dynamic Kill Web. In Proceedings of the 2023 IEEE International Conference on Systems, Man, and Cybernetics (SMC), Honolulu, HI, USA, 1–5 October 2023. [Google Scholar]
- Oh, S.H.; Byeon, G.W.; Cho, Y.-I.; Kwon, S.; Woo, J.H. Artificial Intelligence in Combat Decision-Making: Weapon Target Assignment via Reinforcement Learning and Graph Neural Networks. IEEE Trans. Cybern. 2025, 1–13. [Google Scholar] [CrossRef] [PubMed]
- Macrino, N.; Pallas Enguita, S.; Chen, C.-H. Enhancing Cyber Situational Awareness through Dynamic Adaptive Symbology: The DASS Framework. Sensors 2025, 25, 6300. [Google Scholar] [CrossRef] [PubMed]
- Sun, Y.; Zhang, T. Research on Autonomous Reconstruction Method for Dependent Combat Networks. IEEE Syst. J. 2023, 17, 6104–6113. [Google Scholar] [CrossRef]
- Wang, Y.; Tao, J.; Zhang, X.; Bai, G.; Zhang, Y. Mission-Oriented Capability Evaluation for Combat Network Based on Operation Loops. Def. Technol. 2024, 42, 156–175. [Google Scholar] [CrossRef]
- Yang, S.; Hou, Z.; Chen, H. Evaluation of Vulnerability of MAV/UAV Collaborative Combat Network Based on Complex Network. Chaos Solitons Fractals 2023, 172, 113500. [Google Scholar] [CrossRef]
- Wu, Z.; Pan, S.; Chen, F.; Long, G.; Zhang, C.; Yu, P.S. A Comprehensive Survey on Graph Neural Networks. IEEE Trans. Neural Netw. Learn. Syst. 2021, 32, 4–24. [Google Scholar] [CrossRef] [PubMed]
- Ciolponea, C.-A. The Integration of Unmanned Aircraft System (UAS) in Current Combat Operations. Land Forces Acad. Rev. 2022, 27, 333–347. [Google Scholar] [CrossRef]
- Jiang, J.; Li, J.; Xia, B.; Yang, K. Modeling and Resilience Analysis of Combat Systems-of-Systems Based on Kill Web. In Proceedings of the 2022 17th Annual System of Systems Engineering Conference (SOSE), Rochester, NY, USA, 7 June 2022; pp. 28–35. [Google Scholar]
- Huang, X.; Li, S.; Miao, C.; Hou, L.; Chen, Y. Generative Adversarial Network for Stress-Minimizing Topology Optimization. Int. J. Mech. Mater. Des. 2025, 21, 2013–2030. [Google Scholar] [CrossRef]
- Zhang, H.; Wang, L.; Chen, Y. Research on Functional Robustness of Heterogeneous Combat Networks. IEEE Syst. J. 2019, 13, 1487–1495. [Google Scholar]
- Ho, J.; Jain, A.; Abbeel, P. Denoising Diffusion Probabilistic Models. In Proceedings of the Advances in Neural Information Processing Systems (NeurIPS 2020), New York, NY, USA, 6–12 December 2020; Volume 33, pp. 6840–6851. [Google Scholar]
- Wang, C.; Ong, H.H.; Chiba, S.; Rajapakse, J.C. GLDM: Hit Molecule Generation with Constrained Graph Latent Diffusion Model. Briefings Bioinf. 2024, 25, bbae142. [Google Scholar] [CrossRef]
- Yoo, T.; Lee, S.; Yoo, K.; Kim, H. Reinforcement Learning Based Topology Control for UAV Networks. Sensors 2023, 23, 921. [Google Scholar] [CrossRef]
- Sun, L.; Zhou, Y.; Zhu, C.; Zhang, W. A New Important Nodes Identification Method in Multi-Layer Heterogeneous Combat Network with Meta-Path Centrality. J. Complex Netw. 2024, 12, cnae021. [Google Scholar] [CrossRef]
- Liu, M.; Feng, Q.; Guo, X.; Duan, D.; Lv, C.; Dui, H.; Wang, Z. Capability Assessment and Critical Nodes Identification in Heterogeneous Combat Networks with Multi-Functional Equipment. Chaos Solitons Fractals 2025, 196, 116375. [Google Scholar] [CrossRef]
- Song, Z.; Cao, Z.; Fan, C.; Xu, S.; Yu, D. Mathematical Modeling of Operation Loop Ratio and Its Effect in Combat Networks. Chaos Solitons Fractals 2025, 195, 116318. [Google Scholar] [CrossRef]
