Equivalent Elastic Modulus Study of a Novel Quadrangular Star-Shaped Zero Poisson’s Ratio Honeycomb Structure
Abstract
1. Introduction
2. The Zero Poisson’s Ratio Honeycomb Design
3. Analytical Model
3.1. Theoretical Analysis of In-Plane Mechanical Properties
3.2. Finite Element Analysis
3.3. Experiment
4. Results and Discussions
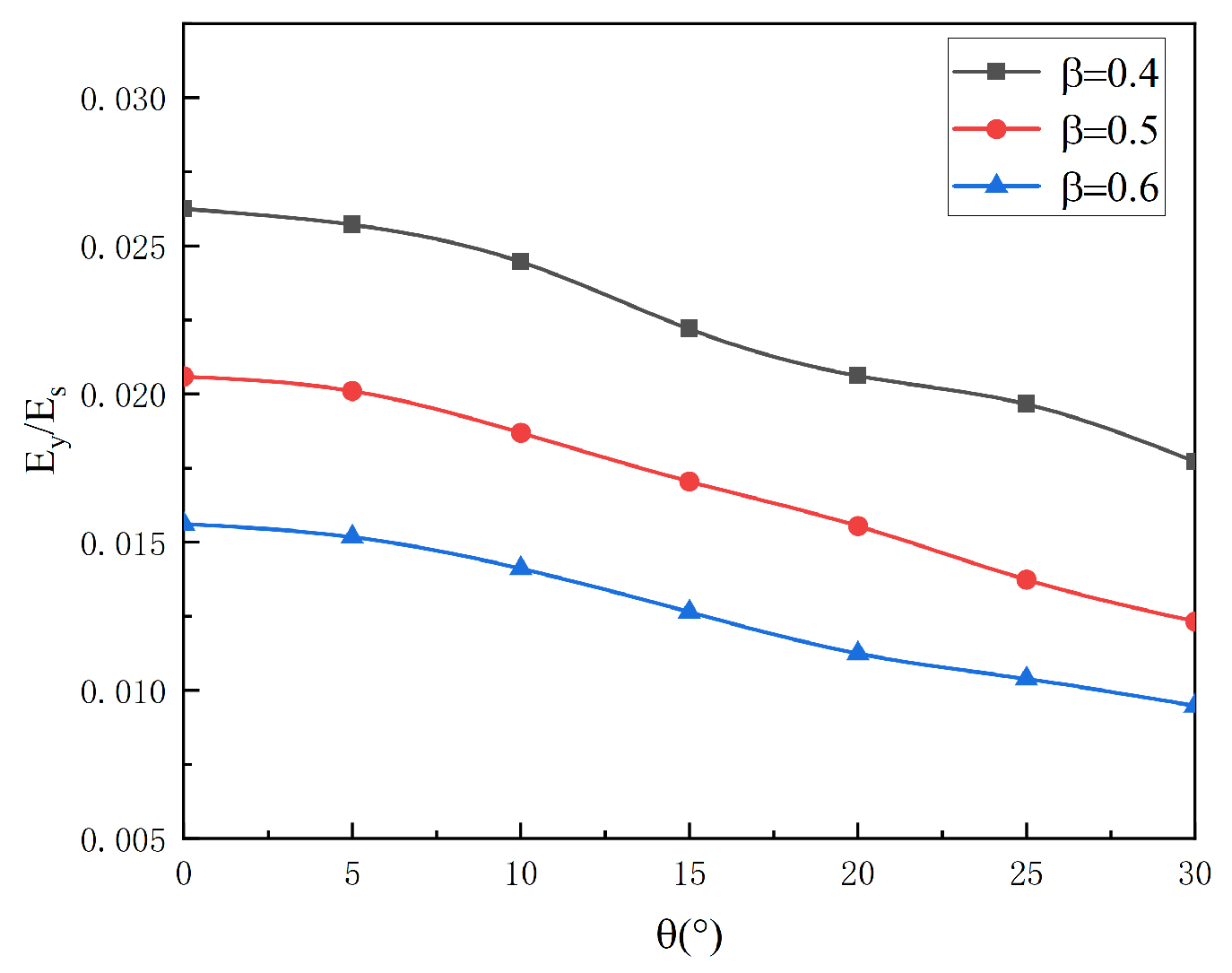
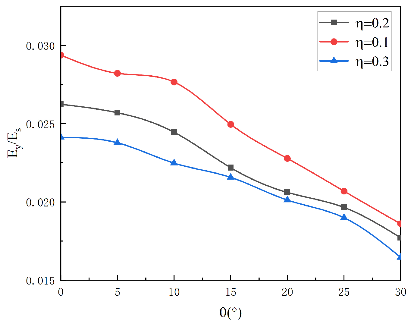
4.1. Influence of Geometrical Parameters of Honeycomb Single Cells on the Equivalent Modulus of Elasticity Inside the Face
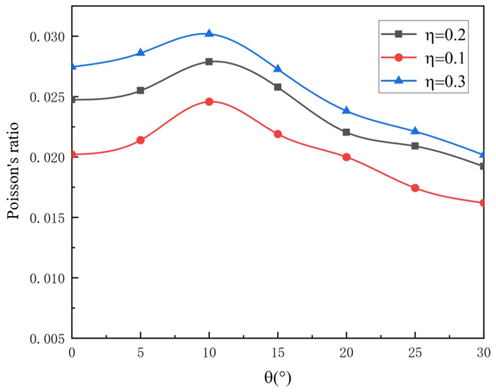
4.2. Influence of Geometrical Parameters of Honeycomb Cells on Poisson’s Ratio
5. Conclusions
Author Contributions
Funding
Data Availability Statement
Conflicts of Interest
References
- Qi, W.; Zhang, Y.; Zhang, Y.; Yan, H.; Liu, Y.; Zhang, Z. Advanced honeycomb structures for aerospace: Multiscale mechanics, bio-inspired hierarchical design, and multi-physics coupling responses. Thin-Walled Struct. 2026, 218, 114132. [Google Scholar] [CrossRef]
- Qi, C.; Jiang, F.; Yang, S. Advanced honeycomb designs for improving mechanical properties: A review. Compos. Part B Eng. 2021, 227, 109393. [Google Scholar] [CrossRef]
- Guo, X.; Zhao, J.; Hu, B.; Li, J.; Tao, J.; Chen, Y. Flexible Pressure Sensor With High Sensitivity and Fast Response Based on Bionic Honeycomb-Structured Polydimethylsiloxane/Aluminum Oxide Composites Dielectric via 3-D Printing. IEEE Trans. Electron Devices 2024, 2024, 71. [Google Scholar] [CrossRef]
- Chen, D.; Gao, K.; Yang, J.; Zhang, L. Functionally graded porous structures: Analyses, performances, and applications—A Review. Thin-Walled Struct. 2023, 191, 111046. [Google Scholar] [CrossRef]
- Rajeev, A.; Grishin, A.; Agrawal, V.; Santhanam, B.; Goss, D. Parametric optimization of corner radius in hexagonal honeycombs under in-plane compression. J. Manuf. Process. 2022, 79, 35–46. [Google Scholar] [CrossRef]
- Wang, Y.; Zheng, J.; Jin, Y.; Pang, Z.; Zhang, D. Zero Poisson’s ratio biomimetic jellyfish honeycomb structure for large deformation wing. Aerosp. Sci. Technol. 2026, 168, 111137. [Google Scholar] [CrossRef]
- Fan, Z.; Wang, L.; Hu, Y.; Li, S. Design, fabrication and compressive performance of reinforced wood gradient hierarchical square honeycomb structures. Structures 2025, 82, 110527. [Google Scholar] [CrossRef]
- Wang, G.; Deng, X. In-plane mechanical behavior design of novel re-entrant and hexagonal combined honeycombs. Mater. Today Commun. 2024, 40, 109729. [Google Scholar] [CrossRef]
- Wang, S.; Pei, W.; Jin, S.; Yu, H. Numerical and theoretical analysis of the out-of-plane crushing behavior of a sinusoidal-shaped honeycomb structure with tunable mechanical properties. Structures 2024, 61, 106147. [Google Scholar] [CrossRef]
