Analysis Based on a Two-Dimensional Mathematical Model of the Thermo-Stressed State of a Copper Plate During Its Induction Heat Treatment
Abstract
1. Introduction
2. Materials and Methods
2.1. Two-Dimensional Physical and Mathematical Model of Thermomechanics for an Electroconductive Plate
2.1.1. Initial Positions
2.1.2. Definition of an Electromagnetic Field
2.1.3. Definition of the Temperature Field
2.1.4. Definition of Thermally Stressed State
2.2. Methodology for Constructing Solutions to Two-Dimensional Initial Boundary Value Problems
3. Results
3.1. Numerical Analysis of the Thermomechanical Behavior of a Copper Plate Under Its Induction Heating by a Homogeneous Quasi-Steady-State EMF
- near-surface heating;
- in-depth heating of the plate.
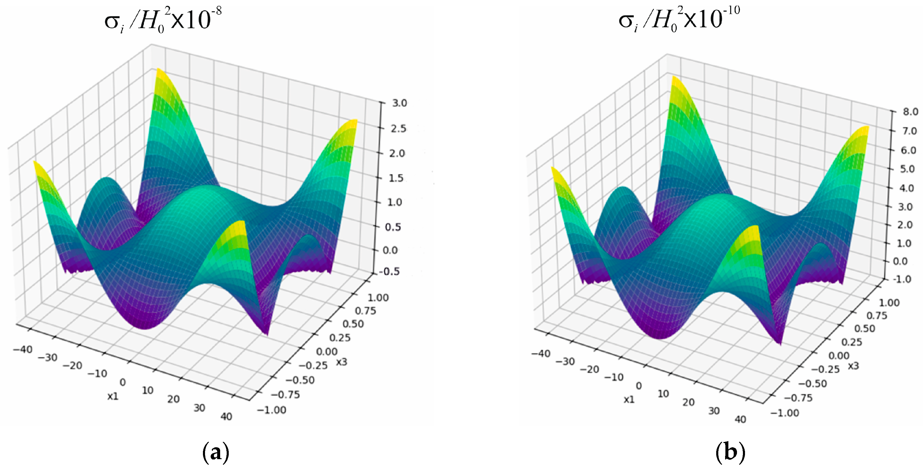
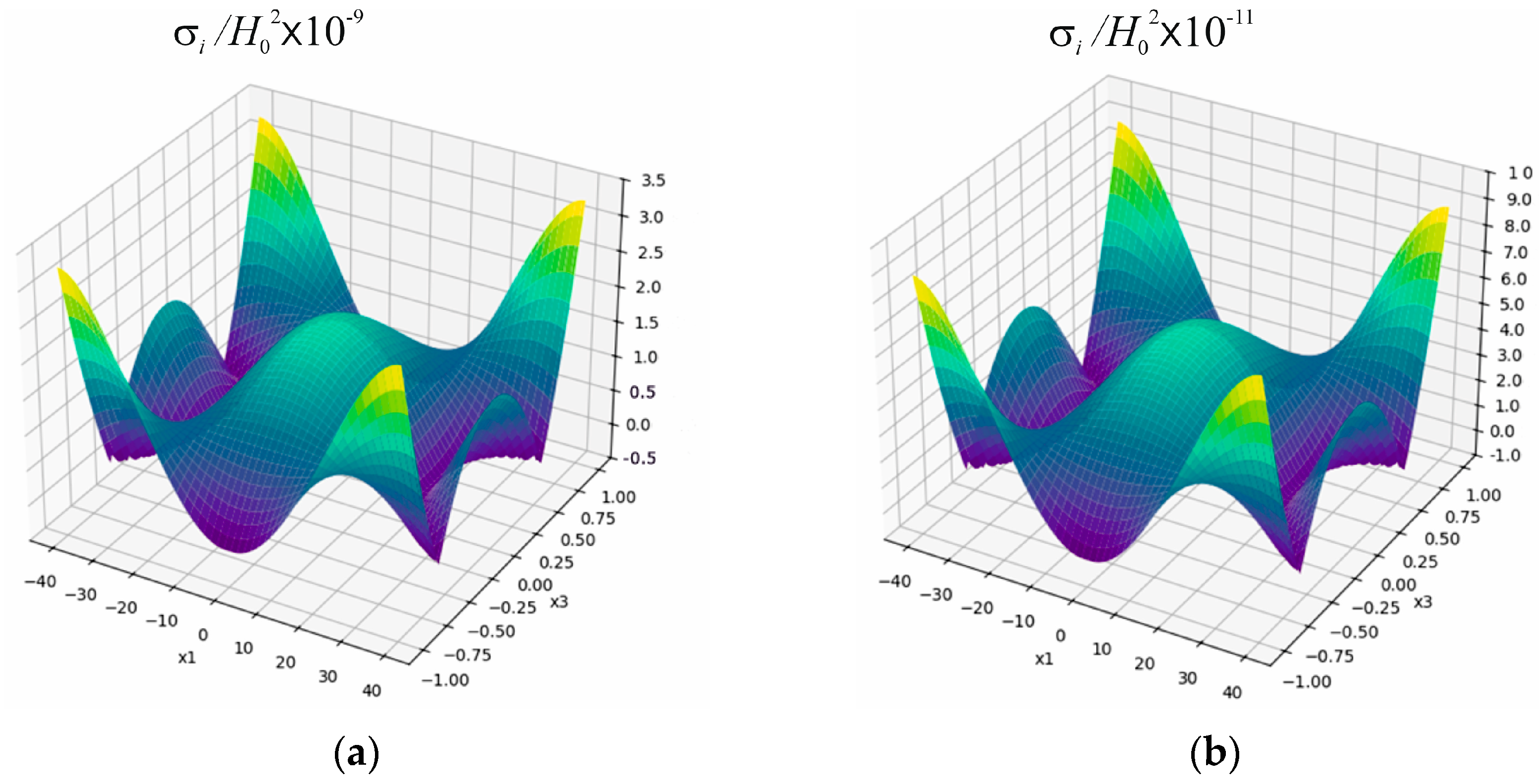
3.2. Analysis of Stress Intensity
4. Conclusions
- the time for the stress intensity in the plate under consideration to reach the steady-state mode with a decrease in the Biot criterion by an order of magnitude in both selected cases of induction heating increases by an order of magnitude, respectively;
- at a fixed value of the parameter , with a decrease in the value of the Biot criterion, the values of stress intensity at the considered characteristic points of the plate cross-section approach the same value. In particular, at the value , they are already practically the same. This is due to the fact that the nature of the plate heating regime approaches the conditions of thermal insulation of its bases and end surfaces;
