Dynamics, Circuit Simulation and Fixed-Time Projection Synchronization in a Memristor-Based Hyperchaotic System
Abstract
1. Introduction
2. Memristor-Based Hyperchaotic System
2.1. System Description
2.2. Phase Diagram and Lyapunov Exponents
2.3. Stability of the Equilibrium Point
2.4. Bifurcation Analysis
2.5. Symmetry and Coexisting Attractors
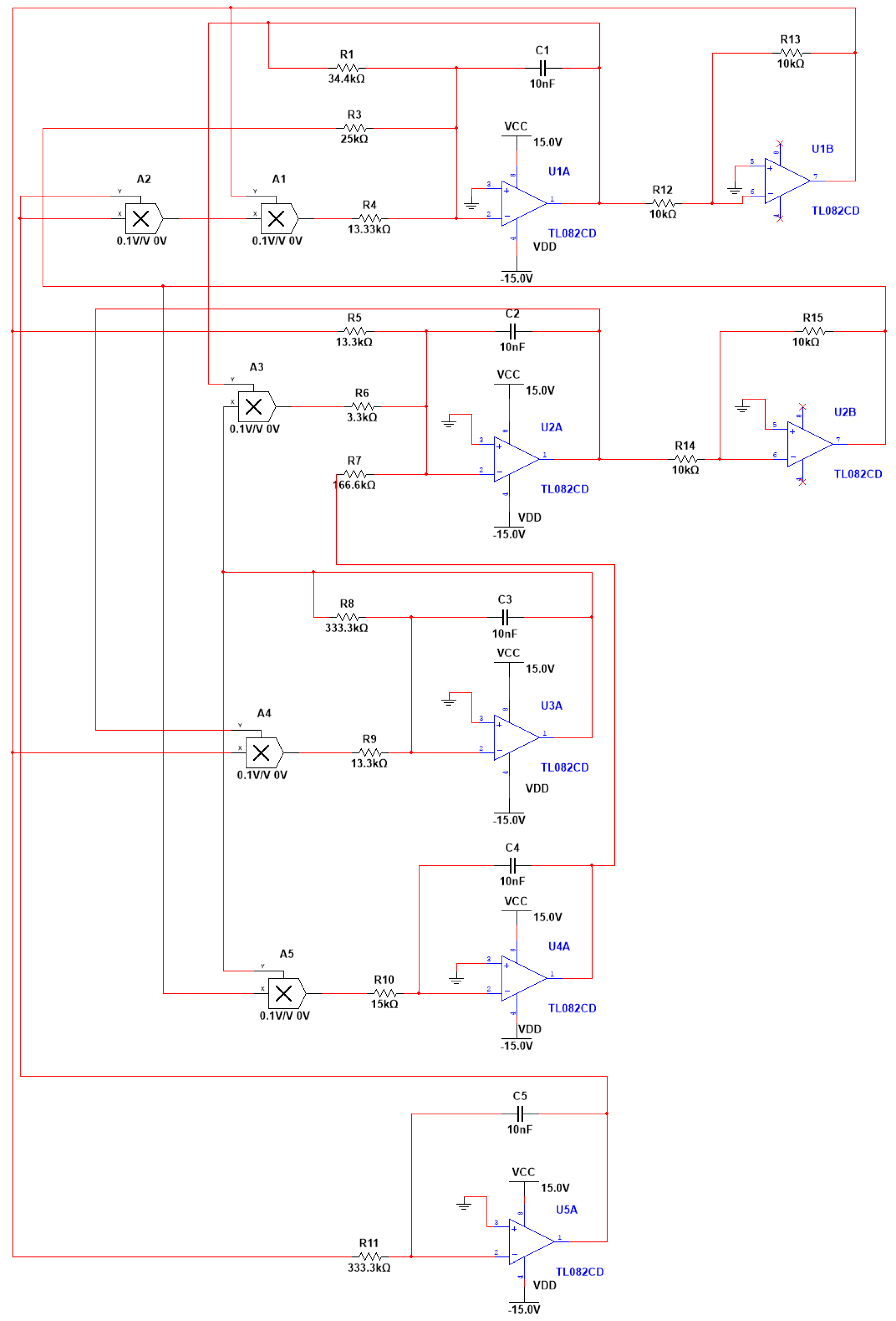
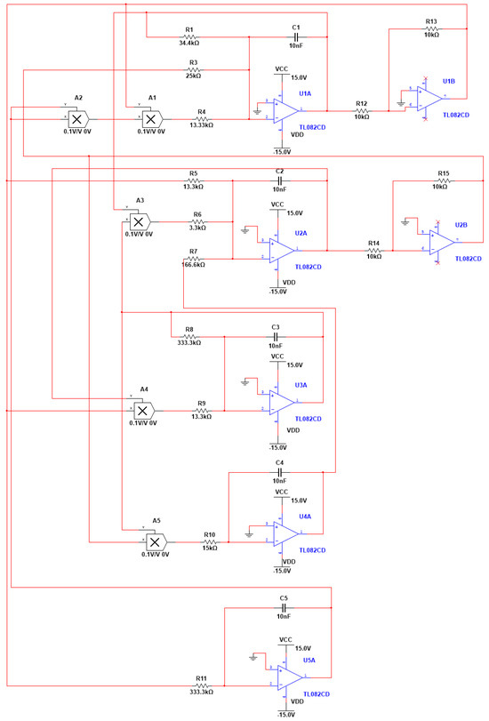
3. Circuit Design and Simulation
4. Fixed-Time Projection Synchronization
4.1. Theoretical Analysis
- The error system is acquired in this manner:
- (1):
- ;
- (2):
- any solution of the error system satisfies the following:
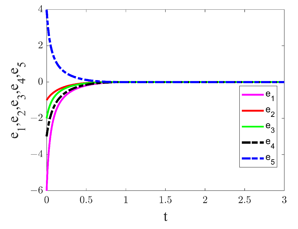
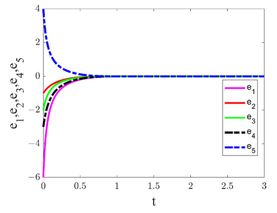
4.2. Numerical Simulation
5. Conclusions
Author Contributions
Funding
Data Availability Statement
Conflicts of Interest
References
- Sheela, S.J.; Sanjay, A.; Suresh, K.V.; Tandur, D.; Shubha, G. Image encryption based on 5D hyperchaotic system using hybrid random matrix transform. Multidimens. Syst. Signal Process. 2022, 33, 579–595. [Google Scholar] [CrossRef]
- Gómez, J.C.G.; dos Santos, R.R.; Gularte, K.H.M.; Vargas, J.A.R.; Hernández, J.A.R. A Robust Underactuated Synchronizer for a Five-dimensional Hyperchaotic System: Applications for Secure Communication. Int. J. Control Autom. Syst. 2023, 21, 2891–2903. [Google Scholar] [CrossRef]
- Chua, L. Memristor-the missing circuit element. IEEE Trans. Circuit Theory 1971, 18, 507–519. [Google Scholar] [CrossRef]
- Strukov, D.B.; Snider, G.S.; Stewart, D.R.; Williams, R.S. The missing memristor found. Nature 2008, 453, 80–83. [Google Scholar] [CrossRef]
- Butusov, D.N.; Karimov, A.I.; Pesterev, D.O.; Tutueva, A.V.; Okoli, G. Bifurcation and recurrent analysis of memristive circuits. In Proceedings of the 2018 IEEE Conference of Russian Young Researchers in Electrical and Electronic Engineering (EIConRus), Moscow, Russia, 29 January–1 February 2018; pp. 178–183. [Google Scholar]
- Ostrovskii, V.Y.; Tutueva, A.V.; Rybin, V.G.; Karimov, A.I.; Butusov, D.N. Continuation analysis of memristor-based modified Chua’s circuit. In Proceedings of the 2020 International Conference Nonlinearity, Information and Robotics (NIR), Innopolis, Russia, 3–6 December 2020; pp. 1–5. [Google Scholar]
- Ostrovskii, V.; Fedoseev, P.; Bobrova, Y.; Butusov, D. Structural and Parametric Identification of Knowm Memristors. Nanomaterials 2022, 12, 63. [Google Scholar] [CrossRef]
