Unbreakable SU(3) Atoms of Vacuum Energy: A Solution to the Cosmological Constant Problem
Abstract
1. Introduction
- A lattice–RG derivation showing that coarse-graining pure SU(3) over the Hubble volume enforces the rescaling of the Yang–Mills action;
- An explicit match between that rescaled vacuum energy and the finite Snyder–GUP integral, which predicts the minimal length m;
- A thermodynamic proof, using lattice entropy data, that only a gapped SU(3) vacuum is compatible with the third law at ;
- Three near-term experimental tests (optomechanical GUP search, glueball dark-matter window, redshift stability of ) that can falsify the framework.
2. Manifesting SU(3) Vacuum Atoms Through Symmetry Breaking
Coarse-Grained Lattice Derivation
3. A Solution for the Cosmological Constant Problem
- The size of the vacuum atoms expands with the universe, keeping N constant. Assuming the proton expands at the same rate as the universe, we use the Hubble constant . Given the proton’s radius , the rate of expansion is . Over 14 billion years (universe age), the proton’s radius increases by . This scenario preserves the vacuum energy density and the cosmological constant, aligning with general relativity.
4. Comparison with Existing Proposals
- String Landscape / Multiverse Models. The string landscape predicts distinct vacua, each with its own , and invokes an anthropic selection in a vast multiverse [32]. Unverified assumption: the existence of a multiverse and a landscape of compactifications. These models evade tuning but make no falsifiable prediction within our observable universe.
- Extra-Dimensional Scenarios. Large extra dimensions (ADD) [33] and warped geometries (Randall–Sundrum) [34] attempt to dilute vacuum energy into unseen spatial directions. Unverified assumption: new compactified or warped dimensions at submillimeter scales, never observed in laboratory tests of gravity. Although they offer geometric suppression of , no direct evidence for extra dimensions exists.
- Quantum Field Theory in Curved Spacetime. Renormalized vacuum expectation values of in curved backgrounds [35,36] yield a -term whose finite part depends on ad hoc subtraction schemes and choice of vacuum state. Unverified assumption: the correct physical vacuum in an expanding universe and the validity of zero-point subtraction at all scales. This framework is theoretically robust but lacks experimental guidance on the renormalization conditions for .
- Sequestering Mechanisms. Global constraints (Kaloper–Padilla) [37] introduce Lagrange multipliers to cancel off vacuum loops. Unverified assumption: the existence of new global degrees of freedom or non-local terms in the action. This is elegant in principle, but without a known QCD analogue or experimental signature.
- Supersymmetric Cancellations. Exact supersymmetry forces , but once broken at scale , one retains —still orders too large [38]. Unverified assumption: TeV-scale SUSY and its soft-breaking pattern, none of which have appeared at the LHC.
- Holographic Dark Energy Models. By relating to the IR horizon via the Cohen–Kaplan–Nelson bound [39], one obtains . Unverified assumption: the applicability of an IR/UV duality to cosmological horizons. These models predict a time-varying dark energy, in tension with observations of a nearly constant .
- (a)
- Makes no assumption of unobserved fields, extra dimensions, or multiverse selection;
- (b)
- Relies solely on experimentally verified QCD confinement (lattice results) and the Third Law of Thermodynamics;
- (c)
- Reproduces the observed exactly—without fine-tuning or ad hoc subtractions.
5. SU(3) Vacuum Atoms/Quantum Spacetime Correspondence
- Quantum Optical Platforms: Optomechanical interferometers constrain GUP parameters to [53].
- Precision Gravitational Tests: Torsion pendula and atomic interferometry experiments probe deviations from Newton’s law at micrometer scales [72].
- Cold Atom and BEC Interferometry: Matter-wave coherence experiments reach length scales down to m, providing direct tests of minimal length effects [58].
- Macroscopic Oscillators: Nanomechanical resonators and torsional oscillators place complementary bounds on [59].
