Abstract
The target of this review is to familiarize researchers from the field, especially for those who want to find out information about the synthesis pathways of azulenes. The properties of the azulene system are very different from those of its isomer, naphthalene. This difference is a consequence of the monoaxial symmetry of azulene geometry and its non-alternating aromatic structure as opposed to the biaxial symmetry and benzenoid structure of naphthalene. The processing of the information from the literature on azulene synthesis is based on the raw materials from which the procedures start. In many cases, instead of the description of reaction pathways, presentation in the form of schemes was preferred, in which the steps and reaction conditions chosen for them, as well as the yields obtained, were highlighted.
1. Introduction
The azure-blue chromophore identified in blue fractions obtained, since the beginning of the last century, from the distillation of various oils, principally of sesquiterpenes and sesquiterpene alcohols, was named azulene. The correct structure for an azulene system, represented by guaiazulene, was established in 1926 by Ruzicka [1] and in 1936 Pfau and Plattner obtained azulene and 4-substituted azulene starting from 2,3,5,6,7,8-hexahydroazulen-4(1H)-one [2,3]. The passage of more than one hundred years since the first information about azulene has brought an impressive amount of information on its physical and chemical properties and its use in everyday life. We find it in medicine, in the preparation of nonlinear optical or electrochromic materials or in the cosmetics industry. So it is not surprising that a series of azulene compounds are commercial products that can be the starting point for a large number of syntheses.
The azulene system, bicyclo [5,3,0]decapentaene, can be built from different precursors, or the azulene compounds arise from other azulenes after chemical transformations. This review only deals with the first mentioned mode of azulene generation. Some reviews have been developed to date on azulene syntheses [4,5,6]; however, the most extensive was written by Zeller in “Methoden der organischen Chemie-Houben-Weil” [7]. In order to have a comprehensive look at the history of the development of the proposed subject, lots of information from these materials will be remembered, supplemented with literature focused on more recently published data.
The main resonance structures as well as the orbital molecular representation of azulene are shown in Scheme 1 along with its isomer, napthalene. Azulene system is only symmetrical with respect to the x-axis, while naphthalene is symmetrical with respect to the y-axis (Scheme 1). As a result, it would be expected that the non-alternating aromatic structure generated by “semi-symmetrical” azulene geometry would confer a degree of instability to its derivatives, which does not occur. When one electron is transferred from the 7-atom ring to the 5-atom ring, the azulene is stabilized by adopting a structure of tropylium cation and cyclopentadienyl anion for the two rings. Additionally, naphthalene isomer has four identical positions able to react, while the “semi-symmetrical” azulene has three pairs of identical positions (1,3; 4,8; 5,7) and two distinct positions (2 and 6). These special and interesting features of azulene structure have made the synthesis and the reactions of compounds containing this system a target for over one hundred years and for almost all the chemical schools in the world. The syntheses were chosen taking into account the availability of the starting materials, the nature and number of the substituents attached to the desired azulene, the number of reaction steps implied and their yields or the reaction conditions.
Scheme 1.
Symmetry of azulene versus naphthalene.
The syntheses were chosen taking into account the availability of the starting materials, the nature and number of the substituents attached to the desired azulene, the number of reaction steps implied and their yields or the reaction conditions.
In order to make it easier to follow the explanations regarding the reaction Schemes, the compounds were noted in Schemes with letters and the Scheme number was added to them in the text. Therefore, the same compound can receive a different number corresponding to the scheme in which it is present.
2. Beginnings
This section recounts the beginnings of interest for the synthesis of azulenes and contains only a few examples because a development of this subject can be found richly illustrated in the reviews already published and mentioned above.
In 1933 Hȕckel [8] ozonized [1-8]octahydronaphthalene, 2.A and added cyclodecan-1,6-dione, 2.I, after which, aldol condensates in basic medium and generates 2,3,5,6,7,8-hexahydroazulen-4(1H)-one (Hȕckel ketone), 2.B (Scheme 2). As mentioned above, Pfau and Plattner have achieved the total synthesis of the azulenes starting from this ketone [2]. Among the multiple syntheses of azulene developed afterwards by Plattner et al., the one which starts from 2,3,5,6,7,8-hexahydroazulen-1(4H)-one, 2.E gives pattern azulene as represented in Scheme 2 [9]. Interestingly, the use of carbon disulfide is in the presence of Mo-Ni for the hydrogen elimination with aromatization of more or less hydrogenated azulenes, as shown in Scheme 2 [10].
Scheme 2.
“Historical” syntheses of some azulenes [2,9,10].
3. Obtaining of Azulene Seven-Membered Ring from Precursors Containing Cyclopentadienyl or Cyclopentane Structure
3.1. Condensation Between Cyclopentadienyl Anions and Zincke Iminium Salts Glutaconic Aldehyde Derivativ
The excellent or good condensation yields and the accessibility of starting materials make the reaction between the cyclopentadiene system and derivatives of glutaconic aldehyde attractive for obtaining azulenes.
Theoretically, the reaction could be considered as a condensation between cyclopentadiene, 3.A, and glutaconic aldehyde, 3.B, (Scheme 3). However, the presence in the reaction medium of the base necessary for cyclopentadienylium anion generation converts the aldehyde into a structure similar to carboxylate ion, 3.B−, inactive in the condensation [11].
Scheme 3.
Attempt to condensation of cyclopentadiene and glutaconic aldehyde.
The problem was solved using Zincke aldehyde, a derivative of glutaconic aldehyde, as a starting reagent [12], so named in honor of the discoverer. There are two main routes for the generation of this aldehyde. The first route starts with the opening of pyridinium salts whereas the oxygen containing six-membered heteroaromatics represents the raw material for the second encountered pathway. The important contribution for the development of these synthetic routes belongs to Klaus Hafner [13]; therefore, these procedures bear its name [14].
3.1.1. Glutaconic Aldehyde Derivatives from Pyridinium Salts
Zincke aldehyde 4.A results in the reaction between pyridinium salt 4.B and N-methylaniline (Scheme 4) followed by the opening of pyridinium ring and hydrolysis of the iminium salt 4.C formed as intermediate. This salt can be considered, formally, a derivative of Zincke aldehyde and will be named hereafter Zincke iminium salts. In the presence of sodium ethoxide, cyclopentadiene reacts almost quantitatively with obtained aldehyde (route b in Scheme 4) and subsequently the vinylogous aminopentafulvene 4.I cyclizes, affording azulene [14,15]. The last step can be considered as a concentrated 10π electrocyclic cyclization of fulvene 4.I (step c) followed by the amine elimination (step d) and the generation of the azulene system with aromatic character as a driving force. An important increase in the condensation yields was reported using basic media generated by nonvolatile amines benzidine or triethanolamine at 200–220 °C [16].
Scheme 4.
Condensation of cyclopentadiene with Zincke aldehyde and derivative.
Another attempt for the azulene synthesis starts directly from the iminium salts derivative, 4.C, forerunner of Zincke aldehyde (route a in Scheme 4). However, the condensation with the cyclopentadienylium anion occurs slower and needs more severe reaction conditions that decrease the condensation yield to some extent [11].
The cyclic annulation of suitable fulvenes is a quasi-general procedure allowing the preparation of a wide range of azulene derivatives substituted on the five- or seven-rings as well as on both rings with moderate to good yields. It should be mentioned that, in some cases, the fulvenes were separated and characterized. From the large number of syntheses described in the literature, only a few will be exemplified in the current paper.
For the generation of azulenes with substituents at the small ring, the syntheses start from the substituted cyclopentadienes [7,11,13,16]. The equivalent positions in the monosubstituted cyclopentadienyl anion enable the formation of two isomers of monosubstituted azulene, 5.C and 5.D (Scheme 5). Substituents at position 1 are favored when alkyl or non-bulky groups are involved (compounds 5.C); however, the bulky tBu appears only at position 2 (compounds 5.D). The presence of aryl substituents significantly lowers the condensation yields due to the stabilization of the cyclopentadienyl anion, thus decreasing its nucleophilicity. This procedure was also applied to obtain azulene doubly substituted in the five-membered ring.
Scheme 5.
Synthesis of five-membered ring substituted azulene.
Working with substituted iminium salt, the resulting azulenes are substituted at a seven-membered ring (Scheme 6) [13,17,18,19]. The reaction route begins from the corresponding substituted pyridinium salts and follows the general route with moderate to good yields. Jutz et al. realized the compounds 6.L disubstituted at seven-ring, starting from Zincke aldehyde derivative 6.G [20].
Scheme 6.
Synthesis of substituted azulenes at the seven-membered ring.
Cyclopentadiene can be replaced by indene as in Scheme 7. After the reaction with Zincke aldehyde, the intermediate 7.B was cyclized in hot benzidine, with methylaniline removed affording benzo[a]azulene, 7.C [11].
Scheme 7.
Synthesis of benzo[a]azulene.
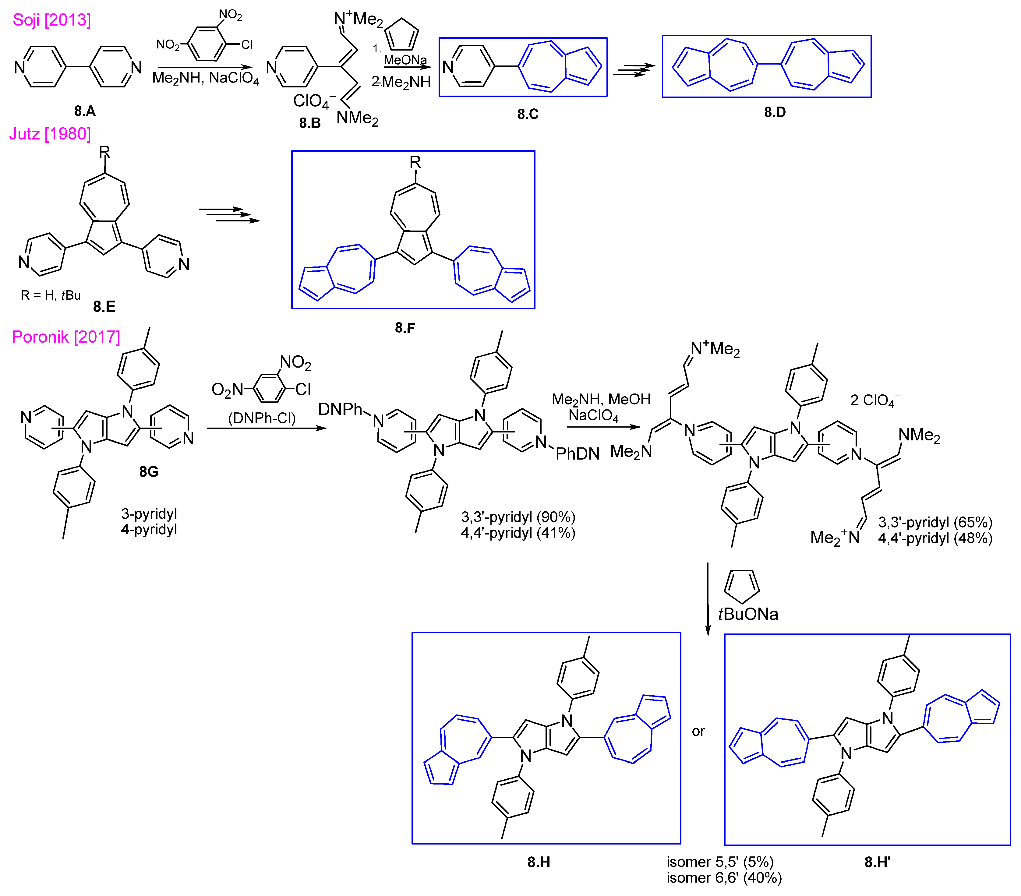
After a series of reactions starting from 4,4′-bipyridine, described in Scheme 8, [6,6′]biazulenes, 8.D was obtained [21] and a similar procedure was used by Soji et al. to give 1,6′:3,6″-terazulenes, 8.F from 1,3-di(pyridin-4-yl)azulene 8.E [22]. The reaction conditions and the overall yields depend on the starting reagent; however, the yields vary between low and moderate.
Scheme 8.
Synthesis of [6,6′]biazulenes, 1,6′:3,6″-terazulenes and pyrrolo [3,2-b]pyrroles with two azulene moieties [21,22,23].
For obtaining a pull-push-pull system with interesting optical properties, one of the most π-electron-rich systems, namely pyrrolo [3,2-b]pyrroles was connected with two azulene moieties, as shown Scheme 8 [23]. In order to highlight such properties, the azulene moieties must be linked at the seven-membered cycle. However, the electronic influence on the central heterocycle depends on the azulenes link position at this ring. The azulene influence is very limited for the involvement of position 5 (compound 8H) as it results from the absorption maximum, which is similar to that of 1,2,4,5-tetraphenyl-pyrrolo [3,2-b]pyrroles. However, the stronger conjugation for the link in position 6 (compound 8H′) provides an important bathochromically shifted absorption band. Scheme 8 describes the transformation of di(pyridyl)pyrrolo [3,2-b]pyrroles, 8.G into pyrrolo [3,2-b]pyrroles possessing two azulene moieties 8.H or 8.H′.
3.1.2. Glutaconic Aldehyde Derivatives from Pyrylium Salts
The pyrylium salts were used to achieve the derivatives of Zincke aldehyde [17] as exemplified in Scheme 9. Although Hafner et al. obtained 6-methoxyazulene, 9.E, with 56% yield, starting from pyrylium salt 9.D by means of iminium salt 9.I and fulvene 9.I′, refs. [19,24] pyridinium salts were preferred as raw materials in the nucleophilic substitution with the cyclopentadienyl anion as it will be discussed below.
Scheme 9.
Glutaconic aldehyde derivative from pyrylium salts and its use in azulene synthesis [17,24].
3.1.3. Glutaconic Aldehyde Derivatives from 4-Pyrone
In only a few cases, 4-pyrone was the starting point for the synthesis of azulene via glutaconic aldehyde. Some interesting products obtained in this way will be further exemplified. Furthermore, Bauer and Muller-Westerhoff reported the production of 6-substituted azulenes 10.D and 10.E as shown in Scheme 10 [25]. The nucleophilic ring opening in the presence of dimethylamine afforded dienone 10.B which, after the reaction with p-toluenesulfonyl chloride and NaBF4, produced a mixture of 3-tosyloxy, 10.CTsO and 3-chlorinated iminium salt, 10.CCl. The replacement of 3-tosyloxy resulted in the compound with dimethylamino group in this position, compound 10.CNMe2. Another method that produced the product 10.CNMe2 started from the dienone which was treated with Et3O+BF4− and Me2NH. Both the 3-tosyloxy and 3-dimethylamino derivatives reacted with cyclopentadienyl sodium, producing 6-dimethylaminoazulene, 10.D. Interestingly, the 3 chlorinated products 10.CCl reacted with cyclopentadienyl sodium and without intermediate separation, after reflux in toluene, produced 6-chloroazulene, 10.E.
Scheme 10.
6-Substituted azulenes from 4-pyrone.
For their interactions with alkaline and earth alkaline metal cations, azacrown ethers containing azulene were obtained: (azulen-6-yl)-1,4,7,10-tetraoxa-13-azacyclopentadecane and 16-(azulen-6-yl)-1,4,7,10,13-pentaoxa-16-azacyclooctadecane, 11.C (n = 1 and 2). For this purpose, Lohr and Vogtle started from 3-chlorinated iminium salt, 10.CCl, and the synthesis followed the pathway described in Scheme 11 [26]. Whereas the yields obtained for these products were good, the generation of the related compound 11.D, on occurred on a similar route with a low yield.
Scheme 11.
Synthesis of azacrown ethers containing azulene.
More recently, Wakabayashi et al. synthesized other series of azulenic azathiacrown ethers, which can be used as detectors for heavy metals [27]. The products 12.D and 12.E were obtained, as shown in Scheme 12. The reaction route started with the substitution of azathiacrown ethers 12.A or 12.B with 10.CTsO and the condensation of intermediate with cyclopentadienyl anion. In the first described synthesis, alongside the main product, 6-dimethylaminoazulene, 10.D was also produced.
Scheme 12.
Synthesis of cations azathiacrown ethers containing azulene.
3.1.4. Iminium Salt Derivatives on Other Routes
The literature also describes other procedures for the formation of Zincke aldehyde derivatives used for generation of fulvenes as intermediaries in the preparation of azulenes. In one such synthesis, the carbonyl group of compounds 13.A or 13.B was condensed with dimethylamine in the presence of boron trifluoride etherate [28], affording the “Zincke iminium salts” 13.C and 13.E (Scheme 13). Further, the obtained fulvenes 13.D and 13.F were cyclized affording the azulenes 6.L and 13.G; moderate yields were reported for these reactions.
Scheme 13.
“Zincke aldehyde derivatives” used in the azulenes synthesis.
One of the biazulenes, namely the one dimerized in positions 5, was reported by Hanke and Jutz and its preparation is represented in Scheme 14 [29]. The synthesis was based on the Ziegler-Hafner protocol and started form pentamethinium salt 14.C with two “Zincke iminium salt” in molecule. Reaction with cyclopentadienyl anion and in situ cyclization-afforded [5,5′]biazulenyl, 14.D.
Scheme 14.
[5,5′]Biazulenyl synthesis.
3.2. Fulvenes as Starting Compounds in the Building of Seven-Ring Azulene
3.2.1. Fulvenes After Nucleophilic Substitution of Pyridinium Salts with Cyclopentadienyl Anion
In an effort to avoid the Zincke aldehyde and its derivatives, N-alkylpydidinium salts were directly condensed with cyclopentadienyl anion. As can be seen in Scheme 15, azulenes substituted in any of the rings were obtained in this way depending on the starting material.
The reaction between 1-butyl-4-methylpyridinium salt and cyclopentadienyl anion was carried out by Rudolf et al. and afforded 6-methylazulene, 15.D [30]. They obtained the anion from cyclopentadiene in the presence of NaH and accomplished the condensation and cyclization under thermal heating. Wanting to use 6-methylazulene in a series of reactions, Leino et al. optimized this reaction [31]. Using microwave heating, the yield in the 6-methylazulene was 64%. (The 80% yield, previously reported by Rudolf et al., has been challenged). This procedure was used also for the synthesis of 1,2,3-triphenylazulene, 15.H, with a yield of 20% (Scheme 15) [32]. On this route Alder et al. prepared various alkylated azulenes, 15.K, with the aim of generating a series of azulene-based liquid crystals which exhibited monotropic smectic behavior [33]. Low yields were obtained except for the dimethyl azulenes substituted in 4,6 and 5,6 positions. Chamazulene, 15.J, was also obtained by Hafner as described in Scheme 15 [13] using both alkylated forerunners. The same Scheme includes the synthesis of benzo[f]azulene 15.M starting from 2-methylisoquinolinium, 15.L [34].
Scheme 15.
Nucleophilic substitution of pyridinium salts with cyclopentadienyl anion [30,31,32,33,34,35].
Scheme 15.
Nucleophilic substitution of pyridinium salts with cyclopentadienyl anion [30,31,32,33,34,35].

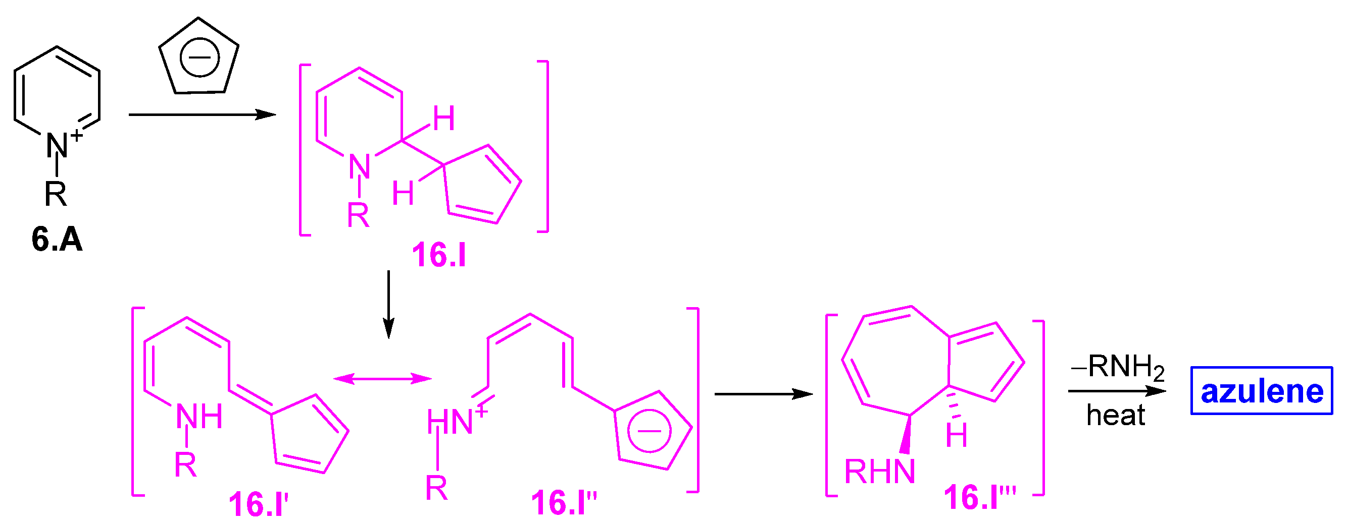
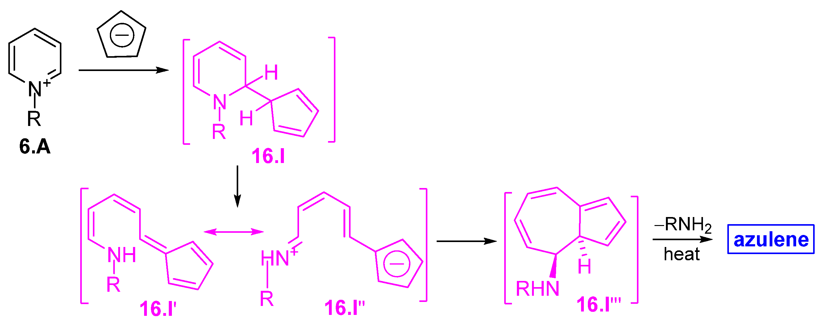
The nucleophilic substitution of pyridinium salts with cyclopentadienyl anion follows the pathway described in the Scheme 16 [13,35]. The first step is the nucleophilic attack of the cyclopentadienyl anion on the pyridinium ring affording the intermediary 16.I. After the ring opening and fulvene generation, this intermediate undergoes ring nucleophilic recyclizations and, without separation, the new intermediate 16.I‴ was transformed into the azulenic system by pyrolysis.
