Symmetric Bipartite Containment Tracking of High-Order Networked Agents via Predefined-Time Backstepping Control
Abstract
1. Introduction
- (1)
- A novel predefined-time robust containment tracking control scheme is developed for high-order multi-agent systems over signed networks. By integrating the backstepping technique with dynamic surface control, the proposed scheme systematically constructs virtual control laws and actual control inputs while avoiding repeated differentiation of fractional power terms and effectively circumventing the singularities typically encountered in conventional predefined-time [19,20,21].
- (2)
- The proposed controller guarantees bipartite containment tracking within a user-defined predefined time, which can be user-defined. Compared with traditional finite-time [17] or fixed-time approaches [18], the proposed scheme offers enhanced design flexibility and stronger timing guarantees, and mitigates limitations such as asymptotic convergence delays or time-overestimation.
- (3)
- The control design explicitly accounts for external disturbances by incorporating a robust compensation term into the control input. A rigorous Lyapunov-based stability analysis demonstrates that, under bounded disturbances, the tracking errors converge to a small residual set within the predefined time, thereby significantly enhancing the robustness and practical applicability of the control framework in uncertain and dynamic environments.
2. Preliminaries and Problem Formulation
2.1. Graph Theory
2.2. Structurally Balanced Graph
2.3. Problem Description
3. Main Results
4. Simulation Results
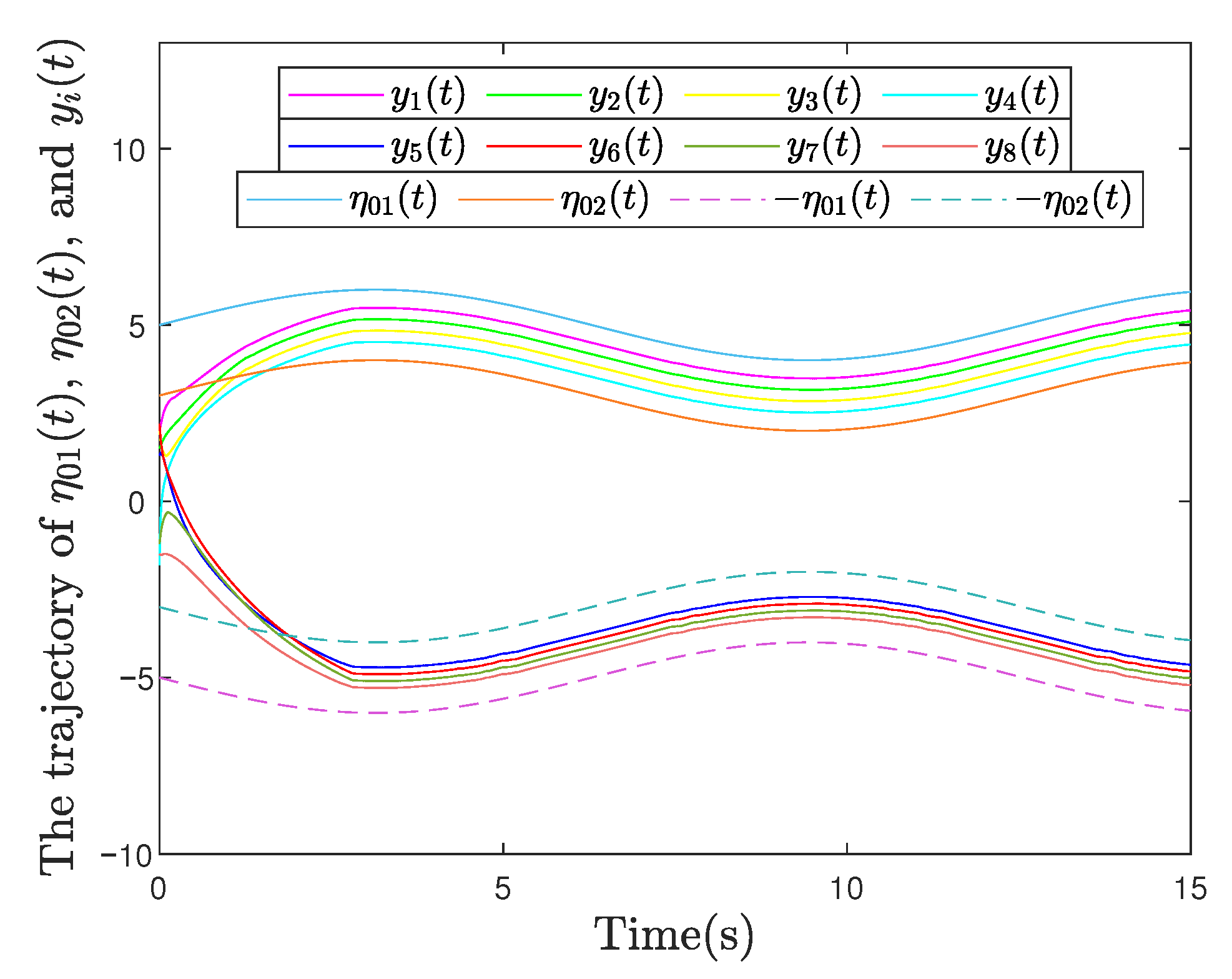
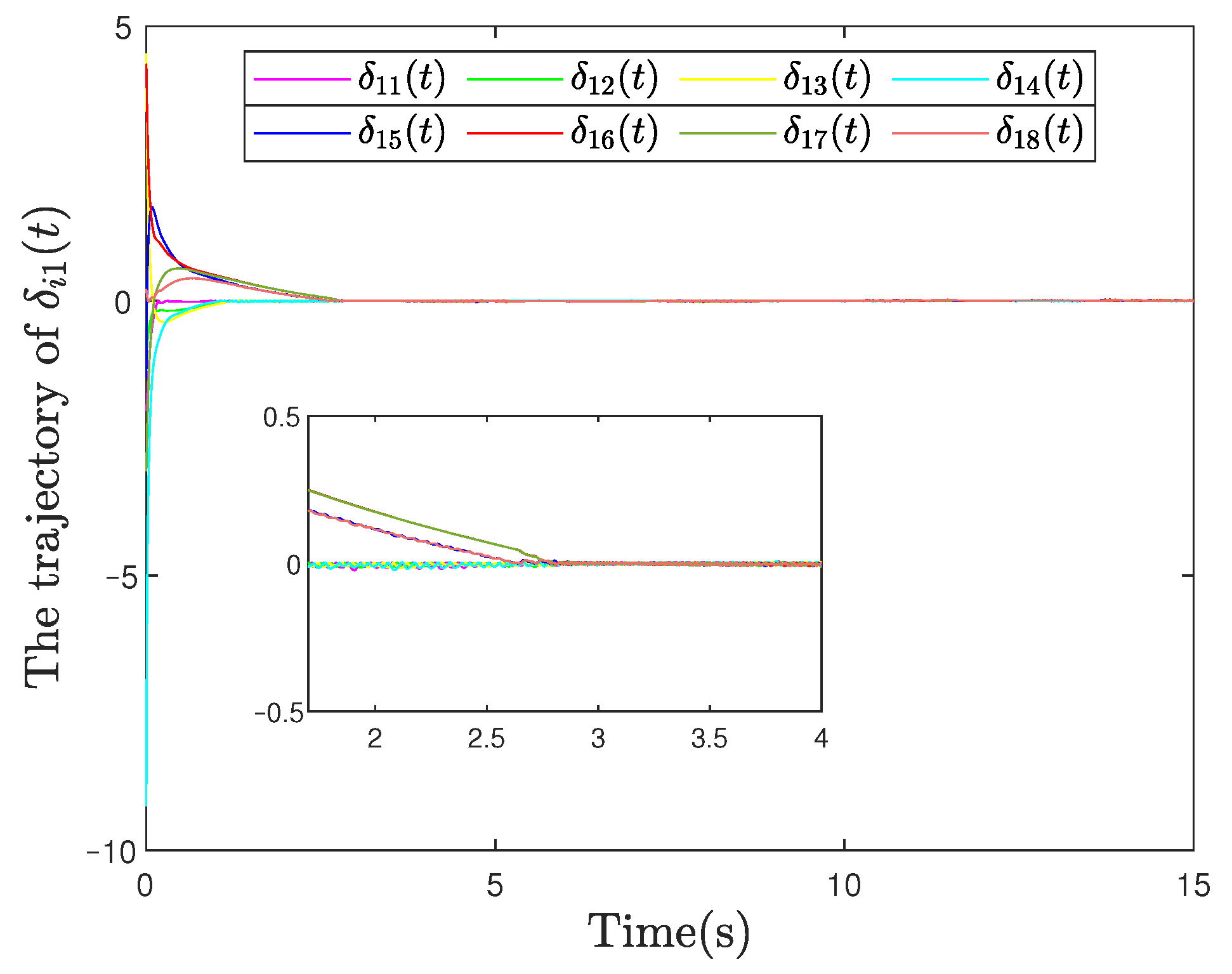
4.1. Simulation Example 1
4.2. Simulation Example 2
5. Conclusions
Author Contributions
Funding
Data Availability Statement
Conflicts of Interest
References
- Li, W.; Yan, S.; Shi, L.; Yue, J.; Shi, M.; Lin, B.; Qin, K. Multiagent Consensus Tracking Control Over Asynchronous Cooperation–Competition Networks. IEEE Trans. Cybern. 2025, 1–14. [Google Scholar] [CrossRef]
- Yang, S.; Liang, H.; Pan, Y.; Li, T. Security control for air-sea heterogeneous multiagent systems with cooperative-antagonistic interactions: An intermittent privacy preservation mechanism. Sci. China Technol. Sci. 2025, 68, 1–14. [Google Scholar] [CrossRef]
- Guo, S.; Pan, Y.; Li, H.; Cao, L. Dynamic event-driven ADP for N-player nonzero-sum games of constrained nonlinear systems. IEEE Trans. Autom. Sci. Eng. 2025, 22, 7657–7669. [Google Scholar] [CrossRef]