- Xu, R.; Liu, J.; Li, J.; Yang, K. Link-Centric Research on the Capability Resilience of Heterogeneous Information Combat Networks. IEEE Trans. Netw. Sci. Eng. 2025, 12, 2921–2931. [Google Scholar] [CrossRef]
- Li, J.; Zhao, D.; Ge, B.; Jiang, J.; Yang, K. Disintegration of Operational Capability of Heterogeneous Combat Networks under Incomplete Information. IEEE Trans. Syst. Man Cybern. Syst. 2020, 50, 5172–5179. [Google Scholar] [CrossRef]
- Gou, H.; He, Z.; Wu, X.; Zhang, G.; Du, P.; Zhai, D. A Distributed and Robust Topology Control Scheme for Drone Swarm Networks. IEEE Trans. Consum. Electron. 2025, 71, 3156–3168. [Google Scholar] [CrossRef]
- Xiao, H.; Sun, S.; Li, D. Research on Kill Chain Resource Allocation Optimization Based on Reinforcement Learning and Game Theory. In Proceedings of the 2024 2nd International Conference on Computer, Vision and Intelligent Technology (ICCVIT), Huaibei, China, 24–27 November 2024. [Google Scholar]
- Wang, Y.; Liang, J.; Wang, S. A New Approach for Target Capability Assessment and Selection in Complex Situations. Comput. Intell. Neurosci. 2022, 2022, 3146683. [Google Scholar] [CrossRef] [PubMed]
- You, J.; Ying, R.; Ren, X.; Hamilton, W.; Leskovec, J. GraphRNN: Generating Realistic Graphs with Deep Auto-Regressive Models. In Proceedings of the 35th International Conference on Machine Learning (ICML 2018), Stockholm, Sweden, 10–15 July 2018; PMLR: Brookline, MA, USA, 2018; Volume 80, pp. 5708–5717. [Google Scholar]
- Bojchevski, A.; Shchur, O.; Zügner, D.; Günnemann, S. NetGAN: Generating Graphs via Random Walks. In Proceedings of the 35th International Conference on Machine Learning (ICML 2018), Stockholm, Sweden, 10–15 July 2018; PMLR: Brookline, MA, USA, 2018; Volume 80, pp. 610–619. [Google Scholar]
- Zhang, L.; Zhao, L.; Qin, S.; Pfoser, D.; Ling, C. TG-GAN: Continuous-Time Temporal Graph Deep Generative Models with Time-Validity Constraints. In Proceedings of the Web Conference 2021 (WWW ’21), Ljubljana, Slovenia, 19–23 April 2021; pp. 2104–2116. [Google Scholar]
- Yang, L.; Tian, Y.; Xu, M.; Liu, Z.; Hong, S.; Qu, W.; Zhang, W.; Cui, B.; Zhang, M.; Leskovec, J. VQGraph: Rethinking Graph Representation Space for Bridging GNNs and MLPs. In Proceedings of the International Conference on Learning Representations (ICLR 2024), Vienna, Austria/Virtual, 7–11 May 2024. [Google Scholar]
- Xiang, S.; Cheng, D.; Zhang, J.; Ma, Z.; Wang, X.; Zhang, Y. Efficient Learning-Based Community-Preserving Graph Generation. In Proceedings of the 2022 IEEE 38th International Conference on Data Engineering (ICDE), Kuala Lumpur, Malaysia, 9–12 May 2022; pp. 1982–1994. [Google Scholar]
- Vignac, C.; Krawczuk, I.; Siraudin, A.; Wang, B.; Cevher, V.; Frossard, P. DiGress: Discrete Denoising Diffusion for Graph Generation. In Proceedings of the International Conference on Learning Representations (ICLR 2023), Kigali, Rwanda/Virtual, 1–5 May 2023. [Google Scholar]
- Zhang, Q.; Xiao, J.; Niu, D.; Zhang, Z.; Ding, S.; Li, Z. Geometry-Complete Latent Diffusion Model for 3D Molecule Generation. Bioinformatics 2025, 41, btaf426. [Google Scholar] [CrossRef] [PubMed]
- Lee, S.; Jo, J.; Hwang, S.J. Exploring Chemical Space with Score-Based Out-of-Distribution Generation. In Proceedings of the 40th International Conference on Machine Learning (ICML 2023), Honolulu, HI, USA, 23–29 July 2023; Volume 202, pp. 18872–18892. [Google Scholar]