Scheme 16.
Proposed mechanism for azulene synthesis starting from nucleophilic substitution of pyridinium salts.
3.2.2. Fulvenes After Nucleophilic Substitution of Pyrylium Salts with Cyclopentadienyl Anion
The enhanced nucleophilicity of pyrylium system 17.A compared with that of pyridinium 6.A provides a smoother pathway for the reaction with cyclopentadienyl anion (Scheme 17) and ensures higher azulenes yields after the heterocycle opening and the closing of the seven-membered azulene ring. The elimination of the amine in the previously discussed procedures takes place at a higher temperature, while the present reaction occurs at room temperature or with slight heating. Moreover, the easy availability of pyrylium salts and their good stability has led to their use on a large scale with the aim of generating azulene products. Although the process was already reported by Hafner and Kaiser in 1958 [36], as it will be seen, the interest for this synthesis is still present. Scheme 17 shows the nucleophilic substitution performed by Hafner and continued by Dorofeenko et al., [37] which finally afforded azulenes 17.B. The Hafner series of results were obtained using sodium salt of cyclopentadiene whereas lithium salt was the reagent used by Dorofeenko.
Scheme 17.
Nucleophilic substitution of pyrylium salts with cyclopentadienyl anion and the intermediate cyclization [36,37].
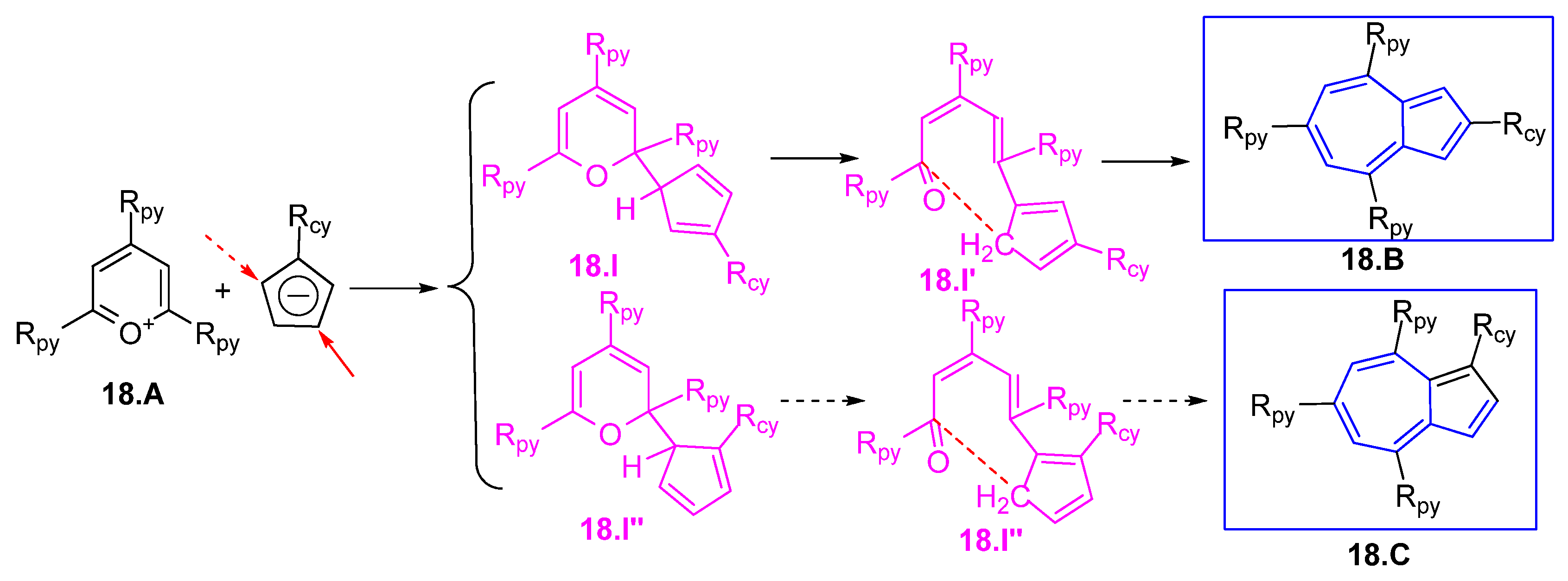
In the reaction of pyrylium salts with substituted cyclopentadienyl anion, problems arise related to the position in which the substituent appears finally in the five-azulenic ring due to the possible reaction routes described in Scheme 18. The nucleophilic attack of pyrylium salt with α or β position of anion can produce 1- or 2-substituted azulenic isomers, 18.B and/or 18.C. Unfortunately, the results found in the literature are not always consistent regarding the ratio between the obtained isomers if both isomers are present. Thus, in the reaction of methylcyclopentadienyl anion with trimethylpyrylium salts, whereas Hafner et al. [36] reported the exclusive generation of a 27% yield of 2-methylazulene, Anderson et al. [38] in the same reaction conditions obtained with a 11–14% yield a mixture of 2- and 1-methyl substituted azulenes in the ratio 34:66.
Scheme 18.
Nucleophilic substitution of pyrylium salts with the substituted cyclopentadienyl anion and the seven-ring closure.
Generally, at the condensation of substituted cyclopentadienyl anion, the formation of the 2-substituted isomer can be observed exclusively or with predilection. This selective reaction should be emphasized because the reaction of this anion with the alkylated Zincke aldehyde produces only (or mainly) 1-alkylazulenes as it resulted from Scheme 5. Steric hindrance in the intermediate 18.I″ could explain this behavior. The reaction of phenyl substituted cyclopentadienyl anion, 19.A with 4,6,8-trimethylpyranylium perchlorate takes place with a 15–20% yield of compound 19.B with phenyl only in position 2 (Scheme 19) [39]. Ethyl 4,6,8-trimethylazulen 2-carboxylate, 19.D was also selectively formed in a 47% yield when the sodium salt of methyl cyclopentadiencarboxylate, 19.C was treated with trimethylpyranylium perchlorate in boiling methanol (Scheme 19) [40]. Amazingly, if the methanol was replaced by THF as solvent, an inseparable mixture of 1- and 2- carboxylate isomers was obtained in a low yield. Recently, this procedure was used in an attempt to obtain azulenephosphines 19.F [41]. The reaction between diphenylphosphine substituted cyclopentadienyl anion, 19.E and pyranylium tetrafluoroborate in THF yielded 2-diphenylphosphine-4,6,8-trimethylazulene in only a 3% yield (Scheme 19). The reduced yield was very readily ascribed to the aerobic oxidation of product to phosfinoxide.
Scheme 19.
Reaction of 2,4,6-trimethylpyrylium salts with the substituted cyclopentadienyl anion [39,40,41].
This synthesis was utilized by Razus and collaborators to prepare [1,6]biazulenyl system, possessing varied functional groups that did not interfere or interfere in a low extent with the strong basic medium needed for condensation (Scheme 20). The yields vary from fair to good [42].
Scheme 20.
Preparation of the new [1,6′]biazulenyl system.
3.3. Fulvenes as Starting Compounds with a Five-Azulenic Ring
The procedures described in the above section assume the formation of fulvene systems as intermediates that provide the five azulenic ring. In some cases, the fulvenes could be separated and characterized. The following section considers the syntheses that start from fulvenes. These compounds were one of the components of [6+4]cycloadditions with a variety of cyclic or acyclic dienes to give azulenic compounds. Their use in [8+2] cycloaddition as well as the starting compounds in 10π electrocyclic reactions was also taken into account.
3.3.1. Fulvenes in [6+4]Cycloadditions with Cyclic Dienes
Half a century ago, Sato et al. have reacted 6-aminofulvenes, 21.A, with esters of 2-oxo-2H-pyran-5-carboxylyc acid, 21.B, with or without substituents (Scheme 21) [43]. From the two possible cycloadditions the reaction route involves the intermediate 21.I, resulted after [6+4] cycloadditions. After the elimination of amine and cheleotropic CO2 extrusion, azulenes 21.C result in low yields. The research on the cycloaddition of fulvenes with 2-oxo-2H-pyran derivatives were continued by Hong et al. [44,45]. They considered that the cycloaddition yield could be enhanced by increasing the electron density at the C-6 position of fulvene working with fulveneketene acetal 21.D and, indeed, the yield in azulene 21.H rose to 40%. An improvement of the cycloaddition yield was obtained by the authors replacing the conventional heating with microwave irradiation [46] (Scheme 21). It should be mentioned that the developed azulene-indoles 21.J in this last research have anti-neoplastic activity.
Scheme 21.
[6+4]Cycloadditions of fulvenes with 2-oxo-2H-pyran derivatives [43,45,46].
Another set of cyclic dienes used in [6+4]cycloadditions with fulvenes is that of thiophene-S,S-dioxide derivatives. The reaction routes and the obtained results for this important procedure, reported by different research groups, are described in Scheme 22. After cycloaddition, the aromatization occurs by the spontaneously elimination of amine and SO2. Copland et al. [47] started form the symmetrical thiophene-S,S-dioxide, 22.A, and obtained a single product namely azulene or 3,4-dichloroazulene. More complicated was the use of asymmetrical thiophene derivatives as compounds 22.C [48,49] or 22.G [50]. The reaction can afford two regioisomers with a ratio that depends on the reagent’s structure, as well as on the reaction conditions. Reiter et al. [48] consider the regioselectivity of the products as an example of compliance with the prediction of frontier orbital [51]. The obtained yields for this series of reactions were low, possibly due to the thiophene dioxide dimerization and to the reaction with resulted amine, excepting the reaction of 3,4-dichlorothiophene dioxide (60% yield) with a higher stability when compared to similar reagents from the same class. It is also worth mentioning the attempt of Lou et al. to obtain octachlorazulene 22.M [52]. For this purpose, the [6 +4] condensation of the tetrachloro derivative 22.K with fulvene 21.A was carried out with a modest yield. Several steps led to the octachloro derivative 22.M. More recently, Amir et al. provided access to novel dibrominated azulenes 22.O through the regiospecific cycloaddition of 2,5-dibromothiophene-S,S-dioxides, 22.N, and fulvenes [50]. This very good selectivity was explained by the authors using density functional theory calculations at the B3LYP/6-31G* level. The subsequent microwave-assisted Stille cross-coupling with trimethylstannylthiophene afforded the product 22.P, a building block for the construction of stimuli-responsive oligomers.
Scheme 22.
[6+4]Cycloadditions of fulvenes with thiophene-S,S-dioxide derivatives [47,48,49,50,52].
3.3.2. Fulvenes in [6+4]Cycloadditions with Acyclic Dienes
The azulene generation was also realized by cycloaddition [6+4] between acyclic dienes and fulvenes. With the aim of obtaining the spontaneous aromatization which follows the cycloaddition, easily removed substituents were chosen for dienes as well as for position 6 of fulvenes. Thus, the diene substituted with amino groups was coupled with electron-rich esters of 6-hydroxyfulvene 23.A (Scheme 23) [53]. The yields decreased from 68% for p-nitrobenzoate to 12% for acetate. The attempt to use “Danishevsky diene” 23.E (1-methoxy-3-trimethylsilyloxy-1,3-butadiene), for obtaining 6-hydroxyazulene, 23.F, proceeded with a low yield.
Scheme 23.
Fulvenes in [6+4]cycloadditions with acyclic dienes [53,54].
As stated above, the presence of other substituents at 6-position of fulvene, e.g., alkyl or phenyl, prevents the removing a molecule, e.g., methane or benzene, as a last step in the reaction development (Scheme 23) [54]; therefore, the adduct 23.J represents the reaction product. If the dehydrogenation of the adduct is possible, the azulenes were generated, for example, in the presence of chloranil 23.J→23.K, as in Scheme 23. Where the yield of the cycloadditions varies between 21 and 60%, the hydrogen elimination yield is poor (often about 5%).
3.3.3. Fulvenes and Fulvenoid Derivatives Involved in 10π Electrocyclic Reactions; Polycyclic Azulenes Building
An important contribution to the study of the use of fulvenes in a series of condensation reactions with the formation of important products was made by Jutz and his research group. One of their concerns was mainly focused on obtaining polycondensed azulene compounds. Several results reported by this group were described in Razus’s recently published review [55]. However, for the logical development of the subject that belongs to this Section, some of Jutz group results are reproduced here.
The first step in the synthesis described in Scheme 24 [20] is the condensation between the 6-dimethylamino-2-(dimethyliminomethyl)fulvene, 24.A, and the allylic anion resulting from alkene 24.B with the elimination of dimethylamine. The resulting intermediate 24.I undergoes a 10π electrocyclic condensation described in Scheme 24 and the seven-atom ring thus formed in intermediate 24.I′ is finally aromatized by the thermal elimination of one more molecules of dimethylamine. Acceptable yields were obtained for azulenes 24.C.
Scheme 24.
Example of 10π electrocyclic condensation.
Further, in Scheme 25, some examples of polycyclic azulenes building starting from salt 22.A are presented as well as more complex anions resulting from the treatment with MeONa of phenalene 25.A [56,57], fluorine 25.B [20] and azulene-2-acetonitrile 25.C [58].
Scheme 25.
Polycyclic azulenes building [56,57,58].
The low acidity of methyl groups in 4-, 6- and 8-positions of azulene favors the condensation with substituted iminium salt 26.A and the pathways of such reactions along with their yields are described in Scheme 26 [59]. Interestingly, starting from 4-methyl azulenes, the ring clothing occurred at 1-position and not at 7-position.
Scheme 26.
Azulenes starting from acidic 6- or 4-methyl belonging to azulene.
During the synthesis of very interesting dicyclopenta [ef,kl] heptalens, (azupyrene), 27.E reported by Jutz and Schweiger, two steps of 10π electrocyclic condensation were noted (Scheme 27). The first leads to compound 27.B and the second affords the product 27.D, the precursor of 27.E [60].
Scheme 27.
Synthesis of dicyclopenta [ef,kl] heptalens.
3.3.4. Fulvenes in [8+2]Cycloadditions with Acetylenes
The current Section 3.3 ends with the process in which a fulvene and an alkyne undergo a [8+2] condensation as described in Scheme 28 and Scheme 29. The synthesis described in Scheme 28 occurred in mild conditions (0 °C); however, together with azulene 28.C, dimethyl 4,5-azulenedicarboxylat, 28.D was present in the reaction mixture as the major product. The authors proposed a [8+2] condensation mechanism for the formation of azulene but did not comment on the generation route of alkene 28.D [61].
Scheme 28.
[8+2] Additions of fulvenoid compound 28.A and dimethyl acetylenedicarboxylate.
Scheme 29.
Introduction of the nitro group in the seven-ring of azulene.
Starting from salt 29.A, the [8+2] additions were also used for the introduction of nitro group in the seven-ring of azulene as shown in Scheme 29 for the product 29.B [62].
3.4. Other Azulene Precursors Containing Cyclopentadienyl or Cyclopentane System
3.4.1. Seven Ring Building by Cyclocondensation of Dicarboxylic Groups
“Wislicenus cyclocondensation” of octanedicarboxylic acid derivatives in the presence of barium salts or hydroxide at relatively high temperature affords cycloheptanone system. Plattner [63], and later Bergmann and Ikan [64], obtained the cyclic ketones 30.B or 30.E (Scheme 30) starting from the “symmetrical” octanedicarboxylic acids 30.A. As can be seen, the ketones can be converted in a tertiary alcohol 30.C, which after dehydration and dehydrogenation afforded azulene 30.D. The generation of hydrocarbon 30.F and its dehydrogenation was an alternative for building azulene system, 30.G.
Scheme 30.
Cyclocondensation starting from the “symmetrical” octanedicarboxylic acids and subsequent generation of azulene [43,44].
The application of procedure described in this section is rarely encountered for building of azulene skeleton because the syntheses of the dicarboxylic acids used are difficult due to numerous required steps. However, the procedure seems to be advantageous for the preparation of almost all the desired isomers with alkyl or aryl groups on both azulene rings despite the reported moderate yields. Scheme 31 shows some examples in this respect [65,66,67]. The authors also described the preparation of the used unsymmetrical octanedicarboxylic acids; however, this material was omitted in order not to unnecessarily load the review.
Scheme 31.
Cyclocondensation starting from the “unsymmetrical” octanedicarboxylic acids and subsequent generation of azulene [65,66,67].
3.4.2. Azulene Synthesis from the Ramirez Ylide
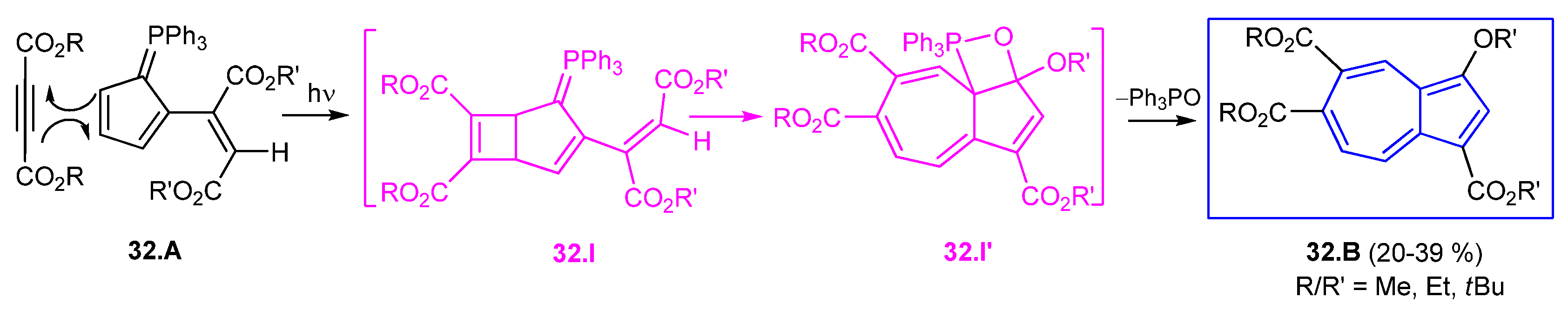
Higham et al. used Ramirez ylide 32.A [68] with an excellent reactivity in order to afford the azulenic system [69]. As shown in Scheme 32, the first synthesis step is represented by a cycloaddition across the C4–C5 bond of the cyclopentadiene ring and a molecule of activated alkyne. The intramolecular Wittig reaction gives the cyclic intermediate 32.I′ the precursor of azulene 32.B.
Scheme 32.
Azulene synthesis starting from the Ramirez ylide.
3.4.3. Divinylcyclopropane-Rearrangement for 4-Cyanotetrahydroazulenes and 4-Cyanoazulenes Generation
The presence of electron-withdrawing cyano group attached to azulene gives it the property of a strong electron acceptor. Although this can be considered a preamble to the use of azulene in a series of technical fields, there have only been a limited number of reports on the properties of cyanoazulenes because of their low accessibility. Therefore, the syntheses protocol presented by Tanino et al. represents a favorable way to obtain 4-cyanoazulene families as described in Scheme 33 [70]. The divinylcyclopropane 33.C, containing the cyclopentene skeleton, was converted to 4-cyano-1,2,3,5,8,8a-hexahydroazulen-1-one, 33.D. This intermediate was a good starting point for the syntheses of interesting compounds described in Scheme 33. The azulene dimer 33.M and compound 33.L are of interest due to spectral and redox properties amplified by electronic expansion between the two azulene chromophores.
Scheme 33.
4-Cyanoazulenes generation.
4. Obtaining Azulene Five-Membered Ring from Precursors Containing Seven-Membered Ring
4.1. Five Ring Building by Cyclocondensation of Dicarboxylic Groups
The “Wislicenus” cyclocondensation” of hexanedicarboxylic acid developed by Šorm et al. [71], used for the creation of the azulene five-membered ring (Scheme 34), have more of an historical relevance.
Scheme 34.
Cyclocondensation of hexanedicarboxylic acid A and the subsequent generation of azulene.
4.2. Cycloheptanone and Derivatives as Starting Materials
The availability of cycloheptanone derivatives stimulated research that use these compounds as starting materials, despite the complexity of synthesis for some from the proposed azulenes and the low yields in reaction products.
Scheme 35 shows the pathways for azulene five-membered ring generation staring from cycloheptanone 35.A and passing through intermediary dicarboxylic acid 35.B, which suffers Wislicenus’ cyclocondensation [72,73].
Scheme 35.
Azulene multisteps starting from cycloheptenone A.
Further, other procedures based on carbonyl reactivity with a series of adequate synthons, as those described in Scheme 36 will be outlined. Synthesis proposed by Plattner and Büchi, (route 1), starts from cycloheptanone which was Stobbe condensed with diethyl succinate [74]. The intermediate 36.B was cyclized in the presence of zinc chloride to the octahydroazulen-2-one, 36.C. The two reaction routes afforded the ethyl azulene-1-carboxylate, 36.D [74], or other azulene substituted in position 1, 35.E [75]. 2,3,5,6,7,8-Hexahydroazulen-1(4H)-one unsubstituted or with Me in position 3, 36.J, was intermediate in the alternative synthesis of azulenes 36.E, as proposed by Braude and Forbes (route 2) [76]. For this synthesis, cycloheptanone was transformed into the lytic compound 36.F which reacted with unsaturated aldehyde. The condensation product 36.G was oxidized and finally the divinyl ketone 36.H was cyclized, using Nazarov cyclization, to the bicyclic ketone 36.J. Another annelation of 36.H by Nazarov cyclization was realized after its synthesis following route 3 [77]. The Me3SiCN adduct of crotonaldehyde reacted in a strong basic medium with cycloheptanone and the obtained alcohol 36.L can be dehydrated to the enone 36.H with very active dehydrating agents or by heating with TsOH in toluene. The last treatment directly achieved the five-ring closing. The reaction of the carbonyl group with prop-1-yne derivatives possessing a dialkylamino group for deactivating the propargylic position, as in compound 36.M, affords acetylenic alcohol 36.N [78]. After three steps, as shown in route 4, the bicyclic ketone 36.J was generated.