- Wang, X.; Pang, N.; Xu, Y.; Huang, T.; Kurths, J. On state-constrained containment control for nonlinear multiagent systems using event-triggered input. IEEE Trans. Syst. Man Cybern. Syst. 2024, 54, 2530–2538. [Google Scholar] [CrossRef]
- Li, W.; Ren, R.; Shi, M.; Lin, B.; Qin, K. Seeking Secure Adaptive Distributed Discrete-Time Observer for Networked Agent Systems Under External Cyber Attacks. IEEE Trans. Consum. Electron. 2025, 71, 918–930. [Google Scholar] [CrossRef]
- Li, W.; Shi, L.; Shi, M.; Lin, B.; Qin, K. Cooperative Formation Tracking of Multi-Agent Systems Over Switching Signed Networks. IEEE Trans. Control Netw. Syst. 2025, 1–11. [Google Scholar] [CrossRef]
- Wang, J.; Li, Y.; Wu, Y.; Liu, Z.; Chen, K.; Chen, C.P. Fixed-time formation control for uncertain nonlinear multi-agent systems with time-varying actuator failures. IEEE Trans. Fuzzy Syst. 2024, 32, 1965–1977. [Google Scholar] [CrossRef]
- Yang, Y.; Hu, W. Containment control of double-integrator multi-agent systems with time-varying delays. IEEE Trans. Netw. Sci. Eng. 2021, 9, 457–466. [Google Scholar] [CrossRef]
- Koru, A.T.; Ramírez, A.; Sarsılmaz, S.B.; Sipahi, R.; Yucelen, T.; Dogan, K.M. Containment control of multi-human multi-agent systems under time delays. IEEE Trans. Syst. Man Cybern. Syst. 2024, 54, 3344–3356. [Google Scholar] [CrossRef]
- Li, W.; Shi, L.; Shi, M.; Yue, J.; Lin, B.; Qin, K. Analyzing containment control performance for fractional-order multi-agent systems via a delay margin perspective. IEEE Trans. Netw. Sci. Eng. 2024, 11, 2810–2821. [Google Scholar] [CrossRef]
- Zhao, Y.; Niu, B.; Zong, G.; Zhao, X.; Alharbi, K.H. Neural network-based adaptive optimal containment control for non-affine nonlinear multi-agent systems within an identifier-actor-critic framework. J. Frankl. Inst. 2023, 360, 8118–8143. [Google Scholar] [CrossRef]
- Liu, Y.; Zhang, H.; Wang, Y.; Liang, H. Adaptive containment control for fractional-order nonlinear multi-agent systems with time-varying parameters. IEEE/CAA J. Autom. Sin. 2022, 9, 1627–1638. [Google Scholar] [CrossRef]
- Li, W.; Shi, M.; Shi, L.; Lin, B.; Qin, K. Containment tracking for networked agents subject to nonuniform communication delays. IEEE Trans. Netw. Sci. Eng. 2023, 10, 3658–3669. [Google Scholar] [CrossRef]
- Wang, H.; Zheng, J.; Fu, J.; Wang, Y. Bounded containment maneuvering protocols for marine surface vehicles with quantized communications and tracking errors constrained guidance: Theory and experiment. IEEE Trans. Cybern. 2024, 54, 7691–7702. [Google Scholar] [CrossRef] [PubMed]