5.1. Spacetime Uncertainty: The Cause of Quantum Spacetime
5.2. Cosmological Constant in Quantum Spacetime
5.3. Geometric Implications
5.4. SU(3) Vacuum Atoms and Third Law of Thermodynamics
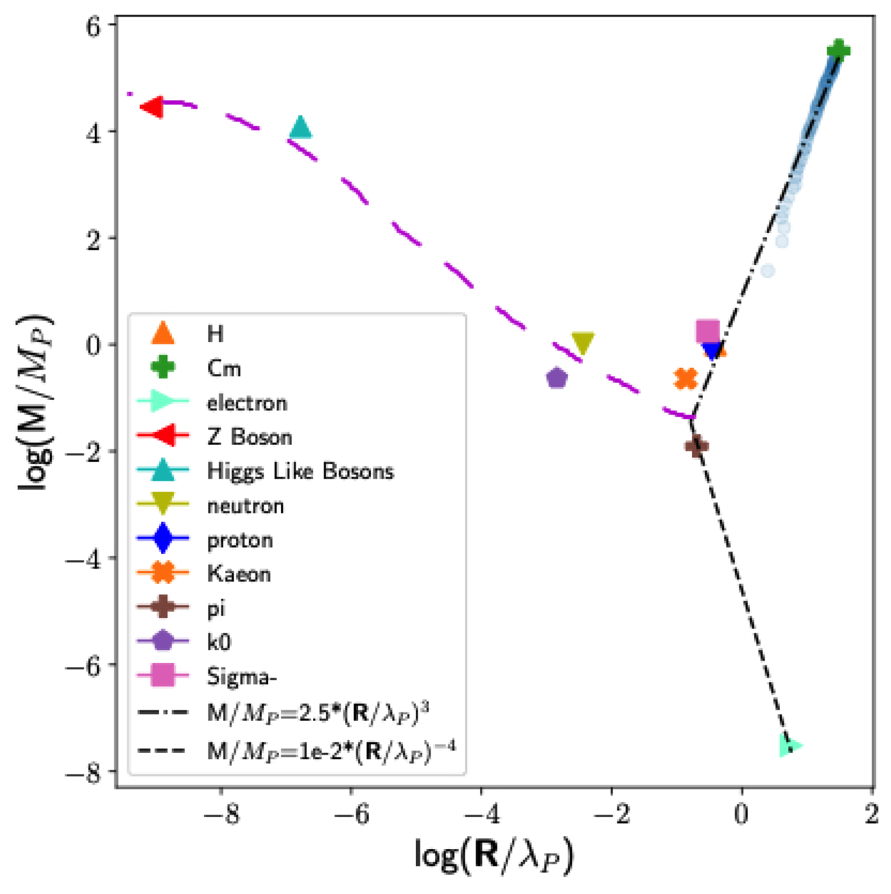
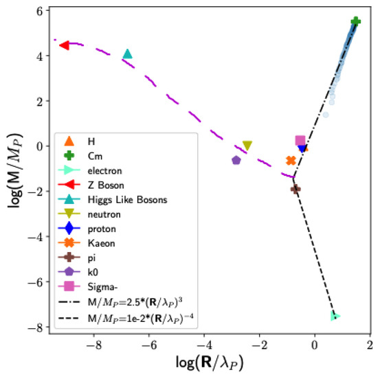
5.5. Phenomenological Implications
6. Testable Predictions
- Glueball Dark Matter in the 1–3 GeV Range. SU(3) vacuum atoms suggest weakly decaying glueball states [130]. Dedicated beam dump or fixed-target experiments (e.g., SHiP, GlueX) can search for these resonances.
- Redshift Independence of . If vacuum is tiled with fixed-volume units, remains constant. Comparing DESI [25] and Euclid’s late-time Hubble and growth measurements will test any small deviations.
7. Conclusions
- Vacuum coarse graining: blocking the SU(3) Wilson action to the cosmological scale produces a factor that naturally tames the QFT divergence;
- Gauge–gravity concordance: equating the blocked energy to the Snyder-regulated integral fixes the minimal length and relates to ;
- Thermodynamic confinement: lattice entropy data show that a gapless () vacuum would violate Nernst’s postulate;
- Phenomenology: the framework predicts m, a 1–3 GeV glueball DM candidate and a redshift-invariant .
