Quantum W-Type Entanglement in Photonic Systems with Environmental Decoherence
Abstract
1. Introduction
2. Non-Markovian Framework for Photonic Systems
2.1. Model for a Single Photon
2.2. Dynamics of a Tripartite System
2.3. Basis Representation and Matrix Elements
2.4. Reduced Density Matrix for the Tripartite System
3. Entanglement Measures for Three Photons
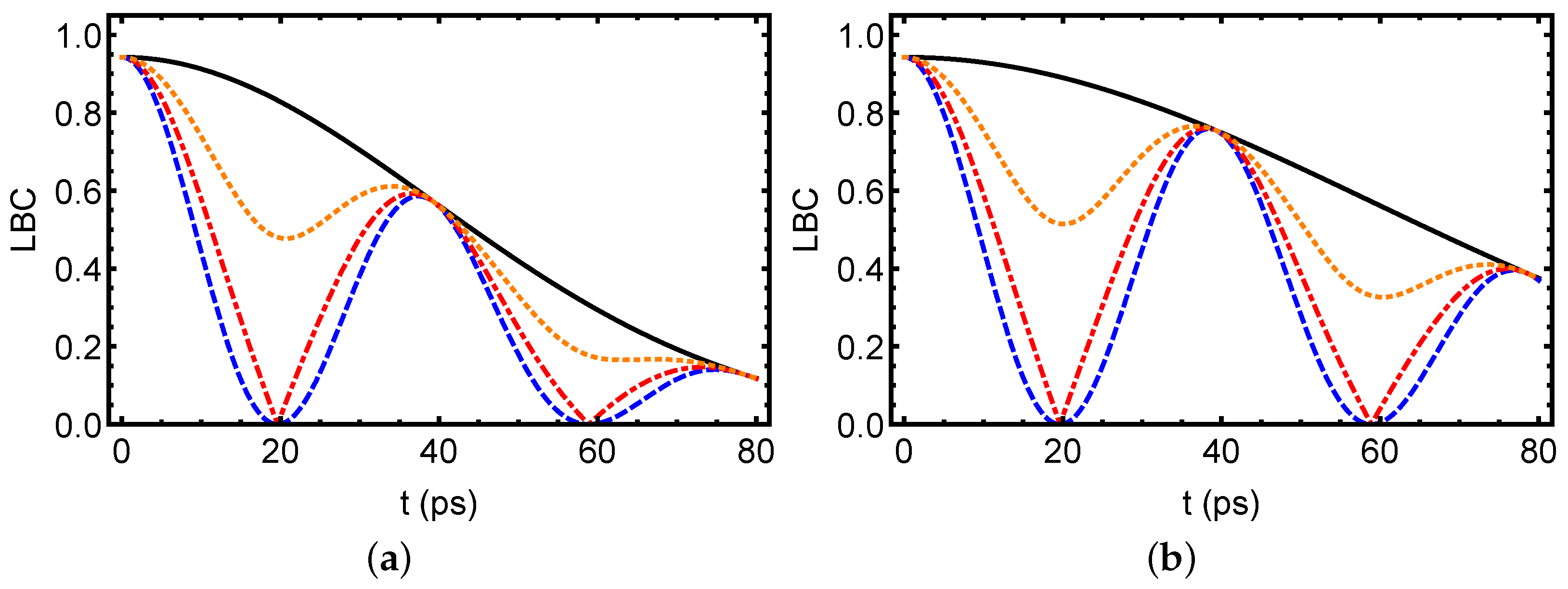
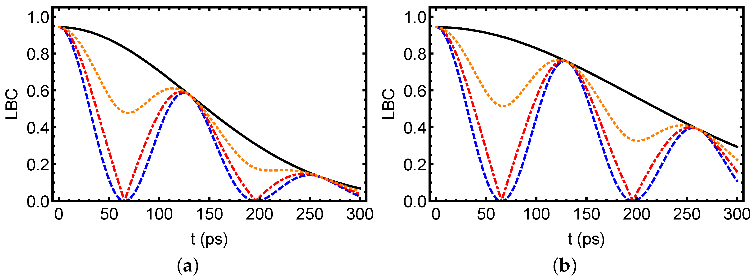
4. Results and Discussion
5. Conclusions
Author Contributions
Funding
Data Availability Statement
Conflicts of Interest
References
- Nielsen, M.A.; Chuang, I.L. Quantum Computation and Quantum Information; Cambridge University Press: Cambridge, UK, 2010. [Google Scholar] [CrossRef]
- Dür, W.; Vidal, G.; Cirac, J.I. Three qubits can be entangled in two inequivalent ways. Phys. Rev. A 2000, 62, 062314. [Google Scholar] [CrossRef]
- Aolita, L.; de Melo, F.; Davidovich, L. Open-system dynamics of entanglement: A key issues review. Rep. Prog. Phys. 2015, 78, 042001. [Google Scholar] [CrossRef] [PubMed]
- Kimble, H.J. The quantum internet. Nature 2008, 453, 1023–1030. [Google Scholar] [CrossRef] [PubMed]
- Wehner, S.; Elkouss, D.; Hanson, R. Quantum internet: A vision for the road ahead. Science 2018, 362, eaam9288. [Google Scholar] [CrossRef]
- Lo, H.K.; Curty, M.; Tamaki, K. Secure quantum key distribution. Nat. Photonics 2014, 8, 595–604. [Google Scholar] [CrossRef]
- Fitzsimons, J.F. Quantum information density scaling and qubit operation time constraints of CMOS silicon-based quantum computer architectures. Npj Quantum Inf. 2017, 3, 23. [Google Scholar] [CrossRef]
- Epping, M.; Kampermann, H.; macchiavello, C.; Bruß, D. Multi-partite entanglement can speed up quantum key distribution in networks. New J. Phys. 2017, 19, 093012. [Google Scholar] [CrossRef]
- Pirandola, S.; Andersen, U.L.; Banchi, L.; Berta, M.; Bunandar, D.; Colbeck, R.; Englund, D.; Gehring, T.; Lupo, C.; Ottaviani, C.; et al. Advances in quantum cryptography. Adv. Opt. Photonics 2020, 12, 1012–1236. [Google Scholar] [CrossRef]
- Zhang, Z.; Zhuang, Q. Distributed quantum sensing. Quantum Sci. Technol. 2021, 6, 043001. [Google Scholar] [CrossRef]
- Ottaviani, C.; Lupo, C.; Laurenza, R.; Pirandola, S. Modular network for high-rate quantum conferencing. Commun. Phys. 2017, 2, 712–722. [Google Scholar] [CrossRef]
- Li, C.L.; Yin, H.L.; Chen, Z.B. Asynchronous quantum repeater using multiple quantum memory. Rep. Prog. Phys. 2024, 87, 127901. [Google Scholar] [CrossRef]
- Azuma, K.; Economou, S.E.; Elkouss, D.; Hilaire, P.; Jiang, L.; Lo, H.K.; Tzitrin, I. Quantum repeaters: From quantum networks to the quantum internet. Rev. Mod. Phys. 2023, 95, 045006. [Google Scholar] [CrossRef]