- Fan, Z.; Xu, Y.; Fu, M. Distributed formation–containment tracking control for multi-hovercraft systems with compound perturbations. J. Mar. Sci. Eng. 2024, 12, 694. [Google Scholar] [CrossRef]
- Wang, J.; Shan, Q.; Li, T.; Xiao, G.; Xu, Q. Collision-free formation-containment tracking of multi-USV systems with constrained velocity and driving force. J. Mar. Sci. Eng. 2024, 12, 304. [Google Scholar] [CrossRef]
- Liu, Y.; Zhang, H.; Sun, J.; Wang, Y. Event-triggered adaptive finite-time containment control for fractional-order nonlinear multiagent systems. IEEE Trans. Cybern. 2022, 54, 1250–1260. [Google Scholar] [CrossRef]
- Xiao, W.; Ren, H.; Zhou, Q.; Li, H.; Lu, R. Distributed finite-time containment control for nonlinear multiagent systems with mismatched disturbances. IEEE Trans. Cybern. 2021, 52, 6939–6948. [Google Scholar] [CrossRef]
- Yang, T.; Dong, J. Funnel-based predefined-time containment control of heterogeneous multiagent systems with sensor and actuator faults. IEEE Trans. Syst. Man Cybern. Syst. 2023, 54, 1903–1913. [Google Scholar] [CrossRef]
- Chen, X.; Sun, Q.; Yu, H.; Hao, F. Predefined-time practical consensus for multi-agent systems via event-triggered control. J. Frankl. Inst. 2023, 360, 2116–2132. [Google Scholar] [CrossRef]
- Ma, Y.; Zhang, K.; Jiang, B. Prescribed-time fault-tolerant containment control of fully actuated heterogeneous multiagent systems without estimations of fault parameters. IEEE Trans. Autom. Sci. Eng. 2025, 22, 13621–13632. [Google Scholar] [CrossRef]
- Shao, K.; Zheng, J. Predefined-time sliding mode control with prescribed convergent region. IEEE/CAA J. Autom. Sin. 2022, 9, 934–936. [Google Scholar] [CrossRef]
- Li, W.; Yue, J.; Shi, M.; Lin, B.; Qin, K. Neural network-based dynamic target enclosing control for uncertain nonlinear multi-agent systems over signed networks. Neural Netw. 2025, 184, 107057. [Google Scholar] [CrossRef] [PubMed]
- Liu, Z.; Zhan, X.; Han, T.; Yan, H. Distributed adaptive finite-time bipartite containment control of linear multi-agent systems. IEEE Trans. Circuits Syst. II Express Briefs 2022, 69, 4354–4358. [Google Scholar] [CrossRef]
- Liu, Y.; Zhang, H.; Shi, Z.; Gao, Z. Neural-network-based finite-time bipartite containment control for fractional-order multi-agent systems. IEEE Trans. Neural Netw. Learn. Syst. 2022, 34, 7418–7429. [Google Scholar] [CrossRef] [PubMed]