- Wu, X.M.; He, S.B.; Tan, W.J.; Wang, H.H. From memristor-modeled jerk system to the nonlinear systems with memristor. Symmetry 2022, 14, 659. [Google Scholar] [CrossRef]
- Zhou, L.; Wang, C.; Zhou, L. Generating four-wing hyperchaotic attractor and two-wing, three-wing, and four-wing chaotic attractors in 4D memristive system. Int. J. Bifurc. Chaos 2017, 27, 1750027. [Google Scholar] [CrossRef]
- Pham, V.T.; Jafari, S.; Vaidyanathan, S.; Volos, C.; Wang, X. A novel memristive neural network with hidden attractors and its circuitry implementation. Sci. China Technol. Sci. 2016, 59, 358–363. [Google Scholar] [CrossRef]
- Zhang, Z.; Li, C.; Zhang, W.; Zhou, J.; Liu, G. An FPGA-based memristor emulator for artificial neural network. Microelectron. J. 2023, 131, 105639. [Google Scholar] [CrossRef]
- Bao, B.C.; Ma, Z.H.; Xu, J.P.; Liu, Z.; Xu, Q. A simple memristor chaotic circuit with complex dynamics. Int. J. Bifurc. Chaos 2011, 21, 2629–2645. [Google Scholar] [CrossRef]
- Wang, C.H.; Zhou, L.; Wu, R.P. The design and realization of a hyper-chaotic circuit based on a flux-controlled memristor with linear memductance. J. Circuits Syst. Comput. 2018, 27, 1850038. [Google Scholar] [CrossRef]
- Messadi, M.; Kemih, K.; Moysis, L.; Volos, C. A new 4D Memristor chaotic system: Analysis and implementation. Integration 2023, 88, 91–100. [Google Scholar] [CrossRef]
- Zhou, L.; Wang, C.; Zhou, L. Generating hyperchaotic multi-wing attractor in a 4D memristive circuit. Nonlinear Dyn. 2016, 85, 2653–2663. [Google Scholar]
- Wang, C.H.; Xia, H.; Zhou, L. A memristive hyperchaotic multiscroll jerk system with controllable scroll numbers. Int. J. Bifurc. Chaos 2017, 27, 1750091. [Google Scholar]
- Luo, J.; Tang, W.T.; Chen, Y.; Chen, X.; Zhou, H. Dynamical analysis and synchronization control of flux-controlled memristive chaotic circuits and its FPGA-Based implementation. Results Phys. 2023, 54, 107085. [Google Scholar]
- Chen, Q.; Li, B.; Yin, W.; Jiang, X.W.; Chen, X.Y. Bifurcation, chaos and fixed-time synchronization of memristor cellular neural networks. Chaos Solitons Fractals 2023, 171, 113440. [Google Scholar]
- Yuan, F.; Wang, G.Y.; Wang, X.W. Extreme multistability in a memristor-based multi-scroll hyper-chaotic system. Chaos 2016, 26, 073107. [Google Scholar] [CrossRef]
