Monte Carlo Simulation of the HERO Orbital Detector Calorimeter
Abstract
1. Introduction
- Precise measurement of the cosmic ray energy spectrum below the Kulikov–Christiansen knee (~3 PeV) [6].
- Element-resolved charge spectra in this energy range.
2. Materials and Methods
- (1)
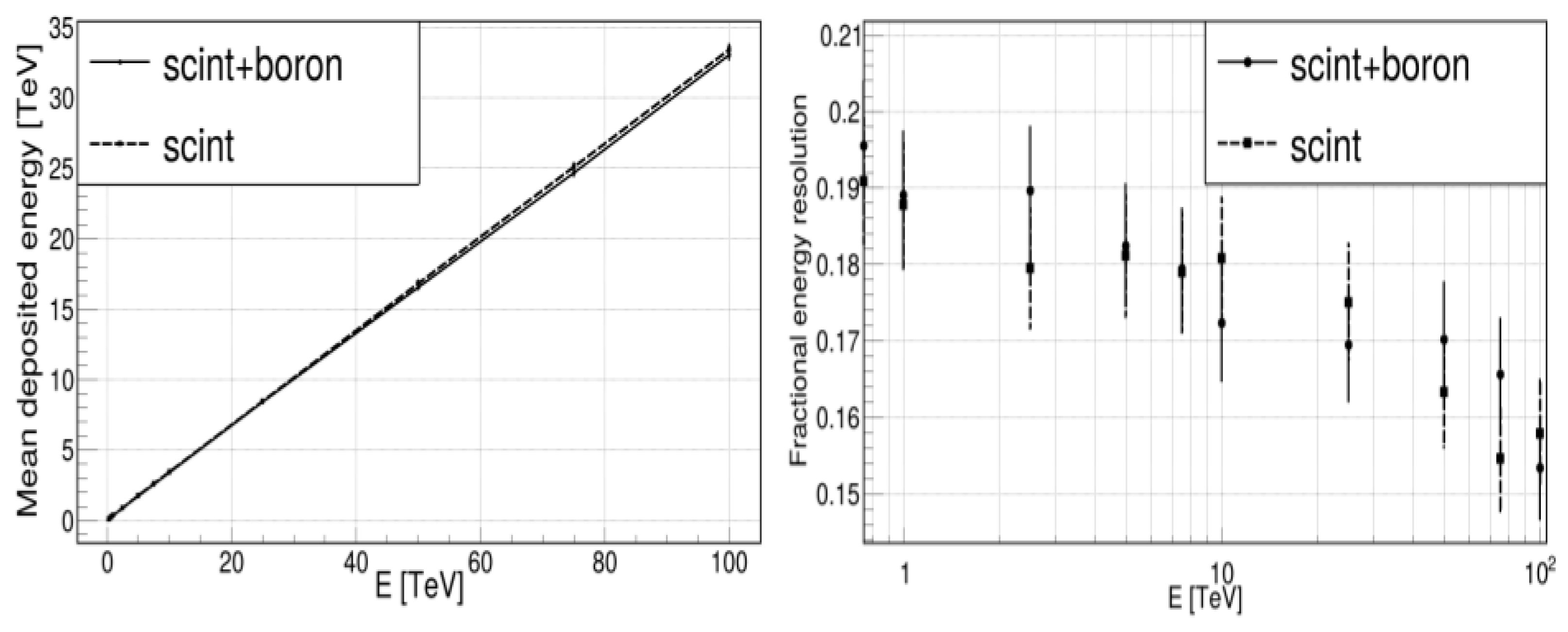
- A simplified 23.5 ton model designed to study the impact of boron on the calorimetric energy resolution, as well as on the characteristics of the background signal from cosmic protons, including its mean level and standard deviation.
- (2)
- A calorimeter prototype was developed to investigate the influence of boron on the delayed-neutron signals from hadronic and electromagnetic cascades, focusing on their differences in amplitude and time profile. Time distributions of detected scintillation photons for various primary particles are presented.
3. Results
3.1. Monte Carlo Simulation of a Simplified Model of the HERO Detector
3.2. Monte Carlo Simulation of the HERO Detector Prototype
4. Conclusions
- Alpha particle energy losses;
- Energy resolution performance;
- Time distributions of fiber-detected scintillation photons.
