Abstract
Aiming at the state estimation problem of nonlinear systems (NLSs), the traditional typical nonlinear filtering methods (e.g., Particle Filter, PF) have large errors in system state, resulting in low accuracy and high computational speed. To perfect the imperfections, a new Bayesian estimation method based on particle flow velocity (PFV-BEM) is proposed in this paper. Firstly, a symmetrical projection space based on the state information is selected, the basis function is determined by a set of Fourier series with symmetric properties, the state update is carried out according to the projection principle to calculate the prior information of the state, and select its particle points. Secondly, the particle flow velocity is defined, which describes the evolution process of random samples from the prior distribution to the posterior distribution. The posterior information of the state is calculated by solving the parameters related to the particle flow velocity. Finally, the estimated mean and standard deviation of the state are solved. Simulation experiments are carried out based on two instances of one-dimensional general nonlinear examples and multi-target motion tracking, The newly proposed algorithm is compared with the Particle Filter (PF), and the simulation results clearly indicate the feasibility of this novel Bayesian estimation algorithm.
1. Introduction
In recent years, numerous mathematical models of engineering systems have exhibited strong nonlinear characteristics, which has rendered traditional Kalman Filter (KF) methods relying on linear assumptions ineffective when dealing with state estimation problems [1,2,3]. To address this challenge, academia has conducted in-depth research into nonlinear filtering techniques. Among these studies, the Extended Kalman Filter (EKF) emerged as an early solution, which linearizes nonlinear systems through Taylor series expansion and then applies the KF algorithm [4]. However, truncation errors introduced during the linearization process limit the accuracy of state estimation.
To overcome this limitation, Julier, Uhlmann, and others proposed the Unscented Kalman Filter (UKF) [5]. UKF avoids errors resulting from linearization by selecting a specific set of sample points to approximate nonlinear transformations, significantly improving the accuracy of state estimation.
Recently, Bayesian-based nonlinear filtering methods have become a research hotspot [6,7,8,9,10,11,12,13,14]. These methods are mainly divided into two categories: one approximates the state distribution in state space, with Particle Filter (PF) being one of the most representative algorithms [15]. PF represents the required posterior probability density through a weighted sum of random samples to estimate the state. Although PF theoretically approximates optimal Bayesian estimation, it still faces challenges in terms of estimation accuracy, implementation difficulty, and computational complexity in practical applications [16,17,18,19,20]. The other category directly approximates the state probability density function in function space. For example, the nonlinear projection filter algorithm proposed by Randal Beard and John Kenney addresses state estimation problems for low-dimensional nonlinear Gaussian systems [21,22,23]. Subsequently, scholars such as Zhao Yuxin proposed projection filter algorithms for one-dimensional nonlinear non-Gaussian systems, greatly reducing computational time complexity and memory usage [3].
It is worth noting that both EKF and UKF aim to solve for the second-order moments of the system state probability distribution, but the actual distribution of the system state may not be normal. Therefore, Bayesian estimation methods have advantages in non-Gaussian nonlinear systems, as they can directly solve for the system state probability density function, better capturing possible abrupt changes in the target state [16,17,18,19,20].
The literature [23] introduced a projection filtering method limited to low-dimensional state estimation problems. To overcome this limitation, this paper proposes a new Bayesian estimation method based on particle flow velocity (PFV-BEM) and extends it to nonlinear systems. Through numerical approximation solutions, simulation results demonstrate that this method not only relaxes the restrictive condition that system noise must be Gaussian but also outperforms PF algorithms in estimation accuracy and has lower computational complexity than general Particle Filters. Additionally, this method exhibits stable performance and has certain practical application value.
In summary, this paper presents the development of the Particle Filter-based variational Bayesian estimation method (PFV-BEM). Unlike traditional Bayesian estimation algorithms such as the standard Particle Filter (PF) [15] and other variants [2,3], PFV-BEM integrates the advantages of variational Bayesian inference into the particle filtering framework. This integration allows for a more accurate approximation of the posterior probability density function (PDF) of the system state, especially in complex nonlinear and non-Gaussian scenarios. By leveraging variational Bayesian techniques, PFV-BEM can dynamically adjust the importance of the density function, thereby improving the particle weights’ distribution and reducing the particle degeneracy problem. Moreover, the proposed algorithm demonstrates superior performance in terms of estimation accuracy and robustness when compared with traditional methods, as evidenced by the simulation results presented in this study.