- Zhou, C.; Wang, X.; Zhang, M. Unifying Generation and Prediction on Graphs with Latent Graph Diffusion. Adv. Neural Inf. Process. Syst. 2024, 37, 61963–61999. [Google Scholar]
- Chen, H.; Chen, Y.; Das, M.; Fan, X.; Pan, M.; Qiu, R.; Tong, H.; Xu, Z.; Zeng, Z. Discrete-State Continuous-Time Diffusion for Graph Generation. In Proceedings of the Advances in Neural Information Processing Systems (NeurIPS 2024), Vancouver, BC, Canada, 10–15 December 2025. [Google Scholar]
- Zhang, G.; Gao, H.; Jiang, Z.; Zhao, H.; Zheng, Z. Ctrl-U: Robust Conditional Image Generation via Uncertainty-Aware Reward Modeling. In Proceedings of the International Conference on Learning Representations (ICLR 2025), Singapore, 24–28 April 2025. [Google Scholar]
- Huang, H.; Huang, M. Schrödinger Bridge Based Deep Conditional Generative Learning. J. Multivar. Anal. 2025, 210, 105486. [Google Scholar] [CrossRef]
- Petersen, O.; Kollovieh, M.; Lienen, M.; Günnemann, S. Discrete Bayesian Sample Inference for Graph Generation. In Proceedings of the Advances in Neural Information Processing Systems (NeurIPS 2025), Ottawa, ON, Canada, 8–14 December 2025. [Google Scholar]
- Shao, J. Research on Equipment Portfolio Selection Method Based on Kill Network. Master’s Thesis, National University of Defense Technology, Changsha, China, 2020. [Google Scholar]
- Chen, Q.; Tian, H.; Wang, P.; Leng, S.; Xiao, Z. Distributed Cooperative Combat Weapon Configuration Scheme Based on “OODA” Loop. Acta Armamentarii 2021, 42, 1780–1788. [Google Scholar]
- Zhang, L.J.; Li, J.J.; Fan, H.L.; Zhang, J.T.; Cai, Z.N. Generation and Application of Maritime Adaptive Kill Network Based on Graph Model. Chin. J. Ship Res. 2025, 20, 297–306. [Google Scholar]
- You, J.; Ying, R.; Ren, X.; Hamilton, W.; Leskovec, J. GraphRNN: A Deep Generative Model for Graphs. arXiv 2018, arXiv:1802.08773. [Google Scholar]
- Luo, Y.; Yan, K.; Ji, S. GraphDF: A Discrete Flow Model for Molecular Graph Generation. In Proceedings of the 38th International Conference on Machine Learning (ICML 2021), Online, 18–24 July 2021. [Google Scholar]
- Huang, H.; Sun, L.; Du, B.; Lv, W. Conditional Diffusion Based on Discrete Graph Structures for Molecular Graph Generation. In Proceedings of the AAAI Conference on Artificial Intelligence, Washington, DC, USA, 7–14 February 2023; Volume 37, pp. 4302–4311. [Google Scholar]
















| Research Focus | Representative Work | Methodology | Dimensionality | Generative Capability |
|---|---|---|---|---|
| Vulnerability | Yang et al. [6], Sun et al. [15] | Centrality Analysis/Meta-path | 2D/Abstract | None (Analysis only) |
| Capability Eval. | Wang et al. [5], Song et al. [17] | Operational Loop Models | 2D/Abstract | None (Measurement only) |
| Reconfiguration | Sun et al. [4], Zhang et al. [21] | Optimization/ Recovery Algorithms | 2D/3D | Incremental Modification only |
| Swarm Control | Chen et al. [20] | Distributed Control | 3D | Local connectivity maintenance |
| Target Matching | Wang et al. [22] | Capability Assessment | N/A | No topology generation |
| Category | Method | Year | Core Mechanism | Limitations in 3D/Combat |
|---|---|---|---|---|
| Autoregressive | GraphRNN [23] | 2018 | RNN-based sequential generation | Slow inference; sequential error accumulation |
| Adversarial | NetGAN [24] | 2018 | GAN with random walks | Mode collapse; training instability |
| Structure-aware | CP-GAN [27] | 2022 | Hierarchical pooling + GAN | Struggles with complex 3D constraints |