Funding
Data Availability Statement
Acknowledgments
Conflicts of Interest
Appendix A. Snyder–GUP Regularization of the Vacuum Energy
References
- Glashow, S.L. Partial Symmetries of Weak Interactions. Nucl. Phys. 1961, 22, 579–588. [Google Scholar] [CrossRef]
- Weinberg, S. A Model of Leptons. Phys. Rev. Lett. 1967, 19, 1264–1266. [Google Scholar] [CrossRef]
- Salam, A. Weak and Electromagnetic Interactions. Conf. Proc. C 1968, 680519, 367–377. [Google Scholar] [CrossRef]
- Higgs, P.W. Broken Symmetries and the Masses of Gauge Bosons. Phys. Rev. Lett. 1964, 13, 508–509. [Google Scholar] [CrossRef]
- CMS Collaboration; Chatrchyan, S.; Khachatryan, V.; Sirunyan, A.M.; Tumasyan, A.; Adam, W.; Aguilo, E.; Bergauer, T.; Dragicevic, M.; Erö, J.; et al. Observation of a New Boson at a Mass of 125 GeV with the CMS Experiment at the LHC. Phys. Lett. B 2012, 716, 30–61. [Google Scholar] [CrossRef]
- Wolfenstein, L. Neutrino Oscillations in Matter. Phys. Rev. D 1978, 17, 2369–2374. [Google Scholar] [CrossRef]
- Mikheyev, S.P.; Smirnov, A.Y. Resonance Amplification of Oscillations in Matter and Spectroscopy of Solar Neutrinos. Sov. J. Nucl. Phys. 1985, 42, 913–917. [Google Scholar]
- Mohapatra, R.N.; Senjanovic, G. Neutrino Mass and Spontaneous Parity Nonconservation. Phys. Rev. Lett. 1980, 44, 912. [Google Scholar] [CrossRef]
- Altarelli, G.; Feruglio, F. Discrete Flavor Symmetries and Models of Neutrino Mixing. Rev. Mod. Phys. 2010, 82, 2701–2729. [Google Scholar] [CrossRef]
- Gell-Mann, M. A Schematic Model of Baryons and Mesons. Phys. Lett. 1964, 8, 214–215. [Google Scholar] [CrossRef]
- Feynman, R.P. Mathematical formulation of the quantum theory of electromagnetic interaction. Phys. Rev. 1950, 80, 440–457. [Google Scholar] [CrossRef]
- Meissner, W.; Ochsenfeld, R. Ein neuer Effekt bei Eintritt der Supraleitfähigkeit. Naturwissenschaften 1933, 21, 787–788. [Google Scholar] [CrossRef]
- Liang, S.-D.; Harko, T. Superconducting dark energy. Phys. Rev. D 2015, 91, 085042. [Google Scholar] [CrossRef]
- Inan, N.; Ali, A.F.; Jusufi, K.; Yasser, A. Graviton mass due to dark energy as a superconducting medium-theoretical and phenomenological aspects. JCAP 2024. [Google Scholar] [CrossRef]
- Callen, H.B. Thermodynamics and an Introduction to Thermostatistics; John Wiley& Sons: Hoboken, NJ, USA, 1980; Volume 2. [Google Scholar]
- Wilson, K.G. Confinement of quarks. Phys. Rev. D 1974, 10, 2445. [Google Scholar] [CrossRef]
- Bali, G.S. QCD forces and heavy quark bound states. Phys. Rep. 2001, 343, 1–136. [Google Scholar] [CrossRef]
- Snyder, H.S. Quantized space-time. Phys. Rev. 1947, 71, 38–41. [Google Scholar] [CrossRef]
- Particle Data Group Collaboration; Zyla, P.; Barnett, R.M.; Beringer, J.; Dahl, O.; Dwyer, D.A.; Groom, D.E.; Lin, C.J.; Lugovsky, K.S.; Pianori, E.; et al. Review of Particle Physics. Prog. Theor. Exp. Phys. 2020, 2020, 083C01. [Google Scholar] [CrossRef]
- Planck Collaboration; Aghanim, N.; Akrami, Y.; Ashdown, M.; Aumont, J.; Baccigalupi, C.; Ballardini, M.; Banday, A.J.; Barreiro, R.B.; Bartolo, N.; et al. Planck 2018 results. VI. Cosmological parameters. Astron. Astrophys. 2020, 641, A6, Erratum in Astron. Astrophys. 2021, 652, C4. [Google Scholar] [CrossRef]
- Bekenstein, J.D. Black holes and entropy. Phys. Rev. D 1973, 7, 2333–2346. [Google Scholar] [CrossRef]
- Ostriker, J.P.; Peebles, P.J.E.; Yahil, A. The size and mass of galaxies, and the mass of the universe. Astrophys. J. Lett. 1974, 193, L1–L4. [Google Scholar] [CrossRef]
- Einstein, A. The foundation of the general theory of relativity. Annalen Phys. 1916, 49, 769–822. [Google Scholar] [CrossRef]
- Weinberg, S. The Cosmological Constant Problem. Rev. Mod. Phys. 1989, 61, 1–23. [Google Scholar] [CrossRef]