This paper is organized as follows. In Section 2, a Bayesian estimation model in NLSs is given, and the Bayesian equation of the Bayesian estimation model is given. In Section 3, the (PFV-BEM) program is divided into two parts to solve the state solution: solving the prior probability for status update and using particle flow velocity for measurement update. In Section 4, two illustrative examples and their simulation results are given. Then, the conclusions of this paper are analyzed in detail in Section 5.
2. Bayesian Estimation Model
In nonlinear systems, the state estimation model consists of the state equation and measurement equation, formulated as follows [24]:
where denotes the state vector at time t, is the state transition matrix, represents the system noise driving matrix, is the standard Brownian motion, and represents measurement noise, respectively, with denoting the measurement vector, and being the measurement matrix. and are mutually independent and satisfy the following:
where is given as the system noise covariance matrix; represents the measurement noise covariance matrix.
According to a theorem in ref. [25], the probability density function (PDF) of the state equation satisfies the Fokker–Planck equation (FPE):
where is defined as prior probability density.
The likelihood probability density of the measurement equation is defined as follows:
In ref. [17], the state estimate solution of Bayesian estimation models needs to calculate the probability density function , which is defined as the posterior PDF of the Bayesian estimation model. the posterior PDF satisfies the Bayesian equation:
3. Bayesian Filter Estimator Design-Based Projection Flow Velocity
The Bayesian estimation method based on particle flow velocity (PFV-BEM) is a state estimation method that approximates the PDF of the state. First, the prior PDF of the state is calculated within the projection space. Second, the particle points of the prior PDF are obtained through calculating the particle flow velocity, and the particle information of the posterior PDF can be obtained. Finally, the estimated solution and estimated variance of the system state can be calculated. Therefore, PFV-BEM is an effective method for solving Bayesian estimation problems. The flowchart of the PFV-BEM algorithm is shown in Figure 1.
Figure 1.
Flowchart of the estimator based on PFV-BEM.
3.1. Solving the Prior Probability for State Updates
In n-dimensional state space, t = a symmetric projection space is given by , , initial time t = , and both the initial state and the initial distribution follows a normal distribution ~ are given.
The state vector of the state estimation model is given as , and the PDF can be denoted as . For , assume that the PDF of can be expressed in the following form in ref. [24]
where is a Fourier series with symmetric properties, it denotes an orthogonal basis function in the projection subspace, can be denoted as the coefficients of . In Equation (1), we define , and denotes the inner-product equation.
where denotes a complete set of basis functions for ., which could be denoted as the following form:
where coefficients is denoted as . These basis functions are given as follows:
where .
Simplify the above equation , , .
Simplify Equation (8), .
In ref. [24], the basic function is given. To solve the coefficient matrix , the PDF solution of must be solved.
Substitute Equation (7) into Equation (3), and Equation (3) can be rewritten as
Projecting Equation (9) onto the project space , Equation (9) can be rewritten as
If , , and are given in Equations (1) and (2). So Equation (11) can be rewritten as
Simplify Equation (12), we defined
Equation (12) can be rewritten as
where , is the element of matrix in Equation (14).
When , Equation (12) can be rewritten as
Equation (15) can be rewritten as
Set initial time , and the initial information and the initial coefficients of PDF can be obtained
Substitute Equation (19) into Equation (16), and can be obtained by
If , Equation (20) have the following simple solution
The priori coefficients can be obtained by
where are posterior coefficients of state at the time .
A priori PDF of state is given as
3.2. Using Particle Flow Velocity for Measurement Update
Randomly extract particle points based on the prior PDF at time . The posterior PDF of the state estimation model at time can be obtained by the Bayesian formula Equation (4). The homotopy function is expressed as
where is the conditional PDF, represents the prior PDF, and represents the likelihood PDF.
Taking the logarithm of the above equation yields:
In the equation, is the normalization constant independent of . Let λ change continuously from 0 to 1, and the homotopy function defines the probability distribution of the change from the prior distribution () to the posterior distribution (). The flow velocity of the state particle x during this process is described by the following differential equation.
The particle flow velocity satisfies FPE, which is the process noise. It can be obtained that
Simplify the above equation:
Substituting Equation (25) into Equation (28) yields the following:
Simplify the above equation
The particle flow velocity field can be obtained as follows:
The variance is
By using the velocity field calculation Equation (31), the numerical integration of the prior particles with the posterior particles can be obtained as follows:
The estimated value of the state can be denoted as
4. Illustrative Simulation Examples and Analysis
4.1. Example 1 and Analysis
For the first simulation example, in ref. [26] considered a scalar signal process is observed through a scalar measurement process , and the NLSs model is given as
where and are mutually independent, and the initial state is = 0, = 0.