| Diffusion | DiGress [28] | 2022 | Discrete Denoising Diffusion | High sampling latency; no 3D geometry |
| 3D Diffusion | Geometry-Complete [29] | 2025 | 3D Latent Diffusion | Domain-specific to molecules; lacks tactical logic |
| Conditional | CTRL-U [33] | 2024 | Uncertainty-Aware Reward | Primarily for images; not graph-structure aware |
| Symbol | Description | Symbol | Description |
|---|---|---|---|
| Combat network with nodes V and edges E | Defense strength metric | ||
| Node features and adjacency matrix | Attack efficiency metric | ||
| Noisy graph state at diffusion step t | L | Average shortest path length | |
| Initial clean combat network from dataset | Firepower node ratio & Recon node ratio | ||
| Standard Gaussian noise added in forward process | Total loss function | ||
| Predicted noise output by the neural network | Trainable parameters of the model | ||
| Marginal distribution of noisy graph | Reconstruction (denoising) loss | ||
| Standard Wiener process (Brownian motion) | Rule-constrained loss (KL divergence) | ||
| Drift coefficient & Diffusion coefficient | Threat perception loss | ||
| Standard deviation of noise at step t | Hyperparameter weights for losses | ||
| Command authorization matrix (0 or 1) | r | Guidance weight for ODE sampling | |
| Tactical, Legal, Resource, Environmental authorization | Reward function for gradient guidance | ||
| Conditional input representing tactical target attributes | Unit-normalized gradient | ||
| M | Conditional input representing map/environment | Connectivity score & Network density | |
| Clustering coefficient of the network | Node features extracted at layer l |
| Category | Specific Types/Values | Key Attributes | Role/Description |
|---|---|---|---|
| Overall Statistics | |||
| Total Samples | 17,500 instances | Avg. Nodes per Network: 17.92 | Avg. Edges per Network: 45.2 |
| Node Types & Equipment (24 Subtypes) | |||
| Reconnaissance | Radar, Optical, Electronic, Drone | Detection Range, Accuracy, Stealth | Information acquisition, surveillance, and target tracking. |
| Firepower | Missile, Rocket Launcher, Shell, PGM | Strike Range, Lethality, Accuracy | Kinetic attack capability for engaging hostile targets. |
| Command | Theater Cmd Center, Tactical Post, Forward Post | Decision Speed, Command Range | Central decision-making and tactical orchestration. |
| Communications | Satellite, Ground Station, Mobile Vehicle | Bandwidth, Reliability, Latency | Information transmission and network connectivity. |
| Support | Logistics Base, Maintenance Vehicle, Hospital | Logistics Capacity, Maintenance Capability | Sustainment, repair, and logistical backup. |
| Target | Static, Mobile, Hardened, Area, Time-Sensitive, etc. | Priority, Hardness, Mobility | Adversarial entities or assets to be detected and engaged. |
| Edge Types (Relations) | |||
| Reconnaissance | RECON (Cyan) | Recon ↔ Target | Observation and data sensing of hostile entities. |
| Communication | COMM (Yellow) | Inter-node (C2, Firepower, etc.) | Transmission of tactical data and instructions. |
| Firepower | FIR (Red) | Firepower → Target | Physical equipment strike or attack action. |
| Command & Control (C2) | COD (Black) | Command → Functional Nodes | Issuance of operational orders and coordination. |
| Support | SUP (Magenta) | Support → Command/Nodes | Provision of logistics, repair, or medical aid. |