Scheme 36.
Azulenes syntheses starting from cycloheptanone [74,75,76,77,78].
Unlike the above described involvement of the carbonyl function in the starting reaction step for azulene building (Scheme 36), the reactivity of β-ketoester 37.A allowed the attack of the reactive α-position before the involvement of the C=O group. From the syntheses reported in the literature, starting from compound 37.A, Scheme 37 is limited to 4 examples. For the route (1) [79] after reaction of salt obtained from 37.A with propargyl bromide [80] the triple bond was hydrated using the Kucherov protocol [81]. The subsequent alkaline internal condensation to compound 37.D, and the subsequent CO2Et elimination, both with good yields, generated 4,5,6,7,8,8a-hexahydroazulen-2(1H)-one 37.E. After several successive steps, a “pattern” azulene was obtained. The compound 37.E was also used by Wada et al. for obtaining 2-methylazulene with a good yield in the route (2) described. The same position in β-ketoester A was alkylated by Prelog et al. [82] for the introduction of three atoms chain with another synthon, diethyl-methyl-(3-oxo-butyl)-ammonium chloride as indicated by route (3). The resulting diketone was reduced by Loyd and Rowe in pinacolic conditions giving the five-membered ring as in intermediate 37.I [83]. The favorable position of ester group allows its interaction with 1-hydroxyl group to form the lactone 37.J, albeit with very small yield. This lactone was decarboxylated, dehydrated and dehydrogenated to 1-methylazulene. Other lactone, 37.M, was also reported as intermediate in the sequence of route reactions (4). The obtained yields to ketone 37.N were between 55 and 80%; however, the generation of one or two substituted azulenes 37.O proceeded under 10% yields.
Scheme 37.
Ethyl 2-oxocycloheptanecarboxylate forerunner for azulenes [77,79,80,81,82,83].
Next, although it does not quite fit into the subject, it is worth noting a synthesis of compound 37.E mentioned in the previous scheme with good yield [84]. The unsaturated diazoketone employed was prepared in the usual manner via the treatment of the respective acid chlorides with excess diazomethane (Scheme 38). The mixture of alkenes resulting from the proton elimination is rearranged to isomer 37.E—more thermodynamically stable.
Scheme 38.
Synthesis of 4,5,6,7,8,8a-hexahydroazulen-2(1H)-one.
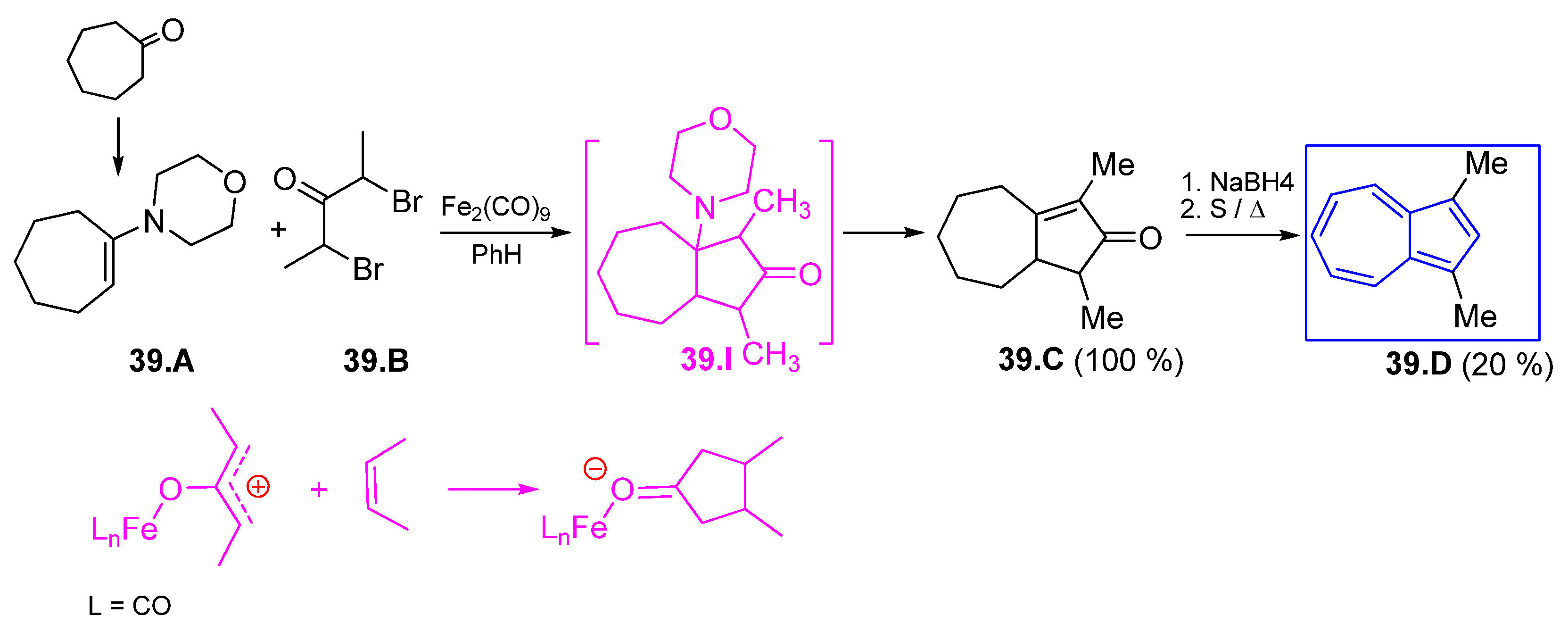
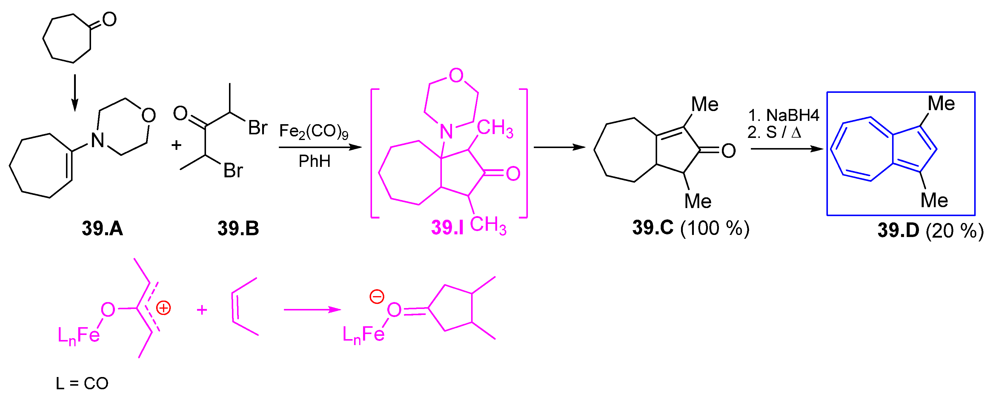
Noyori synthesis represents an elegant way to introduce the three atom synthons to the seven-membered ring, namely iron carbonyl promoted [3+2] cycloaddition of α,α′-dibromo ketones and olefins (Scheme 39) [85,86,87]. The reaction of dibromo ketones, 39.B, and cycloheptanone enamines, 39.A proceeds quantitatively but it has the disadvantage of being sensitive to air, humidity and the use of iron-carbonyl, which is toxic and volatile. Scheme 39 shows the development of the reaction after cycloaddition to azulene 39.D.
Scheme 39.
Azulene by [3+2] cycloaddition of α,α′-dibromo ketones and olefins.
The literature described a series of procedures for obtaining cycloheptanone and derivatives that can be azulene precursors which were not used for this purpose. However, their possible use justifies the mention of some of them in this Section at Scheme 40 [88,89,90,91,92,93].
Scheme 40.
Several cycloheptanone and derivatives azulene precursors [88,89,90,91,92,93].
4.3. Cycloheptene and Derivatives as Starting Materials
For obtaining 2-methylazulene, cycloheptene 41.A and diazoacetone were reacted and produced bicyclic ketone 41.B, as described in Scheme 41 [94]. The rearrangement of 41.B afforded oxolan-2-ylium ion 41.I and was followed by the intermediate transformation in γ-hydroxyketone 41.C and, after Jones’ oxidation, in γ-diketone 41.D. The diketone was further cyclized and the 2-methylazulene was obtained by the generally known route.
Scheme 41.
Cycloheptene and derivatives as starting materials for azulene synthesis.
As mentioned in the previous section for cycloheptanone, the use of cycloheptene in a series of syntheses gives a potential starting material for obtaining azulenes (Scheme 42) without being developed for the generation of azulenes [91,95,96,97].
Scheme 42.
Azulene forerunners [91,95,96,97].
4.4. Cycloheptatrienes, Tropylium Ions and Their Derivatives as Starting Materials
Cycloheptatrienes substituted with functional groups in different positions were used as raw materials for the obtaining azulenes. In this regard, Watanabe and Soma synthesized 2-phenylazulene by Wittig reaction between 2-(cyclohepta-2,4,6-trienyl)-1-phenylethanone, 43.A, and (methoxymetylene)triphenylphosphorane, followed by cyclization of intermediate 43.C (Scheme 43) [98]. The final aromatization occurred with the formation of a mixture of 2-phenylazuene and in high amount 2-(2-phenylazulen-1-yloxy)ethanol 43.F. The overall synthesis yield was low.
Scheme 43.
2-(Cyclohepta-2,4,6-trienyl)-1-phenylethanone as starting material for 2-phenylazulene.
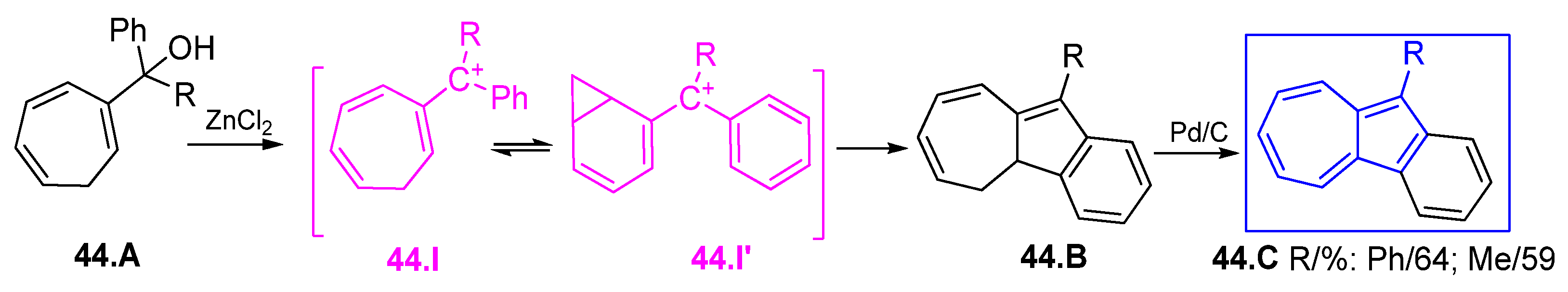
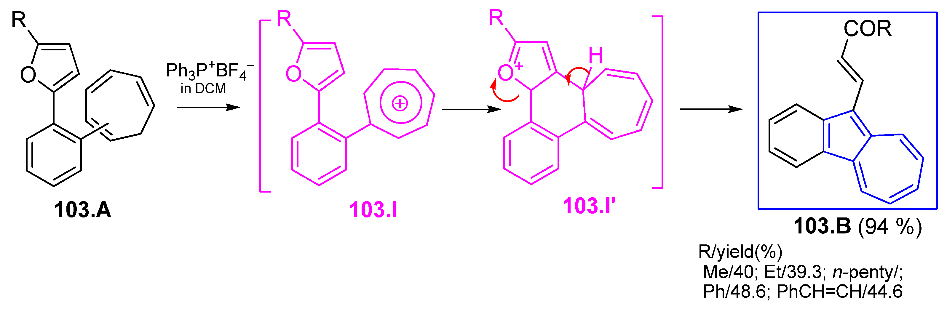
In the study that deals with electrocyclization of cycloheptatrienylphenylcarbonium ions (intermediates 44.I and 44.I′ in Scheme 44), Oda and all. obtained in good yields 4b,5-dihydrobenz[a]azulene, 44.B, which was dehydrogenated to the corresponding benz[a]azulene, 44.C [99].
Scheme 44.
Benz[a]azulene synthesis.
The preparation of a series of heteroaryl substituted azulenes 45.E or 45.F (with Ar = 2-furyl, 2-thienyl and 2-pyridyl) was realized by Oda et al. in good yields from two substituted cycloheptatrienes 45.A (Scheme 45) [100,101]. Nazarov cyclization of 45.A with trimethylsilyl triflate afforded 3-aryl-1,2,3,8-tetrahydroazulen-1-ones, 45.C. The intermediate 45.D resulted from 45.C or with reduced yield directly from compound 45.B. This is the key compound for obtaining mono- or bi-arylated azulenes 45.E or 45. Reaction conditions and the obtained yields are described in Scheme 45.
Scheme 45.
Heteroarylazulenes from 2 substituted cycloheptatrienes [100,101].
The same keto ester is also found in the synthesis of 2-acetylazulenes mono or bi-substituted at small azulene ring, as shown in Scheme 46 [102]. Modest yields and the obtaining of product mixtures limit the application of this procedure.
Scheme 46.
Synthesis of 2-acetylazulenes mono or bi-substituted at small azulene rings.
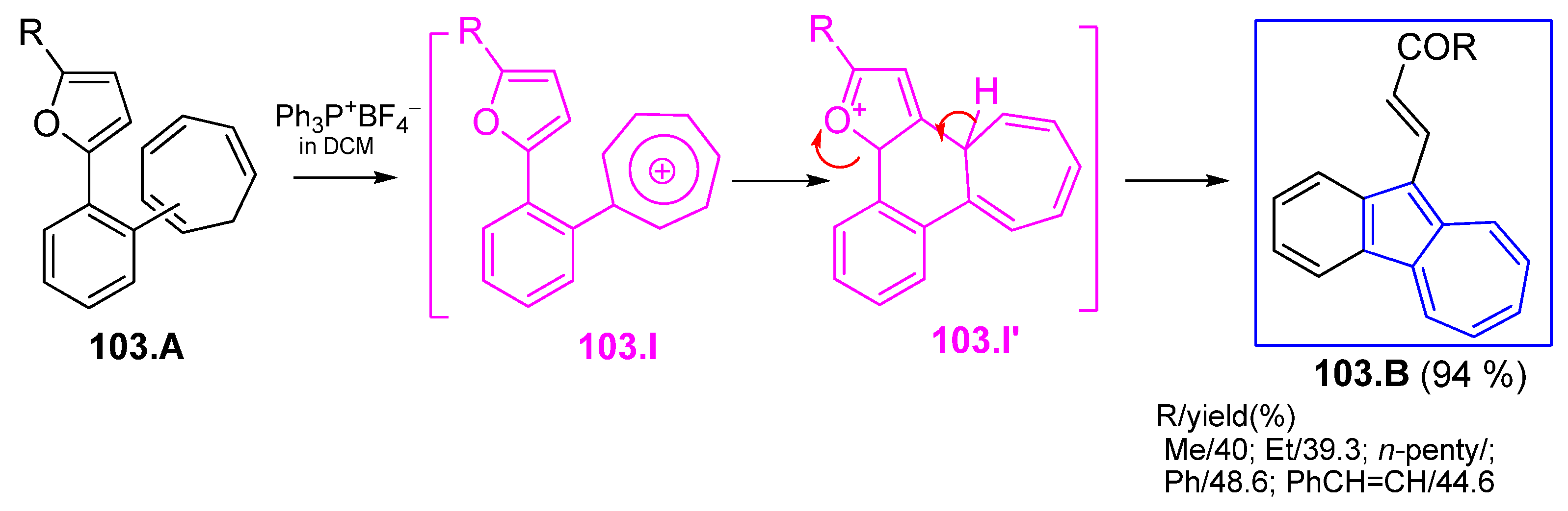
A rich variety of alkyl substituted azulenes was reported starting from derivatives of 1,1-dichloro-3,3a,4,8a-tetrahydroazulen-2(1H)-one, 47.E. The synthesis of these raw materials was reported by Morita et al. in 2001 when they also obtained 2-hydroxyazulene, 47.F, as represented in Scheme 47 [103]. Obtaining and using the compound 47.E was continued and completed later by Carret et al. [104,105] and the reaction route described by both research teams is shown in Scheme 47. These products were obtained in the overall yields of 45–53% from cycloheptatriene derivatives through a doubly regioselective cycloaddition of dichloroketene, a regioselective ring expansion with ethereal diazomethane, and dehydrochlorination in dimethylformamide.
Scheme 47.
Synthesis of 1,1-dichloro-3,3a,4,8a-tetrahydroazulen-2(1H)-one derivatives [103,104,105].
Scheme 48 completes Scheme 47 and shows the generated products by Carret et al. based on compounds 47.E (the meanings for R and R′ can be found in Scheme) as raw materials. To avoid a more extensive discussion, the Scheme contains the reaction conditions for the transformations of these compounds and the reported yields.
Scheme 48.
Synthesis of alkyl substituted azulenes based on 1,1-dichloro-3,3a,4,8a-tetrahydroazulen-2(1H)-one derivatives (47.E) [104,105].
Tsuruta et al. developed a procedure for obtaining azulenes 49.D to 49.G with CN or CO2Me as substituents at the five-atom ring, starting from 8-(2,2-disubstituted vinyl)heptafulvenes 49.C generated, in turn, from (2,4,6-cycloheptatrienyl)acetaldehyde 49.A as shown in Scheme 49 [106]. The formation of 1,2-disubstituted azulenes could be derived by 1,5-cyano migration or by 1,5-methoxycarbonyl migration in an intermediate dihydroazulene.
Scheme 49.
Obtaining azulenes with CN at the five azulene ring.
Prizbach synthesized compound 50.K (Scheme 50) on a similar route, as described in Scheme 49 [107,108].
Scheme 50.
Obtaining azulenes with CO2Me at the seven azulene ring.
The substituted or unsubstituted tropylium cation was also used as a starting material in some azulene syntheses. One procedure exemplified and described in Scheme 51 involves the addition of tropylium cations 51.A to allenylsilanes 51.B and is based on the general [3+2] annulation strategy [109].
Scheme 51.
Tropylium cation as starting material in some azulene syntheses.
4.5. Azulene Five-Membered Ring from Troponoid Compunds
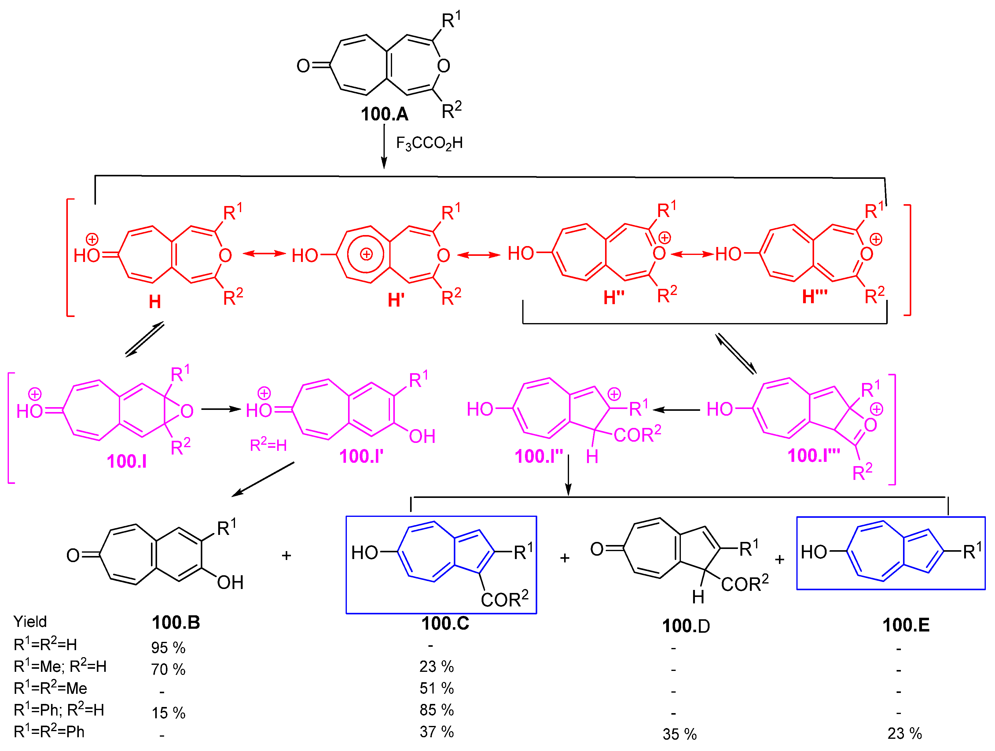
One of the most approached syntheses for the building of azulenic system 52.C (Scheme 52) was elaborated and then developed by Nozoe et al. and starts from tropolone (2-hydroxycyclohepta-2,4,6-trien-1-one) derivatives, 52.A and the active methylene compounds, 52.B. The procedure allows the direct obtaining of azulenes or generation of intermediates, such as 2-oxo-2H-cyclohepta[b]furan, 52.D. The current section deals only with the first aspect, leaving the discussion of the use of the compounds 52.D for one of the following sections.
Scheme 52.
Nozoe reaction of troponoid compounds and active methylene compounds.
This efficient formation of numerous polyfunctional azulene derivatives from the reactive troponoid and active methylene compounds in the presence of a base was reported in 1955 by Nozoe at the Annual Meeting of the Chemical Society of Japan [110,111] and was described in the literature as Nozoe synthesis [112]. A very general presentation of the reaction is shown in Scheme 52. The wide range of possibilities offered by this synthesis procedure is evident, therefore the present review will be limited only to a few representative examples. Despite the dependence on the substituent, substrates, molar ratio of reagents or reaction conditions of this “one-step“ Nozoe reaction, the final aromatization step required in most of the known procedures, which dramatically lowers overall yields, is avoided.
