Next Article in Journal
Chaos, Local Dynamics, Codimension-One and Codimension-Two Bifurcation Analysis of a Discrete Predator–Prey Model with Holling Type I Functional Response
Previous Article in Journal
YOLO-StarLS: A Ship Detection Algorithm Based on Wavelet Transform and Multi-Scale Feature Extraction for Complex Environments
 
 
Font Type:
Arial Georgia Verdana
Font Size:
Aa Aa Aa
Line Spacing:
Column Width:
Background:
Article

Advanced Lifetime Modeling Through APSR-X Family with Symmetry Considerations: Applications to Economic, Engineering and Medical Data

1
Department of Management Information Systems, College of Business and Economics, Qassim University, Buraydah 51452, Saudi Arabia
2
Department of Mathematical Sciences, Islamic University of Science and Technology, Awantipora 192122, India
3
Department of Basic Sciences, College of Science and Theoretical Studies, Saudi Electronic University, Riyadh 11673, Saudi Arabia
4
Department of Statistics, University of Kashmir, Srinagar 190006, India
5
Department of Mathematics, College of Sciences and Humanities, Prince Sattam Bin Abdulaziz University, Al-Kharj 16273, Saudi Arabia
6
Department of Mathematics, Faculty of Science, Mansoura University, Mansoura 35516, Egypt
*
Authors to whom correspondence should be addressed.
Symmetry 2025, 17(7), 1118; https://doi.org/10.3390/sym17071118
Submission received: 23 May 2025 / Revised: 29 June 2025 / Accepted: 4 July 2025 / Published: 11 July 2025
(This article belongs to the Section Computer)

Abstract

This paper introduces a novel and flexible class of continuous probability distributions, termed the Alpha Power Survival Ratio-X (APSR-X) family. Unlike many existing transformation-based families, the APSR-X class integrates an alpha power transformation with a survival ratio structure, offering a new mechanism for enhancing shape flexibility while maintaining mathematical tractability. This construction enables fine control over both the tail behavior and the symmetry properties, distinguishing it from traditional alpha power or survival-based extensions. We focus on a key member of this family, the two-parameter Alpha Power Survival Ratio Exponential (APSR-Exp) distribution, deriving essential mathematical properties including moments, quantile functions and hazard rate structures. We estimate the model parameters using eight frequentist methods: the maximum likelihood (MLE), maximum product of spacings (MPSE), least squares (LSE), weighted least squares (WLSE), Anderson–Darling (ADE), right-tailed Anderson–Darling (RADE), Cramér–von Mises (CVME) and percentile (PCE) estimation. Through comprehensive Monte Carlo simulations, we evaluate the estimator performance using bias, mean squared error and mean relative error metrics. The proposed APSR-X framework uniquely enables preservation or controlled modification of the symmetry in probability density and hazard rate functions via its shape parameter. This capability is particularly valuable in reliability and survival analyses, where symmetric patterns represent balanced risk profiles while asymmetric shapes capture skewed failure behaviors. We demonstrate the practical utility of the APSR-Exp model through three real-world applications: economic (tax revenue durations), engineering (mechanical repair times) and medical (infection durations) datasets. In all cases, the proposed model achieves a superior fit over that of the conventional alternatives, supported by goodness-of-fit statistics and visual diagnostics. These findings establish the APSR-X family as a unique, symmetry-aware modeling framework for complex lifetime data.

1. Introduction

Symmetry plays a fundamental role in statistical modeling, particularly in reliability and lifetime studies. Symmetric failure rate patterns typically indicate balanced risk dynamics, while asymmetric distributions capture skewed failure behaviors. The proposed Alpha Power Survival Ratio-X (APSR-X) family provides a framework that models both symmetric and asymmetric characteristics through an adjustable shape parameter. At specific parameter values, this yields symmetric probability density and hazard rate functions; for other values, it introduces controlled asymmetry while preserving interpretability. This dual capability makes the APSR-X family particularly valuable for symmetry-focused statistical analyses.
It is statistically axiomatic that no single probability model universally optimizes the fit across diverse real-world datasets. Consequently, researchers continually develop novel or extended probabilistic frameworks to characterize application-specific data structures better. These enhanced models typically outperform the conventional alternatives through their superior adaptability to the complex data patterns encountered in engineering, medical and financial domains.
Mudholkar and Srivastava [1] introduced a fundamental distributional enhancement through their exponentiated family. This methodology incorporates an additional shape parameter into the baseline distributions, producing the CDF:
F ( x ; α , ζ ) = G ( x ; ζ ) α , α , ζ > 0 , x R .
Here, α serves as the added shape parameter and G ( x ; ζ ) denotes the CDF of the baseline distribution. This formulation facilitates adjustments in the skewness and tail behavior, thereby increasing the flexibility of the model.
Marshall and Olkin [2] proposed another transformative approach via the introduction of the Marshall–Olkin family, which modifies the baseline survival function. The corresponding CDF is expressed as
F ( x ; α , ζ ) = G ( x ; ζ ) 1 ( 1 α ) 1 G ( x ; ζ ) , α , ζ > 0 , x R .
This adjustment allows for discontinuous shifts in the hazard rate, making it suitable for scenarios involving abrupt reliability changes.
Odhah et al. [3] introduced a trigonometric-based family of distributions, defined via the CDF
F ( x ; ζ ) = e 1 cos π G ( x ; ζ ) 1 + G ( x ; ζ ) 1 e 1 , ζ > 0 , x R .
By incorporating cosine and exponential transformations, this model provides a highly non-linear structure capable of accommodating bounded, oscillatory, and periodic data behavior.
A further contribution comes from Shah et al. [4], who developed the New Generalized Exponent Power-X (NGEP-X) family using the T-X methodology of Alzaatreh et al. [5]. Their formulation introduces the CDF
F ( x ; α , ζ ) = 1 e α G ( x ; ζ ) e α G ( x ; ζ ) , α > 0 , x R .
This non-linear transformation enables an improved fit to data with extreme values and significant asymmetry.
Mahdavi and Kundu [6] proposed the alpha power transformation (APT), which adds the parameter α to a baseline distribution. The resulting CDF is given by
F ( x ; α , ζ ) = α G ( x ; ζ ) 1 α 1 , if α > 0 , α 1 , G ( x ; ζ ) , if α = 1 .
This transformation adjusts the shape and concentration of the distribution, making it suitable for data with moderate skewness.
Continuing in this direction, Mir et al. [7] introduced a flexible family of distributions named after the initials of the authors, referred to as the ASP transformation. This transformation was designed to model skewed and heavy-tailed data better, offering robust alternatives to the classical models, especially in engineering and medical sciences. The corresponding CDF is given by
F ASP ( x ; α , ζ ) = 2 sin π 2 C ( x ; ζ ) α C ( x ; ζ ) α , α , ζ > 0 , x R .
This transformation introduces bounded, smooth nonlinear modifications to the baseline distribution, enabling precise control over the asymmetry and tail behavior, which are essential capabilities for reliability and survival analysis applications.
Building on these foundations, we develop a novel distribution construction method that specifically addresses over-parameterization challenges. Our alpha-based strategy balances the flexibility with mathematical tractability while avoiding the interpretability compromises inherent in complex parameterizations.
The proposed strategy leads to the formulation of a new class of distributions referred to as the APSR-X family. This framework extends the baseline distributions while preserving essential statistical properties. Key characteristics of the APSR-X family, including its probability density function, cumulative distribution function and hazard rate function, are systematically derived and explored.
A distinguishing feature of the APSR-X family is its capacity to model both symmetric and asymmetric data by modulating the shape parameter. This property enables seamless adaptation to a wide range of data scenarios while remaining consistent with the underlying principles of symmetry in statistical modeling.
A special case for this family, termed the APSR-Exponential (APSR-Exp) model is examined in detail. This model demonstrates significant improvements in capturing complex data behaviors. Its empirical relevance is validated through comparisons with existing models using real-world datasets.
The remainder of this paper is organized as follows. Section 2 introduces the APSR-X family and its mathematical properties. Section 3 presents the APSR-Exp model with a graphical analysis. Section 4 describes various estimation techniques and their comparative performance based on simulation. Section 5 discusses relevant actuarial measures. Section 6 provides empirical applications using real datasets. Section 7 concludes this study and outlines directions for future work.

2. The Mathematical Properties of the APSR-X Distribution

In this section, we develop a novel class of probability distributions, termed the APSR-X family. The proposed model introduces an additional shape parameter to improve the flexibility and generality over existing baseline distributions. We also derive several mathematical properties of the APSR-X distribution, including its probability density function (PDF), CDF, quantile function, moments and hazard rate function.

2.1. The APSR-X Family

Definition 1. 
Let G ( x ; ζ ) denote the CDF of a baseline or reference model with the corresponding survival function G ¯ ( x ; ζ ) , where x R and ζ is the vector of parameters of the baseline distribution. Then, the CDF of the APSR-X family is defined as
F ( x ; α , ζ ) = α 1 G ( x ; ζ ) G ( x ; ζ ) .
where α > 1 is an additional shape parameter that governs the tail behavior and skewness of the distribution.
To establish the validity of Equation (1), the following two claims are formally established.
Claim 1. 
The expression for the CDF  F ( x ; α , ζ ) , as given in Equation (1), satisfies the fundamental properties of a valid CDF. Specifically, it holds that
lim x F ( x ; α , ζ ) = 0 and lim x F ( x ; α , ζ ) = 1 .
Proof. 
Assume that G ( x ; ζ ) is a proper CDF. This means it satisfies the following properties:
  • lim x G ( x ; ζ ) = 0 ;
  • lim x G ( x ; ζ ) = 1 ;
  • G ( x ; ζ ) is non-decreasing and right-continuous for all x R .
To evaluate the left limit, consider
lim x F ( x ; α , ζ ) = lim x α 1 G ( x ; ζ ) G ( x ; ζ ) .
Since lim x G ( x ; ζ ) = 0 , it follows that the fraction 1 G ( x ; ζ ) G ( x ; ζ ) . Thus,
lim x F ( x ; α , ζ ) = α = 0 .
To evaluate the right limit, we consider
lim x F ( x ; α , ζ ) = lim x α 1 G ( x ; ζ ) G ( x ; ζ ) .
As x , we have G ( x ; ζ ) 1 , which implies 1 G ( x ; ζ ) G ( x ; ζ ) 0 . Therefore,
lim x F ( x ; α , ζ ) = α 0 = 1 .
These limiting results demonstrate that F ( x ; α , ζ ) meets the boundary conditions for a cumulative distribution function. This confirms that the proposed expression is a valid CDF, provided that G ( x ; ζ ) is a proper CDF.   □
Claim 2. 
The CDF  F ( x ; α , ζ )  defined in Equation (1) is right-continuous and differentiable for all  x R .
Proof. 
Let G ( x ; ζ ) be a proper CDF with the corresponding PDF g ( x ; ζ ) = d d x G ( x ; ζ ) , assumed to be continuous and positive wherever G ( x ; ζ ) ( 0 , 1 ) . Then, the function
F ( x ; α , ζ ) = α 1 G ( x ; ζ ) G ( x ; ζ )
is a composition of continuous functions and hence is itself continuous. Since all CDFs are inherently right-continuous by definition, F ( x ; α , ζ ) is right-continuous. To verify the differentiability, we apply the chain rule
d d x F ( x ; α , ζ ) = d d x α 1 G ( x ; ζ ) G ( x ; ζ ) .
Let us define u ( x ) = 1 G ( x ; ζ ) G ( x ; ζ ) . Then,
d d x F ( x ; α , ζ ) = α u ( x ) ln ( α ) · d u ( x ) d x .
Now, computing d u ( x ) d x , we acquire
d d x 1 G ( x ; ζ ) G ( x ; ζ ) = G ( x ; ζ ) · ( g ( x ; ζ ) ) ( 1 G ( x ; ζ ) ) · g ( x ; ζ ) [ G ( x ; ζ ) ] 2 = g ( x ; ζ ) [ G ( x ; ζ ) ] 2 .
Upon substitution, the PDF of the APSR-X family takes the form
f ( x ; α , ζ ) = d d x F ( x ; α , ζ ) = α 1 G ( x ; ζ ) G ( x ; ζ ) · ln ( α ) · g ( x ; ζ ) [ G ( x ; ζ ) ] 2 .
This simplifies into
f ( x ; α , ζ ) = α 1 G ( x ; ζ ) G ( x ; ζ ) · ln ( α ) · g ( x ; ζ ) [ G ( x ; ζ ) ] 2 , α > 1 , ζ R + , x R .
Therefore, F ( x ; α , ζ ) is differentiable wherever G ( x ; ζ ) ( 0 , 1 ) , and its derivative yields a valid, non-negative PDF.   □
Thus, based on Claims 1 and 2, we have determined that the CDF given in Equation (1) is valid.