- under the conditions of near-surface heating at , the maximum values of stress intensity are approximately 40 times higher than their values under the conditions of in-depth heating at , regardless of the value of the Biot criterion. Thus, to achieve higher maximum values of stress intensity in a copper plate, it is advisable to use its surface heating;
- at the same value of and with a decrease in the Biot criterion by an order of magnitude, the maximum values of stress intensity decrease by approximately an order of magnitude;
- with an increase in the value of , which corresponds to the amplitude of steady-state electromagnetic oscillations, in both cases of surface and in-depth induction heating, the maximum values of stress intensity increase according to the quadratic law.
Author Contributions
Funding
Data Availability Statement
Conflicts of Interest
Abbreviations
| EMF | The technological heat treatment of copper elements involves the application of external electromagnetic fields. | 
References
- Lupi, S. Fundamentals of Electroheat. In Electrical Technologies for Process Heating; Springer: Cham, Switzerland, 2017. [Google Scholar] [CrossRef]
- Lee, K.S.; Kim, S.W.; Eom, D.H. Temperature distribution and bending behaviour of thick metal strip by high frequency induction heating. Materials 2011, 15 (Suppl. S1), s283–s287. [Google Scholar]
- Bobart, G.F. Induction Heating. AccessScience. 2020. Available online: https://www.accessscience.com/content/article/a341500 (accessed on 15 May 2023).