Particular attention was paid to mechanisms of Nozoe synthesis described in Scheme 53 for the behavior of 2-methoxytropone, 53.A, in the presence of malononitrile [113]. The one-pot formation of azulene 53.J has been found to consist of a number of consecutive elementary processes. The nucleophilic substitution of troponoid substrate 53.A by the attack of malononitrile anion 53.B give a Meisenheimer-type complex 53.C, which is rapidly converted to 2-troponylmalononitrile anion 53.D. By the first ring closure anion 53.D is converted to 2-imino-2H-cyclohepta[b]furan-3-carbonitrile 53.E. The new nucleophilic addition of the second malononitrile anion to the imine 53.E at the C-8a position produces other Meisenheimer-type adduct 53.F. The sequence of intermediates I′ to I‴ leads to 1-carbamoyl-1,3-dicyano-2-imino-2,3-dihydroazulene 53.G. The base attacks of the last imine, afford the conjugate base 53.H of the final product, azulene 53.J.
Scheme 53.
Reaction mechanism of azulene generation from 2-methoxytropone and malononitrile anion.
Simultaneously with the research undertaken by Nozoe’s team, Kumar et al. studied the behavior of 3-substituted 2-methoxytropones against two nucleophilic agents, namely cyanoacetate 54.B and malononitrile [113]. They found an abnormal steric-guided nucleophilic addition of ethyl cyanoacetatate at C-7 center (the reaction with methyl cyanoacetate gives similar results), as it results from Scheme 54, obtaining a large number of interesting compounds. The Scheme also describes the reaction mechanism proposed by the authors for the pathways of cyanoacetate attack that afforded the compound 54.C′ and avoided the step to obtain the normal compound 54.D. The Scheme also shows that the excess of base isomerize the double bond to compound 54.C″ due to its conjugation with the azulene system.
Scheme 54.
Abnormal steric-guided nucleophilic addition of ethyl cyanoacetatate at 3-substituted 2-methoxytropones.
Whereas abnormal nucleophilic substitution of 3-substituted 2-methoxytropones with cyanoacetate proceeds regardless of used base, the involvement of malononitrile is dependent on the base employed [114]. In the presence of a base chosen from MeONa, 1,4-diazabicyclo [2.2.2]octane, iPr2EtN, tBuNH2, iPr2NH or 1,8-diazabicyclo [5.4.0]undec-7-ene the reaction occurred as normal nucleophilic substitution leading to 4-substituted azulene, i.e., 55.A (Scheme 55). When Et3N/Bu3N was used as a base together with malononitrile, both normal and abnormal nucleophilic substitution occurred, leading to a mixture of 4- and 5-substituted azulenes, compounds 55.A and 55.B and 55.C. Therefore, with bulkier nucleophiles, cyanoacetates, the reaction occurs with the abnormal nucleophilic substitution regardless of the used base, whereas, with the smaller nucleophile malononitrile, the reaction follows base dependent normal and abnormal nucleophilic substitution.
Scheme 55.
Nozoe reaction—dependence on base nature.
As it results from Scheme 56, along with methoxytropone used by Kumar, one can start from troponoid compounds with other substituents at the ring. An example was given by Kitahara and Kato in their attempt to synthesize guaiazulene [115]. The reaction of diazomethane of alkylated tropolone 56.A seems to give a mixture of ethers (56.I + 56.I′) which was used as such in the reaction with malononitrile with reasonable yield for azulene 56.B. The authors indicate the presence of traces of 2-oxo-2H-cyclohepta[b]furan derivatives in the mixture resulted.
Scheme 56.
Nozoe reactions with methoxytropones substituted at the seven ring [115,116].
Nozoe et al. started from methoxytropone substituted with acetamido group in position 5 and obtained a mixture in which compound 56.D is predominant (Scheme 56) [116].
In a series of reactions the methoxy group belonging to methoxytropone was replaced by halogens or OTs group. In one of the earliest experiments to obtain azulenes, Nozoe et al. used 2-halogenotropone 57.A as raw material in the reaction with ethyl cyanoacetate (Scheme 57) [117]. The reaction proceeds as a normal nucleophilic substitution producing azulene 57.B with a good yield. Later, the authors resumed the study starting from the unsubstituted 2-halogenotropone 57.C [118]. Along with the main product, similar to the one previously reported, azulene 57.D and the nonazulenic compound 57.F were also detected in traces 2-hydroxyazulene 57.E (Scheme 57). The yield of main product depends on the nature of the used base.
Scheme 57.
Nozoe reactions with halogenotropones [117,118].
In order to obtain 2-hydroxyazulene 58.C the diethyl 2-hydroxyazulene-1,3-dicarboxylate, 58.B was synthesized in the reaction of 2-chlorotropone and diethyl acetone-1,3-dicarboxylate, 58.A, in the presence of sodium ethoxide (Scheme 58) [119]. The formed ester groups in 58.B were finally removed [120].
Scheme 58.
Synthesis of 2-hydroxyazulene.
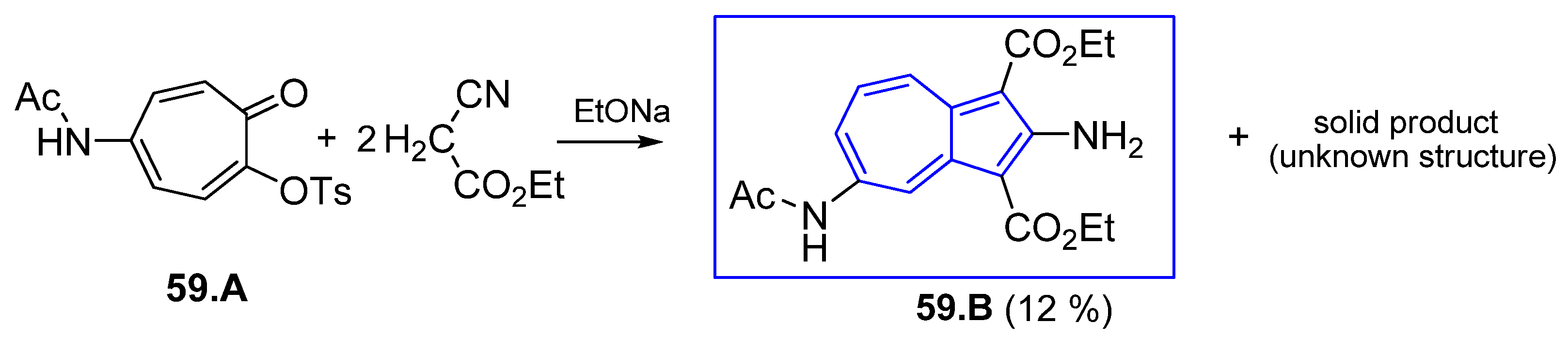
The study of the Nozoe reaction was also extended to 2-(p-tolylsulfonyloxy)tropones and some results will be presented below, as Scheme 59. The reaction of 5-acetamido derivative 59.A, and two moles of ethyl cyanoacetate occurred with reduced amount of azulene 59.B and a large quantity of unidentified product [117]. It is important to emphasize that the same conditions applied to the methoxylated compound 56.C to produce another isomer, namely 56.D. This confirms that Nozoe reaction is dependent on the base used, on the steric conditions of the troponoid compound, but also on the substituent in position 2.
Scheme 59.
Nozoe reactions with 5-acetamido-2-(p-tolylsulfonyloxy)tropone.
The reaction of dimethyl acetylenedicarboxylate (DMAC) with arsonium ylides, 2-(triphenylarsoranylidenemethyl)cyclohepta-2,4,6-trienone, 60.A, stabilized with electron withdrawing CO2Et or CN was reported by Mitsumoto and Nitta [121]. Two reaction pathways were proposed for the reaction development (Scheme 60). In the first step a Michael-type addition of the ylide carbon atom of 60.A to DMAC leads to the intermediates 60.I and/or 60.I′. Then, the elimination of Ph3AsO affords the azulene derivatives 60.C in the pathway (a). The alternative pathway (b) consists of opening the cycle of 60.I′ to give the intermediates 60.B and the finally intramolecular Wittig-type reaction gives the azulenes 60.C.
Scheme 60.
Reaction of dimethyl acetylenedicarboxylate with arsonium ylides.
4.6. Azulene Five-Membered Ring from Cycloheptafulvene Derivatives
The syntheses leading the azulene derivatives described in the following are based on the [8+2]cycloaddition reaction between different electron-rich cycloheptafulvenes and carbon, carbon multiple bond (Scheme 61).
Scheme 61.
[8+2]Cycloaddition between cycloheptafulvenes and carbon, carbon multiple bond.
4.6.1. Reaction of Cycloheptafulvene Derivatives with Dialkyl Acetylenedicarboxylate
The THF solution of parent heptafulvalene 62.A and dimethyl acetylenedicarboxylate afforded the adduct 62.B depicted in Scheme 62 which after dehydrogenation generated the dialkylester of azulene-1,2-dicarboxylic acid, 62.C [122]. The yield reported in 1960 by Doering and Wiley was improved by Schenk et al. in 1975 [123]. Further, other [8+2]cycloadditions of dimethyl acetylenedicarboxylate (DMAC) to the various 8-substituted heptafulvenes, 62.D followed by intermediate dehydrogenation, were reported (Scheme 62) [124,125]. As shown in the scheme, modifying the aromatization step of intermediate 62.G, Hasenhȕndl et al. obtained the expected product, 62.H, or the compound with the OMe group removed, 62.J [126].
Scheme 62.
[8+2]Cycloaddition of dialkyl acetylenedicarboxylate to cycloheptafulvenes [122,123,124,125,126].
Nozoe et al. [127] carried out the thermal reaction of 1,3-disubstituted-7,7-dimethoxycycloheptatrienens, 63.A, with DMAC (Scheme 63). In fact, the reaction takes place between the ester and heptafulvalenes 63.B, formed by the elimination of a methanol molecule from 63.A. What is remarkable about this reaction is the attack with the preponderance at the hindered site of 63.B (route 1) rather than at the less hindered site (route 2). Both of these routes are reversible, whereas, the last reactions, 3 and 4, are irreversible. Due to steric effect, the pathway 2 and 4 seem to be more favorable than 1 and 3; however, the oxidation of 63.I′ yielding 63.D is highly limited because of the non-oxidative ability of the reaction system.
Scheme 63.
Regioselective synthesis of substituted azulenes using thermal reaction of 1,3-disubstituted-7,7-dimethoxycycloheptatrienens, A, with dimethyl acetylenedicarboxylate.
4.6.2. Reaction Between Cycloheptafulvene Derivatives and Compounds with C=C Bond
The different substituents at the double bond allowed the regioselectivity of [8+2]cycloaddition as Scheme 64 can describe. The regioselective, not stereoselective, [8+2]cycloaddition of polyenophile dicyanoalkenes and nitroalkenes to 8-methoxyheptafulvene, 64.A, afforded hydroazulenes 64.B and 64.C, the forerunners of azulenes 64.D and 64.E (Scheme 64) [128].
Scheme 64.
[8+2]Cycloaddition of dicyanoalkenes and nitroalkenes to 8-methoxyheptafulvene.
After the reflux in toluene of various enamines 65.B with 8-cyanoheptafulvene, 65.A, a series of two products were separated: a dihydroazulene 65.C and a small amount of azulene 65.D (Scheme 65) [129]. The authors succeeded in aromatizing compounds 65.C to azulenes 65.D with good yields.
Scheme 65.
Reaction of enamines with 8-cyanoheptafulvene.
4.6.3. Embedded Azulene Polycyclic Molecules Starting from Cycloheptafulvene Derivatives
Benzyne was tested as partner in the addition to 8-cyanoheptafulvene and the resulting adduct 66.A drawn in Scheme 66 was separated in 36% yield and the subsequent dehydrogenation afforded the aromatic compound 66.B in 65% yield [130]. The reaction of 2H-3,4-dihydrobenzocycloheptatriene-2-one, 66.C, with DMAC in refluxing xylene afforded the [8+2] cycloadduct which, after dehydrogenation, gives azulene derivative 66.D in low yield (Scheme 66) [131]. The compound 66.E, resulted after bromination and dehydrobromination of 66.D, is interesting in the field of non-benzenoid aromatic compounds as isomeric phenalenone.
Scheme 66.
Cycloaddition of triple carbon bond to heptafulvene system [131,132].
Scheme 66.
Cycloaddition of triple carbon bond to heptafulvene system [131,132].

Polynuclear compounds were also synthesized by the reaction between 8-methoxy- heptafulvene and quinone derivatives, 67.A1–A5, described in Scheme 67 [133]. From this Scheme it can be observed that the resulting yield and the ratio between products 67.C/67.D depend on the starting quinone and on the ratio between reagents. Interesting, only compounds 67.A with E1/2 (in acetonitrile, vs. SCE) lower than −0.6 V lead to cycloadducts in reasonable yields.
Scheme 67.
Synthesis of embedded azulene polycyclic molecules.
4.7. [8+2] Cycloaddition Starting from 2H-Cyclohepta[b]furan2-ones
Structural similarity between cyclohepta[b]furan-2-ones and cycloheptafulvenes used above as starting compounds for [8+2]cycloaddition allows a similar procedure for the azulene syntheses starting from both compound classes. In 2021 Shoji et al. published a well-comprehensive review on the synthesis and properties of 2H-cyclohepta[b]furan-2-one derivatives [134]. The Shoji paper is useful for those who are directly interested in this topic. In the present review, the subject was introduced with the aim of completing the series of azulenes syntheses, the stated review goal. Therefore, it will be as short as possible and will be mainly limited to the transformation strategies of this starting compound into azulenes.
4.7.1. Reaction of 2H-Cyclohepta[b]furan2-ones with Active Methylenes
As in other branches of azulene chemistry, Nozoe and their collaborators successfully used 2H-cyclohepta[b]furan-2-one derivatives in the synthesis of azulene. The research was based on their own previous studies that used troponoid compounds in the synthesis of a significant number of azulenes [112]. In the paper published in 1964, ref. [135] they reacted compound 68.A with diethyl malonate and, depending on the ratio 68.A/ester, the azulene 68.C or 2H-cyclohepta[b]furan-2-one, 68.B were obtained (Scheme 68). Assuming that compound 68.B is intermediate in the synthesis of azulenes, compound 68.A was treated with ester leading to azulene in good yield.
Scheme 68.
Routes for the generation azulene from 2-substituted tropones [135].
The reasonable reaction pathway provided by Nozoe et al. [136] for the formation of azulene derivatives from 2H-cyclohepta[b]furan-2-ones is shown in Scheme 69.
Scheme 69.
Reaction route for the formation of azulenes from 2H-cyclohepta(b]furan-2-ones.
The research was extended using various active methylene compounds as malononitrile or cyanoacetamide along with maleic esters and in this regard Scheme 70 exemplifies the syntheses course. 2-Tosyltropone, 68.A(OTs), was transformed in 2H-cyclohepta[b]furan-2-one 70.B and 70.C, completely characterized [137]. Then, these compounds were condensed with different active methylene compounds in the presence of a base and finally the azulenes 70.D–70.F were obtained in good yields.
Scheme 70.
2-Tosyloxytropone (OTs)→ 2H-cyclohepta[b]furan-2-one → azulene.
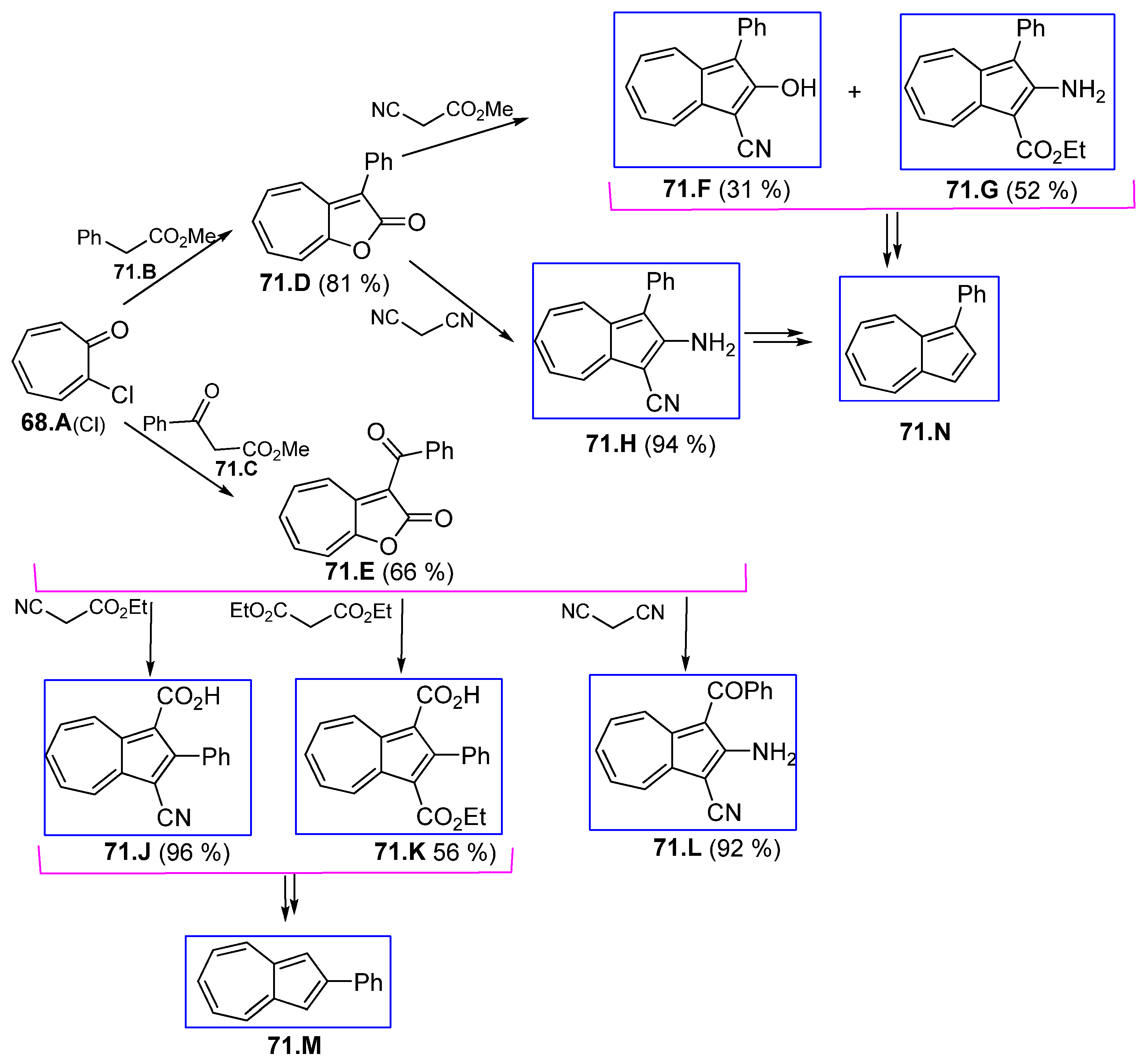
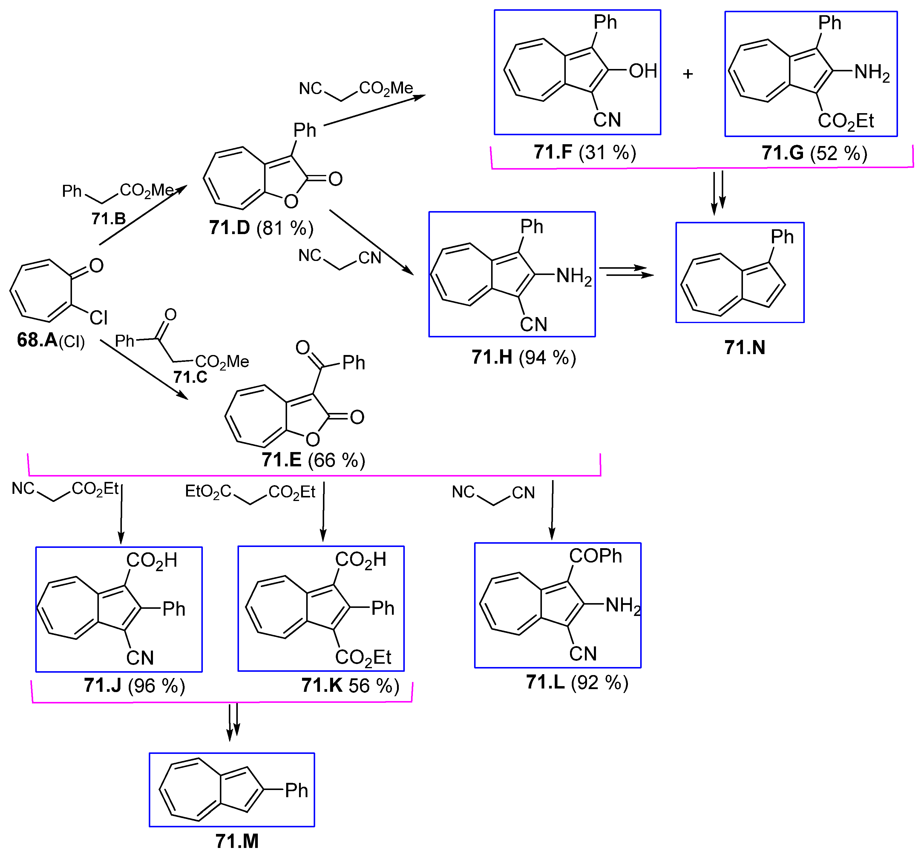
The previous examples start with tropone substituted with OTs in position 2. Scheme 71 describes the synthesis of 1- or 2-phenylazulene 71.M and 71.N starting from 2-chlorotropone 68.A(Cl) and the methylene compounds 71.B and 71.C with phenyl in molecule [138]. The obtained 2H-cyclohepta[b]furan-2-one 71.D and 71.E are treated with methylene compounds generating the azulenes 71.F–71.L, the precursors of the phenylazulenes 71.M and 71.N.
Scheme 71.
2-Chloroxytropone → 2H-cyclohepta[b]furan-2-one → azulene.
More recently, a lot of acylacetic esters, 72.A, as active methylene compounds were condensed with 2-tosyltropone, 68.A(OTs), as resulted from Scheme 72. The generated 2H-cyclohepta[b]furan-2-onse 72.B was transformed in azulene 72.C and finally in 2-alkylated azulenes 72.D [136,139].
Scheme 72.
Synthesis of 2-substituted azulenes.