2.2. Aging Properties

The term “aging properties” in statistical modeling and survival analyses refers to the characteristics of a survival distribution that describe how the failure rate or reliability of a system changes over time. These properties are crucial in understanding the lifetime behavior and dependability of systems or individuals.
Let F ( x ; α , ζ ) and f ( x ; α , ζ ) denote the CDF and PDF of the proposed APSR-X family, respectively. Based on these, we define the following standard functions used in reliability analysis:
  • The survival function  S ( x ; α , ζ ) is defined as the probability that the lifetime exceeds time x, i.e., S ( x ; α , ζ ) = 1 F ( x ; α , ζ ) ;
  • The hazard rate function  h ( x ; α , ζ ) represents the instantaneous rate of failure at time x, given survival until that time, and is defined as h ( x ; α , ζ ) = f ( x ; α , ζ ) S ( x ; α , ζ ) ;
  • The cumulative hazard function  H ( x ; α , ζ ) is given by H ( x ; α , ζ ) = log ( S ( x ; α , ζ ) ) .
For the proposed APSR-X family, the expressions for these functions are
S ( x ; α , ζ ) = 1 F ( x ; α , ζ ) = 1 α 1 G ( x ; ζ ) G ( x ; ζ ) .
h ( x ; α , ζ ) = α 1 G ( x ; ζ ) G ( x ; ζ ) ln ( α ) g ( x ; ζ ) [ G ( x ; ζ ) ] 2 1 α 1 G ( x ; ζ ) G ( x ; ζ ) .
H ( x ; α , ζ ) = log 1 α 1 G ( x ; ζ ) G ( x ; ζ ) .

2.3. Series Expansion Representation of the APSR-X Model

In this subsection, we derive series representations for the CDF and PDF of the APSR-X family. These representations express the model in terms of infinite series involving exponentiated forms of the baseline distribution G ( x ; ζ ) .
Step 1: 
Series Expansion of the CDF
The expansion of α x derived from the exponential series by Abramowitz and Stegun [8] is mathematically valid for all x R and α > 0 . However, in the context of the proposed model, where the shape parameter is restricted to α > 1 to ensure the validity of the distribution, this expansion remains applicable and consistent within this domain.
α x = n = 0 ( 1 ) n n ! ln ( α ) n x n .
Substituting x = 1 G ( x ; ζ ) G ( x ; ζ ) , we obtain the series form of the APSR-X CDF:
F ( x ; α , ζ ) = n = 0 ( 1 ) n ln ( α ) n n ! 1 G ( x ; ζ ) G ( x ; ζ ) n .
Convergence Condition: This expansion converges for all G ( x ; ζ ) ( 0 , 1 ) , which holds for any proper continuous baseline CDF.
Step 2: 
Applying the Binomial Theorem
To express the numerator in the above expansion, we use the generalized binomial theorem by Abramowitz and Stegun [8]:
( 1 G ( x ; ζ ) ) n = k = 0 n n k ( 1 ) k G ( x ; ζ ) k .
Using this, we rewrite
1 G ( x ; ζ ) G ( x ; ζ ) n = k = 0 n n k ( 1 ) k G ( x ; ζ ) k n .
Step 3: 
Double Series for CDF
Substituting the binomial expansion into Equation (6), we obtain the final series form of the APSR-X CDF:
F ( x ; α , ζ ) = n = 0 k = 0 n ( 1 ) n + k ln ( α ) n n ! n k G ( x ; ζ ) k n .
Step 4: 
Deriving the PDF via Term-Wise Differentiation
The closed-form expression of the APSR-X PDF, which is explicitly non-negative for α > 1 , is given by:
f ( x ; α , ζ ) = ln ( α ) · g ( x ; ζ ) [ G ( x ; ζ ) ] 2 · α 1 G ( x ; ζ ) G ( x ; ζ ) .
For α > 1 , we have ln ( α ) > 0 and the remaining factors are non-negative since g ( x ; ζ ) 0 (the density) and G ( x ; ζ ) ( 0 , 1 ) (the baseline CDF).
The series representation of the PDF is obtained by differentiating the CDF term by term:
f ( x ; α , ζ ) = d d x F ( x ; α , ζ ) .
This term-by-term differentiation is justified under the assumption that the infinite series representation of the CDF converges uniformly on every compact subset of the domain where G ( x ; ζ ) ( 0 , 1 ) and where the derivative g ( x ; ζ ) = d d x G ( x ; ζ ) exists and is continuous.
Applying the derivative operator to each term of the series gives
f ( x ; α , ζ ) = n = 0 k = 0 n ( 1 ) n + k ln ( α ) n n ! n k ( k n ) G ( x ; ζ ) k n 1 g ( x ; ζ ) .
Note on Non-Negativity: While individual terms in this series may be negative when k < n (due to the factor ( k n ) ), the infinite series converges to the closed-form PDF (8), which is non-negative for all x and α > 1 . This equivalence can be shown through re-indexing ( j = n k , m = k ) and series simplification:
f ( x ; α , ζ ) = m = 0 j = 1 ( 1 ) j + 1 [ ln ( α ) ] j + m m ! ( j 1 ) ! g ( x ; ζ ) [ G ( x ; ζ ) ] j + 1 = ln ( α ) · g ( x ; ζ ) [ G ( x ; ζ ) ] 2 · α 1 1 G ( x ; ζ ) ,
confirming the convergence to (8). Numerical verification across parameter spaces and baseline models confirms that the PDF remains non-negative. This series representation is primarily useful for theoretical derivations (e.g., moment calculations), while the closed-form (8) should be used for computational purposes.
Convergence of PDF Series: The series for f ( x ; α , ζ ) converges for all G ( x ; ζ ) ( 0 , 1 ) under the condition that G ( x ; ζ ) is differentiable and g ( x ; ζ ) is finite.
These series representations are particularly useful for approximating the CDF and PDF using a finite number of terms and facilitate the derivation of moments and reliability measures in later sections.

2.4. The Quantile Function

The quantile function plays a pivotal role in various statistical procedures, including Monte Carlo simulations. It facilitates the generation of random variates from a given distribution by inverting its CDF. Let X be a random variable following the APSR-X family. The quantile function of X is derived as follows:
F ( x ; α , ζ ) = α 1 G ( x ; ζ ) G ( x ; ζ ) = p , 0 < p < 1 .
Solving for G ( x ; ζ ) yields
G ( x ; ζ ) = ln ( α ) ln ( α ) ln ( p ) .
To determine the quantile function Q X ( p ) for the APSR-X family, the inverse of the baseline CDF G ( x ; ζ ) is required. Therefore,
Q X ( p ) = G 1 ln ( α ) ln ( α ) ln ( p ) .
By employing Equation (11) for a specified baseline distribution G, random samples from the APSR-X family can be generated.

2.5. Moments and the Moment-Generating Function

Let X APSR - X ( α , ζ ) and let Ω denote the support of X, that is, the set of all values x for which the PDF f ( x ; α , ζ ) is positive. Then, the ordinary r th moment is calculated as
μ r = Ω x r f ( x ; α , ζ ) d x = Ω x r α 1 G ( x ; ζ ) G ( x ; ζ ) ln ( α ) g ( x ; ζ ) G ( x ; ζ ) 2 d x .
By employing the series expansions outlined in Equations (7) and (9), the r th moment can be expressed as
μ r = n = 0 k = 0 n ( 1 ) n + k k ! ( n k ) ! ln ( α ) n + 1 Ω x r G ( x ; ζ ) k n 2 g ( x ; ζ ) d x = n = 0 k = 0 n ( 1 ) n + k k ! ( n k ) ! ln ( α ) n + 1 λ 1 , i ( r ; ζ ) ,
where
λ 1 , i ( r ; ζ ) = Ω x r G ( x ; ζ ) k n 2 g ( x ; ζ ) d x .
Furthermore, the moment-generating function (MGF), denoted by M X ( t ) , for a random variable X following the APSR-X distribution is given by
M X ( t ) = Ω e t x f ( x ; α , ζ ) d x = r = 0 t r r ! μ r = r = 0 n = 0 k = 0 n t r ( 1 ) n + k r ! k ! ( n k ) ! ln ( α ) n + 1 λ 1 , i ( r ; ζ ) .

2.6. Order Statistics

Order statistics are fundamental in distribution theory as they play a critical role in reliability analyses, life testing, and estimation theory. Let X 1 , X 2 , , X n be a random sample drawn from the APSR-X family, whose CDF and PDF are given in Equations (1) and (2), respectively. The PDF of the r th -order statistic, denoted by X r : n , is given by
f r : n ( x ; α , ζ ) = 1 B ( r , n r + 1 ) f ( x ; α , ζ ) F ( x ; α , ζ ) r 1 1 F ( x ; α , ζ ) n r ,
where B ( r , n r + 1 ) is the beta function.
To simplify the expression, the term 1 F ( x ; α , ζ ) n r is expanded using the binomial series
1 F ( x ; α , ζ ) n r = k = 0 n r n r k ( 1 ) k F ( x ; α , ζ ) k .
Substituting Equation (14) into Equation (13), the PDF of the r th -order statistic becomes
f r : n ( x ; α , ζ ) = 1 B ( r , n r + 1 ) f ( x ; α , ζ ) k = 0 n r n r k ( 1 ) k F ( x ; α , ζ ) r + k 1 .
Finally, by replacing F ( x ; α , ζ ) and f ( x ; α , ζ ) from Equations (1) and (2) into Equation (15), the explicit form of the PDF of X r : n can be obtained for the APSR-X distribution.

2.7. Residual and Reverse Residual Lifetime

The notions of Residual Lifetime (RL) and Reverse Residual Lifetime (RRL) are widely applicable in several fields, including survival modeling, actuarial science, biometrics, and risk assessment. Within the framework of the APSR-X family, the RL of a random variable X, represented as R X ( t ) , is described as follows:
R X ( t ) = S ( x + t ) S ( t ) , = 1 α 1 G ( x + t ; ζ ) G ( x + t ; ζ ) 1 α 1 G ( t ; ζ ) G ( t ; ζ ) .
In addition, we also derive the expression for the RRL of a random variable X following the APSR-X family. The calculated expression, denoted as R X ¯ ( t ) , is defined as
R X ¯ ( t ) = S ( x t ) S ( t ) , = 1 α 1 G ( x t ; ζ ) G ( x t ; ζ ) 1 α 1 G ( t ; ζ ) G ( t ; ζ ) .

3. The Special Case

In this section, we present a specific member of the APSR-X family by applying the transformation to the exponential distribution.

The Alpha Power Survival Ratio Exponential (APSR-Exp) Distribution

A particular sub-model of the APSR-X family characterized by two parameters is defined here as the APSR-Exp distribution. This model is obtained by selecting the exponential distribution as the baseline. The CDF and PDF of the exponential distribution are given by
G ( x ; β ) = 1 e β x ; x R , β R + ,
and
g ( x ; β ) = β e β x .
By substituting Equations (16) and (17) into Equations (1) and (2), we obtain the CDF and PDF of the APSR-Exp distribution as follows:
F ( x ; α , β ) = α e β x 1 e β x ,
and
f ( x ; α , β ) = α e β x 1 e β x β e β x ln ( α ) 1 e β x 2 .
The key statistical functions of the APSR-Exp distribution, namely the survival function, hazard rate function, and cumulative hazard function, are given by
S ( x ; α , β ) = 1 α e β x 1 e β x ,
h ( x ; α , β ) = α e β x 1 e β x β e β x ln ( α ) 1 e β x 2 1 α e β x 1 e β x ,
and
H ( x ; α , β ) = ln 1 α e β x 1 e β x .
Figure 1, Figure 2 and Figure 3 present the behavior of the PDF, CDF, and HRF under various combinations of the parameters α and β . The PDF of the APSR-Exp distribution is flexible and may exhibit decreasing, increasing–decreasing, unimodal, or right-skewed shapes. The HRF demonstrates greater versatility, allowing for increasing and inverted bathtub-shaped forms.
In addition, the quantile function (QF) of X for the APSR-Exp distribution is given by
X p = 1 β l n l n ( p ) l n ( p ) l n ( α ) ; 0 < p < 1 .
In particular, the median and quartiles (first and third) can be determined by setting p = 0.5 , 0.25 , and 0.75 , respectively. The quantile estimates of the APSR-Exp distribution for specific parameter values are reported in Table 1. The results help illustrate the effect of parameter changes on the shape and tail behavior of the distribution. This highlights the flexibility and suitability of the model for lifetime data modeling. Furthermore, Table 2 outlines the descriptive statistics for the APSR-Exp model for various combinations of α and β .
This table provides a detailed overview of the APSR-Exp distribution for a specific range of parameter combinations, including key metrics such as the first four moments μ 1 , μ 2 , μ 3 , and μ 4 and the variance, skewness, and kurtosis. From these results, we conclude that
  • As α increases, it is observed that the initial four statistical moments and variance show a tendency to rise, whereas the skewness and kurtosis display a declining pattern for a constant value of the parameter β ;
  • As β increases, all four moments and the variance show a declining trend, whereas skewness and kurtosis remain unaltered for a constant value of the parameter α .

4. Parameter Estimation and Simulation

4.1. Parameter Estimation

In this subsection, we address parameter estimation for the APSR-Exp distribution using frequentist methods. Accurate estimation is critical for practitioners in reliability engineering and survival analysis, as it informs the model selection for real-world applications. To systematically compare the estimation performance, we implement eight established techniques: maximum likelihood estimation (MLE, Δ 1 ), maximum product of spacing estimation (MPSE, Δ 2 ), least squares estimation (LSE, Δ 3 ), weighted least squares estimation (WLSE, Δ 4 ), Anderson–Darling estimation (ADE, Δ 5 ), right-tailed Anderson–Darling estimation (RADE, Δ 6 ), Cramér–von Mises estimation (CVME, Δ 7 ), and percentile estimation (PCE, Δ 8 ). This comprehensive framework enables a rigorous evaluation of the estimators’ efficiency and robustness under varying conditions.

