Observer-Based Distributed Model-Free Adaptive Control for Nonlinear MASs Under FDI Attacks and Channel Fading
Abstract
1. Introduction
- The control problems in the presence of network attacks and channel attenuation in nonlinear multi-agent systems are studied. A data-driven hierarchical control framework is proposed, which solves the heterogeneity problem of multi-agent systems and improves the adaptability and robustness of the system.
- A distributed control algorithm is developed to realize the independent design of the observer and the controller, which simplifies the system implementation, ensures the accuracy of the control strategy under FDI attack and channel attenuation, as well as the consistency of the system, and improves the overall performance.
2. Preliminaries and Problem Formulation
2.1. Preliminaries
2.2. Problem Formulation
3. Observer-Based Distributed Resilient Model-Free Adaptive Control Scheme Design
3.1. Designing the Adaptive Distributed Observer
3.2. Decentralized Model-Free Adaptive Learning Controller
3.3. Decentralized Data-Driven Adaptive Controller Design Under Channel Fading and FDI Attacks
4. Stability Analysis
5. Simulations
5.1. Parameter Setting
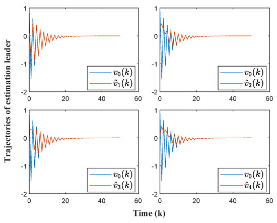
5.2. Simulation Results
6. Conclusions
Author Contributions
Funding
Data Availability Statement
Conflicts of Interest
Nomenclature
| The graph identification | |
| The set of nodes | |
| The edge set | |
| The adjacency matrix | |
| The Laplacian matrix | |
| The output state of the system at time i | |
| The input state of the system at time i | |
| The system state of the leader | |
| The observer status of the i th agent | |
| The tracking error | |
| The estimation value of matrix F | |
| The PPD parameter | |
| The learning factor | |
| z | The positive integer representing the decay order |
| The decay coefficient | |
| The distributed observer error | |
| The PPD parameter estimation error | |
| The estimation error between the estimated state of the i th follower and the actual state of the leader |
References
- Liu, L.; Gao, T.; Liu, Y.J.; Tong, S.; Chen, C.P.; Ma, L. Time-varying IBLFs-based adaptive control of uncertain nonlinear systems with full state constraints. Automatica 2021, 129, 109595. [Google Scholar] [CrossRef]
- Ren, H.; Ma, H.; Li, H.; Wang, Z. Adaptive Fixed-Time Control of Nonlinear MASs with Actuator Faults. IEEE/CAA J. Autom. Sin. 2023, 10, 1252–1262. [Google Scholar] [CrossRef]
- Jin, Y.; Xu, Y.; Liu, G.; Jin, Z.; Li, H. Event-Triggered Distributed Sliding Mode Control of Fractional-Order Nonlinear Multi-Agent Systems. Symmetry 2023, 15, 1247. [Google Scholar] [CrossRef]
- Wu, L.; Li, Z.; Liu, S.; Li, Z.; Sun, D. A Novel Multi-Agent Model-Free Adaptive Control Algorithm for a Class of Multivehicle Systems with Constraints. Symmetry 2023, 15, 168. [Google Scholar] [CrossRef]
- Wang, J.; Pan, H.; Sun, W. Event-Triggered Adaptive Fault-Tolerant Control for Unknown Nonlinear Systems with Applications to Linear Motor. IEEE/ASME Trans. Mechatronics 2022, 27, 940–949. [Google Scholar] [CrossRef]