- Wan, Q.Z.; Li, F.; Yan, Z.D.; Chen, S.M.; Liu, J.; Ji, W.K.; Yu, F. Dynamic analysis and circuit realization of a novel variable-wing 5D memristive hyperchaotic system with line equilibrium. Eur. Phys. J. Spec. Top. 2022, 231, 3029–3041. [Google Scholar] [CrossRef]
- Xu, C.B.; Luo, Y.T.; Li, X.Y.; Fan, C.L. A novel 5D memristor conservative chaotic system with multiple forms of hidden flows. Phys. Scr. 2023, 99, 015243. [Google Scholar]
- Jia, S.H.; Li, Y.X.; Shi, Q.Y.; Huang, X. Design and FPGA implementation of a memristor-based multi-scroll hyperchaotic system. Chin. Phys. B 2022, 31, 070505. [Google Scholar] [CrossRef]
- Yu, F.; Zhang, W.X.; Xiao, X.L.; Yao, W.; Cai, S.; Zhang, J.; Wang, C.H.; Li, Y. Dynamic analysis and FPGA implementation of a new, simple 5D memristive hyperchaotic Sprott-C system. Mathematics 2023, 11, 701. [Google Scholar] [CrossRef]
- Min, X.T.; Wang, X.Y.; Zhou, P.F.; Yu, S.M.; Iu, H.H.C. An optimized memristor-based hyperchaotic system with controlled hidden attractors. IEEE Access 2019, 7, 124641–124646. [Google Scholar] [CrossRef]
- Li, X.X.; Liu, D.J.; Zheng, C.; Xue, X.P.; Xu, G.Z. Symmetric extreme multistability and memristor initial-offset boosting in a new 5D four-wing hyperchaotic system based on dual memristors. Mod. Phys. Lett. B 2022, 36, 2250090. [Google Scholar] [CrossRef]
- Wang, Q.; Hu, C.Y.; Tian, Z.; Wu, X.M.; Sang, H.W.; Cui, Z.W. A 3D memristor-based chaotic system with transition behaviors of coexisting attractors between equilibrium points. Results Phys. 2024, 56, 107201. [Google Scholar] [CrossRef]
- Luo, J.; Qu, S.C.; Chen, Y.; Chen, X.; Xiong, Z.L. Synchronization, circuit and secure communication implementation of a memristor-based hyperchaotic system using single input controller. Chin. J. Phys. 2021, 71, 403–417. [Google Scholar] [CrossRef]
- Tamba, V.K.; Biamou, A.L.M.; Tagne, F.K.; Takougang, A.C.N.; Fotsin, H.B. Hidden extreme multistability in a smooth flux-controlled memristor based four-dimensional chaotic system and its application in image encryption. Phys. Scr. 2024, 99, 025210. [Google Scholar] [CrossRef]
- Yu, F.; Xu, S.; Xiao, X.L.; Yao, W.; Huang, Y.Y.; Cai, S.; Yin, B.; Li, Y. Dynamics analysis, FPGA realization and image encryption application of a 5D memristive exponential hyperchaotic system. Integration 2023, 90, 58–70. [Google Scholar] [CrossRef]
- Mainieri, R.; Rehacek, J. Projective synchronization in three-dimensional chaotic systems. Phys. Rev. Lett. 1999, 82, 3042. [Google Scholar] [CrossRef]