Other methylene active compounds such as aldehydes were also coupling partners for 2H-cyclohepta[b]furan-2-ones. Thus, as shown in Scheme 73, several azulene derivatives, 73.D, with biologic activity as lipoxygenase inhibitor were synthesized by condensation of different aldehydes, 73.B with methyl 2-oxo-2H-cyclohepta[b]furan-3-carboxylate, 73.A, using morpholine as catalyst with yield between 60% and 90% [139].
Scheme 73.
The use of methylene active aldehyde in the condensation with 2H-cyclohepta[b]furan-2-one.
This section will be concluded with an example of obtaining an azulene derivative, submicromolar inhibitor of FLT-3 in cancer therapy, carried out by Chen group (Scheme 74) [140]. The pathway used in the synthesis of this drug will be presented without going into details. The first part refers to obtaining the azulene system, while the second part illustrates the obtaining of the potentially antileukemia agents 74.E.
Scheme 74.
Obtaining an azulene derivative inhibitor of FLT-3 in cancer therapy.
4.7.2. Reaction with Enol Ethers and Its Analogs
A convenient, one-pot azulene synthesis was realized by the Nozoe’s research team using cyclohepta[b]furan-2-ones possessing electron-withdrawing substituents in the reactions with vinyl ethers, vinyl acetates, 75.B, or 5-methyl-2,3-dihydrofuran, 75.E, and 2-methylenetetrahydrofuran, 75.F, by heating at 160–190 °C in aprotic solvent [141]. Scheme 75 shows the produced and characterized compounds, and a reaction mechanism in which the intermediate of [8+2]cycloaddition, 75.I is highlighted. In an extension of the above-mentioned synthesis, Nozoe et al. condensed furanone with acetals of several aldehydes and ketones, 75.H. As resulted from Scheme 75, the acetals are expected to afford vinyl ethers, 75.I‴, at high reaction temperatures by elimination of one mole of alcohol [142,143]. Some observations on vinyl ester condensation can be found in the paper by Pham et al. in 2002 [144]. In 2012 Hasegawa et al. carefully analyzed both experimentally and theoretically azulene formation from an active troponoid precursor (2-methoxytropone) and an active methylene compound (malononitrile) [145].
Scheme 75.
Syntheses using cyclohepta[b]furan-2-ones with electron-withdrawing substituents [141,142,143].
A similar protocol was used as the beginning step for the synthesis of polyunsaturated [10]paracyclophane annulated by two azulene moieties, namely compound 76.E in Scheme 76 [146]. Thus, dimethyl 2,2′-(1,4-phenylene)diazulene-1-carboxylate, 76.B, was produced in 10% yield after the reaction of 1,4-bis(1-(trimethylsilyloxy)vinyl)benzene, 76.A, and cyclohepta[b]furan-2-one, 73.A in refluxing decaline. The targeted cyclophane was obtained after the steps described in Scheme 76.
Scheme 76.
Synthesis of a polyunsaturated [10]paracyclophane.
The furane compounds were also used as “vinyl ether derivatives” as partner in the reaction with cyclohepta[b]furan-2-one. For this purpose, Wu et al. besides furan 77.A, condensed dihydrofuran 77.B obtaining azulene 77.D, which, together with azulene 77.C, were the start for the synthesis of a large number of azulene compounds (Scheme 77) [147].
Scheme 77.
Condensation of cyclohepta[b]furan-2-ones with furan derivatives.
4.7.3. Reaction with Enamines and Its Analogs
Yasunami, Takase and all. realized the azulene skeleton using the [8+2]cycloaddition between 2H-cyclohepta[b]furan-2-ones and enamines as activated double bond compounds instead of vinyl ethers or vinyl acetates. The procedure is often called Yasunami-Takase’s method. In the three published papers, the authors used a large number of reagents; therefore, they prepared a large and varied number of azulenes [148,149,150]. Because the concern for this subject has been presented in the literature, the present review will only describe a limited number of examples in Scheme 78. The used enamines were generated from a large and different number of aldehydes and ketones in the reaction with morpholine or pyrrolidine and the position 3 in furanone was unsubstituted or was occupied by CN or CO2Et. The enamine was used as such or reacted as obtained in situ from aldehydes and ketones [151,152].
Scheme 78.
[8+2]Cycloaddition between 2H-cyclohepta[b]furan-2-one and enamines [148,149,151].
A substantial contribution to the production of polialkylated azulenes which allows almost total flexibility in the design of the alkyl substitution pattern was brought by Hansen and Nagel. In the first paper, they proposed a procedure for the generation of cyclohepta[b]furan-2-one, 79.C, starting from polyalkylphenols, 79.A (Scheme 79) [153]. This route was proposed because the condensation with alkylated tropolones such as 3.5.7-trimethyltropolone derivatives does not work satisfactory. The cyclohepta[b]furan-2-one 79.C react with enamines (as such or prepared in situ) [154] and the reaction occurred at high temperature and produced the alkylated azulene at the five-membered ring 79.D1–79.D6 that can be seen in Scheme 79. The authors also used enol ethers as starting components. The remarkable azulenes 79.E1–79.E2 with the seven-membered rings completely substituted were also reported.
Scheme 79.
Production of polialkylated azulenes [153,154].
A series of embedded azulene polycyclic molecules was synthesized using the Yasunami, Takase protocol as the first step in their synthesis. In order not to overload the review, only an interesting example reported by Nitta et al. [155] for obtaining azuleno [1,2-a]azulene, 80.G (Scheme 80) was retained. The Yasunami, Takase reaction with enamine 80.A afforded the azulene intermediate 80.B which then undergoes a series of transformations until the embedded azulene polycyclic 80.C.
Scheme 80.
Yasunami-Takase protocol for obtaining the embedded azulene polycyclic molecules.
4.7.4. Reaction with Other Compounds
An example of peri-selective cycloaddition was realized treating cyclohepta[b]furan-2-one, 73.A, with 6,6-dimethylfulvene. The [4+2] addition product was formed as the major product in ethanol or benzene and the [8+2] was the single product in xylene (Scheme 81) [156].
Scheme 81.
The [4+2] and [8+2] addition to 3-methoxycabonyl-2H-cyclohepta[b]furan-2-one.
Thermolysis in decalin at 170 °C of various methyl substituted 2H-cyclohepta[b]furanones, 82.A–82.C, was studied by Lellek and Hansen [157] and the results are shown in Scheme 82. Surprisingly, the formation of highly substituted azulenes was reported by the authors and a reaction mechanism based on the [8+2] cycloaddition reaction between two molecules of furanones was supposed. As can be seen in Scheme 82, the products and yields depend on the nature of the furanone involved in the reaction.
Scheme 82.
Thermolysis of various methyl substituted 2H-cyclohepta[b]furanones.
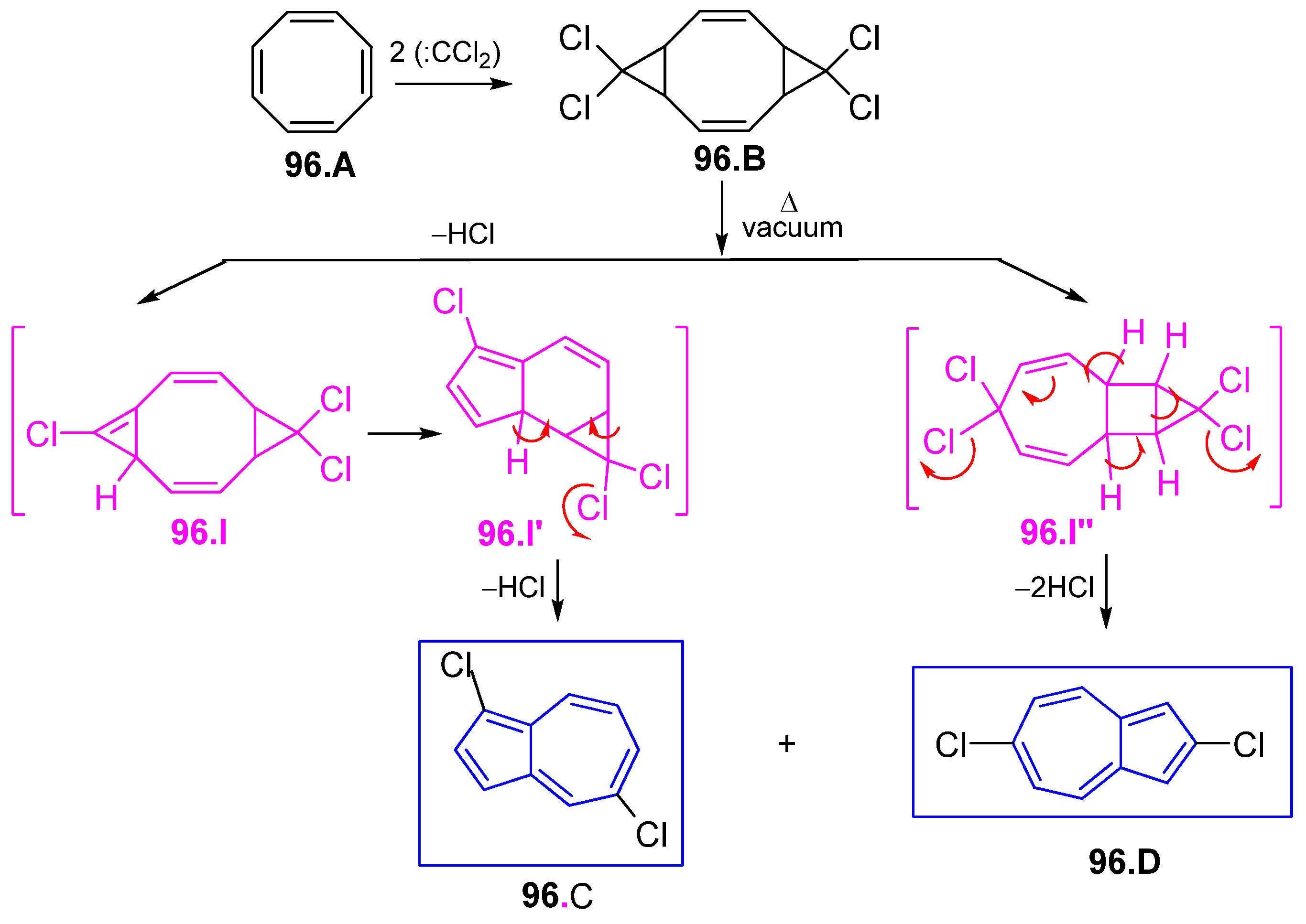
5. Enlarging of Six to Seven-Membered Ring by the Insertion of Carbenes
5.1. Carbenes Derived from Diazomethane or Diazoacetic Ester
This frequently used procedure for the generation of azulenic seven-membered ring is based on the insertion of carbenes in the C=C bond mainly in a bond belonging to benzene. The opening of formed cyclopropanic intermediate in the thermal conditions affords a tropylium system followed by hydrogen elimination with the azulene building. On this route, numerous azulenes were produced, especially in the middle of the last century, starting from the easy-to-obtain indane derivatives; however, the reported yields were low (7–9%).
In Scheme 83, some examples were given without professing to exhaust the subject. Plattner and Wyss in 1941 treated indane and a series of its methylated derivatives with diazoacetic ester and processed the obtained mixture until azulenes 83.B were obtained [158]. A decade later, the reaction was stopped at intermediates 83.I″ and 83.I‴, proving that a mixture of esters is formed, depending on the insertion site of the carbene into the benzene system [159]. Interestingly, the bond adjacent to the five-atom ring was not attacked, possibly due to steric reasons. Of course, as illustrated in the examples in the Scheme, the use of diazomethane does not raise such problems [160,161]. However, the procedures based on the insertion of carbene in the phenyl double bonds have a limited value for preparative purposes due to the low yields and because the complex mixtures of compounds resulted in many reactions.
Scheme 83.
Insertion of carbenes in the C=C bond of benzene ring (a) [158,159,160,161].
With the intention to obtain a push-pull azulene system (see compounds 84.E in Scheme 84), Zindel et al. started from the tBu 2,3-dihydro-1H-indene-2-carboxylate 84.A [162], following the procedure described previous by Luhowy and Keehn, which used the similar methyl substituted compound 84.F (Scheme 84) [163].
Scheme 84.
Insertion of carbenes in the C=C bond of benzene ring (b) [162,163].
5.2. Intramolecular Carbene Insertion
The developed studies on this topic deal with azulenes syntheses or the reactions route was stopped at the dihydroazulen-1-one; this review only follows information on obtaining azulenes. Thus, Scott et al. suggested a “ring expansion-annulation strategy” for the synthesis of substituted azulenes by [164]. This procedure involves the intramolecular carbenoid insertion to π bond, step 1 in Scheme 85, and 6-electron electro-cycling ring opening, step 2. After tautomerization of intermediate 85.I, the formed compound 85.B was transformed in azulenes 85.D and 85.F as described in Scheme 85 as step 3.
Danheiser et al. wanted to avoid the last step 3, which often works with unsatisfactory results. With this intention, they cyclized α-derivatives of unsaturated α,β-ketones as in Scheme 85 [165,166]. Thus, 1-diazo-4,4-diphenylbut-3-en-2-one, 85.F reacts almost quantitatively in the presence of catalytic amount of rhodium acetate. Unfortunately, along the compound with azulene system, 85.G, the reaction mixture also contained naphthol derivatives. The authors assume that the 2-naphthol, 85.H, arises after rearrangement of the norcaradiene intermediate of type 85.I and the 1-naphthol, 85.J, resulted after Wolff rearrangement of 85.F followed by 6π electrocyclic closure. Therefore, the authors started from the β′-bromo-α-diazoketones, 85.K. This compound possesses a leaving atom that in the last stage can generate the double bond. As Scheme 85 describes, after the usual steps the leaving bromine was eliminated from the intermediate 85.I‴ as HBr and after the addition of acetic anhydride in the presence of DMAP acylated azulen-1-ols 85.M were generated. The need of final acylation arises from the low stability of azulen-1-ol. The obtained yields are good and if other acylating agents, such as pivaloyl chloride or triflic anhydride, were used instead of acetic anhydride, the corresponding esters were formed in similar yields. Leino et al. repeated the 85.K → 85.L step but in the reaction mixture they added different derived electrophiles, obtaining a series of 1-acyloxyazulenes with good overall yields [167].
Scheme 85.
Intramolecular carbene insertion (a) [164,166].
Scheme 85.
Intramolecular carbene insertion (a) [164,166].

The discovery that the lithium salt of trimethylsilyldiazomethane [TMSC(Li)N2], prepared from TMSCHN2 with LDA or n-BuLi [168], is quite useful as a reagent for generating alkylidene carbenes from carbonyl compounds suggested a new azulene synthesis [169]. Thus, ethyl or t-butyl 4-aryl-2-oxobutanoates, 86.A, were treated with [TMSC(Li)N2] to yield 2,3-dihydroazulene-1-carboxylic esters, 86.B which were further oxidized with chemical manganese dioxide [170] to azulene 86.C (Scheme 86).
Scheme 86.
Intramolecular carbene insertion (b).
6. Different Examples of Azulenes Building
The following examples cannot be included in any of the previously developed sections. However, they are interesting, both from a documentary point of view and some ideas emerging from these experiments can be the starting point for new research on the azulene system and the compounds based on it.
6.1. Obtaining Azulenes Involving Alkyne Compounds
The Section 4.6 of this review shows some examples of [8+2]cycloaddition between cycloheptafulvenes and dialkylester of azulene-1,2-dicarboxylic acid. Next, some examples on the use of other compound with triple carbon bond in azulenes synthesis will be inserted. The famous acetylene researchers W. J. Reppe, reported that acetylene gives azulene at 20–25 atm. and 120–130 °C in the presence of a catalyst, nickel cyanide, and ethylene oxide [171]. Although azulene resulted in a very small yield, along with other compounds and a large amount of resin, it could be the most direct way of synthesizing azulene. Later, Mȕller et al. irradiated the 1,2-bis(phenylethynyl)benzene, 87.A, and Clauß and Ried [172] did the same with 1,4-bis(phenylethynyl)benzene and 1,4-bis(ethynyl)benzene, 87.B and the resulting products are shown in Scheme 87.
Scheme 87.
Azulene starting from alkynes with aromatic substituents (a) [171,172].
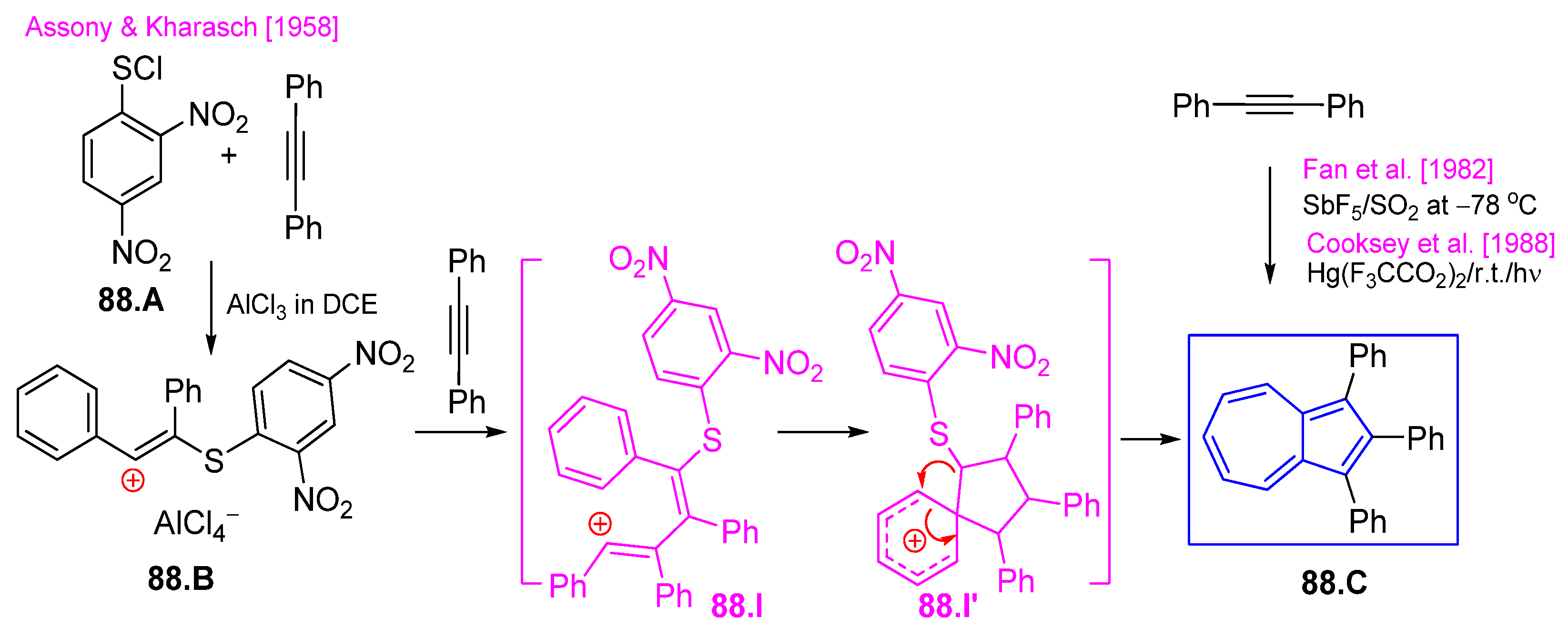
In one of the papers which deals with the interaction of sulfenic acid derivatives with arylacetylenes, Assony and Kharasch obtained 1,2,3-triphenylazulene, 88.C, in 25% yield by diphenylacetylene “dimerization” using the simultaneous presence of 2,4-dinitro benzenesulfenylchloride 88.A, and AlCl3 as catalyst (Scheme 88) [173]. Another researcher group increased the azulene yield till 41% with a mixture of AlBr3 and vanadium salts instead of AlCl3 [174]. Later, Fan et al. synthesized azulene 88.C in 25% replacing the above-mentioned catalytic mixture with antimony pentafluoride and sulfur dioxide at −78 °C [175]. The dimerization mechanism proposed by Kharasch and Fan is described in Scheme 88. Cooksey et al. stirred a solution of diphenylacetylene in trifluoroacetic acid containing mercury(II) trifluoroacetate at room temperature under ambient illumination and obtained 1,2,3-triphenylazulene (yield 38%) [176].
Scheme 88.
Azulene starting from alkynes with aromatic substituents (b) [173,175,176].
With the aim of realizing the highly substituted azulene derivatives 89.B and 89.C, Lambert et al. dimerized 4-dianisylamino-4′-nitrotolan and 4,4′-tetraanisyltolandiamine, 89.A, using as catalyst Pd(PhCN)2Cl2 (Scheme 89) [177].
Scheme 89.
Dimerization of 4-dianisylamino-4′-nitrotolan and 4,4′-tetraanisyltolandiamine.
Brown et al. condensed arylketenes 90.A with alkynyl ethers 90.B in the presence of amine (EtN(iPr)2) and the azulenone 90.C result as major product along with azulene 90.D (Scheme 90) [178]. It was also found that azulenone 90.E can undergo transformation into azulene 90.C with a yield of 77% in the presence of 4-(dimethylamino)pyridine and acetic anhydride.
Scheme 90.
Condensation of arylketenes with alkynyl ethers.
The next example of the acetylenic bond participation for the construction of an azulene scaffold is represented in Scheme 91. Azulenes 91.B have been synthesized by the platinum(II)-catalyzed intramolecular ring-expanding cycloisomerization in compounds 91.A, using phosphine ligands for the Pt catalyst [179]. The reaction route presented in Scheme 91 begins with Pt(II)-catalyzed cyclization of the ipso-carbon on the phenyl ring to produce 91.I′. Next, through a Buhner ring expansion cyclopropyl platinum carbene 91.I′ yield 91.I″ with a seven-membered ring. The substituted azulene 91.B results by subsequent [1,2]-H shift and Pt elimination. It seems, as specified by the authors, this is a rare example of a Pt(II)-induced intramolecular ipso-cyclization of an 1-en-3-yne.
Scheme 91.
Azulenes via Pt[II]-catalyzed ring-expanding cycloisomerization.
