Imperialist Competitive Algorithm with Three Empires for Energy-Efficient Parallel Batch Processing Machine Scheduling with Preventive Maintenance
Abstract
1. Introduction
2. Problem Description
- Each batch can be processed on only one machine at a time.
- Each machine handles at most one batch at a time.
- The operations cannot be interrupted.
- All the machines are available at time zero.
3. TEICA for Energy-Efficient Parallel BPM Scheduling with PM
3.1. Initialization and Initial Empires
3.2. New Assimilation and Revolution
- (1)
- For each colony x of empire k, randomly choose an imperialist, suppose is chosen, execute two-point crossover on machine assignment strings of , obtain a new solution , if or are non-dominated each other, then and update external archive with x; otherwise, produce by two-point crossover on scheduling string of and update according to the above condition.
- (2)
- For imperialist , execute two-point crossover on machine assignment string and scheduling string on , respectively and update and using the same way of step (1); then perform the same step for .
3.3. Imperialist Competition
- (1)
- Calculate , and decide the winning empire in terms of the above steps, suppose empire 1 wins.
- (2)
- For empire 1, choose R colonies with the smallest rank and the biggest crowding distance, for each chosen colony x, execute two-point crossover on machine assignment string and scheduling string like step 1 of assimilation, then perform multiple neighborhood search on x.
- (3)
- For empire k with , suppose that , choose the best solutions from empire 1 and the best solutions from empire 2, then for each chosen solution, perform multiple neighborhood search on it and the newly produced solution substitutes for the worst R solutions of empire 3.
3.4. Algorithm Description
- (1)
- Produce initial population P by heuristic and random way; let .
- (2)
- Construct three initial empires; let , .
- (3)
- Perform new assimilation in each empire.
- (4)
- Execute revolution and update two imperialists in each empire.
- (5)
- Perform new imperialist competition.
- (6)
- ; if stopping condition is met, then stop the search. Otherwise, go to step (3).
4. Computational Experiments
4.1. Instances, Metrics and Comparative Algorithms
4.2. Parameter Settings
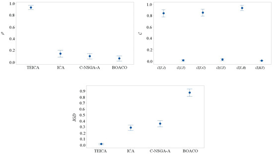
4.3. Results and Discussions
5. Conclusions
Author Contributions
Funding
Data Availability Statement
Conflicts of Interest
References
- Koh, S.G.; Koo, P.H.; Ha, J.W.; Lee, W.S. Scheduling parallel batch processing machines with arbitrary job sizes and incompatible job families. Int. J. Prod. Res. 2004, 42, 4091–4107. [Google Scholar] [CrossRef]
- Su, G.J.; Wang, X.H. Weighted nested partitions based on differential evolution (WNPDE) algorithm-based scheduling of parallel batching processing machines (BPM) with incompatible families and dynamic lot arrival. Int. J. Comput. Integ. Manuf. 2011, 24, 552–560. [Google Scholar] [CrossRef]
- Zhang, H.; Li, K.; Chu, C.B.; Jia, Z.H. Parallel batch processing machines scheduling in cloud manufacturing for minimizing total service completion time. Comput. Oper. Res. 2022, 146, 105899. [Google Scholar] [CrossRef]
- Gahm, C.; Wahl, S.; Tuma, A. Scheduling parallel serial-batch processing machines with incompatible job families, sequence-dependent setup times and arbitrary sizes. Int. J. Prod. Res. 2022, 60, 5131–5154. [Google Scholar] [CrossRef]
- Zhang, X.P.; Shan, M.J.; Zeng, J. Parallel batch processing machine scheduling under two-dimensional bin-packing constraints. IEEE Trans. Reliab. 2023, 72, 1265–1275. [Google Scholar] [CrossRef]
- Ou, J.W.; Lu, L.F.; Zhong, X.L. Parallel-batch scheduling with rejection: Structural properties and approximation algorithms. Eur. J. Oper. Res. 2023, 310, 1017–1032. [Google Scholar] [CrossRef]
- Uzunoglu, A.; Gahm, C.; Wahl, S.; Tuma, A. Learning-augmented heuristics for scheduling parallel serial-batch processing machines. Comput. Oper. Res. 2023, 151, 106122. [Google Scholar] [CrossRef]