- Barglik, J. Induction hardening of steel elements with complex shapes. Przegląd Elektrotech. 2018, 94, 51–54. [Google Scholar] [CrossRef]
- Holman, J.P. Heat Transfer, 10th ed.; McGraw Hill: New York, NY, USA, 2009. [Google Scholar]
- Hetnarski, R. Encyclopedia of Thermal Stresses; Springer: Dordrecht, The Netherlands, 2014. [Google Scholar] [CrossRef]
- Lucía, O.; Maussion, P.; Dede, E.J.; Burdío, J.M. Induction Heating Technology and Its Applications: Past Developments, Current Technology, and Future Challenges. IEEE Trans. Ind. Electron. 2014, 61, 2509–2520. [Google Scholar] [CrossRef]
- Drobenko, B.; Vankevych, P.; Ryzhov, Y.; Yakovlev, M. Rational approaches to high temperature induction heating. Int. J. Eng. Sci. 2017, 117, 34–50. [Google Scholar] [CrossRef]
- Shen, H.; Yao, Z.Q.; Shi, Y.J.; Hu, J. Study on temperature field in high frequency induction heating. Acta Metall. Sin. 2006, 19, 190–196. [Google Scholar] [CrossRef]
- Masoodi, A.R.; Arabi, E. Geometrically nonlinear thermomechanical analysis of shell-like structures. J. Therm. Stress. 2017, 41, 37–53. [Google Scholar] [CrossRef]
- Rezaiee-Pajand, M.; Masoodi, A.R.; Arabi, E. On the shell thickness-stretching effects using seven-parameter triangular element. Eur. J. Comput. Mech. 2018, 27, 163–185. [Google Scholar] [CrossRef]
- Grytsiuk, V.Y.; Yassin, M.A.M. Numerical modeling of coupled electromagnetic and thermal processes in the zone induction heating system for metal billets. Electr. Eng. Electromech. 2025, 59–68. [Google Scholar] [CrossRef]
- Shcherba, A.A.; Podoltsev, O.D.; Suprunovska, N.I.; Bilianin, R.V.; Antonets, T.Y.; Masluchenko, I.M. Modeling and analysis of electro-thermal processes in installations for induction heat treatment of aluminum cores of power cables. Electr. Eng. Electromech. 2024, 1, 51–60. [Google Scholar] [CrossRef]
- Chandrasekaran, S.; Basak, T.; Ramanathan, S. Experimental and theoretical investigation on microwave melting of metals. J. Mater. Process. Technol. 2011, 211, 482–487. [Google Scholar] [CrossRef]
- Zhang, S.; Liu, C.; Wang, X. Temperature and deformation analysis of ship hull plate by moving induction heating using double-circuit inductor. Mar. Struct. 2019, 65, 32–52. [Google Scholar] [CrossRef]
- Zhang, X.; Chen, C.; Liu, Y. Numerical analysis and experimental research of triangle induction heating of the rolled plate. Proc. Inst. Mech. Eng. Part C 2015, 231, 844–859. [Google Scholar] [CrossRef]
- Fisk, M.; Ristinmaa, M.; Hultkrantz, A.; Lindgren, L.-E. Coupled electromagnetic-thermal solution strategy for induction heating of ferromagnetic materials. Appl. Math. Model. 2022, 111, 818–835. [Google Scholar] [CrossRef]
- Naar, R.; Bay, F. Numerical optimisation for induction heat treatment processes. Appl. Math. Model. 2013, 37, 2074–2085. [Google Scholar] [CrossRef]
- Hachkevych, O.; Musii, R. Mathematical modeling in thermomechanics of electroconductive bodies under the action of the pulsed electromagnetic fields with modulation of amplitude. Math. Model. Comput. 2019, 6, 30–36. [Google Scholar] [CrossRef]
- Hachkevych, O.R.; Musii, R.S.; Melnyk, N.B.; Dmytruk, V.A. Dynamic thermoelastic processes in a conductive plate under the action of electromagnetic pulses of microsecond and nanosecond durations. J. Therm. Stress. 2019, 42, 1110–1122. [Google Scholar] [CrossRef]
- Rudnev, V.; Loveless, D.; Cook, R. Handbook of Induction Heating, 2nd ed.; CRC Press: London, UK; Taylor and Francis Group: Abingdon, UK, 2018. [Google Scholar]