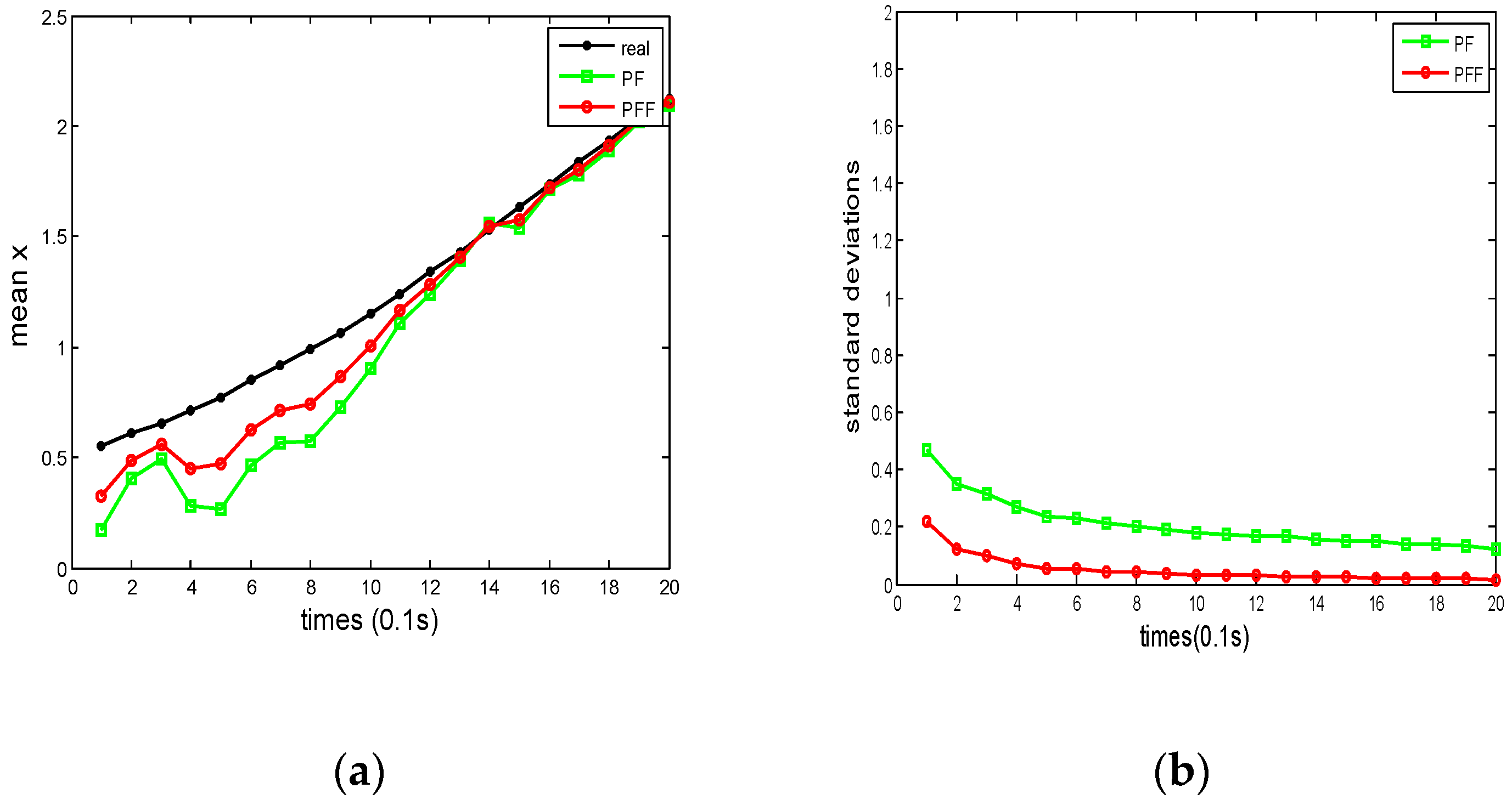
The simulation time is T = 2 s, and the number of particles is 1000. The estimated results are shown in Figure 2 and Figure 3. The priori PDF and posterior PDFs are plotted in Figure 2. The normalized density functions are plotted every other 0.1 s. The partial results have been shown in Figure 2, where the actual position information (represented by black stars), PF estimated position information (represented by green squares), and PFV-BEM estimated position information (represented by red circles) are all displayed in Figure 2. The approximate particle flow in the PDF of the state is shown through the four graphs in Figure 2. Figure 3 provides a comparison chart of the estimated mean and variance of the two algorithms, where the PF estimation error is represented by a green line and the PFV-BEM estimation error is marked by a red line.