4.1.1. Maximum Likelihood Estimation ( Δ 1 ) for a Complete Sample

Let the random variables X 1 , X 2 , , X n represent a random sample whose observed values x 1 , x 2 , , x n are drawn from the APSR-Exp model with the PDF f ( x ; α , β ) as defined in Equation (19). The likelihood function associated with f ( x ; α , β ) , denoted as λ ( α , β ) , is expressed as
λ ( x ; α , β ) = k = 1 n α e β x k 1 e β x k β e β x k l n ( α ) 1 e β x k 2 .
Now, the logarithmic likelihood function, say ( x ; α , β ) is provided as
( x ; α , β ) = l n ( α ) k = 1 n e β x k 1 e β x k + n l n ( β ) β k = 1 n x k + n l n ( l n ( α ) ) 2 k = 1 n l n ( 1 e β x k ) .
The derivatives of ( x ; α , β ) with relation to α and β are delineated as
α ( x ; α , β ) = 1 α k = 1 n e β x k 1 e β x k + n α l n ( α ) ,
and
β ( x ; α , β ) = l n ( α ) k = 1 n x k e β x k 1 e β x k 2 + n β k = 1 n x k 2 k = 1 n x k e β x k 1 e β x k .
By evaluating the system of non-linear equations α ( x ; α , β ) = 0 and β ( x ; α , β ) = 0 , the maximum likelihood estimates for the parameters of the APSR-Exp distribution can be obtained.

4.1.2. Cramer–von Mises Estimation ( Δ 2 )

A study by Macdonald [9] showed that CVME has less bias than other minimum distance estimators. Here, the CVME method is applied to estimating the parameters of the APSR-Exp model. The CVME of the unknown parameters can be determined by minimizing the following function:
C ( α , β ) = 1 12 n + k = 1 n F ( x ( k ) ) 2 k 1 2 n 2 , = 1 12 n + k = 1 n + 1 α e β x ( k ) 1 e β x ( k ) 2 k 1 2 n 2 .
By evaluating the system of non-linear equations α C ( α , β ) = 0 and β C ( α , β ) = 0 , we procure the Cramer–von Mises estimates for the parameters of the APSR-Exp model.

4.1.3. Maximum Product of Spacing Estimation ( Δ 3 )

The maximum product of spacing method was first formulated by Cheng and Amin [10] as a substitute for the maximum likelihood estimation methodology for estimating the parameters of continuous univariate distributions. Furthermore, the method was separately examined by Ranneby [11], who clarified its consistency property and examined it as an approximation to the Kullback–Leibler measure of information. By demonstrating the efficiency of the spacing technique and its consistency under broader circumstances than the maximum likelihood process, Cheng and Amin offered strong support for our decision to choose the maximum product of the spacing method. We now proceed by defining the uniform spacings for a random sample drawn from the APSR-Exp model. For a random sample of size n from the APSR-exp model with the order statistics X ( 1 ) , X ( 2 ) , , X ( n ) , the uniform spacings are defined as the differences between consecutive-order statistics, as given by
D k = F ( x ( k ) ) F ( x ( k 1 ) ) ; k = 1 , 2 , , n + 1
where F ( x ( 0 ) ) = 0 and F ( x ( n ) ) = 1 . The maximum product of the spacing estimators is obtained by maximizing the following function:
M ( α , β ) = 1 n + 1 k = 1 n + 1 l n [ D k ] = 1 n + 1 k = 1 n + 1 l n α e β x ( k ) 1 e β x ( k ) α e β x ( k 1 ) 1 e β x ( k 1 ) .
By solving the non-linear equations α M ( α , β ) = 0 and β M ( α , β ) = 0 , we procure the maximum product of spacing estimates for the parameters of the APSR-Exp model.

4.1.4. Least Square Estimation ( Δ 4 ) and Weighted Least Square Estimation ( Δ 5 )

In order to estimate the parameters of the beta distribution, Swain et al. [12] proposed the least squares and weighted least squares estimation techniques. The parameters of the suggested model can be estimated using the least squares estimation approach by minimizing the least squares function S ( α , β ) with regard to the unknown parameters, where
S ( α , β ) = k = 1 n F ( x ( k ) ) k n + 1 2 = k = 1 n + 1 α e β x ( k ) 1 e β x ( k ) k n + 1 2 .
Similarly, to obtain the WLS estimate for the unknown parameters, the weighted least square function W ( α , β ) is minimized:
W ( α , β ) = k = 1 n ( n + 1 ) 2 ( n + 2 ) k ( n k + 1 ) F ( x ( k ) ) k n + 1 2 = k = 1 n ( n + 1 ) 2 ( n + 2 ) k ( n k + 1 ) α e β x ( k ) 1 e β x ( k ) k n + 1 2 .

4.1.5. Anderson–Darling Estimation ( Δ 6 )

Anderson and Darling [13] developed the Anderson–Darling test to replace the standard statistical methods for identifying sample distributions that deviated from normality. In a separate study, Boos [14] examined the features of ADE. Utilizing his findings, the ADE for APSR-Exp can be obtained by minimizing the Anderson–Darling statistic, say A ( α , β ) , which is formulated as
A ( α , β ) = n 1 n k = 1 n ( 2 k 1 ) l n F ( x ( k ) ) + l n S ( x ( n + 1 k ) ) = n 1 n k = 1 n ( 2 k 1 ) l n α e β x ( k ) 1 e β x ( k ) + l n 1 α e β x ( n + 1 k ) 1 e β x ( n + 1 k ) .
By evaluating the non-linear equations α A ( α , β ) = 0 and β A ( α , β ) = 0 , we obtain the Anderson–Darling estimates of the parameters of the APSR-Exp distribution.

4.1.6. Right-Tailed Anderson–Darling Estimation ( Δ 7 )

The right-tailed Anderson–Darling test, which focuses on the right-tail behavior of the model, is used to assess the goodness-of-fit of a distribution. Using the right-tailed Anderson–Darling (AD) technique, the parameters α and β of the APSR-Exp distribution are estimated. The right-tailed AD test statistic R ( α , β ) is provided as follows:
R ( α , β ) = n 2 2 k = 1 n F ( x ( k ) ) 1 n k = 1 n ( 2 k 1 ) l n S ( x ( n + 1 k ) ) = n 2 2 k = 1 n α e β x ( k ) 1 e β x ( k ) 1 n k = 1 n ( 2 k 1 ) l n 1 α e β x ( n + 1 k ) 1 e β x ( n + 1 k ) .

4.1.7. Percentile Estimation ( Δ 8 )

Percentile-based estimators were introduced by Kao [15,16] for situations in which the distribution function is provided in closed form. Specifically, Kao [15] developed percentile-based estimators for the Weibull distribution, which have been effectively implemented as mentioned in Kao [16]. These estimators have now been successfully applied to other distributions with distribution functions in a concise form. Since the quantile function of the two-parameter APSR-Exp model is stated as
X q = 1 β l n l n ( q ) l n ( q ) l n ( α ) ,
the percentile-based estimators of α and β can be evaluated by minimizing the following function:
P ( α , β ) = k = 1 n x ( k ) + 1 β l n l n ( q k ) l n ( q k ) l n ( α ) 2
with respect to α and β . Here, x ( 1 ) , x ( 2 ) , , x ( n ) indicates the sample order statistics, while q ( k ) represents an estimation of G ( x ( k ) ; α , β ) . The existing literature contains numerous p estimations, including the work by Mann et al. [17]. q ( k ) = k n + 1 looks to be more acceptable. The present study also uses q ( k ) = k n + 1 .