Staab and Ipaktschi studied the thermal and photochemical behavior of 1,8-bis-arylethynylnaphthalene and some results are described in the Scheme 92 [180]. The thermal reaction in pyridine at reflux afforded 7-phenyl-benzo[k]fluoranthens, 92.C, in ratio determined by the phenyl substituents. The mechanism for the rearrangement 92.A→92.C can be considered to be a [2+2+2]-cycloaddition with intramolecular hydrogen shift. The photochemical isomerization of most compounds 92.A also produced benzo[k]fluoranthens 92.C. In the case of 92.A(R=Me), in which the isomerization of the benzofluoranthene system is hindered by the o-methyl groups, the deep green compound 92.B was isolated with an yield of 8.5% after irradiation.
Scheme 92.
Thermal and photochemical behavior of 1,8-bis-arylethynylnaphthalene.
6.2. Diels Alder Condensations and [2+2] Cycloadditions
Hafner et al. condensed 3-phenylcyclopenta[c]azepine (6-phenyl-5-aza-azulene), 93.A, with substituted alkynes, 93.B [181] (Scheme 93). The Diels-Alder [4+2] addition, thermally allowed and the subsequent Alder-Rickert reaction produced the substituted azulenes, 93.C and 93.D.
Scheme 93.
Condensation of (6-phenyl-5-aza-azulene) with substituted alkynes.
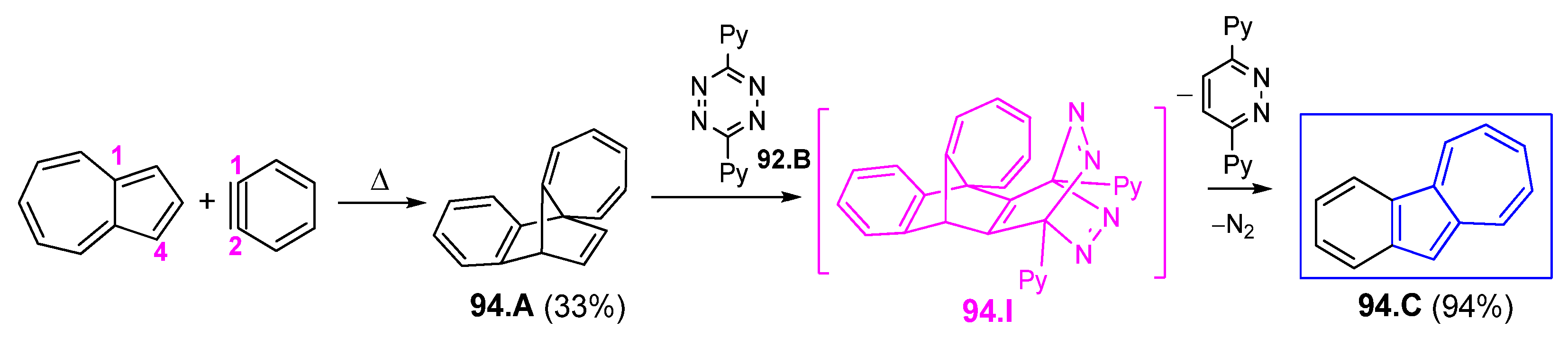
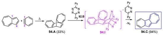
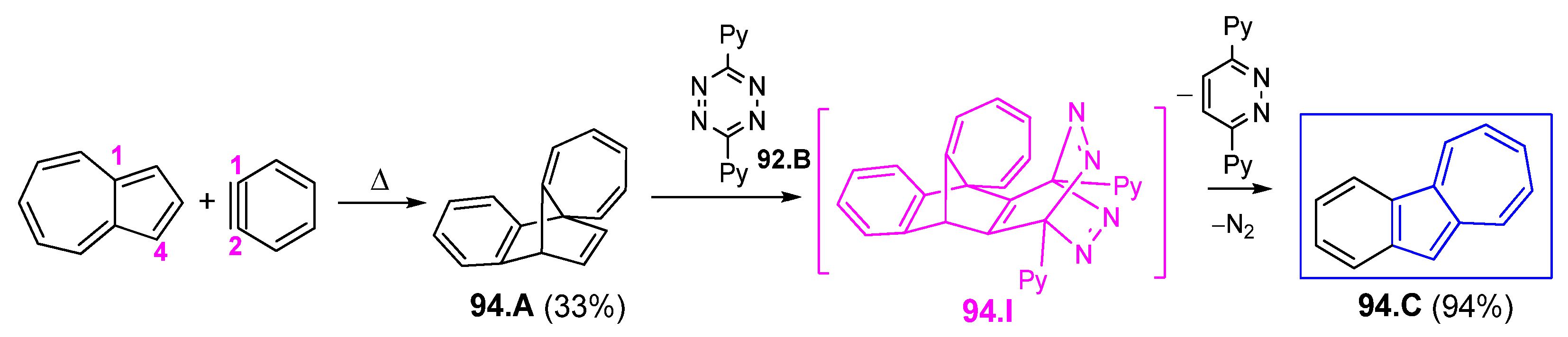
Diels-Alder route was applied also for the reaction between azulene and benzyne an activated alkyne [182]. The addition reactions worked in good yields affording the adduct 94.A, and in presence of efficient dienophile 3,6-di (pyridine-2-yl)-1,2,4,5-tetrazine, 94.B, the generated intermediate 94.I, after the retro Dies-Alder process, affords benz[a]azulene, 94.C as described in Scheme 94.
Scheme 94.
Reaction between azulene and benzyne.
In the article in which Le Goff presented the synthesis of hexaphenylpentalene, 95.A, this was subsequently condensed with acetylenedicarboxylic ester to the dimethyl hexaphenylazulenedicarboxylate 95.B [183] Scheme 95. The author did not establish the structure of the obtained isomer without a doubt. More accurate is Hafner’s paper about the cycloaddition between 1,3,5-tri-t-butylpentalene, 95.C, and cyclooctine, 95.D, which give 2,4,12-tri-tert-butyl-5,6,7,8,9,10-hexahydrocycloocta[f]azulene, 95.E [184]. Scheme 95 shows the cyclobutene intermediates 95.I, 95.I″ and 95.I″ obtained by [2+2] condensation followed by the small ring open with the generation of azulene seven atom system.
Scheme 95.
[2+2]cycloadditions with azulenes generation [183,184].
6.3. Azulene Syntheses Involving Strained and Antiaromatic Systems
Dehmlow and Slopianka [185] continued the study about the addition of dihalocarbenes to cyclooctatetraene started by Vogel in 1973 [186]. The bis adduct 96.B was heated very briefly in high vacuum (700 °C, 10−4 torr). After HCl elimination and skeleton rearrangement as proposed by the authors and represented in Scheme 96, a mixture of dichloroazulenes 96.C and 96.D was obtained and separated by thin-layer chromatography.
Scheme 96.
Addition of dihalocarbenes to cyclooctatetraene.
From the rare works about the valence isomers of nonalternant hydrocarbons the research target of Murata et al. was directed to the azulene valence isomers, 6-methoxytetracyclo [5.3.0.2,4.03,5]deca-6,8,10-triene (4-methoxy-azulvalene), 97.A [187] and 6-methoxytricyclo [5.3.0,02,5]deca-3,6,8,l0-tetraene (methoxy-Dewar azulene), 97.B [188]. The starting point for synthesis of these compounds containing fulvene system and their opening is presented in Scheme 97. The thermic conrotatory reaction of 97.B afforded azulene 97.C stable up to 120 °C above which it decomposes; the thermolysis of 97.A gives the same azulene. This proves that methoxy-Dewar azulene, 97.B is not an intermediate in obtaining azulene starting from (4-methoxy-azulvalene), 97.A. On irradiation, 97.A undergoes clean isomerization to azulene, whereas compound 97.B gradually decomposes photochemically.
Scheme 97.
The thermic and photochemical behavior of azulene valence isomers [187,188].
Gassman and Nakai reacted directly bicyclo [1.1.0]butane in the attempt to build azulene [189]. They treated 1-methyl-2,2-diphenylbicyclo [1.1.0]butane, 98.A, with rhodium dicarbonyl chloride dimer and obtained a mixture of five compounds 98.B to 98.F, of which only 98.B, 98.E and 98.F have been fully characterized (Scheme 98). The intermediate I was proposed to explain the formation of azulene 98.F. When this mixture was treated with chloranil, the uncharacterized compounds 98.C and 98.D were aromatized.
Scheme 98.
Reaction of 1-methyl-2,2-diphenylbicyclo [1.1.0]butane.
The antiaromatic heptalene system was also a starting point for azulene synthesis. Among the experiments carried out in this direction, Scheme 99 exemplifies the transformation of 1,2-dimethoxycarbonyl-heptalene, 99.A into a mixture of azulenes 99.B, 99.C and 99.D [190]. At the high temperature, after valence isomerization, the total yield of the azulenes formed is only 29%. (Scheme 99).
Scheme 99.
Transformation of 1,2-dimethoxycarbonyl-heptalene into a mixture of azulenes.
Oxaheptalene derivatives were investigated by Nakazawa et al., being especially a source of azulenes inaccessible otherwise [191]. Acid catalyzed rearrangement of 2-substituted and 2,4-disubstituted 8H-3-oxaheptalen-8-ones, 100.A, affords 1-acyl-6-hydroxyazulenes, 100.C, as major product together with some by-products, as represented in Scheme 100. The reaction mixture of products was in strong dependence on the substituents at molecule 100.A. The reaction pathway starts with the protonation of 100.A with the generation of 8-hydroxy-3-oxaheptalenium ion, which could be depicted as the resonance hybrid of contributing structures H to H‴. By intramolecular electrocyclizations of H and H″ ↔ H‴ the intermediates 100.I and 100.I‴ were obtained. Acid-catalyzed ring opening of the epoxide 100.I and deprotonation of 100.I′ give 2-hydroxy-7H-benxocyclohepten-7-ones 100.B. The reaction leading to the azulenes 100.C and 100.E takes place by opening of the oxoniacyclobutene ring in 100.I‴ and subsequent formation of neutral products after deprotonation, as shown in Scheme 100.
Scheme 100.
The acid-catalyzed rearrangement of oxaheptalene derivatives.
6.4. Various Azulenes Syntheses
Besides the use of pyrylium salts in the synthesis of azulenes discussed above, Dimroth et al. condensed these salts with methylenetriphenylphosphorane, 101.B [192]. The sequence of reaction steps which produces azulene 101.C, described in the Scheme 101, consists of a primary addition affording the intermediate 101.I, which undergoes ring-opening, aldol condensation between C-5 and C-6′, and a peculiar transannular C-C bonding between C-5′ and the methylene-carbon with elimination of triphenylphosphine.
Scheme 101.
Pyrylium salts condensation with methylenetriphenylphosphorane.
Kende and Hebeisen studied the obtaining of a spiro [4.5]decatetraenone 102.B and its thermal transformation [193]. The reaction between p-diazooxide 102.A and dimethyl acetylenedicarboxylate (molar ratio 1:2), shown in Scheme 102, produces a mixture of spiro derivative 102.B and the remarkable nonenolizable naphthalenone 102.C. The authors demonstrated that compound 102.C does not originate from spiro compound 102.B and the proposed reaction mechanism for formation of 102.B and 102.C is described in Scheme 102. On heating, a sigmatropic [1,5] rearrangement isomerizes the spiro compound 108.B to intermediate 102.D. The selective nucleophilic decarboxylation and aromatization of 102.D in the presence of LiCl generates the azulene 102.E.
Scheme 102.
Obtaining and thermal transformation of a spiro [4.5]decatetraenone.
Scheme 103 shows a special case of a tropylium ion-mediated furan-ring-opening reaction to give benz[a]azulene enones 103.B. The synthesis starts from the o-(2-furyl)cycloheptatrienylbenzenes 103.A with substituent in position 2 of furane in the presence of trityl tetrafluorobotate [194]. The suggested mechanism for the reaction route is described in Scheme 103.
Scheme 103.
Synthesis of benz[a]azulene enones.
7. Conclusions
As already stated in the Introduction, the target of this review is to familiarize researchers with the synthesis pathways of azulenes but also to suggest various options for obtaining compounds from this family. As mentioned, a sufficient number of azulenes can currently be purchased from the market; however, their price is quite high (azulene sells for several hundred dollars per gram). So in many cases, it is tempting to synthesize them from affordable raw materials. The review is far from exhaustive, but it aims at inducing as comprehensive as possible, a view of the proposed subject. The material is structured in chapters based on the raw materials from which the synthesis starts, and it was considered that the presentation focused mainly on the presentation of reaction Schemes is to the advantage of the reader. The author hopes that this review will contribute to the development of azulenes synthesis field.
Funding
This research received no external funding.
Data Availability Statement
Data are available in a publicly accessible repository.
Acknowledgments
Some of literature data were collected by Liviu Birzan, a contributor to azulene studies in our research team, who passed away in 2022.
Conflicts of Interest
The authors declare no conflicts of interest.
References
- Ruzicka, L.; Rudolph, E.A. Höhere Terpenverbindungen XXVII. Zur Kenntnis der Azulene. Helv. Chim. Acta 1926, 9, 118–140. [Google Scholar] [CrossRef]
- Pfau, A.S.; Plattner, P. Zur Kenntnis der fluehtigen Pflanzenstoffe. IV. Uber die Konstitution der Azulene. Helv. Chim. Acta 1936, 19, 858–879. [Google Scholar] [CrossRef]
- Plattner, P.A.; Pfau, A.S. Zur Kenntnis der flüchtigen Pflanzenstoffe V. Über die Darstellung des Grundkörpers der Azulen-Reihe. Helv. Chim. Acta 1937, 19, 224–232. [Google Scholar] [CrossRef]
- Gordon, M. The Azulenes. Chem. Rev. 1952, 50, 127–200. [Google Scholar] [CrossRef]
- Mochalin, V.B.; Porshnev, Y.N. Advances in the Chemistry of Azulene. Russ. Chem. Rev. 1977, 46, 530–547. [Google Scholar] [CrossRef]
- Ito, S.; Shoji, T.; Morita, N. Recent Advances in the Development of Methods for the Preparation of Functionalized Azulenes for Electrochromic Applications. Synlett 2011, 2011, 2279–2298. [Google Scholar] [CrossRef]
- Zeller, K.-P. Methoden der Organischen Chemie-Houben-Weil, 4th ed.; Thieme Verlag Stuttgart: New York, NY, USA, 1985; Volume V/2c, pp. 258–263. [Google Scholar]
- Hückel, W.; Schnitzspahn, L. Zur Stereochemie bicyclischer Ringsysteme. IX. Derivate des Cyclopentano-cycloheptans. Ann. Chem. 1933, 505, 274–282. [Google Scholar] [CrossRef]
- Günthard, H.H.; Süess, R.; Marti, L.; Fürst, A.; Plattner, P.A. Zur Kenntnis der Sesquiterpene und Azulene. 95. Mitteilung. Dehydrierung von Decahydro-naphtalinen und Hydro-azulenen. Helv. Chim. Acta 1951, 34, 959–970. [Google Scholar] [CrossRef]
- Kovats, E.; Gunthard, H.H.; Plattner, P.A. Katalytische Dehydrierungen mit Schwefelkohlenstoff. I. Dehydrierung von Oktahydro-azulen. Helv. Chim. Acta 1954, 37, 2123–2133. [Google Scholar] [CrossRef]
- Hafner, K. Einer neue Azulen-synthese. Liebigs Ann. Chem. 1957, 606, 79–89. [Google Scholar] [CrossRef]
- Zincke, T.; Heuser, G.; Moller, W. Ueber Dinitrophenylpyridiniumchlorid und dessen Umwandlungsproducte. Liebigs Ann. Chem. 1904, 333, 296–345. [Google Scholar] [CrossRef]
- Hafner, K. Neuere Ergebnisse der Azulen-Chemie. Angew. Chem. 1958, 70, 419–430. [Google Scholar] [CrossRef]
- Jutz, J.C. Organic Chemistry. Topics in Current Chemistry; Springer: Berlin/Heidelberg, Germany, 1978; Volume 73, p. 125. [Google Scholar] [CrossRef]
- Ziegler, K.; Hafner, K. Eine rationelle Synthese des Azulens. Angew. Chem. 1955, 67, 301. [Google Scholar] [CrossRef]
- Hafelinger, G.; Ott, G. Synthesen mesitylsubstituierter Azulene. Liebigs Ann. Chem. 1984, 1984, 1605–1615. [Google Scholar] [CrossRef]
- Köbrich, G. 4-Methyl-pyryliumperchlorat und dessen Abwandlung zu Pentamethinderivaten. Liebigs Ann. Chem. 1961, 648, 114–123. [Google Scholar] [CrossRef]
- Tilney-Bassett, J.F.; Waters, W.A. The substitution of azulene by benzyl radicals. J. Chem. Soc. 1959, 633, 3123–3129. [Google Scholar] [CrossRef]
- Köbrich, G. Ungesättigte Ketone aus Pyrylium-Verbindungen. Angew. Chem. 1960, 72, 348. [Google Scholar] [CrossRef]
- Grewe, R.; von Bonn, W. Pentadienal aus Pyridin. Chem. Ber. 1961, 94, 234–241. [Google Scholar] [CrossRef]
- Hanke, M.; Jutz, C. Synthese von 6,6′-Biazulenyl. Synthesis 1980, 1980, 31–32. [Google Scholar] [CrossRef]
- Shoji, T.; Yamamoto, A.; Shimomura, E.; Maruyama, M.; Ito, S.; Okujima, T.; Toyota, K.; Morita, N. Synthesis of 1,6′-Bi- and 1,6′:3,6″-Terazulenes from 1-Pyridyl- and 1,3-Di(pyridyl)azulenes by the Ziegler–Hafner Method. Chem. Lett. 2013, 42, 638–640. [Google Scholar] [CrossRef]
- Poronik, Y.M.; Mazur, L.M.; Samoć, M.; Jacquemin, D.; Gryko, D.T. Bis(azulenyl)pyrrolo[3,2-b]pyrroles—The key influence of the linkage position on the linear and nonlinear optical properties. J. Mater. Chem. C 2017, 5, 2620–2628. [Google Scholar] [CrossRef]
- Hafner, K.; Asmus, K.-D. Zur Kenntnis der Azulene, XIV. Darstellung substituierter Glutacondialdehyd-Derivate und ihre Überführung in Azulene. Liebigs Ann. Chem. 1964, 671, 31–40. [Google Scholar] [CrossRef]
- Bauer, W.; Muller-Westerhoff, U. Reactions of 3-substituted pentacyanines with cyclopentadienide and cyclononatetraenide anions. Tetrahedron Lett. 1972, 13, 1021–1024. [Google Scholar] [CrossRef]
- Löhr, H.-G.; Vögtle, F.; Chromoinophore, V.I. Neue Chromoionophore mit Azulen-Bausteinen und hoher Ba2+-Farbselektivität. Chem. Ber. 1985, 118, 905–913. [Google Scholar] [CrossRef]
- Wakabayashi, S.; Uchida, M.; Tanaka, R.; Habata, Y.; Shimizu, M. Synthesis of Azulene Derivatives That Have an Azathiacrown Ether Moiety and Their Selective Color Reaction Towards Silver Ions. Asian J. Org. Chem. 2013, 2, 786–791. [Google Scholar] [CrossRef]
- Jutz, C.; Schweiger, E.; Löbering, H.-G.; Kraatz, A.; Kosbahn, W. Synthese polycyclischer Azulene. Chem. Ber. 1974, 107, 2956–2975. [Google Scholar] [CrossRef]
- Hanke, M.; Jutz, C. Synthesis of 5,5′-Biazulenyl. Angew. Chem. lnt. Ed. Engl. 1979, 18, 214–215. [Google Scholar] [CrossRef]
- Rudolf, K.; Robinette, D.; Koenig, T. Synthesis, characterization and flash vacuum pyrolysis studies of anti-[2.2](1,6)azulenophane. J. Org. Chem. 1987, 52, 641–647. [Google Scholar] [CrossRef]
- Leino, T.O.; Baumann, M.; Yli-Kauhaluoma, J.; Baxendale, I.R.; Wallén, E.A.A. Synthesis of 1,3,6-Trisubstituted Azulenes. J. Org. Chem. 2015, 80, 11513–11520. [Google Scholar] [CrossRef] [PubMed]
- Slobodkin, R. A Fifth Route to 1,2,3-Triphenylazulene. J. Org. Chem. 1960, 25, 273–274. [Google Scholar] [CrossRef]
- Alder, R.W.; Whittaker, G. The thermal rearrangements of azulenes to naphthalenes. J. Chem. Soc. Perkin 1975, 2, 714–723. [Google Scholar] [CrossRef]
- Muth, C.W.; DeMatte, M.L.; Urbanik, A.R.; Isner, W.G. Some Synthetic Studies for Benzazulenes1. J. Org. Chem. 1966, 31, 3013–3015. [Google Scholar] [CrossRef]
- Kost, A.N.; Gromov, S.P.; Sagitullin, R.S. Pyridine ring nucleophilic recyclizations. Tetrahedron 1981, 37, 3423–3454. [Google Scholar] [CrossRef]
- Hafner, K.; Kaiser, H. Zur Kenntnis der Azulene, III. Eine einfache synthese substituierter azulene. Ann. Chem. 1958, 618, 140–152. [Google Scholar] [CrossRef]
- Dorofeenko, G.N.; Koblik, A.V.; Polyakova, T.I.; Murad’yan, L.A. Synthesis of 6-hetaryl-substituted azulenes and their reactions with 2,6-diphenylpyrylium perchlorate. Chem. Heterocycl. Compd. 1980, 16, 807–810. [Google Scholar] [CrossRef]
- Anderson, A.G., Jr.; Hollander, G.T. The Reaction of Some 1-Trihaloacetyl-8-methylazuleneswith Base. J. Org. Chem. 1965, 30, 131–138. [Google Scholar] [CrossRef] [PubMed]
- Briquet, A.A.S.; Hansen, H.-J. Radical Arylation Reactions of 4, 6, 8-Trimethylazulene. Helv. Chim. Acta 1994, 77, 1577–1584. [Google Scholar] [CrossRef]
- Rippert, A.J.; Hansen, H.-J. Synthesis of 4,6,8-Trisubstituted Methyl Azulene-2-carboxylates. Helv. Chim. Acta 1995, 78, 238–241. [Google Scholar] [CrossRef]
