A Wideband Circularly Polarized Filtering Dipole Antenna
Abstract
1. Introduction
2. Antenna Design
2.1. Antenna Configuration
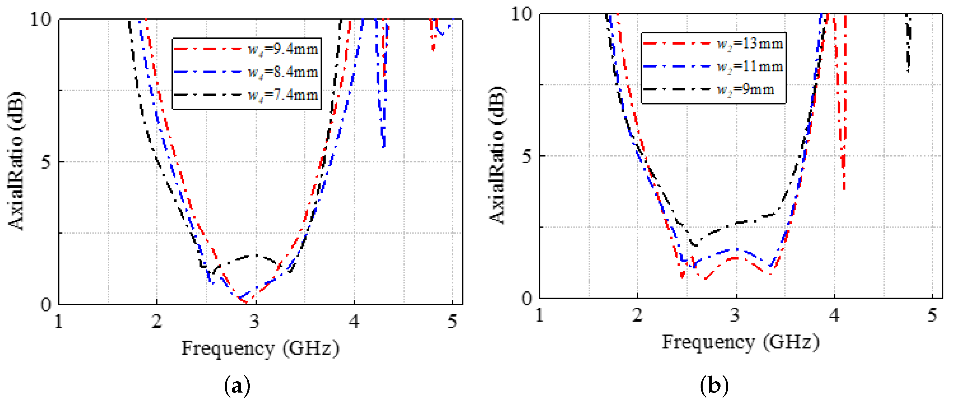
2.2. Step-by-Step Design Process
2.3. Analysis of Radiation Nulls
3. Antenna Implementation
4. Conclusions
Author Contributions
Funding
Data Availability Statement
Conflicts of Interest
References
- Zhao, Z.; Qiu, L.-F.; You, B.; Wu, L.-S.; Mao, J.-F. Three-Dimensional Integrated Circularly Polarized Filtering Antenna Array with High-Efficiency Hybrid Feeding Network. IEEE Trans. Antennas Propag. 2024, 8, 6348–6361. [Google Scholar] [CrossRef]
- Xu, H.; Liu, H.; Huang, T.; Liu, T.-Y. 3-D-Printed Dual-Band Circularly Polarized Filtering Antenna with Self-Diplexing Property for Millimeter-Wave Applications. IEEE Trans. Antennas Propag. 2024, 4, 3807–3812. [Google Scholar] [CrossRef]
- Huang, T.; Liu, H.; Xu, H.; Geng, L. Three-Dimensional Printed mm-Wave Circularly Polarized Filtering Antenna with Flexible Design and Spurious Suppression. IEEE Trans. Antennas Propag. 2023, 10, 8266–8271. [Google Scholar] [CrossRef]
- Hu, H.-T.; Chan, K.F.; Chan, C.H. 60 GHz Planar Circular-Polarized Filtering Antenna and Its Integrated Design with Folded Reflectarray. IEEE Trans. Antennas Propag. 2024, 12, 8958–8970. [Google Scholar] [CrossRef]
- Hu, Y.; Wu, Y.; Wang, G.; Wu, X. A Circularly Polarized, Highly Selective, Harmonic-Suppressed Filtering Antenna for 5G Application. IEEE Antennas Wirel. Propag. Lett. 2024, 12, 4308–4312. [Google Scholar] [CrossRef]
- Liu, S.; Wang, Z.; Dong, Y. A Compact Filtering Patch Antenna with High Suppression Level and Its CP Application. IEEE Antennas Wirel. Propag. Lett. 2023, 4, 769–773. [Google Scholar] [CrossRef]
- Paul, V.; Dhwaj, K. A Reflectionless Circularly Polarized High-Gain Microstrip Filtering Antenna with Wideband Response. IEEE Trans. Antennas Propag. 2024, 6, 5384–5389. [Google Scholar] [CrossRef]
- Li, J.-F.; Lin, Y.-Q.; Xue, Y.-M.; Ye, L.-H.; Mao, C.-X. A Shared-Aperture Linearly/Circularly Polarized Filtering Antenna Array with Low Profile. IEEE Antennas Wirel. Propag. Lett. 2024, 11, 3877–3881. [Google Scholar] [CrossRef]
- Xu, T.; Li, J.-F.; Ye, L.-H.; Wu, D.-L.; Zhang, G. A Wideband Circularly Polarized Filtering Patch Antenna with Strip Network. IEEE Antennas Wirel. Propag. Lett. 2023, 12, 2826–2830. [Google Scholar] [CrossRef]
- Cheng, G.; Huang, B.; Huang, Z.; Yang, L. A High-Gain Circularly Polarized Filtering Stacked Patch Antenna. IEEE Antennas Wirel. Propag. Lett. 2023, 5, 995–999. [Google Scholar] [CrossRef]