4.2. Simulation Illustration

The second subsection presents an extensive Monte Carlo simulation aiming to evaluate the effectiveness of the various estimation approaches. Furthermore, Monte Carlo simulations are used to explore the finite sample characteristics of the parameter estimates. To conduct this evaluation, synthetic datasets are first created using the APSR-Exp model. Next, we apply estimation techniques to generating the estimators of the suggested model. Three major performance metrics—described below—are used to evaluate the estimating methods:
(a) Average bias (AB):
A B ( ϑ ) = 1 N k = 1 N ϑ ^ k ϑ ,
where N is the number of simulation replications, ϑ ^ k is the estimate of ϑ in the k-th replication and ϑ is the true parameter value.
(b) Mean squared error (MSE):
M S E ( ϑ ) = 1 N k = 1 N ( ϑ ^ k ϑ ) 2 .
(c) Mean relative error (MRE):
M R E ( ϑ ) = 1 N k = 1 N ( ϑ ^ k ϑ ) ϑ .
Through an empirical analysis, we aim to identify the most accurate and reliable estimation techniques for the proposed model—offering critical insights for future research and practical applications. The objective of this simulation-based study is two fold:
(i)
To identify the most effective estimation strategy for computing the parameters of the proposed model;
(ii)
To evaluate the performance of these estimators across a range of sample sizes.
To achieve these goals, we conducted an extensive Monte Carlo simulation involving multiple iterations. Random samples of sizes n = 50 , 100 , 250 , 400 , and 600 were generated from the proposed distribution using the following three parameter settings:
  • Set I: α = 1.2 , β = 0.3 ;
  • Set II: α = 1.7 , β = 1.3 ;
  • Set III: α = 1.5 , β = 1.5 .
The model parameters were then estimated using a variety of designated estimation methods. This simulation exercise was designed to identify the optimal estimation technique—one that yields accurate and precise parameter estimates while also accounting for the effect of the sample size on the performance of the estimators.
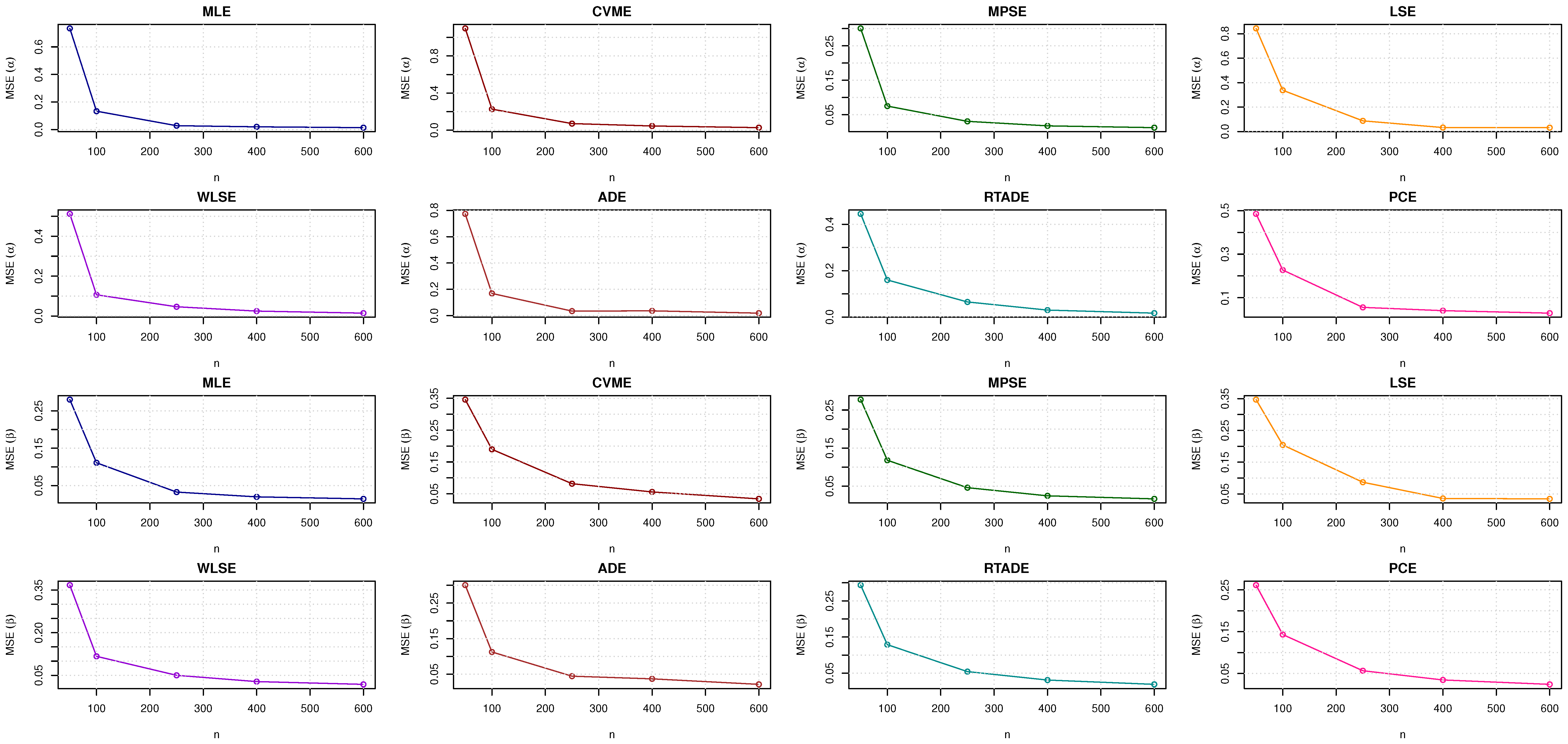
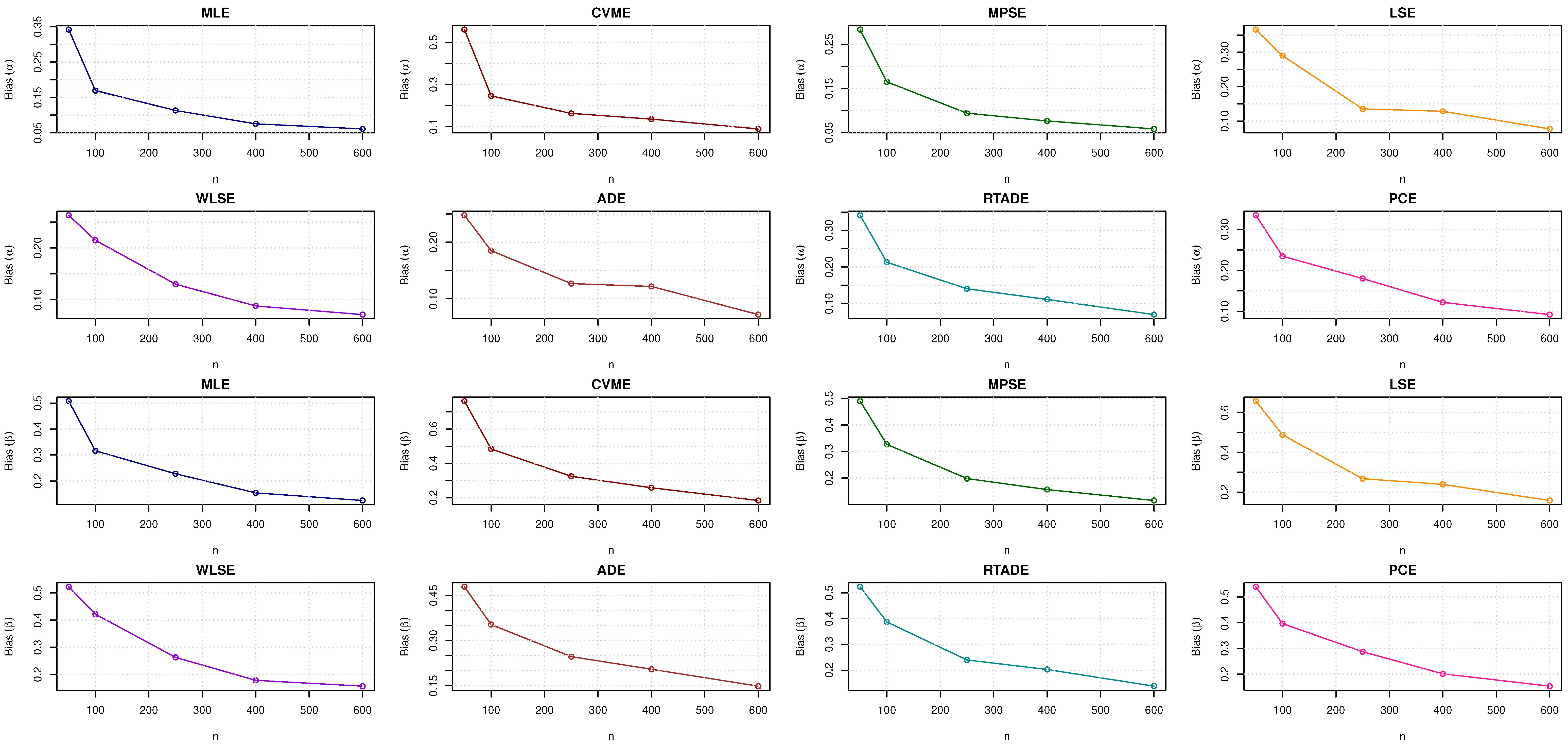
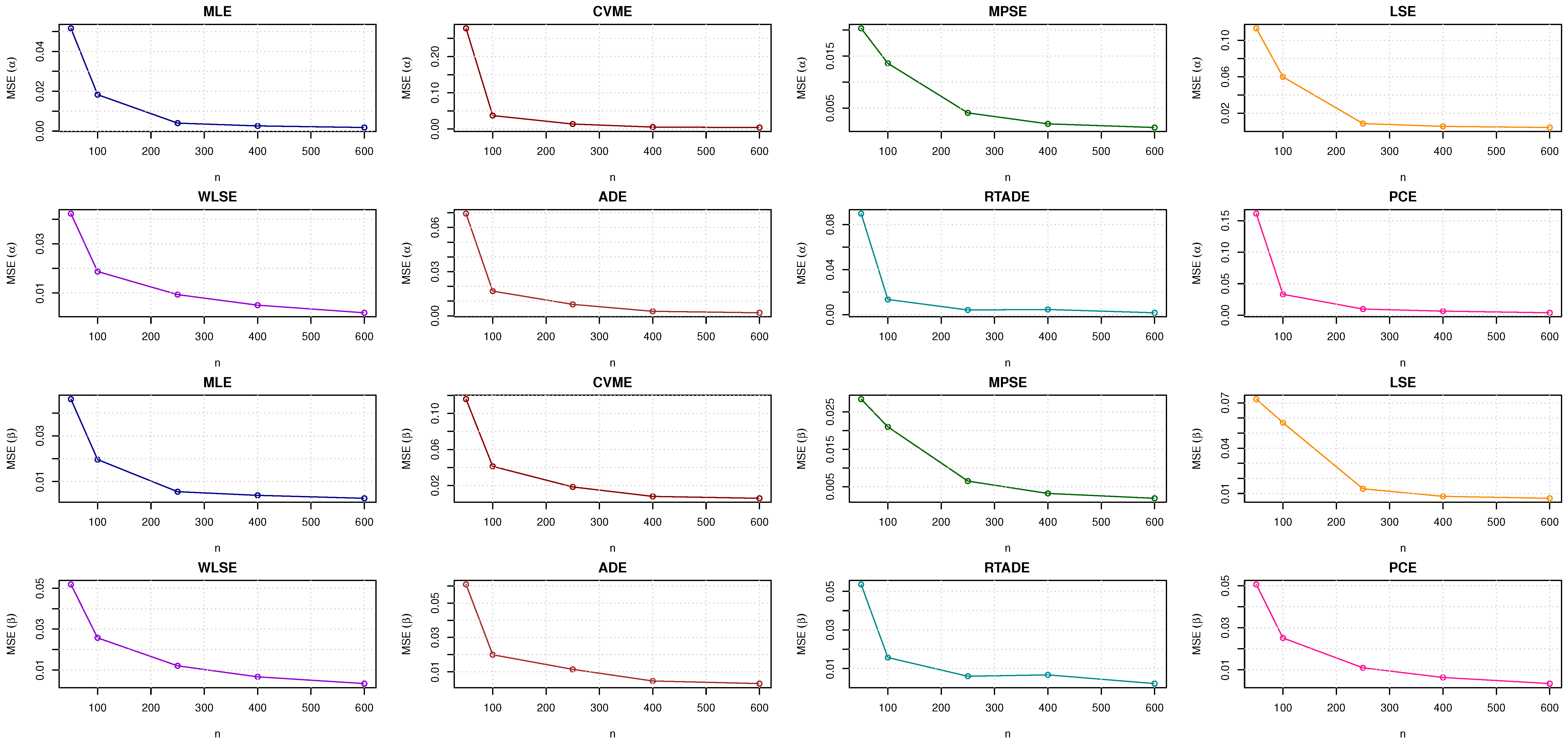
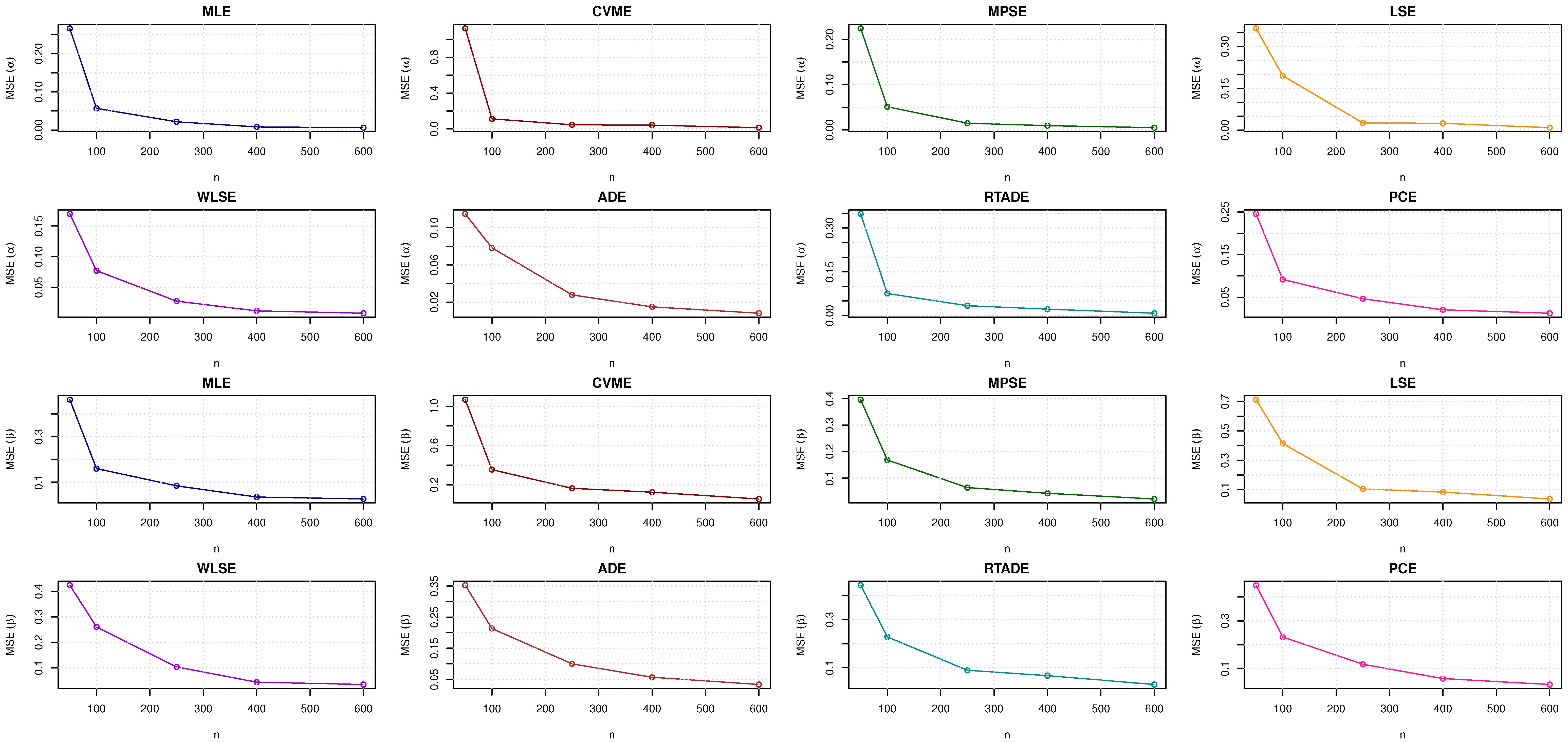
The results of the simulation are presented in Table 3, Table 4 and Table 5. The numbers in square brackets [ ] indicate the ranking of the corresponding method for each metric, with [1] being the best. To provide a comprehensive evaluation, the partial and cumulative rankings of the estimation methods are summarized in Table 6. These rankings offer a quantitative assessment of the relative performance of each technique.
A graphical representation of the tabular results is provided in Figure 4, Figure 5, Figure 6, Figure 7, Figure 8, Figure 9, Figure 10, Figure 11 and Figure 12, which further facilitates the interpretation of each method’s efficiency and performance. Collectively, these findings provide valuable guidance for selecting the most suitable estimation method for future applications and research endeavors involving the proposed distribution.
The detailed analysis of the ranking table and the simulation results leads to several important conclusions:
  • As the sample size (n) increases, all estimators examined in this study exhibit the consistency property, which means that the estimators converge to the true parameter values.
  • Regardless of the estimation strategy used, the bias of all estimators decreases as the sample size (n) increases, indicating that larger sample sizes produce more accurate estimates with fewer systematic errors.
  • The MSE of the estimations decreases with increasing n for all estimating procedures. This suggests that by reducing both random and systematic errors, larger sample sizes improve the precision of the estimates.
  • The MRE of each estimator decreases as n increases, regardless of the estimating method used. This suggests that as the relative error progressively drops, larger sample sizes result in increasingly accurate estimates.
  • The analysis and summarization of rankings for various parameter configurations and sample sizes show that the MPS With the lowest overall score (26.5), the estimator consistently performs better than the others. The MLE comes in second with a score of 32. We strongly advise adopting the MPS technique for parameter estimation in data modelled using the suggested distribution in light of these findings.

5. Actuarial Metrics

In this section, various widely used risk metrics are offered for the suggested model, notably the Value-at-Risk (VaR), Tail Value-at-Risk (TVaR), Tail Variance (TV) and Tail Variance Premium (TVP).

5.1. Value-at-Risk (VaR)

The VaR measure, also referred to as the quantile premium concept or the quantile risk measure, is a tool used to assess risk exposure and as a result determine the capital needed to withstand potential adverse outcomes. According to Artzner et al. [18], the VaR of a random variable X is defined as the q th quantile of its CDF. Thus, the VaR of the APSR-Exp model is expressed as
V a R q = 1 β l n l n ( q ) l n ( q ) l n ( α ) .
The value of VaR increases with different q levels for fixed values of α and β .

5.2. Tail Value-at-Risk (TVaR)

TVaR is a critical risk metric used to calculate the expected value of a loss when an event happens outside of a specific probability threshold. In particular, the TVaR for the APSR-Exp model is defined as
T V a R q = 1 1 q V a R q x f ( x ; α , β ) d x ,
T V a R q = 1 1 q V a R q x α e β x 1 e β x β e β x l n ( α ) 1 e β x 2 d x .

5.3. Tail Variance (TV)

The TV is an essential actuarial measure that evaluates the variability in the loss distribution in the tail, beyond a specific critical threshold. The TV for the APSR-Exp model is defined as follows:
T V q = E X 2 | X > x q ( T V a R q ) 2 , = 1 1 q V a R q x 2 f ( x ; α , β ) d x ( T V a R q ) 2 , = 1 1 q V a R q x 2 α e β x 1 e β x β e β x l n ( α ) 1 e β x 2 d x ( T V a R q ) 2 .

