SSRL: A Clustering-Based Reinforcement Learning Approach for Efficient Ship Scheduling in Inland Waterways
Abstract
1. Introduction
1.1. Background
1.2. Traditional Scheduling Methods in Restricted Waterways
1.3. Intelligent Optimization Methods in Restricted Waterways
1.4. Research Gaps and Proposed Approach
2. The Ship Scheduling Problem in Restricted Waterways
3. The Reinforcement Learning-Based Ship Scheduling Framework
3.1. Preliminaries
3.1.1. Reinforcement Learning
3.1.2. Clustering
| Algorithm 1 FCM Clustering |
| Input: |
| Number of clusters C, Data set X, Fuzziness index m; |
| Output: |
| Cluster centers g, Membership matrix ; |
| 1: Randomly select C cluster centers; |
| 2: Calculate the initial memberships; |
| 3: repeat |
| 4: for to N do |
| 5: for to C do |
| 6: Update cluster centers according to Equation (10); |
| 7: end for |
| 8: end for |
| 9: for to N do |
| 10: for to C do |
| 11: Update membership values according to Equation (9); |
| 12: end for |
| 13: end for |
| 14: until stopping criterion is satisfied (Equation (11)) |
3.2. Proposed Scheduling Algorithm
- Step 1: Initialize a Q-table with C rows (representing state clusters) and A columns (representing possible actions), where represents the expected reward for taking action a in state s.
- Step 2: Generate N ships with appropriate and values, calculate similarities with the C clusters, and assign the current state s to the cluster with the highest similarity.
- Step 3: Select a ship scheduling sequence a in state s using an -greedy policy: choose the action with the highest value with probability , or select a random action with probability .
- Step 4: Implement the selected sequence a by allocating appropriate and values to each ship to ensure safety. The environmental reward is computed based on the total waiting time (), incentivizing the agent to improve scheduling efficiency.
- Step 5: Update according to the Bellman Equation (6).
- Step 6: Repeat steps 3–5 until convergence criteria are met.
| Algorithm 2 Q-learning with FCM State Reduction |
| Input: |
| Number of clusters C, Number of actions A, Learning rate , |
| Discount factor , Exploration rate , Maximum episodes ; |
| Output: |
| Optimized Q-table; |
| 1: Initialize Q-table with dimensions with zeros; |
| 2: for to do |
| 3: Generate N ships with appropriate and values; |
| 4: Calculate similarity with the C clusters; |
| 5: Assign current state s to the cluster with highest similarity; |
| 6: // Select action using -greedy policy |
| 7: if then |
| 8: Select random action a; |
| 9: else |
| 10: Select action a with highest ; |
| 11: end if |
| 12: // Implement selected sequence |
| 13: Allocate appropriate and values to each ship; |
| 14: Ensure safety constraints are satisfied; |