- DESI Collaboration; Adame, A.G.; Aguilar, J.; Ahlen, S.; Alam, S.; Alexander, D.M.; Alvarez, M.; Alves, O.; Anand, A.; Andrade, U.; et al. DESI 2024 VI: Cosmological Constraints from the Measurements of Baryon Acoustic Oscillations. arXiv 2025, arXiv:2404.03002. [Google Scholar]
- DESI Collaboration; Adame, A.G.; Aguilar, J.; Ahlen, S.; Alam, S.; Alexander, D.M.; Alvarez, M.; Alves, O.; Anand, A.; Andrade, U.; et al. DESI 2024 III: Baryon Acoustic Oscillations from Galaxies and Quasars. arXiv 2025, arXiv:2404.03000. [Google Scholar]
- DESI Collaboration; Adame, A.G.; Aguilar, J.; Ahlen, S.; Alam, S.; Alexander, D.M.; Alvarez, M.; Alves, O.; Anand, A.; Andrade, U.; et al. DESI 2024 IV: Baryon Acoustic Oscillations from the Lyman Alpha Forest. arXiv 2025, arXiv:2404.03001. [Google Scholar]
- Solà Peracaula, J.; de Cruz Pérez, J.; Gómez-Valent, A. Dynamical dark energy vs. Λ = const in light of observations. Europhys. Lett. 2018, 121, 39001. [Google Scholar] [CrossRef]
- Jaffe, A.; Witten, E. Quantum yang-mills theory. Millenn. Prize. Probl. 2006, 1, 129. [Google Scholar]
- Boyd, G.; Engels, J.; Karsch, F.; Laermann, E.; Legeland, C.; Lütgemeier, M.; Petersson, B. Thermodynamics of SU(3) lattice gauge theory. Nucl. Phys. B 1996, 469, 419–444. [Google Scholar] [CrossRef]
- Borsanyi, S.; Fodor, Z.; Katz, S.D.; Krieg, S.; Ratti, C.; Szabo, K. Fluctuations of conserved charges at finite temperature from lattice QCD. J. High Energy Phys. 2012, 2012, 138. [Google Scholar] [CrossRef]
- Susskind, L. The Anthropic landscape of string theory. arXiv 2003, arXiv:hep-th/0302219. [Google Scholar]
- Arkani-Hamed, N.; Dimopoulos, S.; Dvali, G.R. The Hierarchy problem and new dimensions at a millimeter. Phys. Lett. B 1998, 429, 263–272. [Google Scholar] [CrossRef]
- Randall, L.; Sundrum, R. A Large mass hierarchy from a small extra dimension. Phys. Rev. Lett. 1999, 83, 3370–3373. [Google Scholar] [CrossRef]
- Birrell, N.D.; Davies, P.C.W. Quantum Fields in Curved Space; Cambridge Monographs on Mathematical Physics; Cambridge University Press: Cambridge, UK, 1982. [Google Scholar] [CrossRef]
- Parker, L.E.; Toms, D. Quantum Field Theory in Curved Spacetime: Quantized Field and Gravity; Cambridge Monographs on Mathematical Physics; Cambridge University Press: Cambridge, UK, 2009; Volume 8. [Google Scholar] [CrossRef]
- Kaloper, N.; Padilla, A. Sequestering the Standard Model Vacuum Energy. Phys. Rev. Lett. 2014, 112, 091304. [Google Scholar] [CrossRef] [PubMed]
- Girardello, L.; Grisaru, M.T. Soft Breaking of Supersymmetry. Nucl. Phys. B 1982, 194, 65. [Google Scholar] [CrossRef]
- Cohen, A.G.; Kaplan, D.B.; Nelson, A.E. Effective field theory, black holes, and the cosmological constant. Phys. Rev. Lett. 1999, 82, 4971–4974. [Google Scholar] [CrossRef]
- Heisenberg, W. Letter of Heisenberg to Peierls (1930); Springer: Berlin/Heidelberg, Germany, 1985. [Google Scholar]
- Connes, A. Non-commutative differential geometry. Publ. Math. l’IHES 1985, 62, 41–144. [Google Scholar] [CrossRef]
- Woronowicz, S.L. Compact matrix pseudogroups. Commun. Math. Phys. 1987, 111, 613–665. [Google Scholar] [CrossRef]
- Connes, A.; Douglas, M.R.; Schwarz, A.S. Noncommutative geometry and matrix theory: Compactification on tori. J. High Energy Phys. 1998, 02, 003. [Google Scholar] [CrossRef]
- Seiberg, N.; Witten, E. String theory and noncommutative geometry. J. High Energy Phys. 1999, 9, 032. [Google Scholar] [CrossRef]
- Douglas, M.R.; Nekrasov, N.A. Noncommutative field theory. Rev. Mod. Phys. 2001, 73, 977–1029. [Google Scholar] [CrossRef]
- Szabo, R.J. Quantum field theory on noncommutative spaces. Phys. Rep. 2003, 378, 207–299. [Google Scholar] [CrossRef]
- Amati, D.; Ciafaloni, M.; Veneziano, G. Can Space-Time Be Probed Below the String Size? Phys. Lett. B 1989, 216, 41–47. [Google Scholar] [CrossRef]