5.4. Tail Variance Premium (TVP)

The TVP is a key crucial actuarial measure often utilized in the insurance industry to account for the additional cost associated with tail risks. For the APSR-Exp model, the TVP is defined as follows:
T V P q = T V a R q + q T V q .

5.5. Numerical Analysis of Risk Metrics

This subsection displays the numerical values for the VaR, TVaR, TV and TVP measures for the APSR-Exp and alpha power exponential (AP-Exp) models. We generate a random sample of 100 from the APSR-Exp and AP-Exp models and use the MLE to estimate the distribution parameters. After 1000 iterations, the results required to compute the four risk measures of the distributions under consideration are ultimately obtained. Table 7 and Table 8 present the statistical conclusions generated from the measurements of the APSR-Exp and AP-Exp distributions. The corresponding graphical summaries are shown in Figure 13 and Figure 14, respectively. The results reveal that the actuarial metrics of the APSR-Exp model rise as the confidence level increases, indicating that the distribution is leptokurtic and heavy-tailed. The simulation procedure is outlined as follows:
  • A random sample of size n = 100 is generated from each model, and the parameters are evaluated using the MLE;
  • A total of 1000 iterations are performed to calculate the VaR, TVaR, TV and TVP for both models.

Final Comments on the Risk Metrics

  • As the confidence level increases, all of the risk metrics (VaR, TVaR, TV and TVP) of the APSR-Exp model exhibit an increasing trend, demonstrating the behavior of a heavy-tailed distribution;
  • Compared to the AP-Exp model, the APSR-Exp model consistently produces lower values for all risk metrics, indicating a more moderate evaluation of extreme risk;
  • The model successfully balances its sensitivity to tail risk without overestimating extreme outcomes, making it suitable for actuarial and financial applications;
  • The APSR-Exp model is useful in sectors that may want to reduce their exposure to extreme financial losses, as it offers a safer option than those of heavier-tailed models.

6. Applications to Real-World Scenarios

To demonstrate the practical relevance of the APSR-Exp model, three real-life datasets are analyzed to assess the flexibility and performance of the model. For a comparative evaluation, a range of goodness-of-fit (GoF) measures are computed, including the Akaike Information Criterion (AIC), the corrected AIC (CAIC), the Schwarz Information Criterion (SIC/BIC), the Hannan–Quinn Information Criterion (HQIC), the Anderson–Darling (A*) statistic, the Cramér–von Mises (W*) statistic and the Kolmogorov–Smirnov (KS) test statistic, along with its corresponding p-value. A model is considered superior if it yields lower values for the GoF statistics (AIC, CAIC, BIC, HQIC, A*, W*, KS), while a higher p-value for the KS test indicates a better fit.

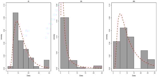
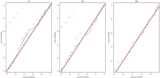
6.1. The Tax Revenue Dataset

This dataset, previously examined by Mead [19] and Jamal et al. [20], comprises the actual monthly tax revenue (in units of 1000 million Egyptian pounds) collected by Egypt from January 2006 to November 2010. The recorded values are 5.9, 20.4, 14.9, 16.2, 17.2, 7.8, 6.1, 9.2, 10.2, 9.6, 13.3, 8.5, 21.6, 18.5, 5.1, 6.7, 17.0, 8.6, 9.7, 39.2, 35.7, 15.7, 9.7, 10.0, 4.1, 36.0, 8.5, 8.0, 9.2, 26.2, 21.9, 16.7, 21.3, 35.4, 14.3, 8.5, 10.6, 19.1, 20.5, 7.1, 7.7, 18.1, 16.5, 11.9, 7.0, 8.6, 12.5, 10.3, 11.2, 6.1, 8.4, 11.0, 11.6, 11.9, 5.2, 6.8, 8.9, 7.1 and 10.8.

6.2. The Repair Time Dataset

This dataset contains 46 observations of the active repair times (in hours) for an airborne communication transceiver. It was previously analyzed by Dimitrakopoulou [21] and Pararai et al. [22]. The observed values are 1.3, 2.7, 5.0, 0.8, 1.0, 7.0, 3.3, 1.5, 5.4, 3.0, 2.0, 4.7, 1.5, 1.0, 0.7, 0.5, 4.5, 9.0, 24.5, 0.6, 2.2, 1.0, 0.5, 4.0, 0.8, 0.2, 3.3, 10.3, 3.0, 4.0, 22.0, 1.5, 1.5, 0.7, 1.0, 2.5, 0.5, 2.0, 1.1, 0.3, 5.4, 7.5, 0.6, 8.8, 0.7 and 0.5.

6.3. The Infection Time Dataset

This dataset reports the infection times (in months) for patients undergoing kidney dialysis treatment, as presented by Bantan and Alhussain [23]. The observed values are 2.5, 2.5, 3.5, 3.5, 3.5, 4.5, 5.5, 6.5, 6.5, 7.5, 7.5, 7.5, 7.5, 8.5, 9.5, 10.5, 11.5, 12.5, 12.5, 13.5, 14.5, 14.5, 21.5, 21.5, 22.5, 22.5, 25.5 and 27.5.
The descriptive measures for the tax revenue, repair time, and infection time datasets are presented in Table 9. It is evident from these values that the tax revenue dataset is characterized by moderate skewness and kurtosis. The repair time dataset is the most extreme, with the highest skewness and kurtosis, making it heavily skewed and heavy-tailed. The infection time dataset is relatively balanced, with moderate skewness and the lowest kurtosis, indicating a more stable and tightly distributed dataset. The high variance across all datasets further highlights the presence of outliers and variability in the data.
To evaluate the adequacy and applicability of the proposed model, a comparative analysis was conducted against several established lifetime distributions. The corresponding PDFs of these reference models are presented below for clarity and benchmarking purposes.
  • The exponential (Exp) distribution is widely used in reliability analyses and queuing theory due to its memoryless property. Its PDF is given by
    g ( x ; β ) = β e β x , β R + , x > 0 .
  • The Exponentiated Exponential (E-Exp) distribution generalizes the exponential distribution by introducing a shape parameter, offering more flexibility in modeling lifetimes. Its PDF is
    g ( x ; α , β ) = α β e β x ( 1 e β x ) α 1 , α , β R + , x > 0 .
  • As a generalization of the exponential distribution, the Weibull (W) distribution is often used to model failure times. Its PDF is
    g ( x ; α , β ) = α β x β α 1 exp x β α , α , β R + , x > 0 .
  • The Sine Exponential (S-Exp) distribution enhances the exponential model using a sine transformation to capture oscillatory behavior. Its PDF is
    g ( x ; β ) = π 2 β e β x cos π 2 ( 1 e β x ) , β R + , x > 0 .
  • The Transmuted Exponential (T-Exp) distribution, introduced via a quadratic rank transmutation map, adds a transmutation parameter to the exponential model. Its PDF is
    g ( x ; β , λ ) = β e β x 1 λ + 2 λ e β x , β R + , 1 λ 1 , x > 0 .
  • The alpha power exponential (AP-Exp) distribution introduces a logarithmic power transformation on the exponential base, enhancing its tail behavior. The PDF is given by
    g ( x ; α , β ) = β log ( α ) α 1 e β x α 1 e β x , α , β R + , x > 0 .
  • The New Exponentiated Exponential (NE-Exp) distribution integrates a base-2 exponentiated transformation into the exponential family to improve the modeling flexibility for lifetime data. Its PDF is
    g ( x ; α , β ) = α log ( 2 ) β e β x 2 ( 1 e β x ) α ( 1 e β x ) α 1 , α , β R + , x > 0 .
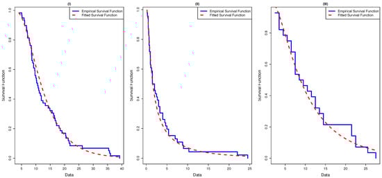
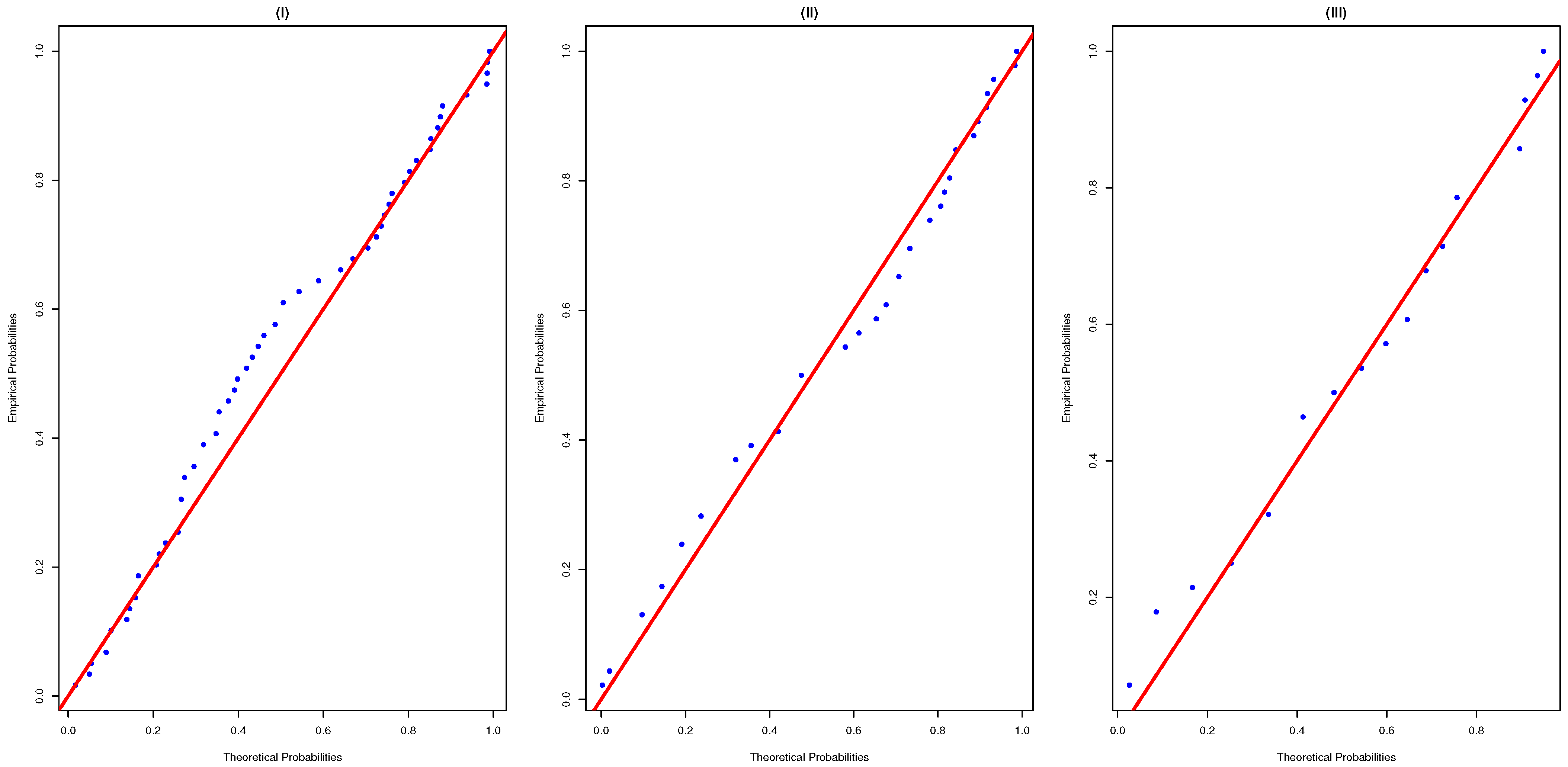
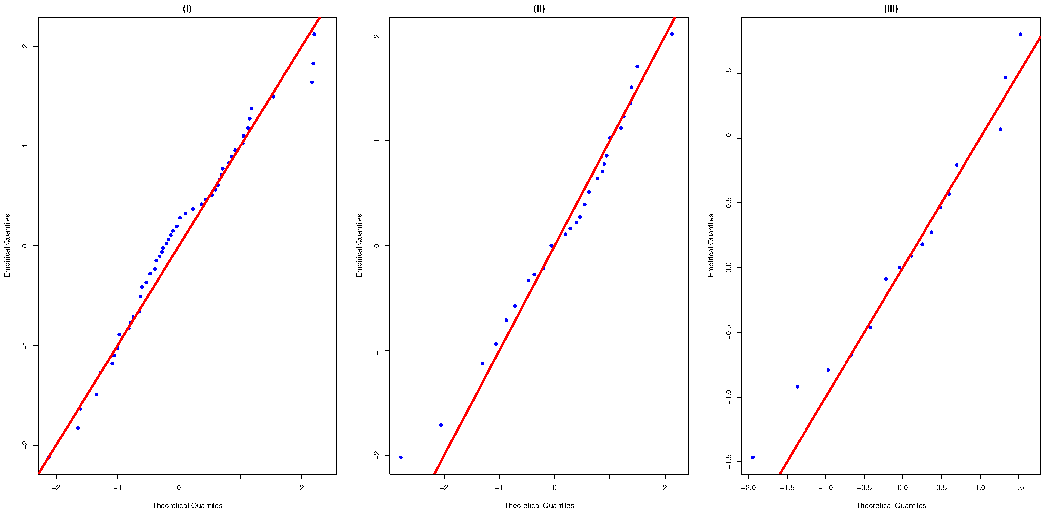
The maximum likelihood estimates (MLEs) and goodness-of-fit (GoF) statistics for the APSR-Exp model and the competing distributions are presented in Table 10, Table 11, Table 12 and Table 13. A review of the results in Table 11, Table 12 and Table 13 clearly indicates that the APSR-Exp model outperforms all competing distributions. Specifically, it yields the highest p-values for the Kolmogorov–Smirnov (KS) statistic across all datasets and consistently records the lowest values for the GoF criteria. Furthermore, Figure 15, Figure 16, Figure 17 and Figure 18 illustrate comparative plots including estimated density, survival, probability–-probability (P–P) and quantile–-quantile (Q–Q) plots for the APSR-Exp model across the three datasets. Overall, these findings demonstrate the practical applicability and superior fitting performance of the APSR-Exp model in modeling real-world data, confirming it as the most appropriate model among those considered.
The hazard function form of the datasets was assessed using the Total Time on Test (TTT) plot (see Figure 19), as suggested by Aarset [24]. The findings show that there are unique hazard rate patterns in each dataset. Bhat et al. [25] also applied this technique to provide a graphical overview of the hazard rates for their data.