- Kucukkoc, I.; Keskin, G.A.; Karaoglan, A.D.; Karadag, S. A hybrid discrete differential evolution-genetic algorithm approach with a new batch formation mechanism for parallel batch scheduling considering batch delivery. Int. J. Prod. Res. 2024, 62, 460–482. [Google Scholar] [CrossRef]
- Jula, P.; Leachman, R.C. Coordinated multistage scheduling of parallel batch-processing machines under multiresource constraints. Oper. Res. 2010, 58, 933–947. [Google Scholar] [CrossRef]
- Li, X.L.; Chen, H.P.; Du, B.; Tan, Q. Heuristics to schedule uniform parallel batch processing machines with dynamic job arrivals. Int. J. Comput. Integ. Manuf. 2013, 26, 474–486. [Google Scholar] [CrossRef]
- Xu, R.; Chen, H.P.; Li, X.P. A bi-objective scheduling problem on batch machines via a Pareto-based ant colony system. Int. J. Prod. Econ. 2013, 145, 371–386. [Google Scholar] [CrossRef]
- Abedi, M.; Seidgar, H.; Fazlollahtabar, H.; Bijani, R. Bi-objective optimisation for scheduling the identical parallel batch-processing machines with arbitrary job sizes, unequal job release times and capacity limits. Int. J. Prod. Res. 2015, 53, 1680–1711. [Google Scholar] [CrossRef]
- Zhou, S.C.; Liu, M.; Chen, H.P.; Li, X.P. An effective discrete differential evolution algorithm for scheduling uniform parallel batch processing machines with non-identical capacities and arbitrary job sizes. Int. J. Prod. Econ. 2016, 179, 1–11. [Google Scholar] [CrossRef]
- Jia, Z.H.; Yan, J.H.; Leung, J.Y.T.; Li, K.; Chen, H.P. Ant colony optimization algorithm for scheduling jobs with fuzzy processing times on parallel batch machines with different capacities. Appl. Soft Comput. 2019, 75, 548–561. [Google Scholar] [CrossRef]
- Jia, Z.H.; Huo, S.Y.; Li, K.; Chen, H.P. Integrated scheduling on parallel batch processing machines with non-identical capacities. Eng. Optim. 2020, 52, 715–730. [Google Scholar] [CrossRef]
- Li, C.H.; Wang, F.; Gupta, J.N.D.; Chung, T. Scheduling identical parallel batch processing machines involving incompatible families with different job sizes and capacity constraints. Comput. Ind. Eng. 2022, 169, 108115. [Google Scholar] [CrossRef]
- Li, K.; Zhang, H.; Chu, C.B.; Jia, Z.H.; Chen, J.F. A bi-objective evolutionary algorithm scheduled on uniform parallel batch processing machines. Exp. Syst. Appl. 2022, 204, 117487. [Google Scholar] [CrossRef]
- Liu, M.; Chu, F.; He, J.K.; Yang, D.P.; Chu, C.B. Coke production scheduling problem: A parallel machine scheduling with batch preprocessings and location-dependent processing times. Comput. Oper. Res. 2019, 104, 37–48. [Google Scholar] [CrossRef]
- Hulett, M.; Damodaran, P.; Amouie, M. Scheduling non-identical parallel batch processing machines to minimize total weighted tardiness using particle swarm optimization. Comput. Ind. Eng. 2017, 113, 425–436. [Google Scholar] [CrossRef]
- Wang, R.; Jia, Z.H.; Li, K. Scheduling parallel-batching processing machines problem with learning and deterioration effect in fuzzy environment. J. Intel. Fuzzy Syst. 2021, 40, 12111–12124. [Google Scholar] [CrossRef]
- Zhang, R.; Chang, P.C.; Song, S.J.; Wu, C. A multi-objective artificial bee colony algorithm for parallel batch-processing machine scheduling in fabric dyeing processes. Knowl.-Based Syst. 2017, 116, 114–129. [Google Scholar] [CrossRef]
- Lei, D.M.; Dai, T. An adaptive shuffled frog-leaping algorithm for parallel batch processing machines scheduling with machine eligibility in fabric dyeing process. Int. J. Prod. Res. 2024, 62, 7704–7721. [Google Scholar] [CrossRef]
- Wang, J.; Li, D.B.; Tang, H.T.; Li, X.X.; Lei, D.M. A dynamical teaching-learning-based optimization algorithm for fuzzy energy-efficient parallel batch processing machines scheduling in fabric dyeing process. Appl. Soft Comput. 2024, 167, 112413. [Google Scholar] [CrossRef]
- Shahidi-Zadeh, B.; Tavakkoli-Moghaddam, R.; Taheri-Moghadam, A.; Rastgar, I. Solving a bi-objective unrelated parallel batch processing machines scheduling problem: A comparison study. Comput. Oper. Res. 2017, 88, 71–90. [Google Scholar] [CrossRef]