| 15: // Calculate reward based on total waiting time |
| 16: ; |
| 17: // Observe new state |
| 18: Calculate similarity with the C clusters; |
| 19: Assign new state to the cluster with highest similarity; |
| 20: // Update Q-table using Bellman equation |
| 21: ; |
| 22: // Move to next state |
| 23: ; |
| 24: // Reduce exploration over time |
| 25: ; |
| 26: end for |
| 27: return Q-table; |
3.3. Computational Complexity and Performance Analysis
4. Experiments and Results Analysis
4.1. Data Description
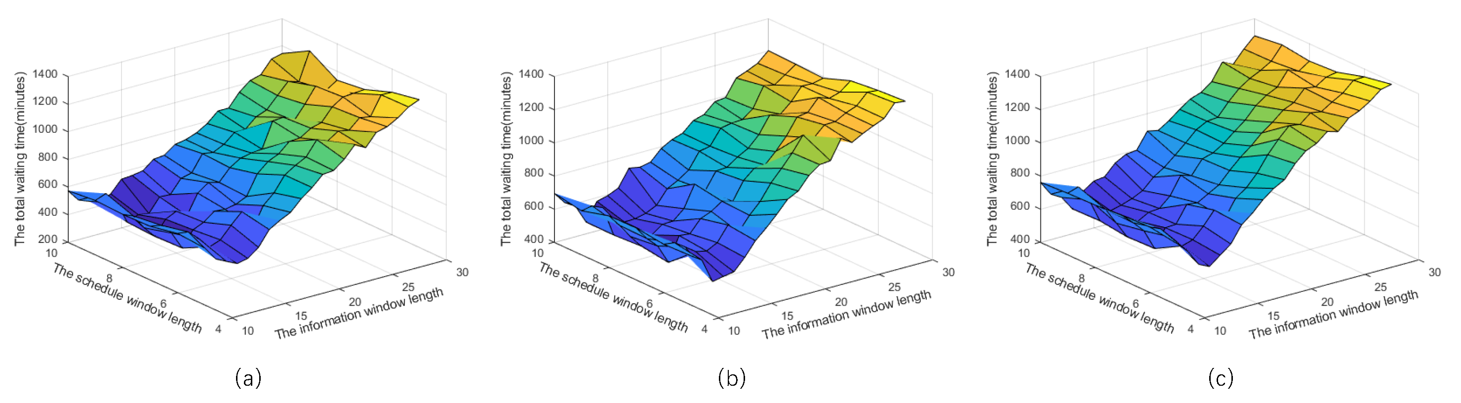
4.2. Experimental Results and Parameter Sensitivity
4.3. Discussion
5. Conclusions
Author Contributions
Funding
Data Availability Statement
Conflicts of Interest
References
- Buchem, M.; Golak, J.A.P.; Grigoriev, A. Vessel velocity decisions in inland waterway transportation under uncertainty. Eur. J. Oper. Res. 2022, 296, 669–678. [Google Scholar] [CrossRef]
- Zhang, J.; Wan, C.; He, A.; Zhang, D.; Soares, C.G. A two-stage black-spot identification model for inland waterway transportation. Reliab. Eng. Syst. Saf. 2021, 213, 107677. [Google Scholar] [CrossRef]
- Yang, W.; Liao, P.; Jiang, S.; Wang, H. Analysis of vessel traffic flow characteristics in inland restricted waterways using multi-source data. arXiv 2024, arXiv:2410.07130. [Google Scholar] [CrossRef]
- Liu, D.; Shi, G.; Kang, Z. Fuzzy scheduling problem of vessels in one-way waterway. J. Mar. Sci. Eng. 2021, 9, 1064. [Google Scholar] [CrossRef]
- Liang, S.; Yang, X.; Bi, F.; Ye, C. Vessel traffic scheduling method for the controlled waterways in the upper Yangtze River. Ocean Eng. 2019, 172, 96–104. [Google Scholar] [CrossRef]
- Gan, S.; Liang, S.; Li, K.; Deng, J.; Cheng, T. Ship trajectory prediction for intelligent traffic management using clustering and ANN. In Proceedings of the 2016 UKACC 11th International Conference on Control (CONTROL), Belfast, UK, 31 August–2 September 2016; pp. 1–6. [Google Scholar]
- Xia, Z.; Guo, Z.; Wang, W.; Jiang, Y. Joint optimization of ship scheduling and speed reduction: A new strategy considering high transport efficiency and low carbon of ships in port. Ocean Eng. 2021, 233, 109224. [Google Scholar] [CrossRef]
- Zhao, X.; Lin, Q.; Yu, H. A Co-Scheduling Problem of Ship Lift and Ship Lock at the Three Gorges Dam. IEEE Access 2020, 8, 132893–132910. [Google Scholar] [CrossRef]
- Fryirs, K.A.; Brierley, G.J.; Hancock, F.; Cohen, T.J.; Brooks, A.P.; Reinfelds, I.; Cook, N.; Raine, A. Tracking geomorphic recovery in process-based river management. Land Degrad. Dev. 2018, 29, 3221–3244. [Google Scholar] [CrossRef]