- Gee, A.P.; Cosham, S.D.; Johnson, A.L.; Lewis, S.E. Phosphorus-Substituted Azulenes Accessed via Direct Hafner Reaction of a Phosphino Cyclopentadienide. Synlett 2017, 28, 973–975. [Google Scholar] [CrossRef]
- Razus, A.C.; Pavel, C.; Lehadus, O.; Nica, S.; Birzan, L. Synthesis and properties of [1,6′]biazulenyl compounds. Tetrahedron 2008, 64, 1792–1797. [Google Scholar] [CrossRef]
- Sato, M.; Ebine, S.; Tsunetsug, Y. Cycloaddition of 6-aminofulvenes with coumalic esters. A novel azulene formation. Tetrahedron Lett. 1974, 15, 2769–2770. [Google Scholar] [CrossRef]
- Preethalayam, P.; Krishnan, K.S.; Thulasi, S.; Chand, S.S.; Joseph, J.; Nair, V.; Jaroschik, F.; Radhakrishnan, K.V. Recent Advances in the Chemistry of Pentafulvenes. Chem. Rev. 2017, 117, 3930–3989. [Google Scholar] [CrossRef]
- Hong, B.-C. Constructing Molecular Complexity and Diversity by Cycloaddition Reactions of Fulvenes. In Cross Conjugation: Dendralene, Radialene and Fulvene Chemistry, 1st ed.; Hopf, H., Sherburn, M.S., Eds.; Wiley-VCH Verlag GmbH & Co. KGaA: Hoboken, NJ, USA, 2016; pp. 249–300. [Google Scholar] [CrossRef]
- Hong, B.-C.; Jiang, Y.-F.; Kumar, E.S. Microwave-assisted [6+4]-cycloaddition of fulvenes and α-pyrones to azulene–indoles: Facile syntheses of novel antineoplastic agents. Bioorg. Med. Chem. Lett. 2001, 11, 1981–1984. [Google Scholar] [CrossRef]
- Copland, D.; Leaver, D.; Menzies, W.B. A new and convenient synthesis of azulenes from 6-N,N-Dimethyl-aminofulvene and thiophene 1,1-dioxides. Tetrahedron Lett. 1977, 18, 639–640. [Google Scholar] [CrossRef]
- Reiter, S.E.; Dunn, L.C.; Houk, K.N. Synthesis of azulenes by the [6+4]cycloadditions of 6-aminofulvenes to thiophene S,S-dioxides. J. Am. Chem. Soc. 1977, 101, 4199–4201. [Google Scholar] [CrossRef]
- Mukherjee, D.; Dunn, L.C.; Houk, K.N. Efficient Guaiazulene and Chamazulene Syntheses Involving [6+4] Cycloadditions. J. Am. Chem. Soc. 1979, 101, 251–252. [Google Scholar] [CrossRef]
- Amir, E.; Amir, R.J.; Campos, L.M.; Hawker, C.J. Stimuli-Responsive Azulene-Based Conjugated Oligomers with Polyaniline-like Properties. J. Am. Chem. Soc. 2011, 133, 10046–10049. [Google Scholar] [CrossRef]
- Houk, K.N. Generalized frontier orbitals of alkenes and dienes. J. Am. Chem. Soc. 1973, 95, 4092–4094. [Google Scholar] [CrossRef]
- Lou, Y.; Chang, J.; Jorgensen, J.; Lemal, D.M. Octachloroazulene. J. Amer. Chem. Soc. 2002, 124, 15302–15307. [Google Scholar] [CrossRef] [PubMed]
- Gupta, Y.N.; Mani, S.R.; Houk, K.N. Synthesis of azulene from 6-acyloxyfulvenes. Tetrahedron Lett. 1982, 23, 495–498. [Google Scholar] [CrossRef]
- Dunn, L.C.; Houk, K.N. The regioselectivity of [6+4]cycloadditions of dienamines to fulvenes. Tetrahedron Lett. 1978, 37, 3411–3414. [Google Scholar] [CrossRef]
- Razus, A.C. Syntheses of Azulene Embedded Polycyclic Compounds. Symmetry 2024, 16, 382. [Google Scholar] [CrossRef]
- Jutz, C.; Kirchlechner, R. Azuleno[5,6,7-cd]phenalen, ein neues quasiaromatisches System. Angew. Chem. 1966, 78, 493–494. [Google Scholar] [CrossRef]
- Jutz, C.; Kirchlechner, R.; Seidel, A.J. Über die Umsetzung von Phenalen mit vinylogen Formamidinium-Salzen: Synthese substituierter Pyrene und des Azuleno[5.6.7-cd]phenalens. Chem. Ber. 1969, 102, 2301–2318. [Google Scholar] [CrossRef]
- Jutz, C.; Penker, H.G.; Kosbach, W. Azuleno[1,2-f]azulen, ein tetracyclischer, nichtbenzoider, aromatischer Kohlenwasserstoff. Synthesis 1976, 1976, 673–675. [Google Scholar] [CrossRef]
- Jutz, C.; Schweiger, E. Darstellung von Benzazulenen aus Azulenderivaten. Chem. Ber. 1974, 107, 2383–2396. [Google Scholar] [CrossRef]
- Jutz, C.; Schweiger, E. Über eine verbesserte Synthese des Dicyclopenta [ef,kl] heptalens. Synthesis 1974, 1974, 193–196. [Google Scholar] [CrossRef]
- Alder, R.W.; Whittaker, G.J. A new azulene synthesis. J. Chem. Soc. Chem. Commun. 1971, 776. [Google Scholar] [CrossRef]
- Severin, T.; Ipach, I. Umsetzungen mit Nitroenaminen; XVII1. Synthese von 5-Nitroazulenen. Synthesis 1978, 1978, 592–593. [Google Scholar] [CrossRef]
- Plattner, P.A.; Studer, A. Zur Kenntnis der Sesquiterpene. (70. Mitteilung†) Über 6-Methyl-azulen. Helv. Chim. Acta. 1946, 29, 1432–1438. [Google Scholar] [CrossRef]
- Bergmann, E.D.; Ikan, R.J. 4- and 5-Phenylazulenes. J. Am. Chem. Soc. 1958, 80, 3135–3139. [Google Scholar] [CrossRef]
- Šorm, F.; Gut, J.; Hlavnička, J.; Kučera, J.; Šedivý, L. On terpenes. XXV. The total synthesis of S-guaiazulene. Collect. Czech. Chem. Commun. 1951, 16, 168–183. [Google Scholar] [CrossRef]
- Pommer, H. Ein neuer Weg zur Synthese von alkylierten Azulenen. Ann. Chem. 1953, 579, 47–76. [Google Scholar] [CrossRef]
- Herz, J. A Novel Rearrangement in the Synthesis of Azulenes. J. Amer. Chem. Soc. 1956, 78, 1485–1494. [Google Scholar] [CrossRef]
- Ramirez, F.; Levy, S. Phosphinemethylenes. III. A New Class of Azo Dyes Containing Phosphorus. J. Amer. Chem. Soc. 1957, 79, 6167–6172. [Google Scholar] [CrossRef]
- Higham, L.J.; Kelly, P.G.; Corr, D.M.; Müller-Bunz, H.; Walker, B.J.; Gilheany, D.G. A novel azulene synthesis from the Ramirez ylide involving two different modes of its reaction with activated alkynes. Chem. Commun. 2004, 684–685. [Google Scholar] [CrossRef] [PubMed]
- Tanino, K.; Yamada, T.; Yoshimura, F.; Suzuki, T. Cyanoazulene-based Multistage Redox Systems Prepared from Vinylcyclopropanecarbonitrile and Cyclopentenone via Divinylcyclopropane-rearrangement Approach. Chem. Lett. 2014, 43, 607–609. [Google Scholar] [CrossRef]
- Novák, J.; Šorm, F.; Sicher, J. On terpenes. LXIII. Total synthesis of chamazulene. A simple general synthesis of 1,4,7-trisubstituted azulenes. Collect. Czech. Chem. Commun. 1954, 19, 1264–1273. [Google Scholar] [CrossRef]
- Plattner, P.A.; Furst, A.; Jirasek, K. Zur Kenntnis der Sesquiterpene. (68. Mitteilung) Über das Bicyclo-[0, 3, 5]-decan. Helv. Chim. Acta 1946, 29, 730–739. [Google Scholar] [CrossRef]
- Plattner, P.A.; Furst, A.; Jirasek, K. Zur Kenntnis der Sesquiterpene. (69. Mitteilung). Helv. Chim. Acta 1946, 29, 740–742. [Google Scholar] [CrossRef]
- Plattner, P.A.; Büchi, G. Zur Kenntnis der Sesquiterpene. (72. Mitteilung†)). Über eine einfache, von Cycloheptanon ausgehende Azulen-Synthese. Helv. Chim. Acta 1946, 29, 1608–1611. [Google Scholar] [CrossRef]
- Anderson, A.G., Jr.; Tazumsa, J.J. Azulene. II. Synthesis of Methyl 1-Azuloate1. J. Am. Chem. Soc. 1953, 75, 4979–4980. [Google Scholar] [CrossRef]
- Braude, E.A.; Forbes, W.F. A new route to azulenes. J. Chem. Soc. 1953, 2208–2216. [Google Scholar] [CrossRef]
- Jacobson, R.M.; Lahm, G.P. Three-carbon annelations. New routes to the Nazarov cyclization via protected cyanohydrins. J. Org. Chem. 1979, 44, 462–465. [Google Scholar] [CrossRef]
- Islam, A.M.; Raphael, R.A. A convenient synthesis of bicyclo[5: 3: 0]dec-1(7)-en-8-one and related compounds. J. Chem. Soc. 1953, 75, 2247–2250. [Google Scholar] [CrossRef]
- Lloyd, D.; Rowe, F. Azulenes. Part I. A Synthesis of Azulene. J. Chem. Soc. 1953, 3718–3719. [Google Scholar] [CrossRef]
- Islam, A.M.; Raphael, R.A. Bicyclo[4: 3: 0]Non-6-en-8-on. J. Chem. Soc. 1952, 4086–4087. [Google Scholar] [CrossRef]
- Hamlet, J.C.; Henbest, H.B.; Jones, E.R.H. Researches on acetylenic compounds. Part XXXII. Dehydration of acetylphenyl- and vinylacetylenyl-alcohols derived from cyclohexanone, and the hydration of the resultant hydrocarbons. J. Chem. Soc. 1951, 589, 2652. [Google Scholar] [CrossRef]
- Prelog, V.; Wirth, M.M.; Ruzicka, L. Zur Kenntnis des Kohlenstoff-Ringes. (39. Mitteilung†)). Bicyclische Verbindungen mit einem vielgliedrigen Ring. Helv. Chim. Acta 1946, 29, 1425–1432. [Google Scholar] [CrossRef]
- Lloyd, D.; Rowe, F. Azulenes. Part II. Application of the Pinacone Reduction to the synthesis of 1-Substituted Azulenes. J. Chem. Soc. 1954, 4232–4234. [Google Scholar] [CrossRef]
- Smith, A.B.; Toder, B.H.; Branca, S.J.; Dieter, R.K. Lewis acid promoted decomposition of unsaturated alpha-diazo ketones. 1. An efficient approach to simple and annulated cyclopentenones. J. Am. Chem. Soc. 1981, 103, 1996–2008. [Google Scholar] [CrossRef]
- Noyori, R.; Yokoyama, K.; Makino, S.; Hayakawa, Y. Carbon-carbon bond formations promoted by transition metal carbonyls. II. Reaction of alpha,alpha.1-dibromo ketones and enamines with the aid of iron carbonyls. Novel cyclopentenone synthesis. J. Am. Chem. Soc. 1972, 84, 1772–1773. [Google Scholar] [CrossRef]
- Hayakawa, Y.; Yokoyama, K.; Noyori, R. Carbon-carbon bond formation promoted by transition metal carbonyls. 20. Iron carbonyl promoted reaction of alpha,alpha-dibromo ketones and aromatic olefins leading to 3-arylcyclopentanones. The [3+2] cycloaddition involving an allylic cation. J. Am. Chem. Soc. 1978, 100, 1791–1799. [Google Scholar] [CrossRef]
- Noyori, R. Organic syntheses via the polybromo ketone-iron carbonyl reaction. Acc. Chem. Res. 1979, 12, 61–66. [Google Scholar] [CrossRef]
- Trost, B.M.; Bogdanowicz, M.J. New synthetic reactions. Cyclopentane annelation. J. Am. Chem. Soc. 1973, 95, 289–290. [Google Scholar] [CrossRef]
- Marino, J.P.; Landick, R.C. 1-Phenylthiocyclopropyltriphenylphosphonium fluoborate: A new synthon for cyclopentanone synthesis. Tetrahedron Lett. 1975, 16, 4531–4534. [Google Scholar] [CrossRef]
- Hiyama, T.; Shinoda, M.; Tsukanaka, M.; Nozaki, H. Cyclopentenone Synthesis from 1,1-Dichloroallyllithium–Ketone Adducts as Well as from Dichlorocarbene–Allyl Alcohol Adducts. Bull. Chem. Soc. Jpn. 1980, 53, 1010–1014. [Google Scholar] [CrossRef]
- Danheiser, R.L.; Carini, D.J.; Basak, A. (Trimethylsilyl)cyclopentene annulation: A regiocontrolled approach to the synthesis of five-membered rings. J. Am. Chem. Soc. 1981, 103, 1604–1606. [Google Scholar] [CrossRef]
- Danishefsky, S.; Etheredge, S. Annulative route to enediones. J. Org. Chem. 1982, 47, 4791–4793. [Google Scholar] [CrossRef]
- Furuta, K.; Misumi, A.; Mori, A.; Ikeda, N.; Yamamoto, H. A new cyclopentanone annulation of α-bromomethylacrylates. Tetrahedron Lett. 1984, 25, 669–670. [Google Scholar] [CrossRef]
- Wada, E.; Nakai, T.; Okawara, M. A new method for cyclopentenone annelation via the rearrangement of bicyclic cyclopropyl ketones. Syntheses of bicyclo[4.3.0] non-6-en-8-one and bicyclo[5.3.0]dec-7-en-9-one. Chem. Lett. 1976, 5, 1025–1028. [Google Scholar] [CrossRef]
- Monti, S.A.; Cowherd, F.G.; McAninch, T.W. Thermal Rearrangement of Trimethylsilyl Enol Ethers of Cyclopropyl Methyl Ketones. A Cyclopentanone Annelation Procedure. J. Org. Chem. 1975, 40, 858–862. [Google Scholar] [CrossRef]
- Jung, M.E.; Hudspeth, J.P. Three-carbon annulation. Formation of five-membered rings from olefins via Diels-Alder reactions. J. Am. Chem. Soc. 1977, 99, 5508–5510. [Google Scholar] [CrossRef]
- Marino, J.P.; Linderman, R.J. Chemistry of substituted [.alpha.-(carboethoxy)vinyl]cuprates and their synthetic application to cyclopentenone annulations. J. Org. Chem. 1981, 46, 3696–3702. [Google Scholar] [CrossRef]
- Watanabe, T.; Soma, N. Studies on Seven-membered Ring Compounds. XXXVI. Synthesis of Azulene Derivatives by Ring Closure of β-Cycloheptatrienyl-substituted Carbonyl Compounds. Chem. Pharm. Bull. 1971, 19, 2215–2221. [Google Scholar] [CrossRef][Green Version]
- Mizumoto, K.; Okada, K.; Oda, M. Generation and notable position dependent electrocyclization of cycloheptatrienylphenylcarbonium ions -electrocyclization of a norcaradiene. Tetrahedron Lett. 1984, 25, 2999–3002. [Google Scholar] [CrossRef]
- Oda, M.; Kajioka, T.; Haramoto, K.; Miyatake, R.; Kuroda, S. A Divergent Method for Preparing 1-Aryl- and 1,3-Diarylazulenes from Ethyl 3-(Cyclohepta-1,3,5-trien-1-yl)-3-oxopropionate. Synthesis 1999, 1999, 1349–1353. [Google Scholar] [CrossRef]
- Oda, M.; Kashi, S.; Thanh, N.C.; Kuroda, S. Synthetic Methods for Preparing 1,3-Di(2-pyridyl)azulene. Heterocycles 2007, 71, 1413–1416. [Google Scholar] [CrossRef]
- Kajioka, T.; Oda, M.; Senkura, R.; Kurada, S. Reaction of 1-(ethoxycarbonylacetyl)- cyclohepta-1,3,5-triene with acetic anhydride: A facile synthesis of 1-acetoxy- 2-acetylazulenes. Synth. Commun. 2002, 32, 627–636. [Google Scholar] [CrossRef]
- Yokohama, R.; Ito, S.; Harada, N.; Kabuto, C.; Morita, A. [2+2] Cycloaddition reaction of cycloheptatriene with dichloroketene. A novel and efficient synthetic strategy for the synthesis of 2-hydroxyazulene. J. Chem. Soc. Perkin Trans. 2001, 1, 2257–2261. [Google Scholar] [CrossRef]
- Carret, S.; Blanc, A.; Caquerel, Y.; Berthod, M.; Green, A.E.; Depres, J.-P. Approach to the Blues: A Highly Flexible Route to the Azulenes. Angew. Chem. Ind. Ed. 2005, 44, 5130–5133. [Google Scholar] [CrossRef] [PubMed]
- Carret, S.; Deprés, J.-P. Direct aromatization of chlorohydroazulenones with triflic anhydride: Access to chloroazulenyl triflates. Tetrahedron Lett. 2008, 49, 5642–5644. [Google Scholar] [CrossRef]
- Tsuruta, H.; Sugiyama, T.; Mukai, T. The thermal cyclization of 8-(2,2-disubstituted vinyl) heptafulvenes leading to azulene derivatives. Chem. Lett. 1972, 1, 185–188. [Google Scholar] [CrossRef]
- Prinzbach, H.; Herr, H.-J.; Regel, W. Vinylogous Heptafulvenes from Vinylogous Fulvenes. Angew. Chem. Int. Ed. 1972, 11, 131–133. [Google Scholar] [CrossRef]
- Prinzbach, H.; Herr, H.-J. Neue Wege zum Azulen-System. Angew. Chem. 1972, 84, 117–118. [Google Scholar] [CrossRef]
- Becker, D.A.; Danheiser, R.L. A new synthesis of substituted azulenes. J. Am. Chem. Soc. 1989, 111, 389–391. [Google Scholar] [CrossRef]
- Nozoe, T. Recent advances in the chemistry of troponoids and related compounds in Japan. Pure Appl. Chem. 1971, 28, 239–280. [Google Scholar] [CrossRef]
- Tetsuo Nozoe (1902−1996). Eur. J. Org. Chem. 2004, 2004, 899–928. [CrossRef]
- McDonald, R.N.; Richmond, J.M. Nonbenzenoid aromatic systems. XI. Synthesis and buffered acetolysis of 2-(2-azulyl)ethyl tosylate and nosylate. J. Org. Chem. 1975, 40, 1689–1694. [Google Scholar] [CrossRef]
- Kumar, N.R.; Agrawal, A.R.; Zade, S. Abnormal Nucleophilic Substitution on Methoxytropone Derivatives: Steric Strategy to Synthesize 5-Substituted Azulenes. Chemistry 2019, 25, 14064–14071. [Google Scholar] [CrossRef] [PubMed]
- Kumar, N.; Agrawal, A.R.; Choudhury, A.; Zade, S.S. The Effect of Base and Nucleophile on the Nucleophilic Substitution of Methoxytropone Derivatives: An Easy Access to 4- and 5-Substituted Multifunctional Azulenes. J. Org. Chem. 2020, 85, 9029–9041. [Google Scholar] [CrossRef] [PubMed]
- Kitahara, Y.; Kato, T. The Synthesis of S-Guaiazulene from Hinokitiol. Bull. Chem. Soc. Jpn. 1964, 37, 859–864. [Google Scholar] [CrossRef]
- Nozoe, T.; Takase, K.; Tada, M. The Synthesis of 5- and 6-Aminoazulene Derivatives. Bull. Chem. Soc. Jpn. 1963, 36, 1006–1009. [Google Scholar] [CrossRef]
- Nozoe, T.; Seto, S.; Matsumura, S.; Asano, T. Synthesis of Azulene Derivatives from Troponoids and Cyanoacetic Ester. Proc. Jpn. Acad. 1956, 32, 339–343. [Google Scholar] [CrossRef]
- Nozoe, T.; Seto, S.; Matsumura, S.; Murase, Y. The Synthesis of Azulene Derivatives from Troponoids. Bull. Chem. Soc. Jpn. 1962, 35, 1179–1188. [Google Scholar] [CrossRef]
- Brettle, R.; Dunmur, D.A.; Estdale, S.; Marson, C.M. Synthesis, linear dichroism and mesogenic properties of substituted azulenes. J. Mater. Chem. 1993, 3, 327–331. [Google Scholar] [CrossRef]
- Puodziukynaite, E.; Wang, H.-W.; Lawrence, J.; Wise, A.J.; Russell, T.P.; Barnes, M.D.; Emrick, T. Azulene Methacrylate Polymers: Synthesis, Electronic Properties, and Solar Cell Fabrication. J. Am. Chem. Soc. 2014, 136, 11043–11049. [Google Scholar] [CrossRef]
- Mitsumoto, Y.; Nitta, M. Synthesis, structure, and reactivity of (triphenylarsoranylidene)methylcyclohepta-2,4,6-trienone derivatives: Reactions with heterocumulenes and an activated acetylene. J. Chem. Soc. Perkin Trans. 2002, 1, 2268. [Google Scholar] [CrossRef]
- Doering, W.V.E.; Wiley, D.W. Heptafulvene (methylenecycloheptatriene). Tetrahedron 1960, 11, 183–198. [Google Scholar] [CrossRef]
- Schenk, K.; Kyburz, R.; Neunschwander, M. Synthese und Isolierung von Heptafulven und Sesquifulvalen. Helv. Chim. Acta 1975, 58, 1099–1119. [Google Scholar] [CrossRef]
- Oda, M.; Kitahara, Y. Synthesis of 8-cyanoheptafulvene. Chem. Commun. 1969, 352. [Google Scholar] [CrossRef]