- Zhou, J.; Pan, X.; Cheng, G.; Yang, L.; Li, Y.; Huang, Z. A Wideband Circularly Polarized Filtering Antenna Based on Multilayer Structural Design. IEEE Antennas Wirel. Propag. Lett. 2024, 11, 3887–3891. [Google Scholar] [CrossRef]
- Wang, J.; Zhang, Y.; Ye, L.; Liu, Q.H. A Wideband Circularly Polarized Filtering Antenna Based on Slot-Patch Structure. IEEE Antennas Wirel. Propag. Lett. 2023, 11, 1858–1862. [Google Scholar] [CrossRef]
- Cheng, G.; Zhou, J.; Yang, L.; Wu, X.; Huang, Z. A Stacked Circularly Polarized Filtering Antenna with Crossed Slot. IEEE Antennas Wirel. Propag. Lett. 2023, 12, 2935–2939. [Google Scholar] [CrossRef]
- Xiao, Z.; Cao, Y.; Che, W.; Xue, Q. Millimeter-Wave Filtering Circularly Polarized Antenna Using Hybrid Radiation Modes for Satellite Applications. IEEE Trans. Antennas Propag. 2024, 10, 7584–7593. [Google Scholar] [CrossRef]
- Xiang, K.-R.; Chen, F.-C.; Xue, Q.; Chu, Q.-X. A High-Selectivity Circularly Polarized Filtering Antenna Based on Wavefront Phase Compensation. IEEE Antennas Wirel. Propag. Lett. 2024, 10, 3307–3311. [Google Scholar] [CrossRef]
- Cao, C.-F.; Li, E.S.; Jin, H.; Chen, D.; Chin, K.-S. Designs of Dual-Band Circularly-Polarized Filtering Antennas Using Multiple Resonant Modes. IEEE Access 2024, 121538–121551. [Google Scholar] [CrossRef]
- Jia, Q.; Zhang, W.; Han, X.; Huang, Y.; Ding, S.; Wang, B.; Bozzi, M. A Broadband Filtering Circularly Polarized Folded Transmitarray Antenna Based on Metasurface. IEEE Antennas Wirel. Propag. Lett. 2023, 10, 2357–2361. [Google Scholar] [CrossRef]
- Hu, H.-T.; Chan, K.F.; Chan, C.H. High-Gain Dual-Circular-Polarized Filtering Lens Antenna for Low-Cost 60 GHz Applications. IEEE Antennas Wirel. Propag. Lett. 2024, 2, 828–832. [Google Scholar] [CrossRef]
- Cahyasiwi, D.A.; Zulkifli, F.Y.; Rahardjo, E.T. Orthogonal Resonators for Circularly Polarized Filtering Antenna Using a Single Feedline. IEEE Trans. Microw. Theory Tech. 2023, 4227–4235. [Google Scholar] [CrossRef]
- Lin, X.J.; Zhang, Y.; Qiu, Z.L.; Huang, Z. A Compact Circularly Polarized Filtering Dipole Antenna with Co-Layered Printed Ring Structures. IEEE Antennas Wirel. Propag. Lett. 2024, 10, 3098–3102. [Google Scholar] [CrossRef]
- Feng, B.; Chen, J.; Chung, K.L.; Wang, L.; Li, Y. Dual-Polarized Filtering Magneto-Electric Dipole Antenna Arrays with High Radiation-Suppression Index for 5G New Radio n258 Operations. IEEE Trans. Antennas Propag. 2022, 3, 3058–3063. [Google Scholar] [CrossRef]