- Garay, L.J. Quantum gravity and minimum length. Int. J. Mod. Phys. A 1995, 10, 145–166. [Google Scholar] [CrossRef]
- Scardigli, F. Generalized uncertainty principle in quantum gravity from micro-black hole Gedanken experiment. Phys. Lett. B 1999, 452, 39–44. [Google Scholar] [CrossRef]
- Maggiore, M. A Generalized uncertainty principle in quantum gravity. Phys. Lett. B 1993, 304, 65–69. [Google Scholar] [CrossRef]
- Capozziello, S.; Lambiase, G.; Scarpetta, G. Generalized uncertainty principle from quantum geometry. Int. J. Theor. Phys. 2000, 39, 15–22. [Google Scholar] [CrossRef]
- Das, S.; Vagenas, E.C. Universality of Quantum Gravity Corrections. Phys. Rev. Lett. 2008, 101, 221301. [Google Scholar] [CrossRef] [PubMed]
- Pikovski, I.; Vanner, M.R.; Aspelmeyer, M.; Kim, M.S.; Brukner, Č. Probing Planck-scale physics with quantum optics. Nat. Phys. 2012, 8, 393–397. [Google Scholar] [CrossRef]
- Marin, F.; Marino, F.; Bonaldi, M.; Cerdonio, M.; Conti, L.; Falferi, P.; Mezzena, R.; Ortolan, A.; Prodi, G.A.; Taffarello, L.; et al. Gravitational bar detectors set limits to Planck-scale physics on macroscopic variables. Nat. Phys. 2013, 9, 71–73. [Google Scholar] [CrossRef]
- Petruzziello, L.; Illuminati, F. Quantum gravitational decoherence from fluctuating minimal length and deformation parameter at the Planck scale. Nat. Commun. 2021, 12, 4449. [Google Scholar] [CrossRef]
- Kumar, S.P.; Plenio, M.B. On Quantum Gravity Tests with Composite Particles. Nat. Commun. 2020, 11, 3900. [Google Scholar] [CrossRef]
- Moradpour, H.; Ziaie, A.H.; Ghaffari, S.; Feleppa, F. The generalized and extended uncertainty principles and their implications on the Jeans mass. Mon. Not. Roy. Astron. Soc. 2019, 488, L69–L74. [Google Scholar] [CrossRef]
- Gao, D.; Zhan, M. Constraining the generalized uncertainty principle with cold atoms. Phys. Rev. A 2016, 94, 013607. [Google Scholar] [CrossRef]
- Bawaj, M.; Biancofiore, C.; Bonaldi, M.; Bonfigli, F.; Borrielli, A.; Di Giuseppe, G.; Marconi, L.; Marino, F.; Natali, R.; Pontin, A.; et al. Probing deformed commutators with macroscopic harmonic oscillators. Nat. Commun. 2015, 6, 7503. [Google Scholar] [CrossRef]
- Easther, R.; Greene, B.R.; Kinney, W.H.; Shiu, G. Imprints of short distance physics on inflationary cosmology. Phys. Rev. D 2003, 67, 063508. [Google Scholar] [CrossRef]
- Kober, M. Gauge Theories under Incorporation of a Generalized Uncertainty Principle. Phys. Rev. D 2010, 82, 085017. [Google Scholar] [CrossRef]
- Hossenfelder, S. Minimal Length Scale Scenarios for Quantum Gravity. Living Rev. Rel. 2013, 16, 2. [Google Scholar] [CrossRef]
- Mead, C.A. Possible Connection Between Gravitation and Fundamental Length. Phys. Rev. 1964, 135, B849–B862. [Google Scholar] [CrossRef]
- Adler, R.J.; Chen, P.; Santiago, D.I. The Generalized uncertainty principle and black hole remnants. Gen. Rel. Grav. 2001, 33, 2101–2108. [Google Scholar] [CrossRef]
- Kempf, A.; Mangano, G.; Mann, R.B. Hilbert space representation of the minimal length uncertainty relation. Phys. Rev. D 1995, 52, 1108–1118. [Google Scholar] [CrossRef]
- Konishi, K.; Paffuti, G.; Provero, P. Minimum Physical Length and the Generalized Uncertainty Principle in String Theory. Phys. Lett. B 1990, 234, 276–284. [Google Scholar] [CrossRef]
- Brau, F. Minimal length uncertainty relation and hydrogen atom. J. Phys. A 1999, 32, 7691–7696. [Google Scholar] [CrossRef]
- Ali, A.F.; Das, S.; Vagenas, E.C. Discreteness of Space from the Generalized Uncertainty Principle. Phys. Lett. B 2009, 678, 497–499. [Google Scholar] [CrossRef]
- Ali, A.F.; Das, S.; Vagenas, E.C. A proposal for testing Quantum Gravity in the lab. Phys. Rev. D 2011, 84, 044013. [Google Scholar] [CrossRef]
- Mignemi, S. Extended uncertainty principle and the geometry of (anti)-de Sitter space. Mod. Phys. Lett. A 2010, 25, 1697–1703. [Google Scholar] [CrossRef]