Figure 2.
The comparison results of prior and posterior probability density functions under different time intervals, as well as the actual information and the estimation results obtained from the two filtering algorithms. The black asterisks represent the actual position information, the green squares denote the estimation results of the Particle Filter (PF) algorithm, and the red circles indicate the estimation results of the PFV−BEM filtering algorithm. (a) Display state estimation information result at t = 0.1 s, (b) display system state estimation information result at t = 1 s, (c) display system state estimation information result at t = 1.5 s, (d) display system state estimation information result at t = 2 s.
Figure 3.
The estimated mean and standard deviation of PF and PFV-BEM should be listed as (a) the first section contains the comparison results of estimation errors between the two algorithms; (b) the second section contains the comparison results of estimating mean square error using the two algorithms.
Figure 2a–d display partial estimation results of both particle filtering (PF) and the filtering algorithm proposed in this paper, along with the temporal evolution of particles. As illustrated in Figure 2, compared to the PF algorithm, the proposed algorithm demonstrates higher estimation accuracy, faster convergence, improved precision, and stable performance in system state estimation. The simulation results clearly indicate its capability to effectively track the system state. The feasibility of the proposed algorithm has been validated, suggesting that PFV-BEM is an effective Bayesian estimation method for addressing state estimation problems in one-dimensional nonlinear systems.
4.2. Example 2 and Analysis
The continuous time stochastic differential equation interpretation of the dynamic tracking model is given by refs. [27], which is described as follows:
The state vector is defined as
The measurement vector is defined as
The state estimation model is given as
The measurement model is denoted as
where are, respectively, described as process noise of the state equation and measurement noise of the measurement equation, and the covariance matrix, respectively, are and . The state transition matrix is given as
The number of targets is four, the time steps are 400 s, the filter sampling time interval is , the running time T = 400 s, and the number of particles is 2000.
For the trajectory tracking model of four targets, the state estimation results based on the Particle Filter (PF) and the Particle Filter-based variational Bayesian estimation method (PFV-BEM) are presented in Figure 4, Figure 5 and Figure 6. Figure 4 displays the state estimation results of the four targets based on PFV-BEM, including a comparison between the actual position information of the four targets and the position estimates obtained using the proposed algorithm, as well as a comparison between the actual velocity information of the targets and the velocity estimates derived from the PFV-BEM algorithm. Figure 5 shows a comparison of the position estimates of the four targets obtained using both the PF and PFV-BEM algorithms. Figure 5 also presents the velocity estimation results of the four targets based on PF and PFV-BEM. Additionally, Figure 6 illustrates the position and velocity error estimation results of the four targets tracked using the two algorithms. Here, the estimation errors of PF are represented by blue lines, while those of PFV-BEM are represented by orange lines.
Figure 4.
The state estimation results of 4 targets based on PFV-BEM.
Figure 5.
The position estimation and velocity estimation results of 4 targets based on PF and PFV-BEM.
Figure 6.
The position and velocity estimation error results of 4 targets based on PF and PFV-BEM.
Figure 4, Figure 5 and Figure 6 present partial experimental results obtained using the Particle Filter (PF) algorithm and the PFV-BEM algorithm. From Figure 4, it can be seen that the PFV-BEM algorithm can acquire the position and velocity tracking information of four targets. When compared with the actual information of the targets, it shows favorable tracking results. The experimental results indicate that the PFV-BEM algorithm can effectively track the changes in the system state, fully verifying the feasibility of the algorithm. Figure 5 displays the estimation results of the position and velocity information of the four targets, respectively. The experimental results show that, compared with the PF algorithm, the PFV-BEM method exhibits higher accuracy and can well address the state estimation problem in nonlinear systems. Figure 6 provides the error estimation results for tracking the four targets. The experimental results demonstrate that the PFV-BEM method has high estimation accuracy. Evidently, for high-dimensional nonlinear systems, the PFV-BEM algorithm functions as an effective Bayesian estimation method for tackling the state estimation problem.