- Lagos, M.S.; Muñoz, J.F.; Suárez, F.I.; Fuenzalida, M.J.; Yáñez-Morroni, G.; Sanzana, P. Investigating the effects of channelization in the Silala River: A review of the implementation of a coupled MIKE-11 and MIKE-SHE modeling system. Wiley Interdiscip. Rev. Water 2024, 11, e1673. [Google Scholar] [CrossRef]
- Zhang, Y.; Liu, S.; Zheng, Q.; Tian, H.; Guo, W. Ship scheduling problem in an anchorage-to-quay channel with water discharge restrictions. Ocean Eng. 2024, 309, 118432. [Google Scholar] [CrossRef]
- Zhai, D.; Fu, X.; Xu, H.Y.; Yin, X.F.; Vasundhara, J.; Zhang, W. Multi-Layer Scheduling Optimization for Intelligent Mobility of Maritime Operation. In Proceedings of the 2020 15th IEEE Conference on Industrial Electronics and Applications (ICIEA), Kristiansand, Norway, 9–13 November 2020; pp. 1511–1514. [Google Scholar]
- Chen, C.; Chen, X. Scheduling optimization in restricted channels based on the agent technology and bayesian network. In Proceedings of the 2017 4th International Conference on Transportation Information and Safety (ICTIS), Banff, AB, Canada, 8–10 August 2017; pp. 291–295. [Google Scholar]
- Le Carrer, N.; Ferson, S.; Green, P.L. Optimising cargo loading and ship scheduling in tidal areas. Eur. J. Oper. Res. 2020, 280, 1082–1094. [Google Scholar] [CrossRef]
- Zhang, X.; Li, R.; Wang, C.; Xue, B.; Guo, W. Robust optimization for a class of ship traffic scheduling problem with uncertain arrival and departure times. Eng. Appl. Artif. Intell. 2024, 133, 108257. [Google Scholar] [CrossRef]
- Eisen, H.E.; Van der Lei, J.E.; Zuidema, J.; Koch, T.; Dugundji, E.R. An Evaluation of First-Come, First-Served Scheduling in a Geometrically-Constrained Wet Bulk Terminal. Front. Future Transp. 2021, 2, 709822. [Google Scholar] [CrossRef]
- Gan, S.; Wang, Y.; Li, K.; Liang, S. Efficient online one-way traffic scheduling for restricted waterways. Ocean Eng. 2021, 237, 109515. [Google Scholar] [CrossRef]
- Gan, S.; Liang, S.; Li, K.; Deng, J.; Cheng, T. Long-term ship speed prediction for intelligent traffic signaling. IEEE Trans. Intell. Transp. Syst. 2016, 18, 82–91. [Google Scholar] [CrossRef]
- Liu, S.; Zhang, Y.; Guo, W.; Tian, H.; Tang, K. Ship scheduling problem based on channel-lock coordination in flood season. Expert Syst. Appl. 2024, 254, 124393. [Google Scholar] [CrossRef]
- Lalla-Ruiz, E.; Shi, X.; Voß, S. The waterway ship scheduling problem. Transp. Res. Part D Transp. Environ. 2018, 60, 191–209. [Google Scholar] [CrossRef]
- Yang, X.; Gu, W.; Wang, S. Optimal scheduling of vessels passing a waterway bottleneck. Ocean Coast. Manag. 2023, 244, 106809. [Google Scholar] [CrossRef]
- Aritua, B.; Cheng, L.; van Liere, R.; de Leijer, H. Blue Routes for a New Era: Developing Inland Waterways Transportation in China; World Bank Publications: Herndon, VA, USA, 2021. [Google Scholar]