- Lu, S.J.; Liu, X.B.; Pei, J.; Thai, M.T.; Pardalos, P.M. A hybrid ABC-TS algorithm for the unrelated parallel-batching machines scheduling problem with deteriorating jobs and maintenance activity. Appl. Soft Comput. 2018, 66, 168–182. [Google Scholar] [CrossRef]
- Zhou, S.C.; Xie, J.H.; Du, N.; Pang, Y. A random-keys genetic algorithm for scheduling unrelated parallel batch processing machines with different capacities and arbitrary job sizes. Appl. Math. Comput. 2018, 334, 254–268. [Google Scholar]
- Sadati, A.; Moghaddam, R.T.; Naderi, B.; Mohammadi, M. A bi-objective model for a scheduling problem of unrelated parallel batch processing machines with fuzzy parameters by two fuzzy multi-objective meta-heuristics. Iran. J. Fuzzy Syst. 2019, 16, 21–40. [Google Scholar]
- Zarook, Y.; Rezaeian, J.; Mahdavi, I.; Yaghini, M. Efficient algorithms to minimize makespan of the unrelated parallel batch-processing machines scheduling problem with unequal job ready times. PAIRO Oper. Res. 2021, 55, 1501–1522. [Google Scholar] [CrossRef]
- Fallahi, A.; Shahidi-Zadeh, B.; Niaki, S.T.A. Unrelated parallel batch processing machine scheduling for production systems under carbon reduction policies: NSGA-II and MOGWO metaheuristics. Soft Comput. 2023, 27, 17063–17091. [Google Scholar] [CrossRef]
- Kong, M.; Wang, W.Z.; Deveci, M.; Zhang, Y.J.; Wu, X.Z.; Coffman, D. A novel carbon reduction engineering method-based deep Q-learning algorithm for energy-efficient scheduling on a single batch-processing machine in semiconductor manufacturing. Int. J. Prod. Res. 2024, 62, 6449–6472. [Google Scholar] [CrossRef]
- Xiao, X.; Ji, B.; Yu, S.S.; Wu, G.H. A tabu-based adaptive large neighborhood search for scheduling unrelated parallel batch processing machines with non-identical job sizes and dynamic job arrivals. Flex. Serv. Manuf. J. 2024, 36, 409–452. [Google Scholar] [CrossRef]
- Hu, K.X.; Che, Y.X.; Ng, T.S.; Deng, J. Unrelated parallel batch processing machine scheduling with time requirements and two-dimensional packing constraints. Comput. Oper. Res. 2024, 162, 106474. [Google Scholar] [CrossRef]
- Jia, Z.H.; Wang, Y.; Wu, C.; Yang, Y.; Zhang, X.Y.; Chen, H.P. Multi-objective energy-aware batch scheduling using ant colony optimization algorithm. Comput. Ind. Eng. 2019, 131, 41–56. [Google Scholar] [CrossRef]
- Wang, Y.; Jia, Z.H.; Li, K. A multi-objective co-evolutionary algorithm of scheduling on parallel non-identical batch machines. Exp. Syst. Appl. 2021, 167, 114145. [Google Scholar] [CrossRef]
- Zhou, S.C.; Li, X.L.; Du, N.; Pang, Y.; Chen, H.P. A multi-objective differential evolution algorithm for parallel batch processing machine scheduling considering electricity consumption cost. Comput. Oper. Res. 2018, 96, 55–68. [Google Scholar] [CrossRef]
- Tian, Z.; Zheng, L. Scheduling unrelated parallel batch processing machines under time-of-use electricity prices. IEEE Trans. Autom. Sci. Eng. 2025, 22, 1631–1646. [Google Scholar] [CrossRef]
- Li, K.; Zhang, H.; Chu, C.B.; Jia, Z.H.; Wang, Y. A bi-objective evolutionary algorithm for minimizing maximum lateness and total pollution cost on non-identical parallel batch processing machines. Comput. Ind. Eng. 2022, 172, 108608. [Google Scholar] [CrossRef]
- Yang, X.H.; Ma, R. A production plan considering parallel machines and deteriorating effects: Minimizing the makespan in the section of steel box girder processing. Neural Process. Lett. 2023, 33, 2340002. [Google Scholar] [CrossRef]
- Jiang, T.; Lu, S.J.; Ren, M.Y.; Cheng, H.; Liu, X.B. Modified benders decomposition and metaheuristics for multi-machine parallel-batch scheduling and resource allocation under deterioration effect. Comput. Ind. Eng. 2023, 176, 108977. [Google Scholar] [CrossRef]
- Schorn, D.S.; Monch, L. Learning priority indices for energy-aware scheduling of jobs on batch processing machines. IEEE Trans. Semicond. Manuf. 2024, 37, 3–15. [Google Scholar] [CrossRef]
- Abedi, M.; Chiong, R.; Noman, N.; Liao, X.Y.; Li, D.B. A metaheuristic framework for energy-intensive industries with batch processing machines. IEEE Trans. Eng. Manag. 2024, 71, 4502–4516. [Google Scholar] [CrossRef]