- Deng, C.; Wen, C. Distributed Resilient Observer-Based Fault-Tolerant Control for Heterogeneous Multiagent Systems Under Actuator Faults and DoS Attacks. IEEE Trans. Control Netw. Syst. 2020, 7, 1308–1318. [Google Scholar] [CrossRef]
- Deng, C.; Wen, C.; Huang, J.; Zhang, X.M.; Zou, Y. Distributed Observer-Based Cooperative Control Approach for Uncertain Nonlinear MASs Under Event-Triggered Communication. IEEE Trans. Autom. Control 2022, 67, 2669–2676. [Google Scholar] [CrossRef]
- Bu, X.; Hou, Z.; Zhang, H. Data-Driven Multiagent Systems Consensus Tracking Using Model Free Adaptive Control. IEEE Trans. Neural Netw. Learn. Syst. 2018, 29, 1514–1524. [Google Scholar] [CrossRef] [PubMed]
- Wen, G.; Wang, P.; Lv, Y.; Chen, G.; Zhou, J. Secure consensus of multi-agent systems under denial-of-service attacks. Asian J. Control 2023, 25, 695–709. [Google Scholar] [CrossRef]
- Liu, K.; Ji, Z. Dynamic Event-Triggered Consensus of General Linear Multi-Agent Systems with Adaptive Strategy. IEEE Trans. Circuits Syst. II Express Briefs 2022, 69, 3440–3444. [Google Scholar] [CrossRef]
- Cheng, F.; Liang, H.; Niu, B.; Zhao, N.; Zhao, X. Adaptive neural self-triggered bipartite secure control for nonlinear MASs subject to DoS attacks. Inf. Sci. 2023, 631, 256–270. [Google Scholar] [CrossRef]
- Liu, Y.; Liu, D. Extended State Observer-Based Model-Free Adaptive Fault-Tolerant Constrained Control for Cyber-Physical Systems with DoS Attacks. In Proceedings of the 2024 IEEE 13th Data Driven Control and Learning Systems Conference (DDCLS), Kaifeng, China, 17–19 May 2024; pp. 1673–1678. [Google Scholar]
- Liu, Y.; Deng, C.; Xie, X.; Che, W.W.; Zhang, L.; Fan, S. Cooperative Observer-Based Fuzzy Tracking Control for Nonlinear MASs Under DoS Attacks. IEEE Trans. Fuzzy Syst. 2024, 32, 767–777. [Google Scholar] [CrossRef]
- Shao, X.; Ye, D.; Zhao, X.G. Adaptive Fault-Tolerant Consensus Tracking Control of Stochastic High-Order MASs Under FDI Attacks. IEEE Trans. Fuzzy Syst. 2024, 32, 2543–2553. [Google Scholar] [CrossRef]
- Lu, G.; Li, K.; Li, Y. Fuzzy Adaptive Dynamic Event Triggered Output Feedback Consensus Control for MASs under FDI Attacks. IEEE Internet Things J. 2024. [Google Scholar] [CrossRef]
- Niu, B.; Wen, L.; Zhao, X.; Zong, G.; Wang, D.; Zhang, B. Adaptive Fuzzy Consensus Tracking Using Monotone Tube Boundary Functions for Nonlinear MASs Under FDI Attacks: A Single-Parameter Integration Approach. IEEE Trans. Fuzzy Syst. 2024, 1–11. [Google Scholar] [CrossRef]
- Ni, J.; Qian, S.; Cao, J.; Li, W.; Yang, F. Predefined-Time Consensus Tracking Control for Multiagent System with Channel Fading. IEEE Trans. Cybern. 2024, 54, 4652–4665. [Google Scholar] [CrossRef]
- Tan, C.; Sui, H.; Li, Y. Mean Square Consensus of Multi-Agent Systems Over Non-Identical Delayed and Fading Channels. IEEE Trans. Circuits Syst. II Express Briefs 2024, 71, 4261–4265. [Google Scholar] [CrossRef]
- Li, Y.; Tong, S. Bumpless transfer distributed adaptive backstepping control of nonlinear multi-agent systems with circular filtering under DoS attacks. Automatica 2023, 157, 111250. [Google Scholar] [CrossRef]
- Ma, Q.; Xu, S. Intentional delay can benefit consensus of second-order multi-agent systems. Automatica 2023, 147, 110750. [Google Scholar] [CrossRef]