- Jian, L.; Xing, Y.; Ke-zhong, L.; Zhi-tao, Y. Study on the fluency of one-way waterway transportation based on First Come First Served (FCFS) model. In Proceedings of the 2015 International Conference on Transportation Information and Safety (ICTIS), Wuhan, China, 25–28 June 2015; pp. 669–674. [Google Scholar]
- Liu, Y.; Mou, J.M. Simulation on the traffic capacity of the Three Gorges ship lock based on SIVAK. J. Dalian Marit. Univ. 2015, 41, 37–41. [Google Scholar]
- Xin, X.; Liu, K.; Zhang, J.; Chen, S.; Wang, H.; Cheng, Z. A Self-Organizing Grouping Approach for Ship Traffic Scheduling in Restricted One-Way Waterway. Mar. Technol. Soc. J. 2019, 53, 83–96. [Google Scholar] [CrossRef]
- Li, R.; Zhang, X.; Jiang, L.; Yang, Z.; Guo, W. An adaptive heuristic algorithm based on reinforcement learning for ship scheduling optimization problem. Ocean Coast. Manag. 2022, 230, 106375. [Google Scholar] [CrossRef]
- Wang, W.; Ding, A.; Cao, Z.; Peng, Y.; Liu, H.; Xu, X. Deep Reinforcement Learning for Channel Traffic Scheduling in Dry Bulk Export Terminals. IEEE Trans. Intell. Transp. Syst. 2024, 25, 17547–17561. [Google Scholar] [CrossRef]
- Kiran, B.R.; Sobh, I.; Talpaert, V.; Mannion, P.; Al Sallab, A.A.; Yogamani, S.; Pérez, P. Deep reinforcement learning for autonomous driving: A survey. IEEE Trans. Intell. Transp. Syst. 2021, 23, 4909–4926. [Google Scholar] [CrossRef]
- Haydari, A.; Yilmaz, Y. Deep reinforcement learning for intelligent transportation systems: A survey. IEEE Trans. Intell. Transp. Syst. 2020, 23, 11–32. [Google Scholar] [CrossRef]
- Fan, J.; Wang, Z.; Xie, Y.; Yang, Z. A theoretical analysis of deep Q-learning. In Proceedings of the Learning for Dynamics and Control, PMLR, Virtual, 13–18 July 2020; pp. 486–489. [Google Scholar]
- Tong, Z.; Chen, H.; Deng, X.; Li, K.; Li, K. A scheduling scheme in the cloud computing environment using deep Q-learning. Inf. Sci. 2020, 512, 1170–1191. [Google Scholar] [CrossRef]
- Zhang, Q.; Lin, M.; Yang, L.T.; Chen, Z.; Khan, S.U.; Li, P. A double deep Q-learning model for energy-efficient edge scheduling. IEEE Trans. Serv. Comput. 2018, 12, 739–749. [Google Scholar] [CrossRef]
- Lei, T.; Jia, X.; Zhang, Y.; He, L.; Meng, H.; Nandi, A.K. Significantly fast and robust fuzzy c-means clustering algorithm based on morphological reconstruction and membership filtering. IEEE Trans. Fuzzy Syst. 2018, 26, 3027–3041. [Google Scholar] [CrossRef]
- Mattingley, J.; Wang, Y.; Boyd, S. Receding horizon control. IEEE Control Syst. 2011, 31, 52–65. [Google Scholar]





| Original | FCFS | Optimal | |||||||||
|---|---|---|---|---|---|---|---|---|---|---|---|
| ID | Dir | PAT | PCT | ID | AET | ACT | Wait | ID | AET | ACT | Wait |
| 1 | Up | 14 | 47 | 1 | 14 | 47 | 0 | 2 | 15 | 18 | 0 |
| 2 | Down | 15 | 18 | 2 | 61 | 18 | 46 | 3 | 22 | 15 | 0 |