- Wang, H.X.; Qiao, F.; Jiang, S.X.; Zhu, H.B.; Wang, J.K. Deterioration-Aware Collaborative Energy-Efficient Batch Scheduling and Maintenance for Unrelated Parallel Machines Based on Improved MOEA/D. IEEE Rob. Autom. Lett. 2025, 10, 2056–2063. [Google Scholar] [CrossRef]
- Rudek, R. A fast local search for the identical parallel machine scheduling problem with the position-based deteriorating effect and maintenance. Int. Trans. Oper. Res. 2025, in press. [CrossRef]
- Li, C.H.; Wang, F.; Gupta, J.N.D.; Chung, T.P. Scheduling identical parallel machines involving flexible maintenance activities. Exp. Syst. Appl. 2025, 263, 125722. [Google Scholar] [CrossRef]
- Wang, M.; Zheng, J.; Zhang, P.; Xiang, W.B.; Jin, M.Y.; Li, H.S. Generative deep reinforcement learning method for dynamic parallel machines scheduling with adaptive maintenance activities. J. Manuf. Syst. 2024, 77, 946–961. [Google Scholar] [CrossRef]
- Hosseini, S.; Khaled, A.A. A survey on the imperialist competitive algorithm metaheuristic: Implementation in engineering domain and directions for future research. Appl. Soft Comput. 2014, 24, 1078–1094. [Google Scholar] [CrossRef]
- Elyasi, M.; Selcuk, Y.S.; Özener, Ö.; Coban, E. Imperialist competitive algorithm for unrelated parallel machine scheduling with sequence-and-machine-dependent setups and compatibility and workload constraints. Comput. Ind. Eng. 2024, 190, 110086. [Google Scholar] [CrossRef]
- Li, Y.B.; Yang, Z.P.; Wang, L.; Tang, H.T.; Sun, L.B.; Guo, S.S. A hybrid imperialist competitive algorithm for energy-efficient flexible job shop scheduling problem with variable-size sublots. Comput. Ind. Eng. 2022, 172, 108641. [Google Scholar] [CrossRef]
- Li, M.; Lei, D.M. An imperialist competitive algorithm with feedback for energy-efficient flexible job shop scheduling with transportation and sequence-dependent setup times. Eng. Appl. Arti. Intel. 2021, 103, 104307. [Google Scholar] [CrossRef]
- Tao, X.R.; Li, J.Q.; Huang, T.H.; Duan, P. Discrete imperialist competitive algorithm for the resource-constrained hybrid flowshop problem with energy consumption. Complex Intel. Syst. 2021, 7, 311–326. [Google Scholar] [CrossRef]
- Li, M.; Lei, D.M.; Cai, J.C. Two-level imperialist competitive algorithm for energy-efficient hybrid flow shop scheduling problem with relative importance of objectives. Swarm Evolu. Comput. 2019, 49, 34–43. [Google Scholar] [CrossRef]
- Seidgar, H.; Kiani, M.; Abedi, M.; Fazlollahtabar, H.S. An efficient imperialist competitive algorithm for scheduling in the two-stage assembly flow shop problem. Int. J. Prod. Res. 2014, 52, 1240–1256. [Google Scholar] [CrossRef]
- Deb, K.; Pratap, A.; Agarwal, S.; Meyarivan, T. A fast and elitist multi-objective genetic algorithm: NSGA-II. IEEE. Trans. Evolut. Comput. 2002, 6, 182–197. [Google Scholar] [CrossRef]
- Zitzler, E.; Thiele, L. Multi objective evolutionary algorithms: A comparative case study and the strength Pareto approach. IEEE. Trans. Evolut. Comput. 1999, 3, 257–271. [Google Scholar] [CrossRef]
- Lei, D.M. Pareto archive particle swarm optimization for multi-objective fuzzy job shop scheduling problems. Int. J. Adv. Manuf. Technol. 2008, 37, 157–165. [Google Scholar] [CrossRef]
- Bosman, P.A.N.; Thierens, D. The balance between proximity and diversity in multiobjective evolutionary algorithms. IEEE. Trans. Evolut. Comput. 2003, 7, 174–188. [Google Scholar] [CrossRef]
- Taguchi, G. Introduction to Quality Engineering, Asian Productivity Organization; Asian Productivity Organization: Tokyo, Japan, 1986. [Google Scholar]





| Notation | Description | Notation | Description |
|---|---|---|---|
| n | number of jobs | m | number of machines |
| the processing time of on | index of | ||
| the type of | capacity of | ||
| the -th batch on | the processing time of | ||
| completion time of | maximum completion time of all jobs | ||
| total energy consumption | the number of batches processed on | ||
| N | population scale | total number of colonies | |
| total number of colonies in empire k | total cost of empire k | ||
| normalized total cost of empire k | power of empire k |