- Zhang, Q.; Li, F.; Zhu, D.; Zhang, T.; Chen, L. Quasi-static and impact performance study of a three-dimensional negative Poisson’s ratio structure with adjustable mechanical properties. Int. J. Impact Eng. 2024, 193, 105057. [Google Scholar] [CrossRef]
- Yin, Z.; Liang, K. A dual reduced-order modeling method for nonlinear thermoelastic analysis of 3D honeycomb structure. Comput. Math. Appl. 2026, 202, 130–154. [Google Scholar] [CrossRef]
- Fan, D.; Sun, S.; Li, M.; Jiang, Z.; Tang, T. In-situ engineered reentrant-honeycomb symbiosis structure for preparing zero Poisson’s ratio composite foam. Polymer 2026, 343, 129488. [Google Scholar] [CrossRef]
- Afkhami, S.; Amraei, M.; Gardner, L.; Piili, H.; Wadee, M.A.; Salminen, A.; Björk, T. Mechanical performance and design optimisation of metal honeycombs fabricated by laser powder bed fusion. Thin-Walled Struct. 2022, 180, 109864. [Google Scholar] [CrossRef]
- Lei, Z.; Liu, J.; Guo, Z.; Ye, J.; Gao, F. Metal honeycomb skeleton reinforced foam concrete: Mechanical properties, reinforcement mechanism and optimal design. Eng. Struct. 2025, 341, 120827. [Google Scholar] [CrossRef]
- Xu, Z.; Wang, J.; Pan, L.; Qiu, X. Experimental, numerical and theoretical study on heat transfer in paper honeycomb structure. Int. J. Therm. Sci. 2023, 186, 108108. [Google Scholar] [CrossRef]
- Imrag, B.T.; Taşdemirci, A.; Gurler, Y. On the quasi-static and dynamic compressive behavior of paper honeycomb: Experimental and numerical study. Int. J. Impact Eng. 2025, 206, 105469. [Google Scholar] [CrossRef]
- Ma, H.; Meng, T.; Yin, J.; Yin, S.; Fang, X.; Li, T.; Yang, D.; Liu, Q.; Zuo, R. Mechanical properties and fracture mechanism of 3D-printed honeycomb mullite ceramics fabricated by stereolithography. Ceram. Int. 2024, 50, 41499–41508. [Google Scholar] [CrossRef]
- Huang, X.; Ma, C.; Sun, T.; Yu, Y.; Wu, Y. A novel honeycomb ceramic for gas treatment prepared by microarc oxidation. Ceram. Int. 2025, 51, 12525–12533. [Google Scholar] [CrossRef]
- Liu, H.T.; Wang, P.H.; Wu, W.J.; Li, J.Q. 3D piezoelectric composite honeycombs with alternating bi-material beam: An active control method for elastic properties. Mater. Today Commun. 2024, 38, 108191. [Google Scholar] [CrossRef]
- Liu, A.; Wang, A.; Jiang, Q.; Jiao, Y.; Wu, L. Structure Design and Performance Evaluation of Fibre Reinforced Composite Honeycombs: A Review. Appl. Compos. Mater. 2024, 31, 2019–2045. [Google Scholar] [CrossRef]
- Vellaisamy, S.; Munusamy, R. Mechanical Property Characterization of 3D-Printed Carbon Fiber Honeycomb Core Composite Sandwich Structures. J. Mater. Eng. Perform. 2025, 34, 15083–15094. [Google Scholar] [CrossRef]