- Xu, Y.; Li, T.; Yang, Y.; Shan, Q.; Tong, S.; Chen, C.L.P. Anti-Attack Event-Triggered Control for Nonlinear Multi-Agent Systems with Input Quantization. IEEE Trans. Neural Netw. Learn. Syst. 2023, 34, 10105–10115. [Google Scholar] [CrossRef]
- Zhang, S.; Ma, L.; Yi, X. Model-Free Adaptive Control for Nonlinear Multi-Agent Systems with Encoding-Decoding Mechanism. IEEE Trans. Signal Inf. Process. Netw. 2022, 8, 489–498. [Google Scholar] [CrossRef]
- Zhu, P.; Jin, S.; Bu, X.; Hou, Z. Improved Model-Free Adaptive Control for MIMO Nonlinear Systems with Event-Triggered Transmission Scheme and Quantization. IEEE Trans. Cybern. 2023, 53, 5867–5880. [Google Scholar] [CrossRef]
- Liang, J.; Bu, X.; Cui, L.; Hou, Z. Event-Triggered Asymmetric Bipartite Consensus Tracking for Nonlinear Multi-Agent Systems Based on Model-Free Adaptive Control. IEEE/CAA J. Autom. Sin. 2023, 10, 662–672. [Google Scholar] [CrossRef]
- Chen, R.Z.; Li, Y.X.; Hou, Z.S. Distributed model-free adaptive control for multi-agent systems with external disturbances and DoS attacks. Inf. Sci. 2022, 613, 309–323. [Google Scholar] [CrossRef]
- Zhu, P.; Jin, S.; Bu, X.; Hou, Z.; Yin, C. Model-Free Adaptive Control for a Class of MIMO Nonlinear Cyberphysical Systems Under False Data Injection Attacks. IEEE Trans. Control Netw. Syst. 2023, 10, 467–478. [Google Scholar] [CrossRef]
- Qiu, X.; Wang, Y.; Xie, X.; Zhang, H. Resilient model-free adaptive control for cyber-physical systems against jamming attack. Neurocomputing 2020, 413, 422–430. [Google Scholar] [CrossRef]
- Li, F.; Hou, Z. Distributed Model-Free Adaptive Control for MIMO Nonlinear Multiagent Systems Under Deception Attacks. IEEE Trans. Syst. Man Cybern. Syst. 2023, 53, 2281–2291. [Google Scholar] [CrossRef]
- Zhang, P.; Wang, Z.; Che, W. Data-Driven Prescribed Performance Platooning Control Under Aperiodic Denial-of- Service Attacks. Mathematics 2024, 12, 3313. [Google Scholar] [CrossRef]
- Pan, Z.; Chi, R.; Hou, Z. Compensation-Based Distributed Model-Free Adaptive Control for Cyber-Attacks. IEEE Trans. Signal Inf. Process. Over Netw. 2023, 9, 84–94. [Google Scholar] [CrossRef]
- Qiu, Y.; Wu, S.; Jiao, J.; Zhang, N.; Zhang, Q. Model-Free Control in Wireless Cyber–Physical System with Communication Latency: A DRL Method with Improved Experience Replay. IEEE Trans. Cybern. 2023, 53, 4704–4717. [Google Scholar] [CrossRef] [PubMed]
- Chen, Y.; Zhao, H.; Xu, D.; Xie, L.; Peng, L.; Yu, H. Event-triggered Model-free Adaptive Sliding-mode Control for CPSs under DoS Attacks. In Proceedings of the 2024 36th Chinese Control and Decision Conference (CCDC), Xi’an, China, 25–27 May 2024; pp. 4528–4533. [Google Scholar]
- Chuai, C.; Yin, H.; Wang, F.; Liu, Z. Model Free Adaptive Control for Nonlinear Multi-Agent Systems Under Actuator Faults and DoS Attacks. In Proceedings of the 2024 IEEE 13th Data Driven Control and Learning Systems Conference (DDCLS), Kaifeng, China, 17–19 May 2024; pp. 214–219. [Google Scholar]
- Zhao, X.; Bu, X.; Yu, W.; Liang, J.; Zhang, W. Model-free adaptive control for MIMO nonlinear systems under packet dropout and DoS attack. In Proceedings of the 2021 IEEE 10th Data Driven Control and Learning Systems Conference (DDCLS), Suzhou, China, 14–16 May 2021; pp. 190–194. [Google Scholar]
