Fundamental Oscillation Modes in Neutron Stars with Hyperons and Delta Baryons
Abstract
1. Introduction
2. Model
3. F-Mode Analysis
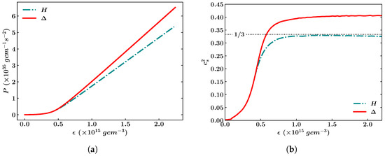
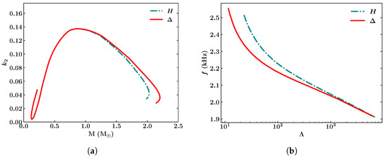
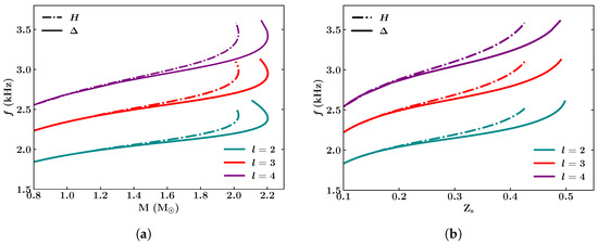
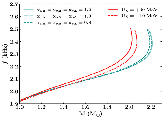
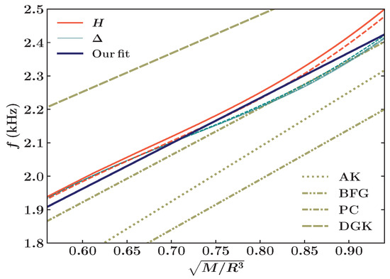
4. Results and Discussions
5. Conclusions
Author Contributions
Funding
Data Availability Statement
Acknowledgments
Conflicts of Interest
References
- Abbott, B.P.; Abbott, R.; Abbott, T.; Acernese, F.; Ackley, K.; Adams, C.; Adams, T.; Addesso, P.; Adhikari, R.X.; Adya, V.B.; et al. GW170817: Observation of Gravitational Waves from a Binary Neutron Star Inspiral. Phys. Rev. Lett. 2017, 119, 161101. [Google Scholar] [CrossRef] [PubMed]
- Abbott, B.P.; Abbott, R.; Abbott, T.D.; Acernese, F.; Ackley, K.; Adams, C.; Adams, T.; Addesso, P.; Adhikari, R.X.; Adya, V.B.; et al. GW170817: Measurements of neutron star radii and equation of state. Phys. Rev. Lett. 2018, 121, 161101. [Google Scholar] [CrossRef]
- Abbott, R.; Abbott, T.D.; Abraham, S.; Acernese, F.; Ackley, K.; Adams, C.; Adhikari, R.X.; Adya, V.B.; Affeldt, C.; Agathos, M.; et al. GW190814: Gravitational Waves from the Coalescence of a 23 Solar Mass Black Hole with a 2.6 Solar Mass Compact Object. Astrophys. J. 2020, 896, L44. [Google Scholar] [CrossRef]
- Antoniadis, J.; Freire, P.C.; Wex, N.; Tauris, T.M.; Lynch, R.S.; Van Kerkwijk, M.H.; Kramer, M.; Bassa, C.; Dhillon, V.S.; Driebe, T.; et al. A Massive Pulsar in a Compact Relativistic Binary. Science 2013, 340, 6131. [Google Scholar] [CrossRef]
- Fonseca, E.; Pennucci, T.T.; Ellis, J.A.; Stairs, I.H.; Nice, D.J.; Ransom, S.M.; Demorest, P.B.; Arzoumanian, Z.; Crowter, K.; Dolch, T.; et al. The NANOGrav Nine-year Data Set: Mass and Geometric Measurements of Binary Millisecond Pulsars. Astrophys. J. 2016, 832, 167. [Google Scholar] [CrossRef]
- Cromartie, H.T.; Fonseca, E.; Ransom, S.M.; Demorest, P.B.; Arzoumanian, Z.; Blumer, H.; Brook, P.R.; DeCesar, M.E.; Dolch, T.; Ellis, J.A.; et al. Relativistic Shapiro delay measurements of an extremely massive millisecond pulsar. Nat. Astron. 2019, 4, 72–76. [Google Scholar] [CrossRef]
- Chandrasekhar, S. Solutions of Two Problems in the Theory of Gravitational Radiation. Phys. Rev. Lett. 1970, 24, 611–615. [Google Scholar] [CrossRef]
- Friedman, J.L.; Schutz, B.F. Secular instability of rotating Newtonian stars. Astrophys. J. 1978, 222, 281–296. [Google Scholar] [CrossRef]
- Nayyar, M.; Owen, B.J. R-modes of accreting hyperon stars as persistent sources of gravitational waves. Phys. Rev. D 2006, 73, 084001. [Google Scholar] [CrossRef]