- Wu, X.; Ding, S.; Xu, N.; Niu, B.; Zhao, X. Periodic event-triggered bipartite containment control for nonlinear multi-agent systems with input delay. Int. J. Syst. Sci. 2024, 55, 2008–2022. [Google Scholar] [CrossRef]
- Li, W.; Zhou, S.; Shi, M.; Yue, J.; Lin, B.; Qin, K. Collision avoidance time-varying group formation tracking control for multi-agent systems. Appl. Intell. 2025, 55, 175. [Google Scholar] [CrossRef]
- Cui, G.; Xu, H.; Xu, S.; Gu, J. Predefined-time adaptive fuzzy bipartite consensus control for multiquadrotors under malicious attacks. IEEE Trans. Fuzzy Syst. 2023, 32, 2187–2197. [Google Scholar] [CrossRef]
- Liu, J.; Xie, S.; Li, H. Oscillatory group-bipartite consensus in a swarm of robots with multiple oscillatory leaders. IEEE Trans. Control Netw. Syst. 2022, 10, 124–133. [Google Scholar] [CrossRef]
- Pister, A.; Prieur, C.; Fekete, J.D. ComBiNet: Visual Query and Comparison of Bipartite Multivariate Dynamic Social Networks. Comput. Graph. Forum 2023, 42, 290–304. [Google Scholar] [CrossRef]
- Tan, R.; Khairudin, K.A.B. Reinforcement Learning-Based Simulation of Seal Engraving Robot in the Context of Artificial Intelligence. J. Artif. Intell. Technol. 2024, 4, 288–295. [Google Scholar] [CrossRef]
- Charles, S.; Natarajan, J. Identification of key gene modules and novel transcription factors in tetralogy of fallot using machine learning and network topological features. Medinformatics 2024, 1, 27–34. [Google Scholar] [CrossRef]
- El Aeraj, O.; Leghris, C. Intrusion Detection System Based on an Intelligent Multilayer Model Using Machine Learning. J. Artif. Intell. Technol. 2024, 4, 332–341. [Google Scholar]
- Joshi, M.; Singh, B.K. Deep learning techniques for brain lesion classification using various MRI (from 2010 to 2022): Review and challenges. Medinformatics 2024. [Google Scholar] [CrossRef]
- Zhang, L.; Liu, S.; Hua, C. Distributed bipartite containment control of high-order nonlinear multi-agent systems with time-varying powers. IEEE Trans. Circuits Syst. I Regul. Pap. 2022, 70, 1371–1380. [Google Scholar] [CrossRef]
- Zhan, H.; Wu, J.; Zhan, X.; Han, T.; Yan, H. Fixed-time bipartite containment control of high-order multi-agent systems in the signed graph. IEEE Trans. Circuits Syst. II Express Briefs 2022, 70, 1520–1524. [Google Scholar] [CrossRef]
- Zhao, Y.; Tang, F.; Zong, G.; Zhao, X.; Xu, N. Event-based adaptive containment control for nonlinear multiagent systems with periodic disturbances. IEEE Trans. Circuits Syst. II Express Briefs 2022, 69, 5049–5053. [Google Scholar] [CrossRef]