| Factor Level | ||||
|---|---|---|---|---|
| Parameters | 1 | 2 | 3 | 4 |
| N | 60 | 80 | 100 | 120 |
| 0.2 | 0.3 | 0.4 | 0.5 | |
| R | 4 | 5 | 6 | 7 |
| A | 2 | 3 | 4 | 5 |
| No. | TEICA | ICA | C-NSGA-A | BOACO | No. | TEICA | ICA | C-NSGA-A | BOACO |
|---|---|---|---|---|---|---|---|---|---|
| 1 | 0.000 | 0.000 | 0.000 | 0.000 | 55 | 0.054 | 0.461 | 0.031 | 0.712 |
| 2 | 0.064 | 0.239 | 0.173 | 0.000 | 56 | 0.000 | 0.505 | 0.245 | 0.984 |
| 3 | 0.000 | 0.010 | 0.241 | 0.137 | 57 | 0.000 | 0.184 | 0.432 | 0.902 |
| 4 | 0.000 | 0.030 | 0.094 | 0.255 | 58 | 0.000 | 0.240 | 0.357 | 1.050 |
| 5 | 0.000 | 0.000 | 0.328 | 0.509 | 59 | 0.000 | 0.272 | 0.394 | 1.003 |
| 6 | 0.000 | 0.205 | 0.590 | 0.597 | 60 | 0.000 | 0.311 | 0.470 | 1.130 |
| 7 | 0.000 | 0.000 | 0.000 | 0.000 | 61 | 0.000 | 0.331 | 0.260 | 0.997 |
| 8 | 0.000 | 0.115 | 0.006 | 0.000 | 62 | 0.000 | 0.380 | 0.239 | 0.801 |
| 9 | 0.000 | 0.029 | 0.211 | 0.173 | 63 | 0.000 | 0.219 | 0.251 | 0.976 |
| 10 | 0.019 | 0.103 | 0.036 | 0.159 | 64 | 0.000 | 0.263 | 0.306 | 0.975 |
| 11 | 0.000 | 0.000 | 0.189 | 0.871 | 65 | 0.000 | 0.267 | 0.507 | 1.179 |
| 12 | 0.000 | 0.000 | 0.679 | 0.568 | 66 | 0.000 | 0.244 | 0.405 | 1.113 |
| 13 | 0.000 | 0.000 | 0.038 | 0.000 | 67 | 0.000 | 0.355 | 0.214 | 1.024 |
| 14 | 0.004 | 0.086 | 0.001 | 0.000 | 68 | 0.000 | 0.203 | 0.171 | 0.898 |
| 15 | 0.078 | 0.191 | 0.131 | 0.213 | 69 | 0.000 | 0.168 | 0.392 | 1.134 |
| 16 | 0.000 | 0.000 | 0.867 | 0.946 | 70 | 0.000 | 0.159 | 0.232 | 0.972 |
| 17 | 0.000 | 0.000 | 0.415 | 0.642 | 71 | 0.000 | 0.251 | 0.345 | 1.230 |
| 18 | 0.000 | 0.016 | 0.247 | 0.365 | 72 | 0.000 | 0.230 | 0.360 | 1.178 |
| 19 | 0.018 | 0.088 | 0.213 | 0.600 | 73 | 0.000 | 0.871 | 0.158 | 0.969 |
| 20 | 0.147 | 0.210 | 0.202 | 0.909 | 74 | 0.082 | 0.619 | 0.280 | 0.797 |
| 21 | 0.000 | 0.120 | 0.172 | 0.882 | 75 | 0.000 | 0.531 | 0.553 | 1.216 |
| 22 | 0.000 | 0.150 | 0.223 | 0.807 | 76 | 0.000 | 0.456 | 0.434 | 0.969 |
| 23 | 0.000 | 0.149 | 0.259 | 0.921 | 77 | 0.000 | 0.456 | 1.001 | 1.225 |
| 24 | 0.000 | 0.157 | 0.155 | 0.295 | 78 | 0.000 | 0.374 | 0.687 | 1.169 |
| 25 | 0.000 | 0.114 | 0.177 | 0.859 | 79 | 0.101 | 0.392 | 0.154 | 0.704 |
| 26 | 0.000 | 0.179 | 0.337 | 1.141 | 80 | 0.000 | 0.481 | 0.088 | 0.949 |
| 27 | 0.000 | 0.156 | 0.208 | 1.075 | 81 | 0.000 | 0.369 | 0.536 | 1.321 |
| 28 | 0.000 | 0.108 | 0.261 | 0.906 | 82 | 0.001 | 0.144 | 0.232 | 0.865 |
| 29 | 0.000 | 0.111 | 0.375 | 0.895 | 83 | 0.000 | 0.223 | 0.649 | 1.177 |
| 30 | 0.000 | 0.067 | 0.183 | 0.810 | 84 | 0.000 | 0.314 | 0.655 | 1.127 |
| 31 | 0.019 | 0.036 | 0.210 | 0.899 | 85 | 0.056 | 0.324 | 0.005 | 1.109 |
| 32 | 0.018 | 0.085 | 0.384 | 0.946 | 86 | 0.000 | 0.385 | 0.081 | 0.978 |
| 33 | 0.000 | 0.059 | 0.288 | 0.876 | 87 | 0.000 | 0.290 | 0.412 | 1.029 |
| 34 | 0.000 | 0.042 | 0.223 | 0.902 | 88 | 0.000 | 0.266 | 0.532 | 1.172 |
| 35 | 0.000 | 0.052 | 0.276 | 0.931 | 89 | 0.000 | 0.332 | 0.854 | 1.322 |
| 36 | 0.032 | 0.071 | 0.196 | 0.963 | 90 | 0.000 | 0.284 | 0.630 | 1.217 |
| 37 | 0.000 | 0.187 | 0.137 | 0.994 | 91 | 0.083 | 0.984 | 0.159 | 0.761 |
| 38 | 0.000 | 0.558 | 0.109 | 1.163 | 92 | 0.366 | 1.049 | 0.000 | 0.875 |
| 39 | 0.000 | 0.283 | 0.402 | 1.019 | 93 | 0.000 | 0.659 | 0.580 | 0.956 |
| 40 | 0.000 | 0.190 | 0.179 | 1.018 | 94 | 0.000 | 0.726 | 0.919 | 1.078 |
| 41 | 0.000 | 0.168 | 0.408 | 0.871 | 95 | 0.000 | 0.692 | 0.982 | 1.113 |
| 42 | 0.000 | 0.196 | 0.443 | 1.016 | 96 | 0.000 | 0.716 | 1.024 | 1.164 |
| 43 | 0.008 | 0.239 | 0.081 | 0.825 | 97 | 0.183 | 0.824 | 0.120 | 0.815 |
| 44 | 0.000 | 0.254 | 0.152 | 0.928 | 98 | 0.000 | 0.868 | 0.318 | 0.922 |
| 45 | 0.000 | 0.133 | 0.411 | 1.048 | 99 | 0.000 | 0.608 | 0.904 | 1.105 |
| 46 | 0.000 | 0.188 | 0.300 | 1.088 | 100 | 0.000 | 0.730 | 0.807 | 1.185 |
| 47 | 0.000 | 0.142 | 0.228 | 0.977 | 101 | 0.000 | 0.583 | 1.111 | 1.098 |
| 48 | 0.000 | 0.137 | 0.277 | 0.913 | 102 | 0.000 | 0.552 | 0.940 | 1.133 |
| 49 | 0.000 | 0.156 | 0.091 | 0.921 | 103 | 0.117 | 0.544 | 0.176 | 0.705 |
| 50 | 0.000 | 0.156 | 0.304 | 0.816 | 104 | 0.000 | 0.699 | 0.194 | 0.783 |