- He, Y.; Bi, Z.; Wang, T.; Wang, L.; Lu, G.; Cui, Y.; Tse, K.M. Design and mechanical properties analysis of hexagonal perforated honeycomb metamaterial. Int. J. Mech. Sci. 2024, 270, 109091. [Google Scholar] [CrossRef]
- Berber, A.; Yılmaz, C.A.; Gürdal, M. Experimental and ANN-based optimization of thermal and hydraulic performance in a hexagonal honeycomb structure. Int. J. Therm. Sci. 2026, 220, 110374. [Google Scholar] [CrossRef]
- Zhang, S.; Ma, Y.; Deng, Z. Analytical solution and experimental verification for the buckling failure of additively manufactured octagonal honeycombs. Compos. Struct. 2023, 303, 116306. [Google Scholar] [CrossRef]
- Chang, Z.-Y.; Liu, H.-T.; Cai, G.-B. Mechanical properties and prescribed design of a star-shaped re-entrant honeycomb based on multi-objective optimization. Mater. Today Commun. 2024, 40, 110091. [Google Scholar] [CrossRef]
- Ma, L.; Liu, Z.; Cui, Y.; Wang, B. A leaf venation-inspired star-shaped hybrid honeycomb with ultra-high load-bearing and energy absorption. Compos. Struct. 2026, 377, 119862. [Google Scholar] [CrossRef]
- Chen, Y.; Huang, H.; Deng, X. In-plane compression characteristics of star-shaped honeycomb with asymmetric cells. Eur. J. Mech.-A/Solids 2024, 105, 105224. [Google Scholar] [CrossRef]
- Sun, X.; Zhang, X.; Yan, H.; Zhang, L.; Dong, Y. Penetration resistance of ceramic composite structures with a double arrowhead honeycombs interlayer against projectile impact. Ceram. Int. 2025, 51, 11649–11664. [Google Scholar] [CrossRef]
- Olympio, K.R.; Gandhi, F. Flexible Skins for Morphing Aircraft Using Cellular Honeycomb Cores. J. Intell. Mater. Syst. Struct. 2009, 21, 1719–1735. [Google Scholar] [CrossRef]
- Chen, M.; Fu, M.; Hu, L. Poisson’s ratio sign-switching metamaterial with stiffness matrix asymmetry and different elastic moduli under tension and compression. Compos. Struct. 2021, 275, 114442. [Google Scholar] [CrossRef]
- Gao, W.T.; Yang, C.; Tan, Y.T.; Ren, J. Reversible topological non-reciprocity by positive–negative Poisson’s ratio switch in chiral metamaterials. Appl. Phys. Lett. 2022, 121, 071702. [Google Scholar] [CrossRef]
- Yang, N.; Deng, Y.; Zhao, S.; Song, Y.; Huang, J. Mechanical Metamaterials with Discontinuous and Tension/Compression-Dependent Positive/Negative Poisson’s Ratio. Adv. Eng. Mater. 2021, 24, 2100787. [Google Scholar] [CrossRef]
- Liu, Y.; Lu, H.; Lau, D. Fractal design of 3D-printing mechanical metamaterial undergoing tailorable zero Poisson’s ratio. Smart Mater. Struct. 2023, 33, 015015. [Google Scholar] [CrossRef]