- Ma, Y.S.; Che, W.W.; Deng, C. Event-triggered model-free adaptive control for nonlinear cyber-physical systems with false data injection attacks. Int. J. Robust Nonlinear Control 2022, 32, 2442–2452. [Google Scholar] [CrossRef]
- Zhu, Q. Event-Triggered Sampling Problem for Exponential Stability of Stochastic Nonlinear Delay Systems Driven by Lévy Processes. IEEE Trans. Autom. Control 2025, 70, 1176–1183. [Google Scholar] [CrossRef]
- Ding, K.; Zhu, Q. Extended dissipative anti-disturbance control for delayed switched singular semi-Markovian jump systems with multi-disturbance via disturbance observer. Automatica 2021, 128, 109556. [Google Scholar] [CrossRef]
- Chandrasenan, A.; Zacharias, J. A Multipath Approach to Self-Interference Cancellation in MIMO Rayleigh Fading Channels. J. Opt. Photonics Res. 2023, 1, 82–90. [Google Scholar] [CrossRef]
- Hou, Z.; Jin, S. A Novel Data-Driven Control Approach for a Class of Discrete-Time Nonlinear Systems. IEEE Trans. Control. Syst. Technol. 2011, 19, 1549–1558. [Google Scholar] [CrossRef]
- Yan, Y.; Huang, J. Cooperative output regulation of discrete-time linear time-delay multi-agent systems under switching network. Neurocomputing 2017, 241, 108–114. [Google Scholar] [CrossRef]
- Hou, Z.; Jin, S. Model Free Adaptive Control: Theory and Applications; CRC Press: Boca Raton, FL, USA, 2013. [Google Scholar]
- Zhang, P.; Che, W.W. Hierarchical Distributed Model-Free Adaptive Fault-Tolerant Vehicular Platooning Control. Int. J. Robust Nonlinear Control 2025, 35, 1281–1293. [Google Scholar] [CrossRef]






Disclaimer/Publisher’s Note: The statements, opinions and data contained in all publications are solely those of the individual author(s) and contributor(s) and not of MDPI and/or the editor(s). MDPI and/or the editor(s) disclaim responsibility for any injury to people or property resulting from any ideas, methods, instructions or products referred to in the content. |
© 2025 by the authors. Licensee MDPI, Basel, Switzerland. This article is an open access article distributed under the terms and conditions of the Creative Commons Attribution (CC BY) license (https://creativecommons.org/licenses/by/4.0/).
Share and Cite
Peng, C.; Peng, L.; Chen, C. Observer-Based Distributed Model-Free Adaptive Control for Nonlinear MASs Under FDI Attacks and Channel Fading. Symmetry 2025, 17, 323. https://doi.org/10.3390/sym17030323
Peng C, Peng L, Chen C. Observer-Based Distributed Model-Free Adaptive Control for Nonlinear MASs Under FDI Attacks and Channel Fading. Symmetry. 2025; 17(3):323. https://doi.org/10.3390/sym17030323
Chicago/Turabian StylePeng, Chang, Lianghong Peng, and Chao Chen. 2025. "Observer-Based Distributed Model-Free Adaptive Control for Nonlinear MASs Under FDI Attacks and Channel Fading" Symmetry 17, no. 3: 323. https://doi.org/10.3390/sym17030323
APA StylePeng, C., Peng, L., & Chen, C. (2025). Observer-Based Distributed Model-Free Adaptive Control for Nonlinear MASs Under FDI Attacks and Channel Fading. Symmetry, 17(3), 323. https://doi.org/10.3390/sym17030323