| Number of Nodes | Number of Edges | Network Density | Average Degree | Target Accessibility | Attack Efficiency | Defense Strength | |
|---|---|---|---|---|---|---|---|
| Original Combat Network | 17.733 | 16.867 | 0.114 | 1.889 | 0.791 | 0.125 | 0.312 |
| Generated Combat Network | 18.315 | 34.394 | 0.221 | 3.74 | 0.833 | 0.162 | 0.368 |
| Change Rate | 5.04% | 130.9% | 114.6% | 118.3% | 9.3% | 36% | 20.8% |
| Network Scale (Nodes) | Generation Time | Network Complexity | Constraint Handling | Scalability | Key Advantages | |
|---|---|---|---|---|---|---|
| Combat-Network-based-Selection [36] | 1 (25) | 29 s | 2D Simple Structure | No Combat Constraints | Limited | Basic Equipment Selection |
| OODA-based-Weapon Configuration [37] | 1 (40) | 30 s | Basic Configuration | No Spatial Coordinates | Limited | OODA Loop Integration |
| Graph-based-Adaptive- Combat-Network [38] | 1 (3–9) | 2.26 s | 2D Graph Structure | No Spatial Relationships | Moderate | Adaptive Network Formation |
| 3DTG-CGD | 1 (28) | 6.32s | 3D Topological Structure | Combat Constraints | Excellent | 3D Topology + Combat Constraints Integration |
| Method | Network Scale (Nodes) | Generation Time (s) | Target Accessibility (%) | Defense Strength | Attack Efficiency |
|---|---|---|---|---|---|
| GraphRNN [39] | 20–25 | 3.15 | 65.8 | 0.352 | 0.133 |
| GraphDF [40] | 20–25 | 5.42 | 62.1 | 0.331 | 0.152 |
| DiGress [28] | 20–25 | 7.65 | 76.4 | 0.265 | 0.138 |
| CDGS [41] | 20–25 | 4.80 | 75.2 | 0.363 | 0.112 |
| 3DTG-CGD | 20–25 | 6.32 | 78.5 | 0.385 | 0.173 |
| Tactical Indicator | Pearson r | Spearman | Coefficient of Det. | Regression Equation | Significance |
|---|---|---|---|---|---|
| Target Accessibility | 0.782 | 0.756 | 0.611 | ||
| Network Resilience | 0.698 | 0.684 | 0.487 | ||
| Attack Effectiveness | 0.715 | 0.703 | 0.511 | ||
| Defense Strength | 0.634 | 0.618 | 0.402 |
Disclaimer/Publisher’s Note: The statements, opinions and data contained in all publications are solely those of the individual author(s) and contributor(s) and not of MDPI and/or the editor(s). MDPI and/or the editor(s) disclaim responsibility for any injury to people or property resulting from any ideas, methods, instructions or products referred to in the content. |
© 2026 by the authors. Licensee MDPI, Basel, Switzerland. This article is an open access article distributed under the terms and conditions of the Creative Commons Attribution (CC BY) license.
Share and Cite
Yang, X.; Yang, W.; Gao, M.; He, B.; Wang, X.; Lin, Z. Research on a Method for Generating 3D Topologies of Combat Networks Based on Conditional Graph Diffusion Models. Symmetry 2026, 18, 184. https://doi.org/10.3390/sym18010184
Yang X, Yang W, Gao M, He B, Wang X, Lin Z. Research on a Method for Generating 3D Topologies of Combat Networks Based on Conditional Graph Diffusion Models. Symmetry. 2026; 18(1):184. https://doi.org/10.3390/sym18010184
Chicago/Turabian StyleYang, Xiaofei, Wenjing Yang, Mei Gao, Bo He, Xiaoshuang Wang, and Zhiqiang Lin. 2026. "Research on a Method for Generating 3D Topologies of Combat Networks Based on Conditional Graph Diffusion Models" Symmetry 18, no. 1: 184. https://doi.org/10.3390/sym18010184
APA StyleYang, X., Yang, W., Gao, M., He, B., Wang, X., & Lin, Z. (2026). Research on a Method for Generating 3D Topologies of Combat Networks Based on Conditional Graph Diffusion Models. Symmetry, 18(1), 184. https://doi.org/10.3390/sym18010184