- Wu, H.; Zhang, X.; Liu, Y. In-plane crushing behavior of density graded cross-circular honeycombs with zero Poisson’s ratio. Thin-Walled Struct. 2020, 151, 106767. [Google Scholar] [CrossRef]
- Tang, A.; Yang, Q.; Liu, J. Buckling-induced metamaterials with one-way zero Poisson’s ratio. Acta Mech. Sin. 2026, 42, 424833. [Google Scholar] [CrossRef]
- Harinarayana, V.; Shin, Y.C. Design and evaluation of three–dimensional axisymmetric mechanical metamaterial exhibiting negative Poisson’s ratio. J. Mater. Res. Technol. 2022, 19, 1390–1406. [Google Scholar] [CrossRef]
- Zhao, G.; Fan, Y.; Tang, C.; Wei, Y.; Hao, W. Preparation and compressive properties of cementitious composites reinforced by 3D printed cellular structures with a negative Poisson’s ratio. Dev. Built Environ. 2024, 17, 100362. [Google Scholar] [CrossRef]
- Jin, Y.-T.; Qie, Y.-H.; Li, N.-N.; Li, N.-W. Study on elastic mechanical properties of novel 2D negative Poisson’s ratio structure: Re-entrant hexagon nested with star-shaped structure. Compos. Struct. 2022, 301, 116065. [Google Scholar] [CrossRef]
- Liu, W.; Zhang, Y.; Guo, Z.; Li, D.; Zhao, S.; Xie, W. Analyzing in-plane mechanics of a novel honeycomb structure with zero Poisson’s ratio. Thin-Walled Struct. 2023, 192, 111134. [Google Scholar] [CrossRef]
- Qin, Q.; Dayyani, I. Large strain zero Poisson’s ratio spring cell metamaterial with critical defect analysis and variable stiffness distributions. Compos. Struct. 2023, 318, 117102. [Google Scholar] [CrossRef]
- Li, T.; Sun, J.; Leng, J.; Liu, Y. In-plane mechanical properties of a novel cellular structure for morphing applications. Compos. Struct. 2023, 305, 116482. [Google Scholar] [CrossRef]
- Guo, Y.; Ai, S.; Song, C.; Nie, X.; Chang, L. Comprehensive Optimization Technology for Composite Flexible Skin Structures with Zero Poisson’s Ratio Honeycomb. In Asia-Pacific International Symposium on Aerospace Technology; Springer: Singapore, 2024. [Google Scholar] [CrossRef]
- John-Banach, M.; John, A.; Száva, I.; Vlase, S. Three-Dimensional Printing Component Used in Rehabilitation Exoskeleton. Symmetry 2022, 14, 1834. [Google Scholar] [CrossRef]
- Guo, M.-F.; Yang, H.; Ma, L. Design and characterization of 3D AuxHex lattice structures. Int. J. Mech. Sci. 2020, 181, 105700. [Google Scholar] [CrossRef]
- Rong, L.; Yifeng, Z.; Yilin, Z.; Haiwen, C.; Minfang, C. Three-dimensional orthogonal accordion cellular structures with multi-directional zero Poisson’s ratio effects. Thin-Walled Struct. 2024, 202, 112148. [Google Scholar] [CrossRef]
- Jha, A.; Dayyani, I. Shape optimisation and buckling analysis of large strain zero Poisson’s ratio fish-cells metamaterial for morphing structures. Compos. Struct. 2021, 268, 113995. [Google Scholar] [CrossRef]