- (1)
- Strong dependence of alpha particle yield on primary particle type;
- (2)
- Negligible impact of boron doping on energy resolution for protons and electrons across the studied energy range;
- (3)
- Effective discrimination capability between electromagnetic and hadronic components via boron-induced timing signatures.
Author Contributions
Funding
Data Availability Statement
Conflicts of Interest
References
- Ginzburg, V.; Syrovatskii, S. The Origin of Cosmic Rays; Pergamon Press: Oxford, UK, 1964. [Google Scholar]
- Ahn, H.S.; Allison, P.; Bagliesi, M.G.; Beatty, J.J.; Bigongiari, G.; Childers, J.T.; Conklin, N.B.; Coutu, S.; DuVernois, M.A.; Ganel, O.; et al. Discrepant hardening observed in cosmic-ray elemental spectra. Astrophys. J. Lett. 2010, 714, L89–L93. [Google Scholar] [CrossRef]
- Atkin, E.; Bulatov, V.; Dorokhov, V.; Gorbunov, N.; Filippov, S.; Grebenyuk, V.; Karmanov, D.; Kovalev, I.; Kudryashov, I.; Kurganov, A.; et al. New universal cosmic-ray knee near a magnetic rigidity of 10 TV with the NUCLEON space observatory. JETP Lett. 2018, 108, 5–12. [Google Scholar] [CrossRef]
- DAMPE Collaboration; An, Q.; Asfandiyarov, R.; Azzarello, P.; Bernardini, P.; Bi, X.J.; Cai, M.S.; Chang, J.; Chen, D.Y.; Chen, H.F.; et al. Measurement of the cosmic ray proton spectrum from 40 GeV to 100 TeV with the DAMPE satellite. Sci. Adv. 2019, 5, eaax3793. [Google Scholar] [CrossRef]
- CALET Collaboration; Marrocchesi, P.S. CALET results after 5 years on the ISS. PoS 2021, 10, 1–16. [Google Scholar] [CrossRef]
- Kulikov, G.V.; Christiansen, G.B. On the spectrum of extensive air showers by the number of particles. JETP 1958, 35, 635–640. [Google Scholar]
- Navarro, J.F.; Frenk, C.S.; White, S.D.M. The Structure of Cold Dark Matter Halos. Astrophys. J. 1996, 462, 563. [Google Scholar] [CrossRef]
- Ackermann, M.; Ajello, M.; Albert, A.; Atwood, W.B.; Baldini, L.; Ballet, J.; Barbiellini, G.; Bastieri, D.; Bellazzini, R.; Bissaldi, E.; et al. The Fermi Galactic Center GeV Excess and Implications for Dark Matter. Astrophys. J. 2017, 840, 43. [Google Scholar] [CrossRef]
- Daylan, T.; Finkbeiner, D.P.; Hooper, D.; Linden, T.; Portillo, S.K.N.; Rodd, N.L.; Slatyer, T.R. The characterization of the gamma-ray signal from the central Milky Way: A case for annihilating dark matter. Phys. Dark Univ. 2016, 12, 1–23. [Google Scholar] [CrossRef]
- Prosin, V.V.; Astapov, I.I.; Bezyazeekov, P.A.; Boreyko, V.; Borodin, A.N.; Brueckner, M.; Budnev, N.M.; Wischnewski, R.; Garmash, A.Y.; Gafarov, A.R.; et al. Energy spectrum of primary cosmic rays, according to TUNKA-133 and TAI-GA-HiSCORE EAS Cherenkov light data. Bull. Russ. Acad. Sci. Phys. 2019, 83, 1016–1019. [Google Scholar] [CrossRef]
- Voronin, G.; Grebenyuk, V.M.; Karmanov, D.E.; Korotkova, N.A.; Krumshtein, Z.V.; Merkin, M.M.; Pakhomov, A.Y.; Podorozhnyi, D.M.; Sadovskii, A.B.; Sveshnikova, L.G.; et al. Testing a prototype of the charge-measuring system for the NUCLEON setup. Instrum. Exp. Tech. 2007, 50, 187–195. [Google Scholar] [CrossRef]