5. Conclusions
This article validates the effectiveness of the PFV-BEM algorithm within Bayesian estimation methods. The core of this algorithm lies in the filter estimator’s ability to accurately calculate the prior and posterior probability density functions (PDFs) through Bayesian iteration. Subsequently, it estimates the mean and standard deviation of the system state. The article elaborates on the theoretical derivation in detail, primarily focusing on two aspects: obtaining prior PDFs through state updates and obtaining posterior PDFs through measurement updates.
Simulation experiments demonstrate that the PFV-BEM filter outperforms the particle filter (PF) method in terms of estimation accuracy. It exhibits significant advantages in processing sensor data from complex nonlinear systems, particularly in high-dimensional state estimation problems. Not only does it improve performance, but it also accelerates the computation speed and reduces computational complexity.
Although the algorithm provides high-precision approximate solutions through iterative processes over time, selecting appropriate iteration time intervals remains challenging. Moreover, the convergence and robustness of the algorithm require further investigation. Therefore, we are committed to exploring more robust Bayesian estimation methods. These unresolved issues will become the focus of our future research. Although the PFV-BEM method demonstrates higher accuracy, its computational efficiency in high-dimensional spaces still requires further exploration.
Author Contributions
Software, L.C.; Formal analysis, L.C.; Investigation, L.C.; Resources, Z.W.; Writing—original draft, J.T.; Funding acquisition, Z.W. All authors have read and agreed to the published version of the manuscript.
Funding
This work has been supported by the National Natural Science Foundation of China (grant number 52275266), and the Fundamental Research Funds for the Central Universities of China (grant number 410500078).
Data Availability Statement
No new data were generated during this study. All analyzed datasets are publicly available and cited appropriately.
Conflicts of Interest
The authors declared that they have no conflicts of interest in this work. We declare that we do not have any commercial or associative interest that represents a conflict of interest in connection with the work submitted.
References
- Shang, J.; Chen, T. Optimal stealthy integrity attacks on remote state estimation: The maximum utilization of historical data. Automatic 2021, 128, 109555. [Google Scholar] [CrossRef]
- Zhao, Y.; Chen, L.; Ma, Y. An FEM-based State Estimation Approach to Nonlinear Hybrid Positioning Systems. Math. Probl. Eng. 2013, 2013, 165–195. [Google Scholar] [CrossRef]
- Kalman, R.E. A New Approach to Linear Filtering and Prediction Problems. Trans. ASME J. Basic Eng. 1960, 82, 34–35. [Google Scholar] [CrossRef]
- Crassidis, J.L.; Markley, F.L.; Cheng, Y. Survey of Nonlinear Attitude Estimation Methods. J. Guid. Control Dyn. 2007, 30, 12–28. [Google Scholar] [CrossRef]
- Wang, C.; Chen, X.; Zhang, N.; Wang, J.; Jiao, Z.; Zhong, Y. Research on the Algorithm of Combined GNSS/SINS Navigation System based on Adaptive UKF. In Proceedings of the 2023 IEEE 6th International Conference on Electronic Information and Communication Technology (ICEICT), Qingdao, China, 21–24 July 2023; pp. 535–540. [Google Scholar]
- Javanfar, E.; Rahmani, M. Optimal Lp filtering for discrete-time non-Gaussian dynamic systems. IET Control Theory Appl. 2021, 15, 2111–2127. [Google Scholar] [CrossRef]
- Elliott, R.J.; Krishnamurthy, V. Finite dimensional filters for ML estimation of discrete-time Gauss-Markov models. In Proceedings of the 36th IEEE Conference on Decision and Control, Las Vegas, NV, USA, 10–13 December 2002; Volume 2, pp. 1637–1642. [Google Scholar]
- Wang, R.; Wang, X. A novel constrained skew-Gaussian filter and its application to maneuverable reentry vehicle tracking. Aerosp. Sci. Technol. 2024, 155, 109666. [Google Scholar] [CrossRef]
- Meng, H.; Li, X.R.; Jilkov, V.P. Discrete-time linear skew-Gaussian system and its recursive fixed-dimensional exact density filtering. Automatica 2024, 159, 111314. [Google Scholar] [CrossRef]