| 51 | 0.000 | 0.142 | 0.320 | 1.077 | 105 | 0.000 | 0.561 | 0.842 | 1.192 |
| 52 | 0.000 | 0.116 | 0.191 | 0.916 | 106 | 0.000 | 0.494 | 0.716 | 1.005 |
| 53 | 0.000 | 0.185 | 0.330 | 1.029 | 107 | 0.000 | 0.541 | 0.945 | 1.168 |
| 54 | 0.000 | 0.186 | 0.266 | 1.091 | 108 | 0.000 | 0.495 | 0.812 | 1.135 |
| No. | TEICA | ICA | C-NSGA-A | BOACO | No. | TEICA | ICA | C-NSGA-A | BOACO |
|---|---|---|---|---|---|---|---|---|---|
| 1 | 1.000 | 1.000 | 1.000 | 1.000 | 55 | 0.500 | 0.000 | 0.500 | 0.000 |
| 2 | 0.857 | 0.571 | 0.143 | 1.000 | 56 | 1.000 | 0.000 | 0.000 | 0.000 |
| 3 | 1.000 | 0.889 | 0.000 | 0.222 | 57 | 1.000 | 0.000 | 0.000 | 0.000 |
| 4 | 1.000 | 0.714 | 0.286 | 0.000 | 58 | 1.000 | 0.000 | 0.000 | 0.000 |
| 5 | 1.000 | 1.000 | 0.000 | 0.000 | 59 | 1.000 | 0.000 | 0.000 | 0.000 |
| 6 | 1.000 | 0.250 | 0.000 | 0.000 | 60 | 1.000 | 0.000 | 0.000 | 0.000 |
| 7 | 1.000 | 1.000 | 1.000 | 1.000 | 61 | 1.000 | 0.000 | 0.000 | 0.000 |
| 8 | 1.000 | 0.750 | 0.750 | 1.000 | 62 | 1.000 | 0.000 | 0.000 | 0.000 |
| 9 | 1.000 | 0.500 | 0.167 | 0.000 | 63 | 1.000 | 0.000 | 0.000 | 0.000 |
| 10 | 0.857 | 0.286 | 0.571 | 0.000 | 64 | 1.000 | 0.000 | 0.000 | 0.000 |
| 11 | 1.000 | 1.000 | 0.000 | 0.000 | 65 | 1.000 | 0.000 | 0.000 | 0.000 |
| 12 | 1.000 | 1.000 | 0.000 | 0.000 | 66 | 1.000 | 0.000 | 0.000 | 0.000 |
| 13 | 1.000 | 1.000 | 0.500 | 1.000 | 67 | 1.000 | 0.000 | 0.000 | 0.000 |
| 14 | 0.875 | 0.750 | 0.875 | 1.000 | 68 | 1.000 | 0.000 | 0.000 | 0.000 |
| 15 | 0.750 | 0.250 | 0.250 | 0.250 | 69 | 1.000 | 0.000 | 0.000 | 0.000 |
| 16 | 1.000 | 1.000 | 0.000 | 0.000 | 70 | 1.000 | 0.000 | 0.000 | 0.000 |
| 17 | 1.000 | 1.000 | 0.000 | 0.000 | 71 | 1.000 | 0.000 | 0.000 | 0.000 |
| 18 | 1.000 | 0.750 | 0.000 | 0.000 | 72 | 1.000 | 0.000 | 0.000 | 0.000 |
| 19 | 0.600 | 0.200 | 0.200 | 0.000 | 73 | 1.000 | 0.000 | 0.000 | 0.000 |
| 20 | 0.667 | 0.333 | 0.000 | 0.000 | 74 | 0.750 | 0.000 | 0.250 | 0.000 |
| 21 | 1.000 | 0.000 | 0.000 | 0.000 | 75 | 1.000 | 0.000 | 0.000 | 0.000 |
| 22 | 1.000 | 0.000 | 0.000 | 0.000 | 76 | 1.000 | 0.000 | 0.000 | 0.000 |
| 23 | 1.000 | 0.000 | 0.000 | 0.000 | 77 | 1.000 | 0.000 | 0.000 | 0.000 |
| 24 | 1.000 | 0.000 | 0.000 | 0.000 | 78 | 1.000 | 0.000 | 0.000 | 0.000 |
| 25 | 1.000 | 0.000 | 0.000 | 0.000 | 79 | 0.364 | 0.000 | 0.636 | 0.000 |
| 26 | 1.000 | 0.000 | 0.000 | 0.000 | 80 | 1.000 | 0.000 | 0.000 | 0.000 |
| 27 | 1.000 | 0.000 | 0.000 | 0.000 | 81 | 1.000 | 0.000 | 0.000 | 0.000 |
| 28 | 1.000 | 0.000 | 0.000 | 0.000 | 82 | 0.900 | 0.100 | 0.000 | 0.000 |
| 29 | 1.000 | 0.000 | 0.000 | 0.000 | 83 | 1.000 | 0.000 | 0.000 | 0.000 |
| 30 | 1.000 | 0.000 | 0.000 | 0.000 | 84 | 1.000 | 0.000 | 0.000 | 0.000 |
| 31 | 0.500 | 0.500 | 0.000 | 0.000 | 85 | 0.167 | 0.000 | 0.833 | 0.000 |
| 32 | 0.800 | 0.200 | 0.000 | 0.000 | 86 | 1.000 | 0.000 | 0.000 | 0.000 |
| 33 | 1.000 | 0.000 | 0.000 | 0.000 | 87 | 1.000 | 0.000 | 0.000 | 0.000 |
| 34 | 1.000 | 0.000 | 0.000 | 0.000 | 88 | 1.000 | 0.000 | 0.000 | 0.000 |
| 35 | 1.000 | 0.000 | 0.000 | 0.000 | 89 | 1.000 | 0.000 | 0.000 | 0.000 |
| 36 | 0.667 | 0.333 | 0.000 | 0.000 | 90 | 1.000 | 0.000 | 0.000 | 0.000 |
| 37 | 1.000 | 0.000 | 0.000 | 0.000 | 91 | 0.600 | 0.000 | 0.400 | 0.000 |
| 38 | 1.000 | 0.000 | 0.000 | 0.000 | 92 | 0.000 | 0.000 | 1.000 | 0.000 |
| 39 | 1.000 | 0.000 | 0.000 | 0.000 | 93 | 1.000 | 0.000 | 0.000 | 0.000 |
| 40 | 1.000 | 0.000 | 0.000 | 0.000 | 94 | 1.000 | 0.000 | 0.000 | 0.000 |
| 41 | 1.000 | 0.000 | 0.000 | 0.000 | 95 | 1.000 | 0.000 | 0.000 | 0.000 |
| 42 | 1.000 | 0.000 | 0.000 | 0.000 | 96 | 1.000 | 0.000 | 0.000 | 0.000 |
| 43 | 0.900 | 0.000 | 0.100 | 0.000 | 97 | 0.400 | 0.000 | 0.600 | 0.000 |
| 44 | 1.000 | 0.000 | 0.000 | 0.000 | 98 | 1.000 | 0.000 | 0.000 | 0.000 |
| 45 | 1.000 | 0.000 | 0.000 | 0.000 | 99 | 1.000 | 0.000 | 0.000 | 0.000 |
| 46 | 1.000 | 0.000 | 0.000 | 0.000 | 100 | 1.000 | 0.000 | 0.000 | 0.000 |
| 47 | 1.000 | 0.000 | 0.000 | 0.000 | 101 | 1.000 | 0.000 | 0.000 | 0.000 |
| 48 | 1.000 | 0.000 | 0.000 | 0.000 | 102 | 1.000 | 0.000 | 0.000 | 0.000 |