- Khattar, D.; Agrawal, N.; Sirohi, M. Dynamical analysis of a 5D novel system based on Lorenz system and its hybrid function projective synchronisation using adaptive control. Pramana J. Phys. 2023, 97, 76. [Google Scholar] [CrossRef]
- Lai, Q.; Wang, Z.L. Finite-time projective synchronization of complex networks via adaptive control. Indian J. Phys. 2023, 97, 3617–3628. [Google Scholar] [CrossRef]
- Polyakov, A. Nonlinear feedback design for fixed-time stabilization of linear control systems. IEEE Trans. Autom. Control 2011, 57, 2106–2110. [Google Scholar] [CrossRef]
- Wang, H.Q.; Ai, Y.D. Adaptive fixed-time control and synchronization for hyperchaotic Lü systems. Appl. Math. Comput. 2022, 433, 127388. [Google Scholar] [CrossRef]
- Tan, Z.L.; Sun, J.Y.; Zhang, H.G.; Xie, X.P. Chaos synchronization control for stochastic nonlinear systems of interior PMSMs based on fixed-time stability theorem. Appl. Math. Comput. 2022, 430, 127115. [Google Scholar] [CrossRef]
- Su, H.P.; Luo, R.Z.; Fu, J.J.; Huang, M.C. Fixed time control and synchronization of a class of uncertain chaotic systems with disturbances via passive control method. Math. Comput. Simul. 2022, 198, 474–493. [Google Scholar] [CrossRef]
- Bekiros, S.; Yao, Q.J.; Mou, J.; Alkhateeb, A.F.; Jahanshahi, H. Adaptive fixed-time robust control for function projective synchronization of hyperchaotic economic systems with external perturbations. Chaos Solitons Fractals 2023, 172, 113609. [Google Scholar] [CrossRef]
- Chen, C.; Li, L.X.; Peng, H.P.; Yang, Y.X.; Mi, L.; Qiu, B.L. Fixed-time projective synchronization of memristive neural networks with discrete delay. Phys. A Stat. Mech. Its Appl. 2019, 534, 122248. [Google Scholar] [CrossRef]
- Xiao, L.; Li, L.J.; Cao, P.L.; He, Y.J. A fixed-time robust controller based on zeroing neural network for generalized projective synchronization of chaotic systems. Chao Solitons Fractals 2023, 169, 113279. [Google Scholar] [CrossRef]
- Hao, C.Q.; Wang, B.X.; Tang, D.D. Finite-time and fixed-time function projective synchronization of competitive neural networks with noise perturbation. Neural Comput. Appl. 2024, 36, 16527–16543. [Google Scholar] [CrossRef]
- Sun, J.W.; Yao, L.N.; Zhang, X.C.; Wang, Y.F.; Cui, G.Z. Generalised mathematical model of memristor. IET Circuits Devices Syst. 2016, 10, 244–249. [Google Scholar] [CrossRef]