- Nian, Y.; Ni, Y.Q.; Avcar, M.; Yue, R.; Zhou, K. Novel negative-zero-positive Poisson’s ratio graded mechanical metamaterials for enhanced energy absorption: Performance investigation and design optimization. Eng. Struct. 2025, 343, 121092. [Google Scholar] [CrossRef]
- Chynybekova, K.; Choi, S.-M. Flexible Patterns for Soft 3D Printed Fabrications. Symmetry 2019, 11, 1398. [Google Scholar] [CrossRef]
- GB/T 1040.1-2018; Plastics—Determination of Tensile Properties—Part 1: General Principles. State Administration for Market Regulation, Standardization Administration of the People’s Republic of China: Beijing, China, 2018.












| Boundary | Y-Direction Compression Deformation | X-Direction Compression Deformation |
|---|---|---|
| Up | U2 = −2 mm; U1 = U3 = UR1 = UR2 = UR3 = 0 | Free |
| Down | U1 = U2 = U3 = UR1 = UR2 = UR3 = 0 | Free |
| Left | Free | U2 = −2 mm; U1 = U3 = UR1 = UR2 = UR3 = 0 |
| Right | Free | U1 = U2 = U3 = UR1 = UR2 = UR3 = 0 |
| Index | Theoretical Analysis | FEM | Experimental |
|---|---|---|---|
| (MPa) | 45.94 | 51.71 | |
| (MPa) | 64.47 | 74.67 | |
| – | 0.021 | ||
| – | 0.025 |
Disclaimer/Publisher’s Note: The statements, opinions and data contained in all publications are solely those of the individual author(s) and contributor(s) and not of MDPI and/or the editor(s). MDPI and/or the editor(s) disclaim responsibility for any injury to people or property resulting from any ideas, methods, instructions or products referred to in the content. |
© 2026 by the authors. Licensee MDPI, Basel, Switzerland. This article is an open access article distributed under the terms and conditions of the Creative Commons Attribution (CC BY) license.
Share and Cite
Luo, A.; Yan, D.; Wu, Z.; Lu, H.; Ling, H. Equivalent Elastic Modulus Study of a Novel Quadrangular Star-Shaped Zero Poisson’s Ratio Honeycomb Structure. Symmetry 2026, 18, 127. https://doi.org/10.3390/sym18010127
Luo A, Yan D, Wu Z, Lu H, Ling H. Equivalent Elastic Modulus Study of a Novel Quadrangular Star-Shaped Zero Poisson’s Ratio Honeycomb Structure. Symmetry. 2026; 18(1):127. https://doi.org/10.3390/sym18010127
Chicago/Turabian StyleLuo, Aling, Dong Yan, Zewei Wu, Hong Lu, and He Ling. 2026. "Equivalent Elastic Modulus Study of a Novel Quadrangular Star-Shaped Zero Poisson’s Ratio Honeycomb Structure" Symmetry 18, no. 1: 127. https://doi.org/10.3390/sym18010127
APA StyleLuo, A., Yan, D., Wu, Z., Lu, H., & Ling, H. (2026). Equivalent Elastic Modulus Study of a Novel Quadrangular Star-Shaped Zero Poisson’s Ratio Honeycomb Structure. Symmetry, 18(1), 127. https://doi.org/10.3390/sym18010127