| 49 | 1.000 | 0.000 | 0.000 | 0.000 | 103 | 0.556 | 0.000 | 0.444 | 0.000 |
| 50 | 1.000 | 0.000 | 0.000 | 0.000 | 104 | 1.000 | 0.000 | 0.000 | 0.000 |
| 51 | 1.000 | 0.000 | 0.000 | 0.000 | 105 | 1.000 | 0.000 | 0.000 | 0.000 |
| 52 | 1.000 | 0.000 | 0.000 | 0.000 | 106 | 1.000 | 0.000 | 0.000 | 0.000 |
| 53 | 1.000 | 0.000 | 0.000 | 0.000 | 107 | 1.000 | 0.000 | 0.000 | 0.000 |
| 54 | 1.000 | 0.000 | 0.000 | 0.000 | 108 | 1.000 | 0.000 | 0.000 | 0.000 |
| No. | No. | ||||||||||||
|---|---|---|---|---|---|---|---|---|---|---|---|---|---|
| 1 | 0.000 | 0.000 | 0.000 | 0.000 | 0.000 | 0.000 | 55 | 1.000 | 0.000 | 0.400 | 0.400 | 1.000 | 0.000 |
| 2 | 0.000 | 0.000 | 0.800 | 0.000 | 0.000 | 0.000 | 56 | 1.000 | 0.000 | 1.000 | 0.000 | 1.000 | 0.000 |
| 3 | 0.000 | 0.000 | 1.000 | 0.000 | 0.500 | 0.000 | 57 | 1.000 | 0.000 | 1.000 | 0.000 | 1.000 | 0.000 |
| 4 | 0.167 | 0.000 | 0.600 | 0.000 | 1.000 | 0.000 | 58 | 1.000 | 0.000 | 1.000 | 0.000 | 1.000 | 0.000 |
| 5 | 0.000 | 0.000 | 1.000 | 0.000 | 1.000 | 0.000 | 59 | 1.000 | 0.000 | 1.000 | 0.000 | 1.000 | 0.000 |
| 6 | 0.500 | 0.000 | 1.000 | 0.000 | 1.000 | 0.000 | 60 | 1.000 | 0.000 | 1.000 | 0.000 | 1.000 | 0.000 |
| 7 | 0.000 | 0.000 | 0.000 | 0.000 | 0.000 | 0.000 | 61 | 1.000 | 0.000 | 1.000 | 0.000 | 1.000 | 0.000 |
| 8 | 0.250 | 0.000 | 0.250 | 0.000 | 0.000 | 0.000 | 62 | 1.000 | 0.000 | 1.000 | 0.000 | 1.000 | 0.000 |
| 9 | 0.400 | 0.000 | 0.800 | 0.000 | 1.000 | 0.000 | 63 | 1.000 | 0.000 | 1.000 | 0.000 | 1.000 | 0.000 |
| 10 | 0.600 | 0.000 | 0.200 | 0.000 | 0.875 | 0.000 | 64 | 1.000 | 0.000 | 1.000 | 0.000 | 1.000 | 0.000 |
| 11 | 0.000 | 0.000 | 1.000 | 0.000 | 1.000 | 0.000 | 65 | 1.000 | 0.000 | 1.000 | 0.000 | 1.000 | 0.000 |
| 12 | 0.000 | 0.000 | 1.000 | 0.000 | 1.000 | 0.000 | 66 | 1.000 | 0.000 | 1.000 | 0.000 | 1.000 | 0.000 |
| 13 | 0.000 | 0.000 | 0.500 | 0.000 | 0.000 | 0.000 | 67 | 1.000 | 0.000 | 1.000 | 0.000 | 1.000 | 0.000 |
| 14 | 0.000 | 0.000 | 0.222 | 0.125 | 0.000 | 0.125 | 68 | 1.000 | 0.000 | 1.000 | 0.000 | 1.000 | 0.000 |
| 15 | 0.600 | 0.000 | 0.333 | 0.000 | 0.600 | 0.000 | 69 | 1.000 | 0.000 | 1.000 | 0.000 | 1.000 | 0.000 |
| 16 | 0.000 | 0.000 | 1.000 | 0.000 | 1.000 | 0.000 | 70 | 1.000 | 0.000 | 1.000 | 0.000 | 1.000 | 0.000 |
| 17 | 0.000 | 0.000 | 1.000 | 0.000 | 1.000 | 0.000 | 71 | 1.000 | 0.000 | 1.000 | 0.000 | 1.000 | 0.000 |
| 18 | 0.250 | 0.000 | 1.000 | 0.000 | 1.000 | 0.000 | 72 | 1.000 | 0.000 | 1.000 | 0.000 | 1.000 | 0.000 |
| 19 | 0.800 | 0.250 | 0.000 | 0.375 | 1.000 | 0.000 | 73 | 1.000 | 0.000 | 1.000 | 0.000 | 1.000 | 0.000 |
| 20 | 0.833 | 0.000 | 1.000 | 0.000 | 1.000 | 0.000 | 74 | 1.000 | 0.000 | 0.000 | 0.000 | 1.000 | 0.000 |
| 21 | 1.000 | 0.000 | 1.000 | 0.000 | 1.000 | 0.000 | 75 | 1.000 | 0.000 | 1.000 | 0.000 | 1.000 | 0.000 |
| 22 | 1.000 | 0.000 | 1.000 | 0.000 | 1.000 | 0.000 | 76 | 1.000 | 0.000 | 1.000 | 0.000 | 1.000 | 0.000 |
| 23 | 1.000 | 0.000 | 1.000 | 0.000 | 1.000 | 0.000 | 77 | 1.000 | 0.000 | 1.000 | 0.000 | 1.000 | 0.000 |
| 24 | 1.000 | 0.000 | 1.000 | 0.000 | 1.000 | 0.000 | 78 | 1.000 | 0.000 | 1.000 | 0.000 | 1.000 | 0.000 |
| 25 | 1.000 | 0.000 | 1.000 | 0.000 | 1.000 | 0.000 | 79 | 1.000 | 0.000 | 0.125 | 0.200 | 1.000 | 0.000 |
| 26 | 1.000 | 0.000 | 1.000 | 0.000 | 1.000 | 0.000 | 80 | 1.000 | 0.000 | 1.000 | 0.000 | 1.000 | 0.000 |
| 27 | 1.000 | 0.000 | 1.000 | 0.000 | 1.000 | 0.000 | 81 | 1.000 | 0.000 | 1.000 | 0.000 | 1.000 | 0.000 |
| 28 | 1.000 | 0.000 | 1.000 | 0.000 | 1.000 | 0.000 | 82 | 0.750 | 0.000 | 1.000 | 0.000 | 1.000 | 0.000 |
| 29 | 1.000 | 0.000 | 1.000 | 0.000 | 1.000 | 0.000 | 83 | 1.000 | 0.000 | 1.000 | 0.000 | 1.000 | 0.000 |
| 30 | 1.000 | 0.000 | 1.000 | 0.000 | 1.000 | 0.000 | 84 | 1.000 | 0.000 | 1.000 | 0.000 | 1.000 | 0.000 |
| 31 | 0.250 | 0.625 | 1.000 | 0.000 | 1.000 | 0.000 | 85 | 1.000 | 0.000 | 0.000 | 0.000 | 1.000 | 0.000 |
| 32 | 0.667 | 0.000 | 1.000 | 0.000 | 1.000 | 0.000 | 86 | 1.000 | 0.000 | 1.000 | 0.000 | 1.000 | 0.000 |
| 33 | 1.000 | 0.000 | 1.000 | 0.000 | 1.000 | 0.000 | 87 | 1.000 | 0.000 | 1.000 | 0.000 | 1.000 | 0.000 |