- El-Refy, O.; Masood, S.; Wang, L.-G.; Ali, A.F. Rainbow spacetime from a nonlocal gravitational uncertainty principle. Europhys. Lett. 2020, 132, 10006. [Google Scholar] [CrossRef]
- Scardigli, F.; Casadio, R. Gravitational tests of the Generalized Uncertainty Principle. Eur. Phys. J. C 2015, 75, 425. [Google Scholar] [CrossRef]
- Feng, Z.-W.; Yang, S.-Z.; Li, H.-L.; Zu, X.-T. Constraining the generalized uncertainty principle with the gravitational wave event GW150914. Phys. Lett. B 2017, 768, 81–85. [Google Scholar] [CrossRef]
- Moussa, M.; Shababi, H.; Farag Ali, A. Generalized uncertainty principle and stochastic gravitational wave background spectrum. Phys. Lett. B 2021, 814, 136071. [Google Scholar] [CrossRef]
- Luciano, G.G.; Sekhmani, Y. Generalized uncertainty principle mimicking dynamical dark energy: Matter perturbations and gravitational wave data analysis. Phys. Lett. B 2025, 862, 139315. [Google Scholar] [CrossRef]
- Vagnozzi, S.; Roy, R.; Tsai, Y.-D.; Visinelli, L. Horizon-scale tests of gravity theories and fundamental physics from the Event Horizon Telescope image of Sagittarius A. arXiv 2022, arXiv:2205.07787. [Google Scholar] [CrossRef]
- Ettefaghi, M.M. Neutrino oscillation with minimal length uncertainty relation via wave packet approach. Phys. Lett. B 2024, 854, 138761. [Google Scholar] [CrossRef]
- Ashoorioon, A.; Kempf, A.; Mann, R.B. Minimum length cutoff in inflation and uniqueness of the action. Phys. Rev. D 2005, 71, 023503. [Google Scholar] [CrossRef]
- Addazi, A.; Alvarez-Muniz, J.; Batista, R.A.; Amelino-Camelia, G.; Antonelli, V.; Arzano, M.; Asorey, M.; Atteia, J.L.; Bahamonde, S.; Bajardi, F.; et al. Quantum gravity phenomenology at the dawn of the multi-messenger era—A review. Prog. Part. Nucl. Phys. 2021, 125, 103948. [Google Scholar]
- Mignemi, S. Progress in Snyder model. In Proceedings of the CORFU2019, Corfù, Greece, 31 August–25 September 2020; p. 226. [Google Scholar] [CrossRef]
- Battisti, M.V.; Meljanac, S. Modification of Heisenberg uncertainty relations in noncommutative Snyder space-time geometry. Phys. Rev. D 2009, 79, 067505. [Google Scholar] [CrossRef]
- Battisti, M.V.; Meljanac, S. Scalar Field Theory on Non-commutative Snyder Space-Time. Phys. Rev. D 2010, 82, 024028. [Google Scholar] [CrossRef]
- Maggiore, M. Quantum groups, gravity and the generalized uncertainty principle. Phys. Rev. D 1994, 49, 5182–5187. [Google Scholar] [CrossRef]
- Kempf, A.; Mangano, G. Minimal length uncertainty relation and ultraviolet regularization. Phys. Rev. D 1997, 55, 7909–7920. [Google Scholar] [CrossRef]
- O’Connell, A.D.; Hofheinz, M.; Ansmann, M.; Bialczak, R.C.; Lenander, M.; Lucero, E.; Neeley, M.; Sank, D.; Wang, H.; Weides, M.; et al. Quantum ground state and single-phonon control of a mechanical resonator. Nature 2010, 464, 697–703. [Google Scholar] [CrossRef]
- Andrews, M.; Townsend, C.; Miesner, H.-J.; Durfee, D.; Kurn, D.; Ketterle, W. Observation of interference between two Bose condensates. Science 1997, 275, 637–641. [Google Scholar] [CrossRef]
- Lee, J.G.; Adelberger, E.G.; Cook, T.S.; Fleischer, S.M.; Heckel, B.R. New Test of the Gravitational 1/r2 Law at Separations down to 52 μm. Phys. Rev. Lett. 2020, 124, 101101. [Google Scholar] [CrossRef]
- Adler, R.J. Six easy roads to the Planck scale. Am. J. Phys. 2010, 78, 925–932. [Google Scholar] [CrossRef]
- Regge, T. Gravitational fields and quantum mechanics. Nuovo Cim. 1958, 7, 215–221. [Google Scholar] [CrossRef]
- Ng, Y.J.; van Dam, H. Measuring the foaminess of space-time with gravity—Wave interferometers. Found. Phys. 2000, 30, 795–805. [Google Scholar] [CrossRef]
- Ng, Y.J.; van Dam, H. Limitation to quantum measurements of space-time distances. Annals N. Y. Acad. Sci. 1995, 755, 579–584. [Google Scholar] [CrossRef]