- Yan, J.; Peng, S.; Yang, X.; Luo, X.; Guan, X. Containment control of autonomous underwater vehicles with stochastic environment disturbances. IEEE Trans. Syst. Man Cybern. Syst. 2023, 53, 5809–5820. [Google Scholar] [CrossRef]
- Su, H.; Zhang, L. Model-independent containment control for dynamic multiple Euler-Lagrange systems with disturbances and uncertainties. IEEE Trans. Netw. Sci. Eng. 2021, 8, 3443–3452. [Google Scholar] [CrossRef]
- Shao, J.; Che, W.W.; Shao, K. Nonlinear prescribed performance sliding mode control of hypersonic vehicles. Int. J. Robust Nonlinear Control 2024, 34, 9928–9948. [Google Scholar] [CrossRef]
- Meng, D. Bipartite containment tracking of signed networks. Automatica 2017, 79, 282–289. [Google Scholar] [CrossRef]
- Horn, R.A.; Johnson, C.R. Matrix Analysis; Cambridge University Press: Cambridge, UK, 2012. [Google Scholar]
- Zheng, Z.; Feroskhan, M.; Sun, L. Adaptive fixed-time trajectory tracking control of a stratospheric airship. ISA Trans. 2018, 76, 134–144. [Google Scholar] [CrossRef]
- Zhou, Q.; Wang, W.; Liang, H.; Basin, M.V.; Wang, B. Observer-based event-triggered fuzzy adaptive bipartite containment control of multiagent systems with input quantization. IEEE Trans. Fuzzy Syst. 2019, 29, 372–384. [Google Scholar] [CrossRef]
- Yu, X.; Lin, Y. Adaptive backstepping quantized control for a class of nonlinear systems. IEEE Trans. Autom. Control 2016, 62, 981–985. [Google Scholar] [CrossRef]
- Hu, J.; Yu, J.; Cao, J. Distributed containment control for nonlinear multi-agent systems with time-delayed protocol. Asian J. Control 2016, 18, 747–756. [Google Scholar] [CrossRef]
- Zhao, X.; Chen, S.; Zhang, Z.; Zheng, Y. Observer-based adaptive scaled tracking control for nonlinear MASs via command-filtered backstepping. IEEE Trans. Syst. Man Cybern. Syst. 2022, 53, 425–437. [Google Scholar] [CrossRef]







| Control Strategy | Convergence Time and Stability Characteristics |
|---|---|
| Finite-time control strategy [17] | The upper bound of the convergence time depends on the system’s initial conditions. |
| Fixed-time control strategy [18] | The upper bound of the convergence time is independent of the initial conditions and determined solely by the control parameters. |
| Conventional prescribed-time control strategy [19,20,21] | The convergence time can be predefined by the user, but the control design often suffers from singularity issues. |