| 3 | Down | 22 | 15 | 3 | 61 | 18 | 42 | 1 | 37 | 47 | 23 |
| 4 | Up | 42 | 50 | 4 | 79 | 50 | 37 | 4 | 42 | 50 | 0 |
| Total: 125 min | Total: 23 min | ||||||||||
| Original Sequence | TSRS | FAHP-ES | OSS-SW | SSRL | |||||||||||||||
|---|---|---|---|---|---|---|---|---|---|---|---|---|---|---|---|---|---|---|---|
| ID | Direction | ID | Delay | ID | Delay | ID | Delay | ID | Delay | ||||||||||
| 1 | Downstream | 1 | 18 | 1 | 1 | 18 | 0 | 1 | 1 | 18 | 0 | 4 | 3 | 14 | 0 | 4 | 3 | 14 | 0 |
| 2 | Downstream | 1 | 19 | 2 | 1 | 19 | 0 | 2 | 1 | 19 | 0 | 1 | 3 | 18 | 2 | 6 | 8 | 18 | 0 |
| 3 | Upstream | 2 | 45 | 3 | 20 | 45 | 18 | 14 | 15 | 19 | 0 | 2 | 3 | 19 | 2 | 8 | 11 | 17 | 0 |
| 4 | Downstream | 3 | 14 | 4 | 65 | 14 | 62 | 13 | 15 | 19 | 1 | 6 | 8 | 18 | 0 | 11 | 12 | 16 | 0 |
| 5 | Upstream | 4 | 41 | 5 | 79 | 41 | 75 | 6 | 15 | 19 | 8 | 8 | 11 | 17 | 0 | 10 | 12 | 16 | 1 |
| 6 | Downstream | 8 | 18 | 6 | 120 | 18 | 112 | 12 | 15 | 19 | 3 | 15 | 28 | 40 | 3 | 14 | 15 | 19 | 0 |
| 7 | Upstream | 8 | 51 | 7 | 138 | 51 | 130 | 27 | 57 | 17 | 0 | 16 | 28 | 47 | 2 | 13 | 15 | 19 | 1 |
| 8 | Downstream | 11 | 17 | 8 | 189 | 17 | 178 | 19 | 57 | 18 | 25 | 17 | 29 | 46 | 1 | 12 | 15 | 19 | 3 |
| 9 | Upstream | 11 | 46 | 9 | 206 | 46 | 195 | 28 | 57 | 19 | 0 | 18 | 30 | 48 | 0 | 1 | 15 | 19 | 15 |
| 10 | Downstream | 12 | 15 | 10 | 252 | 15 | 240 | 4 | 57 | 19 | 59 | 9 | 30 | 48 | 21 | 2 | 15 | 19 | 14 |
| 11 | Downstream | 12 | 16 | 11 | 252 | 16 | 240 | 8 | 57 | 19 | 48 | 3 | 30 | 48 | 31 | 25 | 42 | 44 | 0 |
| 12 | Downstream | 15 | 16 | 12 | 252 | 16 | 237 | 10 | 57 | 19 | 49 | 5 | 30 | 48 | 33 | 22 | 42 | 49 | 5 |
| 13 | Downstream | 15 | 18 | 13 | 252 | 18 | 237 | 9 | 76 | 46 | 65 | 7 | 30 | 51 | 22 | 21 | 42 | 49 | 9 |
| 14 | Downstream | 15 | 19 | 14 | 252 | 19 | 237 | 25 | 76 | 46 | 36 | 11 | 81 | 16 | 69 | 23 | 42 | 49 | 6 |
| 15 | Upstream | 25 | 40 | 15 | 271 | 40 | 246 | 15 | 76 | 46 | 57 | 12 | 81 | 16 | 66 | 9 | 42 | 49 | 34 |
| 16 | Upstream | 26 | 47 | 16 | 271 | 47 | 245 | 23 | 76 | 47 | 38 | 10 | 81 | 16 | 70 | 15 | 42 | 49 | 26 |
| 17 | Upstream | 29 | 45 | 17 | 271 | 47 | 244 | 17 | 76 | 47 | 49 | 13 | 81 | 18 | 66 | 16 | 42 | 49 | 18 |
| 18 | Upstream | 30 | 48 | 18 | 271 | 48 | 241 | 16 | 76 | 47 | 50 | 14 | 81 | 19 | 66 | 17 | 42 | 49 | 17 |
| 19 | Downstream | 32 | 18 | 19 | 319 | 18 | 287 | 21 | 76 | 48 | 42 | 24 | 81 | 19 | 46 | 18 | 42 | 49 | 13 |
| 20 | Downstream | 32 | 19 | 20 | 319 | 19 | 287 | 18 | 76 | 48 | 46 | 30 | 81 | 20 | 21 | 3 | 42 | 49 | 44 |
| 21 | Upstream | 34 | 48 | 21 | 338 | 48 | 304 | 29 | 76 | 48 | 18 | 26 | 81 | 20 | 27 | 5 | 42 | 49 | 46 |
| 22 | Upstream | 37 | 49 | 22 | 338 | 49 | 301 | 5 | 76 | 48 | 79 | 27 | 81 | 20 | 27 | 7 | 42 | 51 | 34 |