- Fu, Y.; Yin, H.L.; Chen, T.Y.; Chen, Z.B. Long-distance measurement-device-independent multiparty quantum communication. Phys. Rev. Lett. 2015, 114, 090501. [Google Scholar] [CrossRef] [PubMed]
- Xie, Y.M.; Lu, Y.S.; Fu, Y.; Yin, H.L.; Chen, Z.B. Multi-field quantum conferencing overcomes the network capacity limit. Commun. Phys. 2024, 7, 410. [Google Scholar] [CrossRef]
- Azuma, K.; Tamaki, K.; Lo, H.K. All-photonic quantum repeaters. Nat. Commun. 2015, 6, 6787. [Google Scholar] [CrossRef]
- Luong, D.; Jiang, L.; Kim, H.; Lütkenhaus, N. Role of syndrome information on a one-way quantum repeater using teleportation-based error correction. Phys. Rev. A 2016, 94, 052304. [Google Scholar] [CrossRef]
- Ribeiro, J.; Murta, G.; Wehner, S. Reply to “Comment on ‘Fully device-independent conference key agreement”. Phys. Rev. A 2019, 100, 026302. [Google Scholar] [CrossRef]
- Patil, A.; Pant, M.; Englund, D.; Towsley, D.; Guha, S. Entanglement generation in a quantum network at distance-independent rate. Npj Quantum Inf. 2022, 8, 041051. [Google Scholar] [CrossRef]
- Goodenough, K.; Elkouss, D.; Wehner, S. Optimizing repeater schemes for the quantum internet. Phys. Rev. A 2021, 103, 032610. [Google Scholar] [CrossRef]
- Takeoka, M.; Guha, S.; Wilde, M.M. Fundamental rate-loss tradeoff for optical quantum key distribution. Nat. Commun. 2014, 5, 5235. [Google Scholar] [CrossRef]
- Tahira, R.; Ikram, M.; Bougouffa, S.; Zubairy, M.S. Entanglement dynamics of high-dimensional bipartite field states inside the cavities in dissipative environments. J. Phys. At. Mol. Opt. Phys. 2010, 43, 035502. [Google Scholar] [CrossRef]
- Bougouffa, S.; Ficek, Z. Effect of retardation in the atom–field interaction on entanglement in a double Jaynes–Cummings system. J. Phys. At. Mol. Opt. Phys. 2013, 46, 224006. [Google Scholar] [CrossRef]
- Jin, R.B.; Shimizu, R.; Morohashi, I.; Wakui, K.; Takeoka, M.; Izumi, S.; Sakamoto, T.; Fujiwara, M.; Yamashita, T.; Miki, S.; et al. Efficient Generation of Twin Photons at Telecom Wavelengths with 10 GHz Repetition-Rate-Tunable Comb Laser. Osa Tech. Dig. 2015. [Google Scholar] [CrossRef]
- Mintert, F.; Carvalho, A.R.R.; Kuś, M.; Buchleitner, A. Measures and dynamics of entangled states. Phys. Rep. 2005, 415, 207–259, Erratum in Phys. Rep. 2005, 419, 143. [Google Scholar] [CrossRef]
- Jaeger, G.; Sergienko, A.V.; Saleh, B.E.A.; Teich, M.C. Entanglement, mixedness, and spin-flip symmetry in multiple-qubit systems. Phys. Rev. A 2003, 68, 022318. [Google Scholar] [CrossRef]
- Breuer, H.P.; Petruccione, F. Open Quantum Electrodynamics; Oxford University Press: Oxford, UK, 2007; pp. 568–618. [Google Scholar] [CrossRef]
- Xu, J.S.; Li, C.F.; Gong, M.; Zou, X.B.; Shi, C.H.; Chen, G.; Guo, G.C. Experimental Demonstration of Photonic Entanglement Collapse and Revival. Phys. Rev. Lett. 2010, 104, 100502. [Google Scholar] [CrossRef]