7. Concluding Remarks

In this work, we proposed the Alpha Power Survival Ratio-X (APSR-X) family, a new flexible framework for modeling continuous lifetime data with enhanced adaptability and symmetry control. The APSR-Exponential (APSR-Exp) distribution, a two-parameter member of this family was studied in detail, with key mathematical properties such as the moments, quantiles and hazard rate shapes thoroughly derived. This model overcomes the restrictive constant-hazard assumption of the traditional exponential models by allowing for diverse hazard behaviors including increasing, decreasing and bathtub-shaped patterns.
To estimate the model parameters, eight frequentist techniques were applied and compared using extensive Monte Carlo simulations, offering insights into their performance under various sample sizes. Real data applications from economic, engineering and medical fields demonstrated that the APSR-Exp distribution consistently provided a better fit than that of several well-known competing models, showcasing its practical relevance and flexibility.
However, the proposed model has limitations. It may encounter computational challenges or convergence issues, especially with small samples or complex data structures. Moreover, as a parametric model, APSR-X may have reduced flexibility when dealing with multimodal or highly skewed datasets. Future work could explore expanding the model to accommodating regression frameworks, multivariate and time-dependent extensions and Bayesian approaches for improved inference. Additionally, combining the APSR-X family with machine learning techniques could further enhance its scalability and applicability in complex data environments.
In summary, the APSR-X family offers a promising and innovative approach to lifetime data modeling, bridging theoretical rigor with practical versatility across diverse application areas.

Author Contributions

Conceptualization, S.P.A. and A.A.B.; Methodology, A.A.B.; Software, A.A.B. and B.S.A.; Validation, A.A. and A.M.A.A.; Formal analysis, A.A.B. and B.S.A.; Investigation, B.S.A., A.A. and A.H.T.; Resources, A.M.A.A., B.S.A. and A.A.; Data curation, A.A.B.; Writing—original draft, A.A.B.; Writing—review & editing, S.P.A., A.M.A.A. and A.H.T.; Visualization, A.M.A.A. and A.H.T.; Supervision, S.P.A.; Funding acquisition, B.S.A. All authors have read and agreed to the published version of the manuscript.

Funding

The research was funded by the Deanship of Graduate Studies and Scientific Research at Qassim University.

Data Availability Statement

The data supporting the findings of this study are available within the article.

Acknowledgments

The researchers would like to thank the Deanship of Graduate Studies and Scientific Research at Qassim University for financial support (QU-APC-2025).

Conflicts of Interest

The authors declare no conflicts of interest.