- Christiansen, W.A.; Ng, Y.J.; Floyd, D.J.E.; Perlman, E.S. Limits on Spacetime Foam. Phys. Rev. D 2011, 83, 084003. [Google Scholar] [CrossRef]
- Vilkovisky, G.A. Effective action in quantum gravity. Class. Quant. Grav. 1992, 9, 895–903. [Google Scholar] [CrossRef]
- DeWitt, B.S. Gravity: A universal regulator? Phys. Rev. Lett. 1964, 13, 114. [Google Scholar] [CrossRef]
- Mead, C.A. Observable consequences of fundamental-length hypotheses. Phys. Rev. 1966, 143, 990. [Google Scholar] [CrossRef]
- Garay, L.J. Quantum evolution in space–time foam. Int. J. Mod. Phys. A 1999, 14, 4079–4120. [Google Scholar] [CrossRef]
- Feynman, R.P. Space-time approach to nonrelativistic quantum mechanics. Rev. Mod. Phys. 1948, 20, 367–387. [Google Scholar] [CrossRef]
- Gorji, M.A.; Nozari, K.; Vakili, B. Spacetime singularity resolution in Snyder noncommutative space. Phys. Rev. D 2014, 89, 084072. [Google Scholar] [CrossRef]
- Ivetić, B. Diffeomorphisms of the energy-momentum space: Perturbative QED. Nucl. Phys. B 2024, 1007, 116692. [Google Scholar] [CrossRef]
- Girelli, F.; Livine, E.R. Scalar field theory in Snyder space-time: Alternatives. J. High Energy Phys. 2011, 2011, 132. [Google Scholar] [CrossRef]
- Bahns, D.; Doplicher, S.; Fredenhagen, K.; Piacitelli, G. Ultraviolet finite quantum field theory on quantum space-time. Commun. Math. Phys. 2003, 237, 221–241. [Google Scholar] [CrossRef]
- Bosso, P.; Das, S.; Todorinov, V. Quantum field theory with the generalized uncertainty principle I: Scalar electrodynamics. Ann. Phys. 2020, 422, 168319. [Google Scholar] [CrossRef]
- Bosso, P.; Das, S.; Todorinov, V. Quantum field theory with the generalized uncertainty principle II: Quantum Electrodynamics. Ann. Phys. 2021, 424, 168350. [Google Scholar] [CrossRef]
- Meljanac, S.; Mignemi, S.; Trampetic, J.; You, J. Nonassociative Snyder ϕ4 Quantum Field Theory. Phys. Rev. D 2017, 96, 045021. [Google Scholar] [CrossRef]
- Chang, L.N.; Minic, D.; Okamura, N.; Takeuchi, T. The Effect of the minimal length uncertainty relation on the density of states and the cosmological constant problem. Phys. Rev. D 2002, 65, 125028. [Google Scholar] [CrossRef]
- Chang, L.N.; Lewis, Z.; Minic, D.; Takeuchi, T. On the Minimal Length Uncertainty Relation and the Foundations of String Theory. Adv. High Energy Phys. 2011, 2011, 493514. [Google Scholar] [CrossRef]
- Wheeler, J.A. Geons. Phys. Rev. 1955, 97, 511–536. [Google Scholar] [CrossRef]
- Wheeler, J.A. On the Nature of quantum geometrodynamics. Ann. Phys. 1957, 2, 604–614. [Google Scholar] [CrossRef]
- Hawking, S.W. Space-Time Foam. Nucl. Phys. B 1978, 144, 349–362. [Google Scholar] [CrossRef]
- Carlip, S. Spacetime foam: A review. arXiv 2022, arXiv:2209.14282. [Google Scholar] [CrossRef]
- Ali, A.F.; Inan, N. Unraveling the mystery of the cosmological constant: Does spacetime uncertainty hold the key?(a). Europhys. Lett. 2023, 143, 49001. [Google Scholar] [CrossRef]
- Freidel, L.; Kowalski-Glikman, J.; Leigh, R.G.; Minic, D. Vacuum energy density and gravitational entropy. Phys. Rev. D 2023, 107, 126016. [Google Scholar] [CrossRef]
- Zel’dovich, Y.B.; Krasinski, A.; Zeldovich, Y.B. The Cosmological constant and the theory of elementary particles. Sov. Phys. Usp. 1968, 11, 381–393. [Google Scholar] [CrossRef]
- Tello, P.G.; Succi, S.; Bini, D.; Kauffman, S. From quantum foam to graviton condensation: The Zel’dovich route. Europhys. Lett. 2023, 143, 39002. [Google Scholar] [CrossRef]
- Weisskopf, V.F. The formation of cooper pairs and the nature of superconducting currents. Contemp. Phys. 1981, 22, 375–395. [Google Scholar] [CrossRef]
- Ali, A.F. The Mass Gap of the Spacetime and Its Shape. Fortsch. Phys. 2024, 2024, 2200210. [Google Scholar] [CrossRef]