- Liu, B.H.; Li, L.; Huang, Y.F.; Li, C.F.; Guo, G.C.; Laine, E.M.; Breuer, H.P.; Piilo, J. Experimental control of the transition from Markovian to non-Markovian dynamics of open quantum systems. Nat. Phys. 2011, 7, 931–934. [Google Scholar] [CrossRef]
- Li, C.F.; Guo, G.C.; Piilo, J. Non-Markovian quantum dynamics: What does it mean? EPL Europhys. Lett. 2012, 127, 50001. [Google Scholar] [CrossRef]
- Gu, W.; Li, T.; Tian, Y.; Yi, Z.; Li, G.x. Two-photon dynamics in non-Markovian waveguide QED with a giant atom. Phys. Rev. A 2024, 110, 033707. [Google Scholar] [CrossRef]
- Deffner, S.; Lutz, E. Quantum Speed Limit for Non-Markovian Dynamics. Phys. Rev. Lett. 2013, 111, 010402. [Google Scholar] [CrossRef]
- Born, M.; Wolf, E. Principles of Optics; Cambridge University Press: Cambridge, UK, 2019. [Google Scholar] [CrossRef]
- Laine, E.M.; Breuer, H.P.; Piilo, J.; Li, C.F.; Guo, G.C. Nonlocal Memory Effects in the Dynamics of Open Quantum Systems. Phys. Rev. Lett. 2013, 108, 210402, Erratum in Phys. Rev. Lett. 2013, 111, 229901. [Google Scholar] [CrossRef] [PubMed]
- Xu, J.S.; Sun, K.; Li, C.F.; Xu, X.Y.; Guo, G.C.; Andersson, E.; Franco, R.L.; Compagno, G. Experimental recovery of quantum correlations in absence of system-environment back-action. Nat. Commun. 2013, 4, 2851. [Google Scholar] [CrossRef] [PubMed]
- Kraus, K. States, Effects, and Operations: Fundamental Notions of Quantum Theory; Springer: Berlin/Heidelberg, Germany; New York, NY, USA; Tokyo, Japan, 1983. [Google Scholar]
- Acin, A.; Andrianov, A.; Jané, E.; Tarrach, R. Quantum-information processing with ferroelectrically coupled quantum dots. Phys. Rev. A 2001, 64, 052306. [Google Scholar] [CrossRef]
- Gao, X.H.; Fei, S.M.; Wu, K. Lower bounds of concurrence for tripartite quantum systems. Phys. Rev. A 2006, 74, 050303. [Google Scholar] [CrossRef][Green Version]
- Gühne, O.; Tóth, G. Entanglement detection. Phys. Rep. 2009, 474, 1–75. [Google Scholar] [CrossRef]
- Li, M.; Fei, S.M.; Wang, Z.X. A lower bound of concurrence for multipartite quantum states. J. Phys. Math. Theor. 2009, 42, 145303. [Google Scholar] [CrossRef]
- An, N.B.; Kim, J.; Kim, K. Nonperturbative analysis of entanglement dynamics and control for three qubits in a common lossy cavity. Phys. Rev. A 2010, 82, 032316. [Google Scholar] [CrossRef]
- An, N.B.; Kim, J.; Kim, K. Entanglement dynamics of three interacting two-level atoms within a common structured environment. Phys. Rev. A 2011, 84, 022329. [Google Scholar] [CrossRef]
- Vidal, G.; Dür, W.; Cirac, J.I. Reversible Combination of Inequivalent Kinds of Multipartite Entanglement. Phys. Rev. Lett. 2000, 85, 062314. [Google Scholar] [CrossRef]
- Acin, A.; Andrianov, A.; Jané, E.; Tarrach, R. Three-qubit pure-state canonical forms. J. Phys. Math. Gen. 2001, 64, 6725–6739. [Google Scholar] [CrossRef]