- Ann, C.B.; William, E.S. Bayesian Estimation of Multivariate Location Parameters. Handb. Stat. 2005, 25, 221–244. [Google Scholar]
- Nidhan, C.; Subhashis, G.; Anindy, R.; William, E.S. Bayesian Methods for Function Estimation. In Handbook of Statistics; Elsevier: Amsterdam, The Netherlands, 2005; Volume 25, pp. 373–414. [Google Scholar]
- Sachin, C.P.; Shankar, N.; Prakash, J.; Gopaluni, B.; Shah, S.L. Nonlinear Bayesian state estimation: A review of recent developments. Control Eng. Pract. 2012, 20, 933–953. [Google Scholar]
- Xu, H.; Wen, X.; Yuan, H.; Duan, K.; Liu, W.; Wang, Y. Fixed-point iteration gaussian sum filtering estimator whith unknown time varying non gaussian measurement noise. Signal Process. 2018, 153, 132–142. [Google Scholar] [CrossRef]
- Zhang, Y.; Wu, Z.; Li, N.; Chambers, J. A novel adaptive kalman filter with inaccurate process and measurement noise covariance matrices. IEEE Trans. Autom. Control 2018, 63, 594–601. [Google Scholar]
- Park, S.; Hwang, P.J.; Kim, E.; Kang, H.J. A new evolutionary particle filter for the prevention of sample impoverishment. IEEE Trans. Evol. Comput. 2009, 13, 801–809. [Google Scholar] [CrossRef]
- Dong, X.; Chisci, L.; Cai, Y. An adaptive variational Bayesian filter for nonlinear multi-sensor systems with unknown noise statistics. Signal Process. 2021, 179, 107837. [Google Scholar] [CrossRef]
- Javanfar, E.; Rahmani, M. Data-Based Filters for Non-Gaussian Dynamic Systems with Unknown Output Noise Covariance. IEEE/CAA J. Autom. Sin. 2024, 11, 866–877. [Google Scholar] [CrossRef]
- Qian, Y.; Shi, X.L.; Zeng, H.W.; Ahmad, M. Direct tracking of noncircular sources for multiple arrays via improved unscented particle filter method. Etri J. 2023, 45, 394–403. [Google Scholar] [CrossRef]
- Kotecha, J.H.; Djuric, P.M. Gaussian particle filtering. IEEE Trans. Signal Process. 2003, 51, 2592–2601. [Google Scholar] [CrossRef]
- Doucet, A.; de Freitas, O. Rao-Blackwellised particle filtering for dynamic bayesian networks. In Proceedings of the 16th Conference on Uncertainty in Artificial Intelligence, San Francisco, CA, USA, 30 June–3 July 2000; pp. 176–183. [Google Scholar]
- Beard, R.; Kenney, J.; Gunther, J.; Lawton, J.; Stirling, W. Nonlinear Projection filter based Guidance, Control and Nonlinear on galerkin approximation. J. Guid. Control Dyn. 1999, 22, 258–266. [Google Scholar] [CrossRef]
- Hosseiny, A.; Jaberipur, G. Complex exponential functions: A high-precision hardware realization. Integration 2020, 73, 18–29. [Google Scholar] [CrossRef]
- Hatamzadeh-Varmazyar, S.; Masouri, Z.; Babolian, E. Numerical method for solving arbitrary linear differential equations using a set of orthogonal basis functions and operational matrix. Appl. Math. Model. 2016, 40, 233–253. [Google Scholar] [CrossRef]
- Chen, L.; Zhang, Z.; Zhang, Y.; Xiong, X.; Fan, F.; Ma, S. Research on Projection Filtering Method Based on Projection Symmetric Interval and Its Application in Underwater Navigation. Symmetry 2021, 13, 1715. [Google Scholar] [CrossRef]
- Gardiner, C. The Fokker–Planck Equation. In Elements of Stochastic Methods; AIP Publishing LLC: Melville, NY, USA, 2021; pp. 8-1–8-12. [Google Scholar]
- Benes, V.E. Exact finite-dimensional filters for certain diffusions with nonlinear drift. Stochastics 1981, 5, 65–92. [Google Scholar] [CrossRef]
- Julier, S.J.; Uhlmann, J.K. Unscented filtering and nonlinear estimation. Proc. IEEE 2004, 92, 401–422. [Google Scholar] [CrossRef]
Disclaimer/Publisher’s Note: The statements, opinions and data contained in all publications are solely those of the individual author(s) and contributor(s) and not of MDPI and/or the editor(s). MDPI and/or the editor(s) disclaim responsibility for any injury to people or property resulting from any ideas, methods, instructions or products referred to in the content. |
© 2025 by the authors. Licensee MDPI, Basel, Switzerland. This article is an open access article distributed under the terms and conditions of the Creative Commons Attribution (CC BY) license (https://creativecommons.org/licenses/by/4.0/).