| Ref. | Size () | Filtering Method | Imp./AR. BW (%) | Ave Gain (dBic) | Sup. (dB) | GSI |
|---|---|---|---|---|---|---|
| [5] | 1.11 × 1 × 0.039 | Filtering phase shifter | 7.10/7.09 | 5.4 | 28.7/26.9 | 0.892 |
| [6] | 1.55 × 0.9 × 0.058 | Filtering phase shifter | 11.40/14.29 | 7.8 | 24.1/25.9 | 0.694 |
| [9] | 0.97 × 0.97 × 0.07 | Filtering phase shifter | 21.6/23.1 | 6.5 | 23/14 | 0.626 |
| [10] | 0.52 × 0.52 × 0.06 | Stacked patch + Slot | 15.2/8.2 | 7 | 26.8/28.2 | 0.73 |
| [11] | 0.51 × 0.51 × 0.26 | Stacked patch | 59.00/51.8 | 7 | 18/15.8 | 0.934 |
| [12] | 0.71 × 0.71 × 0.31 | Stacked patch + Slot | 58.3/46.9 | 7.6 | 13.6/10.1 | 0.855 |
| [13] | 0.59 × 0.47 × 0.1 | Stacked patch | 17.72/9.32 | 6.3 | 19/20 | 0.645 |
| [14] | 1.53 × 1.53 × 0.19 | Stacked patch + Slot | 15/16.4 | 13 | 14/16 | 0.821 |
| [19] | 0.7 × 0.7 × 0.024 | Stacked resonator | 4.7/3.2 | 5.5 | 31/31 | 0.804 |
| [20] | 0.8 × 0.8 × 0.17 | Ring structure + Slot | 25.8/13.20 | 7.2 | 26.2/36 | 0.744 |
| Pro. | 0.49 × 0.49× 0.16 | Patch + Dipole + Slot | 75/46.9 | 7 | 20/20 | 0.888 |
Disclaimer/Publisher’s Note: The statements, opinions and data contained in all publications are solely those of the individual author(s) and contributor(s) and not of MDPI and/or the editor(s). MDPI and/or the editor(s) disclaim responsibility for any injury to people or property resulting from any ideas, methods, instructions or products referred to in the content. |
© 2025 by the authors. Licensee MDPI, Basel, Switzerland. This article is an open access article distributed under the terms and conditions of the Creative Commons Attribution (CC BY) license (https://creativecommons.org/licenses/by/4.0/).
Share and Cite
Lin, X.; Huang, R.; Zeng, M.; Yan, A. A Wideband Circularly Polarized Filtering Dipole Antenna. Symmetry 2025, 17, 1047. https://doi.org/10.3390/sym17071047
Lin X, Huang R, Zeng M, Yan A. A Wideband Circularly Polarized Filtering Dipole Antenna. Symmetry. 2025; 17(7):1047. https://doi.org/10.3390/sym17071047
Chicago/Turabian StyleLin, Xianjing, Ruishan Huang, Miaowang Zeng, and An Yan. 2025. "A Wideband Circularly Polarized Filtering Dipole Antenna" Symmetry 17, no. 7: 1047. https://doi.org/10.3390/sym17071047
APA StyleLin, X., Huang, R., Zeng, M., & Yan, A. (2025). A Wideband Circularly Polarized Filtering Dipole Antenna. Symmetry, 17(7), 1047. https://doi.org/10.3390/sym17071047