| Proposed predefined-time control strategy | The convergence time is user-defined and the design is free from singularities, ensuring robust performance. |
| Method | Agent (1–4) | |||
| Our study | −0.002478 | 0.000331 | −0.001143 | 0.002313 |
| Ref. [47] | −0.078926 | −0.164816 | −0.212413 | −0.163083 |
| Method | Agent (5–8) | |||
| Our study | 0.004537 | 0.001531 | 0.004458 | 0.000304 |
| Ref. [47] | 0.549299 | 0.582721 | 0.558298 | 0.442251 |
| Agent | Mean | Variance | ||
|---|---|---|---|---|
| Ours | Ref. [47] | Ours | Ref. [47] | |
| Agent 1 | −0.000973 | −0.005092 | 3.443 × | 1.051 × |
| Agent 2 | −0.000746 | −0.005462 | 2.410 × | 1.021 × |
| Agent 3 | 0.000723 | −0.004643 | 1.126 × | 1.860 × |
| Agent 4 | −0.000737 | −0.006240 | 2.615 × | 1.613 × |
| Agent 5 | 0.000719 | 0.126300 | 1.741 × | 1.752 × |
| Agent 6 | −0.000730 | 0.172900 | 1.135 × | 1.203 × |
| Agent 7 | 0.000715 | 0.172900 | 1.039 × | 1.201 × |
| Agent 8 | −0.000723 | 0.124700 | 1.771 × | 1.842 × |
Disclaimer/Publisher’s Note: The statements, opinions and data contained in all publications are solely those of the individual author(s) and contributor(s) and not of MDPI and/or the editor(s). MDPI and/or the editor(s) disclaim responsibility for any injury to people or property resulting from any ideas, methods, instructions or products referred to in the content. |
© 2025 by the authors. Licensee MDPI, Basel, Switzerland. This article is an open access article distributed under the terms and conditions of the Creative Commons Attribution (CC BY) license (https://creativecommons.org/licenses/by/4.0/).
Share and Cite
Chen, B.; Qin, K.; Li, Z.; Shi, M. Symmetric Bipartite Containment Tracking of High-Order Networked Agents via Predefined-Time Backstepping Control. Symmetry 2025, 17, 1425. https://doi.org/10.3390/sym17091425
Chen B, Qin K, Li Z, Shi M. Symmetric Bipartite Containment Tracking of High-Order Networked Agents via Predefined-Time Backstepping Control. Symmetry. 2025; 17(9):1425. https://doi.org/10.3390/sym17091425
Chicago/Turabian StyleChen, Bowen, Kaiyu Qin, Zhiqiang Li, and Mengji Shi. 2025. "Symmetric Bipartite Containment Tracking of High-Order Networked Agents via Predefined-Time Backstepping Control" Symmetry 17, no. 9: 1425. https://doi.org/10.3390/sym17091425
APA StyleChen, B., Qin, K., Li, Z., & Shi, M. (2025). Symmetric Bipartite Containment Tracking of High-Order Networked Agents via Predefined-Time Backstepping Control. Symmetry, 17(9), 1425. https://doi.org/10.3390/sym17091425