- Hafner, K.; Römer, M.; Der Fünten, W.A.; Komatsu, K.; Tanaka, S.; Okamoto, K. Cyclisch konjugierte 5- und 7-Ringsysteme, IV. Notiz über die Synthese des 8-Acetylheptafulvens. Liebigs Ann. Chem. 1978, 1978, 376–379. [Google Scholar] [CrossRef]
- Hasenhȕndl, A.; Rapp, K.M.; Daub, J. Elektronenreiche heptafulvene als bausteine von azulenen. 8-methoxyheptafulven. Chem. Lett. 1979, 8, 597–600. [Google Scholar] [CrossRef]
- Shono, T.; Okada, T.; Furuse, T.; Kashimura, S.; Nozoe, T.; Maekawa, H. Regioselective synthesis of substituted tropones and azulenes using anodic oxidation of cycloheptatriene systems as the key reaction. Tetrahedron Lett. 1992, 33, 4337–4340. [Google Scholar] [CrossRef]
- Bäumler, A.; Daub, J.; Pickl, W.; Rieger, W. Über die Regiochemie der intermolekularen [8+2]-Cycloaddition elektronenreicher Heptafulvene: Synthese 1,2,3-trisubstituierter Hydroazulene. Chem. Ber. 1985, 118, 1857–1867. [Google Scholar] [CrossRef]
- Oda, M.; Kitahara, Y. Synthesis, Reactions of 8-Cyanoheptafulvene with Enamines. A New Synthesis of Azulene Derivatives. Synthesis 1971, 1971, 367–368. [Google Scholar] [CrossRef]
- Oda, M.; Kitahara, Y. The Reaction of 8-Cyanoheptafulvene with Benzyne. Bull. Chem. Soc. Jpn. 1970, 43, 1920. [Google Scholar] [CrossRef]
- Kuroda, S.; Funamizu, M.; Kitahara, Y.; Asao, T. Syntheses of condensed heptafulvene and 3h-benz[c,d]azulen-3-one derivatives. Tetrahedron Lett. 1975, 37, 3197–3200. [Google Scholar] [CrossRef]
- Rekka, E.; Chrysselis, M.; Siskou, I.; Kourounakis, A. Synthesis of New Azulene Derivatives and Study of Their Effect on Lipid Peroxidation and Lipoxygenase Activity. Chem. Pharm. Bull. 2002, 50, 904–907. [Google Scholar] [CrossRef] [PubMed]
- Bindl, J.; Daub, J.; Hasenhiindl, A.; Meinert, M.; Rapp, K.M. Acenazulendione. Chem. Ber. 1983, 116, 2408–2417. [Google Scholar] [CrossRef]
- Shoji, T.; Ito, S.; Yasunami, M. Synthesis of Azulene Derivatives from 2H-Cyclohepta[b]furan-2-ones as Starting Materials: Their Reactivity and Properties. Int. J. Mol. Sci. 2021, 22, 10686. [Google Scholar] [CrossRef] [PubMed]
- Nozoe, T.; Takase, K.; Shimazaki, N. The Synthesis of Diethyl 2-Hydroxyazulene-1, 3-dicarboxylate from Troponoids and Some Reactions of 2-Hydroxyazulene Derivatives. Bull. Chem. Soc. Jpn. 1964, 37, 1644–1648. [Google Scholar] [CrossRef]
- Nozoe, T.; Takase, K.; Nakazawa, T.; Fukuda, S. The formation of azulene derivatives from 2H-cyclohepta[b]furan-2-one derivatives. Tetrahedron 1971, 27, 3357–3368. [Google Scholar] [CrossRef]
- Nozoe, T.; Takase, K.; Kato, M.; Nogi, T. The reaction of 2-arylsulfonyloxytropones and active methylene compounds. Tetrahedron 1971, 27, 6023–6025. [Google Scholar] [CrossRef]
- Nozoe, T.; Takase, K.; Fukuda, S. The Synthesis of 1-Phenylazulene and 2-Phenylazulene from the Troponoid Compound. Bull. Chem. Soc. Jpn. 1971, 44, 2210–2214. [Google Scholar] [CrossRef]
- Iwama, N.; Kashimoto, M.; Othaki, H.; Kato, T.; Sugano, T. A simple and efficient synthesis of 2-alkylazulenes. Tetrahedron Lett. 2004, 45, 9211–9213. [Google Scholar] [CrossRef]
- Chen, C.-H.; Lee, O.; Yao, C.-N.; Chuang, M.-Y.; Chang, Y.-L.; Chang, M.-H.; Chang, M.H.; Wen, Y.F.; Yang, W.H.; Ko, C.H.; et al. Novel azulene-based derivatives as potent multi-receptor tyrosine kinase inhibitors. Bioorg. Med. Chem. Lett. 2010, 20, 6129–6132. [Google Scholar] [CrossRef] [PubMed]
- Nozoe, T.; Yang, P.-W.; Wu, C.-P.; Huang, T.-S.; Lee, T.-H.; Okai, H.; Wakabayashi, H.; Ishikawa, S.A. Convenient, One-pot Azulene Synthesis from Cyclohepta[b]furan-2-ones and Vinyl Ether and Its Analogues (I). Vinyl Ethyl Ether, Vinyl Acetates, Dihydrofurans, and Dihydropyrans as Reagent. Heterocycles 1989, 29, 1225–1232. [Google Scholar] [CrossRef]
- Wakabayashi, H.; Nozoe, T.; Ishikawa, S.; Wu, C.-P.; Yang, P.-W. A convenient, one-pot azulene synthesis from cycloheptaiblfuran-2-ones and vinyl ether and its analogues. (II): Acetals as reagent. Heterocycles 1990, 31, 17–22. [Google Scholar] [CrossRef]
- Wakabayashi, H.; Nozoe, T.; Shindo, K.; Ishikawa, S.; Wu, C.-P.; Yang, P.-W. A Convenient, One-Pot Azulene Synthesis from 2H-cyclohepta[b]furan-2-ones with Vinyl Ether and Its Analogues III. Orthoesters as a reagent. Heterocycles 1991, 32, 213–220. [Google Scholar] [CrossRef]
- Pham, W.; Weissleder, R.; Tung, C.-H. Intermolecular [8+2] cycloaddition reactions of 2H-3-methoxycarbonylcyclohepta[b]furan-2-one with vinyl ethers: An approach to bicyclo[5.3.0]azulene derivatives. Tetrahedron Lett. 2002, 43, 19–20. [Google Scholar] [CrossRef]
- Hasegawa, T.; Yamabe, S.; Minato, T.; Yamazaki, S.; Nozoe, T. Experimental and Theoretical Analyses of Azulene Synthesis from Tropones and Active Methylene Compounds: Reaction of 2-Methoxytropone and Malononitrile. J. Org. Chem. 2012, 77, 5318–5330. [Google Scholar] [CrossRef]
- Kuroda, S.; Obata, Y.; Thanh, N.C.; Miyatake, R.; Horino, Y.; Oda, M. Synthesis and structure of polyunsaturated [10]paracyclophane annulated by two azulene rings. Tetrahedron Lett. 2008, 49, 552–556. [Google Scholar] [CrossRef][Green Version]
- Wu, C.-P.; Devendar, B.; Su, H.-C.; Chang, Y.-H.; Ku, C.-K. Efficient synthesis and applications of 2-substituted azulene derivatives: Towards highly functionalized carbo- and heterocyclic molecules. Tetrahedron Lett. 2012, 53, 5019–5022. [Google Scholar] [CrossRef]
- Yang, P.-W.; Yasunami, M.; Takase, K. The formation of azulene derivatives by the reaction of 2H- cyclohepta[b]furan-2-ones with enamines. Tetrahedron Lett. 1971, 12, 4275–4278. [Google Scholar] [CrossRef]
- Yasunami, M.; Chen, A.; Noro, Y.; Takase, K. The reaction of 3-cyano-2h-cyclohepta[b]furan-2-one with β, β-disubstituted enamines. Chem. Lett. 1981, 10, 555–558. [Google Scholar] [CrossRef]
- Yasunami, M.; Hioki, T.; Kitamori, Y.; Kikuchi, I.; Takase, K. Synthesis of Cyclopent[a]azulenes and 1(3)-Methylenecyclopent[a]azulene Derivatives Having an Electron Withdrawing Group at the 9-Position. Bull. Chem. Soc. Jpn. 1993, 66, 2273–2282. [Google Scholar] [CrossRef]
- Yasunami, M.; Miyoshi, S.; Kanegae, N.; Takase, K. A Versatile Synthetic Method of 1-Alkylazulenes and Azulene by the Reactions of 3-Methoxycarbonyl-2H-cyclohepta[b]furan-2-one with in situ Generated Enamines. Bull. Chem. Soc. Jpn. 1993, 66, 892–899. [Google Scholar] [CrossRef]
- Ueno, T.; Toda, H.; Yasunami, M.; Yoshifuji, M. Synthesis and Properties of Fluoroazulenes. II. Electrophilic Fluorination of Azulenes with N-Fluoro Reagents. Bull. Chem. Soc. Jpn. 1996, 69, 1645–1656. [Google Scholar] [CrossRef]
- Nagel, M.; Hansen, H.-J. Synthesis of Polyalkylphenyl Prop-2-ynoates and Their Flash Vacuum Pyrolysis to Polyalkylcyclohepta[b]furan-2(2H)-ones. Helv. Chim. Acta 2000, 83, 1022–1048. [Google Scholar] [CrossRef]
- Nagel, M.; Hansen, H.-J. From Phenols to Azulenes: An Extended and Versatile Route to Polyalkylated Azulenes with Variable Substitution Patterns at the Seven- and Five-membered Ring. Synlett 2002, 2002, 692–696. [Google Scholar] [CrossRef]
- Nitta, M.; Nishimura, K.; Iino, Y. Synthesis and structural studies of novel azuleno[1,2-a]azulene and its derivatives. Tetrahedron Lett. 1993, 34, 2151–2160. [Google Scholar] [CrossRef]
- Yasunami, M.; Kitamori, Y.; Kikuchi, I.; Ohmi, H.; Takase, K. Peri-Selective Cycloaddition Reactions of 3-Methoxycarbonyl-2H- cyclohepta[b]furan-2-one with 6,6-Dimethylfulvene. Bull. Chem. Soc. Jpn. 1992, 65, 2127–2130. [Google Scholar] [CrossRef]
- Lellek, V.; Hansen, H.-J. Surprising Formation of Highly Substituted Azulenes on Thermolysis of 4,5,6,7,8-Pentamethyl-2H-cyclohepta[b]furan-2-one and Heptalene Formation with the New Azulenes. Helv. Chim. Acta 2001, 84, 1712–1736. [Google Scholar] [CrossRef]
- Plattner, P.A.; Wyss, J. Zur Kenntnis der Sesquiterpene;. (47. Mitteilung). Synthese einiger Mono- und Dimethyl-azulene. Helv. Chim. Acta 1941, 24, 483–492. [Google Scholar] [CrossRef]
- Plattner, P.A.; Fürst, A.; Müller, A.; Somerville, A.R. Zur Kenntnis der Sesquiterpene und Azulene. 96. Mitteilung. Über einige Azulen-carbonsäuren. Helv. Chim. Acta 1951, 34, 971–988. [Google Scholar] [CrossRef]
- Doering, W.V.E.; Mayer, J.R.; DePuy, C.H. Two-Step Synthesis of Azulene. J. Am. Chem. Soc. 1953, 75, 2386. [Google Scholar] [CrossRef]
- Alder, K.; Schmitz, P. Ein Beitrag zur Darstellung der Azulene aus Hydrindenen und über die Dien-Synthese des 3.4-Trimethylen-norcara-diens-(2.4). Chem. Ber. 1953, 86, 1539–1544. [Google Scholar] [CrossRef]
- Zindel, J.; Maitra, S.; Lightner, D.A. Synthesis and Properties of 2,6-Substituted Push-Pull Azulenes. Synthesis 1996, 1996, 1217–1222. [Google Scholar] [CrossRef]
- Luhowy, R.; Keehn, P.M. Cyclophanes. 9. anti-[2.2](2,6)Azulenophane. Synthesis and charge-transfer interaction. J. Am. Chem. Soc. 1977, 99, 3797–3805. [Google Scholar] [CrossRef]
- Sakai, L.T.; Minton, M.A.; Kirms, M.A. A short new azulene synthesis. J. Am. Chem. Soc. 1980, 110, 6311–6314. [Google Scholar] [CrossRef]
- Kane, J.L.; Shea, K.M.; Crombie, A.L.; Danheiser, R.L. A Ring Expansion−Annulation Strategy for the Synthesis of Substituted Azulenes. Preparation and Suzuki Coupling Reactions of 1-Azulenyl Triflates. Org. Lett. 2001, 3, 1081–1084. [Google Scholar] [CrossRef]
- Crombie, A.L.; Kane, J.L.; Shea, K.M.; Danheiser, R.L. Ring Expansion-Annulation Strategy for the Synthesis of Substituted Azulenes and Oligoazulenes. 2. Synthesis of Azulenyl Halides, Sulfonates, and Azulenylmetal Compounds and Their Application in Transition-Metal-Mediated Coupling Reactions. J. Org. Chem. 2004, 69, 8652–8667. [Google Scholar] [CrossRef] [PubMed]
- Leino, T.O.; Johansson, N.G.; Devisscher, L.; Sipari, N.; Yli-Kauhaluoma, J.; Wallen, E.A.A. Synthesis of 1,3,6-Trisubstituted Azulenes Based on the 1-Acyloxyazulene Scaffold. Eur. J. Org. Chem. 2016, 5539–5544. [Google Scholar] [CrossRef]
- Sakai, A.; Aoyama, T.; Shioiri, T. A new preparation of methylenecyclopropanes utilizing trimethylsilyldiazomethane. Tetrahedron 1999, 55, 3687–3694. [Google Scholar] [CrossRef]
- Hari, Y.; Tanaka, S.; Takuma, Y.; Aoyama, T. New Two-Step Synthesis of Azulene-1-carboxylic Esters Using Lithium Trimethylsilyldiazomethane. Synlett 2003, 2003, 2151–2154. [Google Scholar] [CrossRef]
- Aoyama, T.; Sonoda, N.; Yamauchi, M.; Toriyama, K.; Anzai, M.; Ando, A.; Shioiri, T. Chemical Manganese Dioxide (CMD), an Efficient Activated Manganese Dioxide. Application to Oxidation of Benzylic and Allylic Alcohols. Synlett 1998, 1998, 35–36. [Google Scholar] [CrossRef]
- Reppe, W.; Schlichting, O.; Meister, H. Cyclisierende Polymerisation von Acetylen II. Über die Kohlenwasserstoffe C10H10, C12H12 und Azulen. Justus Ann. Chem. 1948, 560, 93. [Google Scholar] [CrossRef]
- Clauß, G.; Ried, W. Photochemische Dimerisierung von 1,4-Dialkinylbenzolen. Chem. Ber. 1975, 108, 528–537. [Google Scholar] [CrossRef]
- Reppe, S.J.; Kharasch, N. Derivatives of Sulfenic Acids. XXXII. The Synthesis of Azulenes via the Interactions of Arylacetylenes with Sulfenyl Halides. Part 1. 1,2,3-Triphenylazulene1,a,b,c. J. Am. Chem. Soc. 1958, 80, 5978–5982. [Google Scholar] [CrossRef]
- De Liefde Meijer, H.J.; Pauzenga, U.; Jellinek, F. Catalytic dimerization of diphenylacetylene to 1,2,3-triphenylazulene: Short communication. Rec. Trav. Chim. Pays-Bas 1966, 85, 634–636. [Google Scholar] [CrossRef]
- Fan, R.L.; Dickstein, J.I.; Miller, S.I. Benzo[b]thiophene S-oxides and related compounds from the reactions of arylalkynes and antimony pentafluoride in sulfur dioxide. J. Org. Chem. 1982, 47, 2466–2469. [Google Scholar] [CrossRef]
- Cooksey, C.J.; Courtneidge, J.L.; Davies, A.G.; Gregory, P.S.; Evans, J.C.; Rowlands, C.C. Generation of azulene radical cations from arylalkynes. J. Chem. Soc. Perkin Trans. 1988, 2, 807–813. [Google Scholar] [CrossRef]
- Lambert, C.; Nöll, G.; Zabel, M.; Hampel, F.; Schmälzlin, E.; Bräuchle, C.; Meerholz, K. Highly Substituted Azulene Dyes as Multifunctional NLO and Electron-Transfer Compounds. Chem. Eur. J. 2003, 9, 4232–4239. [Google Scholar] [CrossRef]
- Brown, D.G.; Hoye, T.R.; Brisbois, R.G. Synthesis of Azulenone Skeletons by Reaction of 2-Phenyl-2-acylketenes [RCO(Ph)CCO] with Alkynyl Ethers: Mechanistic Aspects and Further Transformations. J. Org. Chem. 1998, 63, 1630–1636. [Google Scholar] [CrossRef]
- Usui, K.; Tanoue, K.; Yamamoto, K.; Shimizu, T.; Suemune, H. Synthesis of Substituted Azulenes via Pt(II)-Catalyzed Ring-Expanding Cycloisomerization. Org. Lett. 2014, 16, 4662–4665. [Google Scholar] [CrossRef]
- Staab, H.A.; Ipaktschi, J. Intramolekulare Wechselwirkungen zwischen Dreifachbindungen, V. Parallele Dreifachbindungen: 1.8-Bis-aryläthinyl-naphthaline. Chem. Ber. 1971, 104, 1170–1181. [Google Scholar] [CrossRef]
- Hafner, K.; Häring, J.; Jäkel, W. Cycloadditionen am Azulensystem. Angew. Chem. 1970, 82, 135–136. [Google Scholar] [CrossRef]
- Cresp, T.M.; Wege, D. The addition of benzyne to azulene. Tetrahedron 1986, 42, 6713–6718. [Google Scholar] [CrossRef]
- Le Goff, E.J. The Synthesis of Hexaphenylpentalene. J. Am. Chem. Soc. 1962, 84, 3975–3976. [Google Scholar] [CrossRef]
- Hafner, K.; Diehl, H.; Ulrich Süss, H. Cycloadditionsreaktionen des Pentalens und Azulens—Eine einfache Heptalen-Synthese. Angev. Chem. 1976, 88, 121. [Google Scholar] [CrossRef]
- Dehmlow, E.V.; Slopianka, M. Vakuumpyrolyse von 5,5,10,10-Tetrachlortricyclo[7.1.0.04,6]deca-2,7-dien: 1,5- und 2,6-Dichlorazulene. Angew. Chem. 2006, 94, 461. [Google Scholar] [CrossRef]
- Vogel, E. Südwestdeutsche Chemie-Dozenten-Tagung. Angew. Chem. 1973, 61, 548. [Google Scholar] [CrossRef]
- Sugihara, Y.; Sugimura, T.; Murata, I. Valence isomer of 4-methoxyazulene. Synthesis of 6-methoxytetracyclo[5.3.0.02,4.03,5]deca-6,8,10-triene. J. Am. Chem. Soc. 1981, 103, 6738–6739. [Google Scholar] [CrossRef]
- Sugihara, Y.; Sugimura, T.; Murata, I. Synthesis and thermal behavior of 6-methoxytricyclo[5.3.0.02,5]deca-3,6,8,10-tetraene (methoxy-Dewar azulene). Similarity between valence isomers of azulene and benzene. J. Am. Chem. Soc. 1982, 104, 4295–4298. [Google Scholar] [CrossRef]
- Gassman, P.G.; Nakai, T. Chemistry of bent bonds. XXVI. Transition metal complex induced rearrangement of 1-methyl-2,2-diphenylbicyclo[1.1.0]butane. New route to azulenes. J. Am. Chem. Soc. 1971, 93, 5897–5899. [Google Scholar] [CrossRef]
- Diehl, H. Doctoral thesis, 1976. Technische Hochschule Darmstadt, Germany. In Methoden der Organischen Chemie-Houben-Weil; Thieme Verlag Stuttgart: New York, NY, USA, 1985; Volume V/2c, p. 242. [Google Scholar]
- Nakazawa, T.; Ishihara, M.; Jinguji, M.; Yamaguchi, M.; Sugihara, Y.; Murata, I. Acid-catalyzed rearrangement of 2-substituted and 2,4-disubstituted 8H-3-oxaheptalen-8-ones to 1-Acyl-6-hydroxyazulenes. Tetrahedron Lett. 1992, 33, 6487–6490. [Google Scholar] [CrossRef]
- Dimroth, K.; Wolf, K.H.; Wache, H. Azulenes from Pyrylium Salts and Wittig Reagent. Angew. Chem. Int. Ed. 1963, 2, 621. [Google Scholar] [CrossRef]
- Kende, A.S.; Hebeisen, P. Condensation of a p-diazooxide with dimethyl acetylenedicarboxylate: Formation of a spiro [4.5]decatetraenone and a nonenolizable naphthalenone in a single reaction. Tetrahedron Lett. 1985, 26, 3769–3772. [Google Scholar] [CrossRef]
- Sasabe, M.; Houda, Y.; Takagi, H.; Sugane, T.; Bo, X.; Yamamura, K. A versatile and efficient method for the synthesis of benz[a]azulenic enones starting from readily available o-(2-furyl)cycloheptatrienylbenzenes. J. Chem. Soc. Perkin Trans. 2000, 1, 3786–3790. [Google Scholar] [CrossRef]
Disclaimer/Publisher’s Note: The statements, opinions and data contained in all publications are solely those of the individual author(s) and contributor(s) and not of MDPI and/or the editor(s). MDPI and/or the editor(s) disclaim responsibility for any injury to people or property resulting from any ideas, methods, instructions or products referred to in the content. |
© 2025 by the author. Licensee MDPI, Basel, Switzerland. This article is an open access article distributed under the terms and conditions of the Creative Commons Attribution (CC BY) license (https://creativecommons.org/licenses/by/4.0/).



































































