References

  1. Mudholkar, G.S.; Srivastava, D.K. Exponentiated Weibull family for analyzing bathtub failure-rate data. IEEE Trans. Reliab. 1993, 42, 299–302. [Google Scholar] [CrossRef]
  2. Marshall, A.W.; Olkin, I. A new method for adding a parameter to a family of distributions with application to the exponential and weibull families. Biometrika 2005, 92, 505. [Google Scholar] [CrossRef]
  3. Odhah, O.H.; Alshanbari, H.M.; Ahmad, Z.; Khan, F.; El-Bagoury, A.a.A.H. A New Family of Distributions Using a Trigonometric Function: Properties and Applications in the Healthcare Sector. Heliyon 2024, 10, e29861. [Google Scholar] [CrossRef] [PubMed]
  4. Shah, Z.; Khan, D.M.; Khan, I.; Ahmad, B.; Jeridi, M.; Al-Marzouki, S. A novel flexible exponent power-X family of distributions with applications to COVID-19 mortality rate in Mexico and Canada. Sci. Rep. 2024, 14, 8992. [Google Scholar] [CrossRef] [PubMed]
  5. Alzaatreh, A.; Lee, C.; Famoye, F. A new method for generating families of continuous distributions. Metron 2013, 71, 63–79. [Google Scholar] [CrossRef]
  6. Mahdavi, A.; Kundu, D. A new method for generating distributions with an application to exponential distribution. Commun.-Stat.-Theory Methods 2017, 46, 6543–6557. [Google Scholar] [CrossRef]
  7. Mir, A.A.; Rasool, S.U.; Ahmad, S.; Bhat, A.; Jawa, T.M.; Sayed-Ahmed, N.; Tolba, A.H. A Robust Framework for Probability Distribution Generation: Analyzing Structural Properties and Applications in Engineering and Medicine. Axioms 2025, 14, 281. [Google Scholar] [CrossRef]
  8. Abramowitz, M.; Stegun, I.A. Handbook of Mathematical Functions with Formulas, Graphs, and Mathematical Tables, 10th ed.; National Bureau of Standards Applied Mathematics Series; Dover Publications: New York, NY, USA, 1972; Volume 55. [Google Scholar]
  9. Macdonald, P. Comments and queries comment on “an estimation procedure for mixtures of distributions” by choi and bulgren. J. R. Stat. Soc. Ser. B Stat. Methodol. 1971, 33, 326–329. [Google Scholar] [CrossRef]
  10. Cheng, R.; Amin, N. Estimating parameters in continuous univariate distributions with a shifted origin. J. R. Stat. Soc. Ser. B Methodol. 1983, 45, 394–403. [Google Scholar] [CrossRef]
  11. Ranneby, B. The maximum spacing method. An estimation method related to the maximum likelihood method. Scand. J. Stat. 1984, 11, 93–112. [Google Scholar]
  12. Swain, J.J.; Venkatraman, S.; Wilson, J.R. Least-squares estimation of distribution functions in Johnson’s translation system. J. Stat. Comput. Simul. 1988, 29, 271–297. [Google Scholar] [CrossRef]
  13. Anderson, T.W.; Darling, D.A. Asymptotic theory of certain “goodness of fit” criteria based on stochastic processes. Ann. Math. Stat. 1952, 23, 193–212. [Google Scholar] [CrossRef]
  14. Boos, D.D. Minimum distance estimators for location and goodness of fit. J. Am. Stat. Assoc. 1981, 76, 663–670. [Google Scholar] [CrossRef]
  15. Kao, J.H. Computer methods for estimating Weibull parameters in reliability studies. IRE Trans. Reliab. Qual. Control 1958, PGRQC-13, 15–22. [Google Scholar] [CrossRef]
  16. Kao, J.H. A graphical estimation of mixed Weibull parameters in life-testing of electron tubes. Technometrics 1959, 1, 389–407. [Google Scholar] [CrossRef]
  17. Mann, N.R.; Schafer, R.E.; Singpurwalla, N.D. Methods for Statistical Analysis of Reliability and Life Data; Research Supported by the U. S. Air Force and Rockwell International Corp.; John Wiley and Sons, Inc.: New York, NY, USA, 1974; 573p. [Google Scholar]
  18. Artzner, P. Application of coherent risk measures to capital requirements in insurance. N. Am. Actuar. J. 1999, 3, 11–25. [Google Scholar] [CrossRef]
  19. Mead, M.E.A. A new generalization of Burr XII distribution. Pakistan 2014, 12, 53–73. [Google Scholar]
  20. Jamal, F.; Nasir, M.A.; Tahir, M.; Montazeri, N.H. The odd Burr-III family of distributions. J. Stat. Appl. Probab. 2017, 6, 105–122. [Google Scholar] [CrossRef]
  21. Dimitrakopoulou, T.; Adamidis, K.; Loukas, S. A lifetime distribution with an upside-down bathtub-shaped hazard function. IEEE Trans. Reliab. 2007, 56, 308–311. [Google Scholar] [CrossRef]
  22. Pararai, M.; Warahena-Liyanage, G.; Oluyede, B.O. A new class of generalized Power Lindley distribution with applications to lifetime data. Theor. Math. Appl. 2015, 5, 53. [Google Scholar]
  23. Bantan, R.A.; Chesneau, C.; Jamal, F.; Elgarhy, M.; Tahir, M.H.; Ali, A.; Zubair, M.; Anam, S. Some new facts about the unit-Rayleigh distribution with applications. Mathematics 2020, 8, 1954. [Google Scholar] [CrossRef]
  24. Aarset, M.V. How to identify a bathtub hazard rate. IEEE Trans. Reliab. 1987, 36, 106–108. [Google Scholar] [CrossRef]
  25. Bhat, A.; Ahmad, S.; Gemeay, A.M.; Muse, A.H.; Bakr, M.; Balogun, O.S. A novel extension of half-logistic distribution with statistical inference, estimation and applications. Sci. Rep. 2024, 14, 4326. [Google Scholar] [CrossRef] [PubMed]
Figure 1. Visual representation of the PDF of the APSR-Exp distribution for various parameter settings.
Figure 1. Visual representation of the PDF of the APSR-Exp distribution for various parameter settings.
Symmetry 17 01118 g001
Figure 2. Visual representation of the CDF of the APSR-Exp distribution for various parameter settings.
Figure 2. Visual representation of the CDF of the APSR-Exp distribution for various parameter settings.
Symmetry 17 01118 g002
Figure 3. Visual representation of the HRF of the APSR-Exp distribution for various parameter settings.
Figure 3. Visual representation of the HRF of the APSR-Exp distribution for various parameter settings.
Symmetry 17 01118 g003
Figure 4. Visual summary of bias values for α and β as reported in Table 3.
Figure 4. Visual summary of bias values for α and β as reported in Table 3.
Symmetry 17 01118 g004
Figure 5. Visual summary of MSE values for α and β as reported in Table 3.
Figure 5. Visual summary of MSE values for α and β as reported in Table 3.
Symmetry 17 01118 g005
Figure 6. Visual summary of MRE values for α and β as reported in Table 3.
Figure 6. Visual summary of MRE values for α and β as reported in Table 3.
Symmetry 17 01118 g006
Figure 7. Visual summary of bias values for α and β as reported in Table 4.
Figure 7. Visual summary of bias values for α and β as reported in Table 4.
Symmetry 17 01118 g007
Figure 8. Visual summary of MSE values for α and β as reported in Table 4.
Figure 8. Visual summary of MSE values for α and β as reported in Table 4.
Symmetry 17 01118 g008
Figure 9. Visual summary of MRE values for α and β as reported in Table 4.
Figure 9. Visual summary of MRE values for α and β as reported in Table 4.
Symmetry 17 01118 g009
Figure 10. Visual summary of bias values for α and β as reported in Table 5.
Figure 10. Visual summary of bias values for α and β as reported in Table 5.
Symmetry 17 01118 g010
Figure 11. Visual summary of MSE values for α and β as reported in Table 5.
Figure 11. Visual summary of MSE values for α and β as reported in Table 5.
Symmetry 17 01118 g011
Figure 12. Visual summary of MRE values for α and β as reported in Table 5.
Figure 12. Visual summary of MRE values for α and β as reported in Table 5.
Symmetry 17 01118 g012
Figure 13. Visual summary of VaR, TVaR, TV and TVP values as reported in Table 7.
Figure 13. Visual summary of VaR, TVaR, TV and TVP values as reported in Table 7.
Symmetry 17 01118 g013
Figure 14. Visual summary of VaR, TVaR, TV and TVP values as reported in Table 8.
Figure 14. Visual summary of VaR, TVaR, TV and TVP values as reported in Table 8.
Symmetry 17 01118 g014
Figure 15. Histograms and fitted density plots of the APSR-Exp distribution for the (I) monthly tax revenue, (II) relief time and (III) infection time datasets.
Figure 15. Histograms and fitted density plots of the APSR-Exp distribution for the (I) monthly tax revenue, (II) relief time and (III) infection time datasets.
Symmetry 17 01118 g015
Figure 16. The empirical and fitted survival plots of the APSR-Exp distribution for the (I) monthly tax revenue, (II) relief time and (III) infection time datasets.
Figure 16. The empirical and fitted survival plots of the APSR-Exp distribution for the (I) monthly tax revenue, (II) relief time and (III) infection time datasets.
Symmetry 17 01118 g016
Figure 17. P-P plots of APSR-Exp distribution for (I) monthly tax revenue, (II) relief time and (III) infection time datasets.
Figure 17. P-P plots of APSR-Exp distribution for (I) monthly tax revenue, (II) relief time and (III) infection time datasets.
Symmetry 17 01118 g017
Figure 18. Q-Q plots for (I) monthly tax revenue, (II) relief time and (III) infection time datasets.
Figure 18. Q-Q plots for (I) monthly tax revenue, (II) relief time and (III) infection time datasets.
Symmetry 17 01118 g018
Figure 19. The scaled-TTT plots for the (I) monthly tax revenue, (II) relief time and (III) infection time datasets.
Figure 19. The scaled-TTT plots for the (I) monthly tax revenue, (II) relief time and (III) infection time datasets.
Symmetry 17 01118 g019
Table 1. Quantile estimates of the APSR-Exp model for specific parameter combinations ( α , β ) across selected probability levels.
Table 1. Quantile estimates of the APSR-Exp model for specific parameter combinations ( α , β ) across selected probability levels.
Parameter CombinationsQuantiles
0.1 0.2 0.3 0.4 0.5 0.6 0.7 0.8 0.9
α = 1.25 , β = 0.25 0.36700.51940.68010.87181.11641.44981.94362.77264.5486
α = 1.65 , β = 0.75 0.26240.36120.46370.58130.72500.91101.16951.56922.3329
α = 2.15 , β = 1.35 0.21260.28820.36450.44980.55110.67830.84901.10261.5645
α = 1.55 , β = 1.75 0.09960.13760.17740.22340.27980.35390.45800.62090.9376
Table 2. Descriptive summary of APSR-Exp model for various combinations of α and β .
Table 2. Descriptive summary of APSR-Exp model for various combinations of α and β .
α β μ 1 μ 2 μ 3 μ 4 VarianceSkewnessKurtosis
1.250.251.97916210.0896199.488341466.4896.1725233.59212322.83396
0.850.5821060.8728032.53125210.973950.533955
1.350.3665110.3460080.6318161.7246610.211677
1.950.2537380.1658380.2096460.3961870.101455
2.250.2199060.1245630.1364720.2235160.076204
1.650.253.23077720.41919215.59123247.1069.9812632.69953214.18260
0.850.9502281.7663665.48522324.298580.863431
1.350.5982920.7002461.3691463.8187520.342292
1.950.4142020.3356210.4543040.8772390.164057
2.250.3589750.2520890.2957350.4949100.123225
2.150.254.08442828.98168320.18724904.69712.299122.34955811.49995
0.851.2013022.5070658.14642736.702571.063938
1.350.7563760.9938852.0333995.7681580.421781
1.950.5236450.4763590.6747151.3250550.202155
2.250.4538250.3577980.4392140.7475530.151841
Table 3. Simulation results for bias, MSE and MRE of various estimation methods for α = 1.2 and β = 0.3 across multiple sample sizes.
Table 3. Simulation results for bias, MSE and MRE of various estimation methods for α = 1.2 and β = 0.3 across multiple sample sizes.
nEstimatePar. Δ 1 Δ 2 Δ 3 Δ 4 Δ 5 Δ 6 Δ 7 Δ 8
50Bias α 0.1428[2]0.2776[8]0.1058[1]0.1994[6]0.1568[3]0.1632[4]0.1699[5]0.2087[7]
β 0.1451[2]0.2397[8]0.1346[1]0.2091[7]0.1827[6]0.1776[5]0.1711[4]0.1707[3]
MSE α 0.0516[3]0.2779[8]0.0203[1]0.1131[6]0.0423[2]0.0694[4]0.0897[5]0.1613[7]
β 0.0461[2]0.1158[8]0.0284[1]0.0725[7]0.0519[4]0.0609[6]0.0536[5]0.0506[3]
MRE α 0.1190[2]0.2313[8]0.0881[1]0.1661[6]0.1307[3]0.1360[4]0.1415[5]0.1739[7]
β 0.4836[2]0.7990[8]0.4487[1]0.6971[7]0.6090[6]0.5921[5]0.5703[4]0.5689[3]
Ranks 13[2]48[8]6[1]39[7]24[3]28[4.5]28[4.5]30[6]
100Bias α 0.0980[4]0.1369[7]0.0956[2]0.1686[8]0.0991[5]0.0957[3]0.0835[1]0.1290[6]
β 0.1075[2]0.1584[7]0.1206[4]0.1899[8]0.1209[5]0.1109[3]0.0977[1]0.1233[6]
MSE α 0.0183[4]0.0370[7]0.0136[2]0.0599[8]0.0187[5]0.0168[3]0.0135[1]0.0331[6]
β 0.0196[2]0.0413[7]0.0210[4]0.0569[8]0.0257[6]0.0199[3]0.0157[1]0.0251[5]
MRE α 0.0817[4]0.1141[7]0.0797[2]0.1405[8]0.0826[5]0.0798[3]0.0695[1]0.1075[6]
β 0.3584[2]0.5282[7]0.4021[4]0.6331[8]0.4030[5]0.3696[3]0.3258[1]0.4111[6]
Ranks 18[3]42[7]18[3]48[8]31[5]18[3]6[1]35[6]
250Bias α 0.0493[2]0.0862[8]0.0504[3]0.0743[6]0.0680[4]0.0685[5]0.0480[1]0.0818[7]
β 0.0580[1]0.1053[8]0.0636[3]0.0926[7]0.0824[4]0.0843[5]0.0591[2]0.0855[6]
MSE α 0.0040[1]0.0137[8]0.0041[2]0.0087[5]0.0093[6]0.0078[4]0.0042[3]0.0097[7]
β 0.0055[1]0.0185[8]0.0065[3]0.0131[7]0.0120[6]0.0114[5]0.0060[2]0.0109[4]
MRE α 0.0411[2]0.0718[8]0.0420[3]0.0619[6]0.0566[4]0.0571[5]0.0400[1]0.0681[7]
β 0.1932[1]0.3508[8]0.2120[3]0.3087[7]0.2746[4]0.2811[5]0.1970[2]0.2850[6]
Ranks 8[1]48[8]17[3]38[7]28[4]29[5]11[2]37[6]
400Bias α 0.0409[2]0.0571[6]0.0360[1]0.0586[7]0.0481[4]0.0443[3]0.0506[5]0.0662[8]
β 0.0507[2]0.0706[7]0.0466[1]0.0733[8]0.0592[4]0.0552[3]0.0617[5]0.0652[6]
MSE α 0.0026[2]0.0052[6]0.0020[1]0.0056[7]0.0050[5]0.0031[3]0.0046[4]0.0064[8]
β 0.0039[2]0.0080[7]0.0032[1]0.0081[8]0.0066[5]0.0046[3]0.0067[6]0.0063[4]
MRE α 0.0341[2]0.0476[6]0.0300[1]0.0488[7]0.0401[4]0.0369[3]0.0422[5]0.0551[8]
β 0.1689[2]0.2352[7]0.1553[1]0.2443[8]0.1972[4]0.1841[3]0.2056[5]0.2175[6]
Ranks 12[2]39[6]6[1]45[8]26[4]18[3]30[5]40[7]
600Bias α 0.0325[3]0.0495[7]0.0290[1]0.0531[8]0.0344[4]0.0373[5]0.0331[2]0.0486[6]
β 0.0389[2]0.0615[7]0.0355[1]0.0662[8]0.0465[5]0.0458[4]0.0392[3]0.0469[6]
MSE α 0.0018[3]0.0041[7]0.0013[1]0.0044[8]0.0019[4]0.0021[5]0.0017[2]0.0038[6]
β 0.0026[3]0.0059[7]0.0019[1]0.0068[8]0.0033[5]0.0031[4]0.0022[2]0.0034[6]
MRE α 0.0271[2]0.0413[7]0.0241[1]0.0443[8]0.0287[4]0.0311[5]0.0276[3]0.0405[6]
β 0.1296[2]0.2051[7]0.1182[1]0.2208[8]0.1549[5]0.1526[4]0.1306[3]0.1564[6]
Ranks 15[2.5]42[7]6[1]48[8]27[4.5]27[4.5]15[2.5]36[6]
Table 4. Simulation results for bias, MSE, and MRE of various estimation methods for α = 1.7 and β = 1.3 across multiple sample sizes.
Table 4. Simulation results for bias, MSE, and MRE of various estimation methods for α = 1.7 and β = 1.3 across multiple sample sizes.
nEstimateParameter Δ 1 Δ 2 Δ 3 Δ 4 Δ 5 Δ 6 Δ 7 Δ 8
50Bias α 0.5160[6]0.5210[7]0.3659[1]0.5291[8]0.4180[2]0.4989[5]0.4254[3]0.4509[4]
β 0.4191[3]0.4480[7]0.4134[1]0.4538[8]0.4439[6]0.4212[4]0.4244[5]0.4151[2]
MSE α 0.7344[5]1.0970[8]0.3007[1]0.8438[7]0.5122[4]0.7735[6]0.4450[2]0.4851[3]
β 0.2801[3]0.3460[6]0.2773[2]0.3470[7]0.3674[8]0.3006[5]0.2937[4]0.2614[1]
MRE α 0.3035[6]0.3065[7]0.2153[1]0.3112[8]0.2459[2]0.2935[5]0.2502[3]0.2652[4]
β 0.3224[6]0.3446[7]0.3180[1]0.3491[8]0.3415[5]0.3240[3]0.3265[4]0.3193[2]
Ranks 29[6]42[7]7[1]46[8]27[4]28[5]21[3]16[2]
100Bias α 0.2628[3]0.3535[7]0.2387[1]0.3756[8]0.2461[2]0.2824[5]0.2735[4]0.3309[6]
β 0.2630[1]0.3543[8]0.2892[5]0.3485[7]0.2796[3]0.2654[2]0.2862[4]0.2959[6]
MSE α 0.1332[3]0.2271[6]0.0751[1]0.3378[8]0.1065[2]0.1687[5]0.1601[4]0.2272[7]
β 0.1110[1]0.1897[7]0.1180[4]0.2043[8]0.1169[3]0.1124[2]0.1288[5]0.1431[6]
MRE α 0.1546[3]0.2080[7]0.1404[1]0.2210[8]0.1448[2]0.1661[5]0.1609[4]0.1947[6]
β 0.2023[1]0.2725[8]0.2224[5]0.2681[7]0.2151[3]0.2041[2]0.2202[4]0.2276[6]
Ranks 12[1]43[7]17[3]46[8]15[2]21[4]25[5]37[6]
250Bias α 0.1267[1]0.2003[7]0.1422[2]0.2177[8]0.1515[4]0.1491[3]0.1931[5]0.1949[6]
β 0.1424[1]0.2245[7]0.1716[4]0.2363[8]0.1665[2]0.1680[3]0.1808[5]0.1939[6]
MSE α 0.0279[1]0.0713[7]0.0307[2]0.0878[8]0.0465[4]0.0346[3]0.0653[6]0.0556[5]
β 0.0326[1]0.0817[7]0.0460[3]0.0869[8]0.0501[4]0.0443[2]0.0543[5]0.0566[6]
MRE α 0.0745[1]0.1178[7]0.0837[2]0.1281[8]0.0891[4]0.0877[3]0.1136[5]0.1146[6]
β 0.1095[1]0.1727[7]0.1320[4]0.1817[8]0.1281[2]0.1293[3]0.1391[5]0.1492[6]
Ranks 6[1]42[7]17[2.5]48[8]20[4]17[2.5]31[5]35[6]
400Bias α 0.1078[1]0.1718[8]0.1089[2]0.1401[6]0.1195[3]0.1398[5]0.1342[4]0.1636[7]
β 0.1109[1]0.1930[8]0.1284[2]0.1472[5]0.1317[3]0.1511[7]0.1430[4]0.1481[6]
MSE α 0.0196[2]0.0457[8]0.0176[1]0.0329[5]0.0248[3]0.0364[6]0.0302[4]0.0406[7]
β 0.0198[1]0.0558[8]0.0246[2]0.0358[6]0.0280[3]0.0368[7]0.0309[4]0.0345[5]
MRE α 0.0634[1]0.1010[8]0.0641[2]0.0824[6]0.0703[3]0.0823[5]0.0789[4]0.0962[7]
β 0.0853[1]0.1485[8]0.0987[2]0.1132[5]0.1013[3]0.1162[7]0.1100[4]0.1139[6]
Ranks 7[1]48[8]11[2]33[5]18[3]37[6]24[4]38[7]
600Bias α 0.0943[2]0.1239[6]0.0873[1]0.1360[7]0.0957[3]0.1016[4]0.1035[5]0.1430[8]
β 0.0964[1]0.1400[7]0.0995[2]0.1487[8]0.1100[4]0.1161[5]0.1097[3]0.1241[6]
MSE α 0.0137[2]0.0276[6]0.0124[1]0.0321[8]0.0146[3]0.0190[5]0.0171[4]0.0292[7]
β 0.0144[1]0.0340[7]0.0166[2]0.0345[8]0.0183[3]0.0213[5]0.0190[4]0.0240[6]
MRE α 0.0554[2]0.0729[6]0.0514[1]0.0800[7]0.0563[3]0.0598[4]0.0609[5]0.0841[8]
β 0.0742[1]0.1077[7]0.0765[2]0.1144[8]0.0844[3]0.0893[5]0.0846[4]0.0955[6]
Ranks 9[1.5]39[6]9[1.5]46[8]19[3]28[5]25[4]41[7]
Table 5. Simulation results for bias, MSE, and MRE of various estimation methods for α = 1.5 and β = 1.5 across multiple sample sizes.
Table 5. Simulation results for bias, MSE, and MRE of various estimation methods for α = 1.5 and β = 1.5 across multiple sample sizes.
nEstimateParameter Δ 1 Δ 2 Δ 3 Δ 4 Δ 5 Δ 6 Δ 7 Δ 8
50Bias α 0.3418[6]0.5611[8]0.2833[3]0.3659[7]0.2631[2]0.2478[1]0.3415[5]0.3346[4]
β 0.5076[3]0.7622[8]0.4901[2]0.6581[7]0.5229[4]0.4788[1]0.5237[5]0.5395[6]
MSE α 0.2662[5]1.1234[8]0.2242[3]0.3647[7]0.1698[2]0.1149[1]0.3484[6]0.2456[4]
β 0.4631[6]1.0675[8]0.3958[2]0.7127[7]0.4242[3]0.3527[1]0.4436[4]0.4492[5]
MRE α 0.2279[6]0.3741[8]0.1888[3]0.2439[7]0.1754[2]0.1652[1]0.2277[5]0.2230[4]
β 0.3384[3]0.5081[8]0.3268[2]0.4387[7]0.3486[4]0.3192[1]0.3491[5]0.3597[6]
Ranks 29[4.5]48[8]15[2]42[7]17[3]6[1]30[6]29[4.5]
100Bias α 0.1694[2]0.2454[7]0.1649[1]0.2899[8]0.2147[5]0.1851[3]0.2129[4]0.2346[6]
β 0.3161[1]0.4839[7]0.3271[2]0.4885[8]0.4218[6]0.3533[3]0.3871[4]0.3963[5]
MSE α 0.0567[2]0.1121[7]0.0511[1]0.1953[8]0.0771[4]0.0784[5]0.0757[3]0.0918[6]
β 0.1599[1]0.3542[7]0.1682[2]0.4150[8]0.2607[6]0.2134[3]0.2283[4]0.2323[5]
MRE α 0.1129[2]0.1636[7]0.1099[1]0.1933[8]0.1432[5]0.1233[3]0.1419[4]0.1564[6]
β 0.2108[1]0.3226[7]0.2181[2]0.3256[8]0.2812[6]0.2355[3]0.2581[4]0.2642[5]
Ranks 9[1.5]42[7]9[1.5]48[8]32[5]20[3]23[4]33[6]
250Bias α 0.1131[2]0.1619[7]0.0939[1]0.1354[5]0.1301[4]0.1268[3]0.1404[6]0.1800[8]
β 0.2276[2]0.3249[8]0.1982[1]0.2674[6]0.2627[5]0.2465[4]0.2396[3]0.2871[7]
MSE α 0.0216[2]0.0459[7]0.0148[1]0.0262[3]0.0274[4]0.0278[5]0.0339[6]0.0465[8]
β 0.0838[2]0.1642[8]0.0643[1]0.1052[6]0.1036[5]0.0998[4]0.0894[3]0.1183[7]
MRE α 0.0754[2]0.1079[7]0.0626[1]0.0902[5]0.0868[4]0.0846[3]0.0936[6]0.1200[8]
β 0.1518[2]0.2166[8]0.1321[1]0.1783[6]0.1751[5]0.1643[4]0.1598[3]0.1914[7]
Ranks 12[2]45[7.5]6[1]31[6]27[4.5]23[3]27[4.5]45[7.5]
400Bias α 0.0753[1]0.1350[8]0.0764[2]0.1285[7]0.0881[3]0.1218[5]0.1112[4]0.1219[6]
β 0.1541[1]0.2583[8]0.1567[2]0.2389[7]0.1780[3]0.2046[6]0.2026[5]0.2013[4]
MSE α 0.0082[1]0.0413[8]0.0094[2]0.0249[7]0.0115[3]0.0149[4]0.0221[6]0.0206[5]
β 0.0346[1]0.1246[8]0.0427[2]0.0843[7]0.0437[3]0.0566[4]0.0670[6]0.0586[5]
MRE α 0.0502[1]0.0901[8]0.0509[2]0.0856[7]0.0588[3]0.0612[4]0.0741[5]0.0813[6]
β 0.1027[1]0.1722[8]0.1044[2]0.1593[7]0.1187[3]0.1228[4]0.1364[6]0.1342[5]
Ranks 6[1]48[8]12[2]42[7]18[3]27[4]32[6]31[5]
600Bias α 0.0610[2]0.0882[7]0.0583[1]0.0773[6]0.0715[4]0.0720[5]0.0698[3]0.0921[8]
β 0.1247[2]0.1841[8]0.1156[1]0.1577[7]0.1566[6]0.1484[4]0.1379[3]0.1532[5]
MSE α 0.0062[2]0.0134[8]0.0049[1]0.0092[6]0.0077[3]0.0081[4]0.0082[5]0.0126[7]
β 0.0260[2]0.0557[8]0.0213[1]0.0373[7]0.0345[6]0.0333[4]0.0301[3]0.0337[5]
MRE α 0.0407[2]0.0588[7]0.0388[1]0.0515[6]0.0477[4]0.0480[5]0.0465[3]0.0614[8]
β 0.0831[2]0.1227[8]0.0771[1]0.1051[7]0.1044[6]0.0989[4]0.0919[3]0.1022[5]
Ranks 12[2]46[8]6[1]39[7]29[5]26[4]20[3]38[6]
Table 6. Evaluation of partial and overall ranks for different estimation techniques across various parameter combinations and sample sizes.
Table 6. Evaluation of partial and overall ranks for different estimation techniques across various parameter combinations and sample sizes.
Parametern Δ 1 Δ 2 Δ 3 Δ 4 Δ 5 Δ 6 Δ 7 Δ 8
α = 1.2 , β = 0.3 50281734.54.56
10037385316
25018374526
40026184357
6002.57184.54.52.56
α = 1.7 , β = 1.3 5067184532
10017382456
250172.5842.556
40018253647
6001.561.583547
α = 1.5 , β = 1.5 504.58273164.5
1001.571.585346
25027.5164.534.57.5
40018273465
60028175436
∑ Ranks32109.526.51105757.559.588
Overall Rank27183456
Table 7. The numerical values of the risk metrics for the APSR-Exp and AP-Exp models for the parameter combination α = 1.50 and β = 2.75 .
Table 7. The numerical values of the risk metrics for the APSR-Exp and AP-Exp models for the parameter combination α = 1.50 and β = 2.75 .
ParametersModelSignificance LevelVaRTVaRTVTVP
α = 1.50 , β = 2.75 APSR-Exp0.600.212090.479070.099850.53898
0.650.240400.515240.103320.58240
0.700.274750.558290.107120.63327
0.750.317700.610870.111310.69436
0.800.373590.677510.115980.77029
0.850.450740.766730.121200.86975
0.900.568080.897750.127111.01215
0.950.786831.132190.133871.25937
AP-Exp0.600.379050.752720.140760.83717
0.650.430140.802530.140590.89391
0.700.488620.859840.140480.95817
0.750.557240.927420.140441.03275
0.800.640641.009910.140501.12232
0.850.747511.116030.140711.23563
0.900.897341.265330.141161.39237
0.951.152461.520310.142201.65540
Table 8. The numerical values of the risk metrics for the APSR-Exp and AP-Exp models for the parameter combination α = 1.25 and β = 1.75 .
Table 8. The numerical values of the risk metrics for the APSR-Exp and AP-Exp models for the parameter combination α = 1.25 and β = 1.75 .
ParametersModelSignificance LevelVaRTVaRTVTVP
α = 1.25 , β = 1.75 APSR-Exp0.600.207470.543810.195020.66082
0.650.238380.589720.205380.72322
0.700.276790.645200.217170.79722
0.750.326150.714170.230740.88722
0.800.392480.803330.246581.00060
0.850.487600.925480.265431.15110
0.900.639261.109890.288381.36943
0.950.939781.451350.317281.75276
AP-Exp0.600.379050.752720.140760.83717
0.650.430140.802530.140590.89391
0.700.488620.859840.140480.95817
0.750.557240.927420.140441.03275
0.800.640641.009910.140501.12232
0.850.747511.116030.140711.23563
0.900.897341.265330.141161.39237
0.951.152461.520310.142201.65540
Table 9. Descriptive measures for tax revenue, repair time and infection time datasets.
Table 9. Descriptive measures for tax revenue, repair time and infection time datasets.
DatasetCountMeanVarianceMedianMin.Max.RangeSkewnessKurtosis
Tax Renevue5913.48864.82710.6004.10039.20035.1001.5682.079
Repair Times463.60724.4451.7500.20024.50024.3002.7958.294
Infection Time2811.32054.9679.0002.50027.50025.0000.724−0.748
Table 10. The ML estimates of the parameter models for tax revenue, relief time and infection time datasets.
Table 10. The ML estimates of the parameter models for tax revenue, relief time and infection time datasets.
ModelTax RevenueRelief TimesInfection Time
α ^ β ^ λ ^ α ^ β ^ λ ^ α ^ β ^ λ ^
APSR-Exp35.85680.15405-1.115040.09114-3.448590.11674-
Exp-0.07414--0.27728--0.08832-
E-Exp0.178675.53039-0.269370.95828-0.153652.67870-
Wei1.8403715.3061-0.898583.39134-1.6380312.72058-
S-Exp-0.04236--0.15356--0.05001-
T-Exp-0.073660.01021-0.192020.67374-0.087790.01001
AP-Exp17.34670.19738-0.032420.10792-40.21870.17252-
NE-Exp5.039630.18916-0.812280.28599-2.435500.16488-
Table 11. GoF statistics for various models fitted for the tax revenue dataset.
Table 11. GoF statistics for various models fitted for the tax revenue dataset.
Model-AICCAICSICHQIC A * W * KSp-Value
APSR-Exp189.4823382.9645387.1789387.1196384.586567.580111.49080.10420.5432
Exp212.5068429.0136433.2279433.1687430.635639.07857.90210.30340.0038
E-Exp191.2235386.4471390.6614390.6021388.069070.810811.75090.11480.4180
Wei197.2905398.5811402.7954402.7361400.203161.689310.47380.14320.1779
S-Exp210.1566424.3133428.5275428.4683425.935240.70428.10190.28960.0012
T-Exp212.6012429.2025433.4168433.3575430.824439.00937.89360.30390.0168
AP-Exp192.9702389.9403394.1546394.0954391.562373.655811.95370.11980.3647
NE-Exp192.1895388.3791392.5934392.5342390.001071.183211.75380.12480.3168
Table 12. GoF statistics for various models fitted for relief time dataset.
Table 12. GoF statistics for various models fitted for relief time dataset.
Model-AICAICcSICHQIC A * W * KSp-Value
APSR-Exp99.5331203.0663207.3454206.7236204.43630.43320.07430.09860.7624
Exp105.0062214.0124218.2915217.6697215.38251.26290.21350.15970.1911
E-Exp104.9829213.9658218.2449217.6231215.33591.17350.19230.15190.2385
Wei104.4697212.9394217.2185216.5967214.30950.88780.12050.12040.5170
S-Exp106.0258218.0516220.3307223.5376220.10671.69710.30130.18240.0936
T-Exp103.4966210.9932215.2724214.6506212.36330.74660.10460.12330.4862
AP-Exp102.8323209.6645213.9436213.3218211.03460.61580.07020.12690.4495
NE-Exp106.2135216.4269220.7060220.0842217.797048.92058.23750.15730.2048
Table 13. GoF statistics for various models fitted for infection time dataset.
Table 13. GoF statistics for various models fitted for infection time dataset.
Model-AICCAICSICHQIC A * W * KSp-Value
APSR-Exp90.8077185.6154190.0954188.2798186.43010.40530.05190.11050.8835
Exp95.9475195.8950200.3750158.5595196.70961.67150.27140.19810.2216
E-Exp91.1118186.2235190.7035188.8879187.03810.36560.04420.11890.8239
Wei91.4560186.9121191.3921189.5765187.72660.44480.06070.12080.8089
S-Exp95.1108194.2217198.7017196.8861195.03621.39860.21870.18360.3021
T-Exp95.9827195.9653200.4453198.6297196.77981.68190.27330.19870.2191
AP-Exp91.9581187.9161192.3961190.5805188.73070.44060.05450.12550.7695
NE-Exp91.2508186.5017190.9817189.1061187.31620.40050.05070.12110.8063
Disclaimer/Publisher’s Note: The statements, opinions and data contained in all publications are solely those of the individual author(s) and contributor(s) and not of MDPI and/or the editor(s). MDPI and/or the editor(s) disclaim responsibility for any injury to people or property resulting from any ideas, methods, instructions or products referred to in the content.