- Liu, T.-P.; Pu, J.; Han, Y.; Jiang, Q.-Q. A possible thermodynamic origin of the spacetime minimum length. Int. J. Mod. Phys. D 2020, 29, 2043022. [Google Scholar] [CrossRef]
- Ali, A.F.; Elmashad, I.; Mureika, J. Universality of minimal length. Phys. Lett. B 2022, 831, 137182. [Google Scholar] [CrossRef]
- Ali, A.F.; Mureika, J.; Vagenas, E.C.; Elmashad, I. Theoretical and observational implications of Planck’s constant as a running fine structure constant. Int. J. Mod. Phys. D 2024, 33, 2450036. [Google Scholar] [CrossRef]
- Bhalerao, R.S. Relativistic Heavy-Ion Collisions. In Proceedings of the 1st Asia-Europe-Pacific School of High-Energy Physics, Fukuoka, Japan, 14–27 October 2012; Updated in 2014. pp. 219–239. [Google Scholar] [CrossRef]
- Ianni, A.; Mannarelli, M.; Rossi, N. A new approach to dark matter from the mass–radius diagram of the Universe. Results Phys. 2022, 38, 105544. [Google Scholar] [CrossRef]
- Fritzsch, H. The size of the weak bosons. Phys. Lett. B 2012, 712, 231–232. [Google Scholar] [CrossRef]
- Lehnert, B. Mass-Radius Relations of Z and Higgs-Like Bosons. Prog. Phys. 2014, 10, 5–7. [Google Scholar]
- Angeli, I.; Marinova, K.P. Table of experimental nuclear ground state charge radii: An update. At. Data Nucl. Data Tables 2013, 99, 69–95. [Google Scholar] [CrossRef]
- Maldacena, J.M. The Large N limit of superconformal field theories and supergravity. Adv. Theor. Math. Phys. 1998, 2, 231–252. [Google Scholar] [CrossRef]
- Strominger, A. The dS / CFT correspondence. J. High Energy Phys. 2001, 2011. [Google Scholar] [CrossRef]
- Witten, E. Anti-de Sitter space and holography. Adv. Theor. Math. Phys. 1998, 2, 253–291. [Google Scholar] [CrossRef]
- Gubser, S.S.; Klebanov, I.R.; Polyakov, A.M. Gauge theory correlators from noncritical string theory. Phys. Lett. B 1998, 428, 105–114. [Google Scholar] [CrossRef]
- Hartnoll, S.A.; Herzog, C.P.; Horowitz, G.T. Holographic Superconductors. J. High Energy Phys. 2008, 2008. [Google Scholar] [CrossRef]
- Carenza, P.; Pasechnik, R.; Salinas, G.; Wang, Z.-W. Glueball Dark Matter Revisited. Phys. Rev. Lett. 2022, 129, 261302. [Google Scholar] [CrossRef] [PubMed]
- Acharya, B.S.; Fairbairn, M.; Hardy, E. Glueball dark matter in non-standard cosmologies. J. High Energy Phys. 2017, 2017, 100. [Google Scholar] [CrossRef]


| Era | Temperature Range | Energy Scale | Unbroken Symmetry |
|---|---|---|---|
| Radiation-Dominated Era | |||
| Matter-Dominated Era | |||
| Dark Energy-Dominated Era |
Disclaimer/Publisher’s Note: The statements, opinions and data contained in all publications are solely those of the individual author(s) and contributor(s) and not of MDPI and/or the editor(s). MDPI and/or the editor(s) disclaim responsibility for any injury to people or property resulting from any ideas, methods, instructions or products referred to in the content. |
© 2025 by the author. Licensee MDPI, Basel, Switzerland. This article is an open access article distributed under the terms and conditions of the Creative Commons Attribution (CC BY) license (https://creativecommons.org/licenses/by/4.0/).
Share and Cite
Ali, A.F. Unbreakable SU(3) Atoms of Vacuum Energy: A Solution to the Cosmological Constant Problem. Symmetry 2025, 17, 888. https://doi.org/10.3390/sym17060888
Ali AF. Unbreakable SU(3) Atoms of Vacuum Energy: A Solution to the Cosmological Constant Problem. Symmetry. 2025; 17(6):888. https://doi.org/10.3390/sym17060888
Chicago/Turabian StyleAli, Ahmed Farag. 2025. "Unbreakable SU(3) Atoms of Vacuum Energy: A Solution to the Cosmological Constant Problem" Symmetry 17, no. 6: 888. https://doi.org/10.3390/sym17060888
APA StyleAli, A. F. (2025). Unbreakable SU(3) Atoms of Vacuum Energy: A Solution to the Cosmological Constant Problem. Symmetry, 17(6), 888. https://doi.org/10.3390/sym17060888