| 23 | Upstream | 38 | 47 | 23 | 338 | 49 | 302 | 22 | 76 | 49 | 39 | 28 | 81 | 20 | 25 | 30 | 93 | 20 | 33 |
| 24 | Downstream | 41 | 13 | 24 | 387 | 13 | 346 | 7 | 76 | 51 | 68 | 19 | 81 | 20 | 51 | 19 | 93 | 20 | 63 |
| 25 | Upstream | 42 | 44 | 25 | 400 | 44 | 358 | 3 | 76 | 51 | 80 | 20 | 81 | 20 | 50 | 20 | 93 | 20 | 62 |
| 26 | Downstream | 55 | 19 | 26 | 444 | 19 | 389 | 20 | 127 | 19 | 95 | 25 | 101 | 44 | 59 | 24 | 93 | 20 | 59 |
| 27 | Downstream | 57 | 17 | 27 | 444 | 19 | 389 | 26 | 127 | 19 | 72 | 23 | 101 | 47 | 63 | 26 | 93 | 20 | 39 |
| 28 | Downstream | 57 | 19 | 28 | 444 | 19 | 387 | 11 | 127 | 19 | 118 | 21 | 101 | 48 | 67 | 27 | 93 | 20 | 39 |
| 29 | Upstream | 58 | 48 | 29 | 463 | 48 | 405 | 24 | 127 | 19 | 92 | 22 | 101 | 49 | 64 | 28 | 93 | 20 | 37 |
| 30 | Downstream | 60 | 20 | 30 | 511 | 20 | 451 | 30 | 127 | 20 | 67 | 29 | 101 | 49 | 44 | 29 | 113 | 48 | 55 |
| Total waiting time | 7143 min | 1304 min | 998 min | 673 min | |||||||||||||||
| Case | Case | ||||||
|---|---|---|---|---|---|---|---|
| 1 | 60 min | 0 | 0 | 7 | 60 min | 10% | 0 |
| 2 | 120 min | 0 | 0 | 8 | 120 min | 10% | 0 |
| 3 | 180 min | 0 | 0 | 9 | 180 min | 10% | 0 |
| 4 | 60 min | 0 | 10% | 10 | 60 min | 10% | 10% |
| 5 | 120 min | 0 | 10% | 11 | 120 min | 10% | 10% |
| 6 | 180 min | 0 | 10% | 12 | 180 min | 10% | 10% |
Disclaimer/Publisher’s Note: The statements, opinions and data contained in all publications are solely those of the individual author(s) and contributor(s) and not of MDPI and/or the editor(s). MDPI and/or the editor(s) disclaim responsibility for any injury to people or property resulting from any ideas, methods, instructions or products referred to in the content. |
© 2025 by the authors. Licensee MDPI, Basel, Switzerland. This article is an open access article distributed under the terms and conditions of the Creative Commons Attribution (CC BY) license (https://creativecommons.org/licenses/by/4.0/).
Share and Cite
Gan, S.; Wang, X.; Li, H. SSRL: A Clustering-Based Reinforcement Learning Approach for Efficient Ship Scheduling in Inland Waterways. Symmetry 2025, 17, 679. https://doi.org/10.3390/sym17050679
Gan S, Wang X, Li H. SSRL: A Clustering-Based Reinforcement Learning Approach for Efficient Ship Scheduling in Inland Waterways. Symmetry. 2025; 17(5):679. https://doi.org/10.3390/sym17050679
Chicago/Turabian StyleGan, Shaojun, Xin Wang, and Hongdun Li. 2025. "SSRL: A Clustering-Based Reinforcement Learning Approach for Efficient Ship Scheduling in Inland Waterways" Symmetry 17, no. 5: 679. https://doi.org/10.3390/sym17050679
APA StyleGan, S., Wang, X., & Li, H. (2025). SSRL: A Clustering-Based Reinforcement Learning Approach for Efficient Ship Scheduling in Inland Waterways. Symmetry, 17(5), 679. https://doi.org/10.3390/sym17050679