- Hu, Y.M.; Lai, B.C. Generating coexisting attractors from a new four-dimensional chaotic system. Mod. Phys. Lett. B 2021, 35, 2150035. [Google Scholar] [CrossRef]
- Corless, R.M.; Essex, C.; Nerenberg, M.A.H. Numerical methods can suppress chaos. Phys. Lett. A 1991, 157, 27–36. [Google Scholar] [CrossRef]
- Ostrovskii, V.Y.; Rybin, V.G.; Karimov, A.I.; Butusov, D.N. Inducing multistability in discrete chaotic systems using numerical integration with variable symmetry. Chaos Solitons Fractals 2022, 165, 112794. [Google Scholar] [CrossRef]
- Butusov, D.; Karimov, A.; Tutueva, A.; Kaplun, D.; Nepomuceno, E.G. The effects of Padé numerical integration in simulation of conservative chaotic systems. Entropy 2019, 21, 362. [Google Scholar] [CrossRef] [PubMed]
- Chen, C.; Li, L.X.; Peng, H.P.; Yang, Y.X.; Mi, L.; Zhao, H. A new fixed-time stability theorem and its application to the fixed-time synchronization of neural networks. Neural Netw. 2020, 123, 412–419. [Google Scholar] [CrossRef]


















Disclaimer/Publisher’s Note: The statements, opinions and data contained in all publications are solely those of the individual author(s) and contributor(s) and not of MDPI and/or the editor(s). MDPI and/or the editor(s) disclaim responsibility for any injury to people or property resulting from any ideas, methods, instructions or products referred to in the content. |
© 2025 by the authors. Licensee MDPI, Basel, Switzerland. This article is an open access article distributed under the terms and conditions of the Creative Commons Attribution (CC BY) license (https://creativecommons.org/licenses/by/4.0/).
Share and Cite
Zhou, Y.; Li, R.; Cui, Z. Dynamics, Circuit Simulation and Fixed-Time Projection Synchronization in a Memristor-Based Hyperchaotic System. Symmetry 2025, 17, 685. https://doi.org/10.3390/sym17050685
Zhou Y, Li R, Cui Z. Dynamics, Circuit Simulation and Fixed-Time Projection Synchronization in a Memristor-Based Hyperchaotic System. Symmetry. 2025; 17(5):685. https://doi.org/10.3390/sym17050685
Chicago/Turabian StyleZhou, Yan, Ruimei Li, and Zhuang Cui. 2025. "Dynamics, Circuit Simulation and Fixed-Time Projection Synchronization in a Memristor-Based Hyperchaotic System" Symmetry 17, no. 5: 685. https://doi.org/10.3390/sym17050685
APA StyleZhou, Y., Li, R., & Cui, Z. (2025). Dynamics, Circuit Simulation and Fixed-Time Projection Synchronization in a Memristor-Based Hyperchaotic System. Symmetry, 17(5), 685. https://doi.org/10.3390/sym17050685