- Pan, A.; Grebenyuk, V.M.; Karmanov, D.M.; Krasnoperov, A.V.; Podorozhny, D.M.; Porokhovoy, S.Y.; Rogov, A.D.; Sadovsky, A.B.; Satyshev, I.; Slunecka, M.; et al. Tests of the OLVE-HERO calorimeter prototype at heavy-ion beams at SPS CERN. Phys. At. Nucl. 2019, 82, 788–794. [Google Scholar] [CrossRef]
- Allison, J.; Amako, K.; Apostolakis, J.; Araujo, H.; Dubois, P.; Asai, M.; Barrand, G.; Capra, R.; Chauvie, S.; Chytracek, R.; et al. Recent developments in Geant4. Nucl. Instrum. Meth. A 2016, 835, 186–225. [Google Scholar] [CrossRef]
- Allison, J.; Amako, K.; Apostolakis, J.; Araujo, H.; Dubois, P.; Asai, M.; Barrand, G.; Capra, R.; Chauvie, S.; Chytracek, R.; et al. Geant4 developments and applications. IEEE Trans. Nucl. Sci. 2006, 53, 270–278. [Google Scholar] [CrossRef]
- Agostinelli, S.; Allison, J.; Amako, K.; Apostolakis, J.; Araujo, H.; Dubois, P.; Asai, M.; Barrand, G.; Capra, R.; Chauvie, S.; et al. Geant4—A simulation toolkit. Nucl. Instrum. Meth. A 2003, 506, 250–303. [Google Scholar] [CrossRef]
- Karatash, K.; Satyshev, I.; Tkachev, L.G. Monte Carlo Simulation of the OLVE-HERO Orbital Experiment. Phys. Part. Nucl. 2025, 56, 113–117. [Google Scholar] [CrossRef]
- Martucci, M.; Munini, R.; Boezio, M.; Di Felice, V.; Adriani, O.; Barbarino, G.C.; Bazilevskaya, G.A.; Bellotti, R.; Bongi, M.; Bonvicini, V.; et al. Proton fluxes measured by the PAMELA experiment from the minimum to the maximum solar activity for solar cycle 24. Astrophys. J. Lett. 2018, 854, L2. [Google Scholar] [CrossRef]











Disclaimer/Publisher’s Note: The statements, opinions and data contained in all publications are solely those of the individual author(s) and contributor(s) and not of MDPI and/or the editor(s). MDPI and/or the editor(s) disclaim responsibility for any injury to people or property resulting from any ideas, methods, instructions or products referred to in the content. |
© 2025 by the authors. Licensee MDPI, Basel, Switzerland. This article is an open access article distributed under the terms and conditions of the Creative Commons Attribution (CC BY) license (https://creativecommons.org/licenses/by/4.0/).
Share and Cite
Kalikulov, O.; Saduyev, N.; Mukhamejanov, Y.; Karatash, K.; Satyshev, I.; Sholtan, Y.; Baktoraz, A.; Pan, A. Monte Carlo Simulation of the HERO Orbital Detector Calorimeter. Symmetry 2025, 17, 1449. https://doi.org/10.3390/sym17091449
Kalikulov O, Saduyev N, Mukhamejanov Y, Karatash K, Satyshev I, Sholtan Y, Baktoraz A, Pan A. Monte Carlo Simulation of the HERO Orbital Detector Calorimeter. Symmetry. 2025; 17(9):1449. https://doi.org/10.3390/sym17091449
Chicago/Turabian StyleKalikulov, Orazaly, Nurzhan Saduyev, Yerzhan Mukhamejanov, Khussein Karatash, Ilyas Satyshev, Yeldos Sholtan, Aliya Baktoraz, and Anatoliy Pan. 2025. "Monte Carlo Simulation of the HERO Orbital Detector Calorimeter" Symmetry 17, no. 9: 1449. https://doi.org/10.3390/sym17091449
APA StyleKalikulov, O., Saduyev, N., Mukhamejanov, Y., Karatash, K., Satyshev, I., Sholtan, Y., Baktoraz, A., & Pan, A. (2025). Monte Carlo Simulation of the HERO Orbital Detector Calorimeter. Symmetry, 17(9), 1449. https://doi.org/10.3390/sym17091449