- Wunderlich, C.; Hannemann, T.; Körber, T.; Häffner, H.; Roos, C.; Hänsel, W.; Blatt, R.; Schmidt-Kaler, F. Robust state preparation of a single trapped ion by adiabatic passage. J. Mod. Opt. 2007, 54, 1541–1549. [Google Scholar] [CrossRef]
- Pati, A.K.; Agrawal, P. Special issue on quantum information theory. Quantum Inf. Process. 2012, 11, 637–638. [Google Scholar] [CrossRef]
- Sangouard, N.; Simon, C.; de Riedmatten, H.; Gisin, N. Quantum repeaters based on atomic ensembles and linear optics. Rev. Mod. Phys. 2011, 83, 33–80. [Google Scholar] [CrossRef]
- Eibl, M.; Kiesel, N.; Bourennane, M.; Kurtsiefer, C.; Weinfurter, H. Experimental Realization of a Three-Qubit Entangled W State. Phys. Rev. Lett. 2004, 92, 077901. [Google Scholar] [CrossRef]
- Grassl, M.; Rötteler, M. Nonadditive quantum codes. In Quantum Error Correction; Cambridge University Press: Cambridge, UK, 2013. [Google Scholar] [CrossRef]
- Bennett, C.H.; Brassard, G.; Crépeau, C.; Jozsa, R.; Peres, A.; Wootters, W.K. Teleporting an unknown quantum state via dual classical and Einstein-Podolsky-Rosen channels. Phys. Rev. Lett. 1993, 70, 1895–1899. [Google Scholar] [CrossRef] [PubMed]
- Ekert, A.K. Quantum cryptography based on Bell’s theorem. Phys. Rev. Lett. 1991, 67, 661–663. [Google Scholar] [CrossRef] [PubMed]
- Liu, J.; Zhu, K.D. Detecting large extra dimensions with optomechanical levitated sensors. Eur. Phys. J. 2019, 79, 1. [Google Scholar] [CrossRef]



Disclaimer/Publisher’s Note: The statements, opinions and data contained in all publications are solely those of the individual author(s) and contributor(s) and not of MDPI and/or the editor(s). MDPI and/or the editor(s) disclaim responsibility for any injury to people or property resulting from any ideas, methods, instructions or products referred to in the content. |
© 2025 by the authors. Licensee MDPI, Basel, Switzerland. This article is an open access article distributed under the terms and conditions of the Creative Commons Attribution (CC BY) license (https://creativecommons.org/licenses/by/4.0/).
Share and Cite
Berrada, K.; Bougouffa, S. Quantum W-Type Entanglement in Photonic Systems with Environmental Decoherence. Symmetry 2025, 17, 1147. https://doi.org/10.3390/sym17071147
Berrada K, Bougouffa S. Quantum W-Type Entanglement in Photonic Systems with Environmental Decoherence. Symmetry. 2025; 17(7):1147. https://doi.org/10.3390/sym17071147
Chicago/Turabian StyleBerrada, Kamal, and Smail Bougouffa. 2025. "Quantum W-Type Entanglement in Photonic Systems with Environmental Decoherence" Symmetry 17, no. 7: 1147. https://doi.org/10.3390/sym17071147
APA StyleBerrada, K., & Bougouffa, S. (2025). Quantum W-Type Entanglement in Photonic Systems with Environmental Decoherence. Symmetry, 17(7), 1147. https://doi.org/10.3390/sym17071147