- Podstryhach, Y.S.; Burak, Y.Y.; Hachkevych, A.R.; Cherniavskaia, L.V. Termoupruhost Elektroprovodnykh Tel; Nauk. Dumka: Kyiv, Ukraine, 1977. [Google Scholar]
- Musii, R.S. Equations in stresses for the three-, two-, and one-dimensional dynamic problems of thermoelasticity. Mater. Sci. 2000, 36, 170–177. [Google Scholar] [CrossRef]
- Musii, R.S. Constructing solutions for two-dimensional quasi-static problems of thermomechanics in terms of stresses for bodies with plane-parallel boundaries. Math. Model. Comput. 2024, 11, 995–1002. [Google Scholar] [CrossRef]
- Musii, R.S. Thermal stressed state of a conducting plate under the action of electromagnetic pulses. Mater. Sci. 2001, 37, 845–856. [Google Scholar] [CrossRef]
- Halytsyn, A.S.; Zhukovskyi, A.N. Yntehralnye Preobrazovanyia y Spetsyalnye Funktsyy v Zadachakh Teproprovodnosty; Nauk. Dumka: Kyiv, Ukraine, 1976. [Google Scholar]
- Musii, R.; Lis, M.; Pukach, P.; Chaban, A.; Szafraniec, A.; Vovk, M.; Melnyk, N. Analysis of Varying Temperature Regimes in a Conductive Strip during Induction Heating under a Quasi-Steady Electromagnetic Field. Energies 2024, 17, 366. [Google Scholar] [CrossRef]
- Timoshenko, S.; Goodier, J.N. Theory of Elasticity; McGraw—Hill: New York, NY, USA, 1970; Volume 970, pp. 279–291. [Google Scholar]
- Thompson, M. Base Metals Handbook, 2nd ed.; Woodhead Publishing: Cambridge, UK, 2006. [Google Scholar] [CrossRef]





| Disclaimer/Publisher’s Note: The statements, opinions and data contained in all publications are solely those of the individual author(s) and contributor(s) and not of MDPI and/or the editor(s). MDPI and/or the editor(s) disclaim responsibility for any injury to people or property resulting from any ideas, methods, instructions or products referred to in the content. | 
© 2025 by the authors. Licensee MDPI, Basel, Switzerland. This article is an open access article distributed under the terms and conditions of the Creative Commons Attribution (CC BY) license (https://creativecommons.org/licenses/by/4.0/).
Share and Cite
Musii, R.; Klapchuk, M.; Koda, E.; Kernytskyy, I.; Svidrak, I.; Humeniuk, R.; Sholudko, Y.; Nagirniak, M.; Andrzejak, J.; Royko, Y. Analysis Based on a Two-Dimensional Mathematical Model of the Thermo-Stressed State of a Copper Plate During Its Induction Heat Treatment. Symmetry 2025, 17, 754. https://doi.org/10.3390/sym17050754
Musii R, Klapchuk M, Koda E, Kernytskyy I, Svidrak I, Humeniuk R, Sholudko Y, Nagirniak M, Andrzejak J, Royko Y. Analysis Based on a Two-Dimensional Mathematical Model of the Thermo-Stressed State of a Copper Plate During Its Induction Heat Treatment. Symmetry. 2025; 17(5):754. https://doi.org/10.3390/sym17050754
Chicago/Turabian StyleMusii, Roman, Myroslava Klapchuk, Eugeniusz Koda, Ivan Kernytskyy, Inga Svidrak, Ruslan Humeniuk, Yaroslav Sholudko, Mykola Nagirniak, Joanna Andrzejak, and Yuriy Royko. 2025. "Analysis Based on a Two-Dimensional Mathematical Model of the Thermo-Stressed State of a Copper Plate During Its Induction Heat Treatment" Symmetry 17, no. 5: 754. https://doi.org/10.3390/sym17050754
APA StyleMusii, R., Klapchuk, M., Koda, E., Kernytskyy, I., Svidrak, I., Humeniuk, R., Sholudko, Y., Nagirniak, M., Andrzejak, J., & Royko, Y. (2025). Analysis Based on a Two-Dimensional Mathematical Model of the Thermo-Stressed State of a Copper Plate During Its Induction Heat Treatment. Symmetry, 17(5), 754. https://doi.org/10.3390/sym17050754
 
         
                                                