| 34 | 1.000 | 0.000 | 1.000 | 0.000 | 1.000 | 0.000 | 88 | 1.000 | 0.000 | 1.000 | 0.000 | 1.000 | 0.000 |
| 35 | 1.000 | 0.000 | 1.000 | 0.000 | 1.000 | 0.000 | 89 | 1.000 | 0.000 | 1.000 | 0.000 | 1.000 | 0.000 |
| 36 | 0.800 | 0.000 | 1.000 | 0.000 | 1.000 | 0.000 | 90 | 1.000 | 0.000 | 1.000 | 0.000 | 1.000 | 0.000 |
| 37 | 1.000 | 0.000 | 1.000 | 0.000 | 1.000 | 0.000 | 91 | 1.000 | 0.000 | 0.000 | 0.000 | 1.000 | 0.000 |
| 38 | 1.000 | 0.000 | 1.000 | 0.000 | 1.000 | 0.000 | 92 | 1.000 | 0.000 | 0.000 | 1.000 | 1.000 | 0.000 |
| 39 | 1.000 | 0.000 | 1.000 | 0.000 | 1.000 | 0.000 | 93 | 1.000 | 0.000 | 1.000 | 0.000 | 1.000 | 0.000 |
| 40 | 1.000 | 0.000 | 1.000 | 0.000 | 1.000 | 0.000 | 94 | 1.000 | 0.000 | 1.000 | 0.000 | 1.000 | 0.000 |
| 41 | 1.000 | 0.000 | 1.000 | 0.000 | 1.000 | 0.000 | 95 | 1.000 | 0.000 | 1.000 | 0.000 | 1.000 | 0.000 |
| 42 | 1.000 | 0.000 | 1.000 | 0.000 | 1.000 | 0.000 | 96 | 1.000 | 0.000 | 1.000 | 0.000 | 1.000 | 0.000 |
| 43 | 1.000 | 0.000 | 0.750 | 0.000 | 1.000 | 0.000 | 97 | 1.000 | 0.000 | 0.000 | 0.000 | 1.000 | 0.000 |
| 44 | 1.000 | 0.000 | 1.000 | 0.000 | 1.000 | 0.000 | 98 | 1.000 | 0.000 | 1.000 | 0.000 | 1.000 | 0.000 |
| 45 | 1.000 | 0.000 | 1.000 | 0.000 | 1.000 | 0.000 | 99 | 1.000 | 0.000 | 1.000 | 0.000 | 1.000 | 0.000 |
| 46 | 1.000 | 0.000 | 1.000 | 0.000 | 1.000 | 0.000 | 100 | 1.000 | 0.000 | 1.000 | 0.000 | 1.000 | 0.000 |
| 47 | 1.000 | 0.000 | 0.750 | 0.000 | 1.000 | 0.000 | 101 | 1.000 | 0.000 | 1.000 | 0.000 | 1.000 | 0.000 |
| 48 | 1.000 | 0.000 | 1.000 | 0.000 | 1.000 | 0.000 | 102 | 1.000 | 0.000 | 1.000 | 0.000 | 1.000 | 0.000 |
| 49 | 1.000 | 0.000 | 1.000 | 0.000 | 1.000 | 0.000 | 103 | 1.000 | 0.000 | 0.000 | 0.286 | 1.000 | 0.000 |
| 50 | 1.000 | 0.000 | 1.000 | 0.000 | 1.000 | 0.000 | 104 | 1.000 | 0.000 | 1.000 | 0.000 | 1.000 | 0.000 |
| 51 | 1.000 | 0.000 | 0.750 | 0.000 | 1.000 | 0.000 | 105 | 1.000 | 0.000 | 1.000 | 0.000 | 1.000 | 0.000 |
| 52 | 1.000 | 0.000 | 1.000 | 0.000 | 1.000 | 0.000 | 106 | 1.000 | 0.000 | 1.000 | 0.000 | 1.000 | 0.000 |
| 53 | 1.000 | 0.000 | 1.000 | 0.000 | 1.000 | 0.000 | 107 | 1.000 | 0.000 | 1.000 | 0.000 | 1.000 | 0.000 |
| 54 | 1.000 | 0.000 | 0.750 | 0.000 | 1.000 | 0.000 | 108 | 1.000 | 0.000 | 1.000 | 0.000 | 1.000 | 0.000 |
| t-Test | p-Value (IGD) | p-Value () | p-Value () |
|---|---|---|---|
| t-test (TEICA, ICA) | 0.000 | 0.000 | 0.000 |
| t-test (TEICA, C-NSGA-A) | 0.000 | 0.000 | 0.000 |
| t-test (TEICA, BOACO) | 0.000 | 0.000 | 0.000 |
Disclaimer/Publisher’s Note: The statements, opinions and data contained in all publications are solely those of the individual author(s) and contributor(s) and not of MDPI and/or the editor(s). MDPI and/or the editor(s) disclaim responsibility for any injury to people or property resulting from any ideas, methods, instructions or products referred to in the content. |
© 2025 by the authors. Licensee MDPI, Basel, Switzerland. This article is an open access article distributed under the terms and conditions of the Creative Commons Attribution (CC BY) license (https://creativecommons.org/licenses/by/4.0/).
Share and Cite
Li, M.; Lei, D. Imperialist Competitive Algorithm with Three Empires for Energy-Efficient Parallel Batch Processing Machine Scheduling with Preventive Maintenance. Symmetry 2025, 17, 1256. https://doi.org/10.3390/sym17081256
Li M, Lei D. Imperialist Competitive Algorithm with Three Empires for Energy-Efficient Parallel Batch Processing Machine Scheduling with Preventive Maintenance. Symmetry. 2025; 17(8):1256. https://doi.org/10.3390/sym17081256
Chicago/Turabian StyleLi, Mingbo, and Deming Lei. 2025. "Imperialist Competitive Algorithm with Three Empires for Energy-Efficient Parallel Batch Processing Machine Scheduling with Preventive Maintenance" Symmetry 17, no. 8: 1256. https://doi.org/10.3390/sym17081256
APA StyleLi, M., & Lei, D. (2025). Imperialist Competitive Algorithm with Three Empires for Energy-Efficient Parallel Batch Processing Machine Scheduling with Preventive Maintenance. Symmetry, 17(8), 1256. https://doi.org/10.3390/sym17081256