Share and Cite

MDPI and ACS Style

Alnssyan, B.S.; Bhat, A.A.; Alsubie, A.; Ahmad, S.P.; Aldawsari, A.M.A.; Tolba, A.H. Advanced Lifetime Modeling Through APSR-X Family with Symmetry Considerations: Applications to Economic, Engineering and Medical Data. Symmetry 2025, 17, 1118. https://doi.org/10.3390/sym17071118

AMA Style

Alnssyan BS, Bhat AA, Alsubie A, Ahmad SP, Aldawsari AMA, Tolba AH. Advanced Lifetime Modeling Through APSR-X Family with Symmetry Considerations: Applications to Economic, Engineering and Medical Data. Symmetry. 2025; 17(7):1118. https://doi.org/10.3390/sym17071118

Chicago/Turabian Style

Alnssyan, Badr S., A. A. Bhat, Abdelaziz Alsubie, S. P. Ahmad, Abdulrahman M. A. Aldawsari, and Ahlam H. Tolba. 2025. "Advanced Lifetime Modeling Through APSR-X Family with Symmetry Considerations: Applications to Economic, Engineering and Medical Data" Symmetry 17, no. 7: 1118. https://doi.org/10.3390/sym17071118

APA Style

Alnssyan, B. S., Bhat, A. A., Alsubie, A., Ahmad, S. P., Aldawsari, A. M. A., & Tolba, A. H. (2025). Advanced Lifetime Modeling Through APSR-X Family with Symmetry Considerations: Applications to Economic, Engineering and Medical Data. Symmetry, 17(7), 1118. https://doi.org/10.3390/sym17071118

Note that from the first issue of 2016, this journal uses article numbers instead of page numbers. See further details here.

Article Metrics

Back to TopTop