- Passamonti, A.; Glampedakis, K. Nonlinear viscous damping and gravitational wave detectability of the f-mode instability in neutron stars. Mon. Not. Roy. Astron. Soc. 2012, 422, 3327. [Google Scholar] [CrossRef]
- Doneva, D.D.; Gaertig, E.; Kokkotas, K.D.; Krüger, C. Gravitational wave asteroseismology of fast rotating neutron stars with realistic equations of state. Phys. Rev. D 2013, 88, 044052. [Google Scholar] [CrossRef]
- Gittins, F.; Andersson, N. The r-modes of slowly rotating, stratified neutron stars. Mon. Not. Roy. Astron. Soc. 2023, 521, 3043–3057. [Google Scholar] [CrossRef]
- Jyothilakshmi, O.P.; Krishnan, P.E.S.; Thakur, P.; Sreekanth, V.; Jha, T.K. Hyperon bulk viscosity and r-modes of neutron stars. Mon. Not. Roy. Astron. Soc. 2022, 516, 3381–3388. [Google Scholar] [CrossRef]
- Laskos-Patkos, P.; Moustakidis, C.C. Signatures of quark deconfinement through the r-modes of twin stars. Phys. Rev. D 2023, 107, 123023. [Google Scholar] [CrossRef]
- Passamonti, A.; Gaertig, E.; Kokkotas, K.D. The evolution of the f-mode instability and gravitational wave detection prospectives. J. Phys. Conf. Ser. 2013, 453, 012011. [Google Scholar] [CrossRef]
- Lindblom, L.; Detweiler, S.L. The quadrupole oscillations of neutron stars. Astrophys. J. Suppl. 1983, 53, 73–92. [Google Scholar] [CrossRef]
- Cowling, T.G. The Non-radial Oscillations of Polytropic Stars. Mon. Not. Roy. Astron. Soc. 1941, 101, 367–375. [Google Scholar] [CrossRef]
- Sotani, H.; Takiwaki, T. Accuracy of relativistic Cowling approximation in protoneutron star asteroseismology. Phys. Rev. D 2020, 102, 063025. [Google Scholar] [CrossRef]
- Sotani, H.; Yasutake, N.; Maruyama, T.; Tatsumi, T. Signatures of hadron-quark mixed phase in gravitational waves. Phys. Rev. D 2011, 83, 024014. [Google Scholar] [CrossRef]
- Flores, C.V.; Lugones, G. Discriminating hadronic and quark stars through gravitational waves of fluid pulsation modes. Class. Quant. Grav. 2014, 31, 155002. [Google Scholar] [CrossRef]
- Ranea-Sandoval, I.F.; Guilera, O.M.; Mariani, M.; Orsaria, M.G. Oscillation modes of hybrid stars within the relativistic Cowling approximation. J. Cosmol. Astropart. Phys. 2018, 12, 031. [Google Scholar] [CrossRef]
- Vásquez Flores, C.; Parisi, A.; Chen, C.S.; Lugones, G. Fundamental oscillation modes of self-interacting bosonic dark stars. J. Cosmol. Astropart. Phys. 2019, 6, 051. [Google Scholar] [CrossRef]
- Pradhan, B.K.; Chatterjee, D. Effect of hyperons on f-mode oscillations in Neutron Stars. Phys. Rev. C 2021, 103, 035810. [Google Scholar] [CrossRef]
- Kumar, D.; Mishra, H.; Malik, T. Non-radial oscillation modes in hybrid stars: Consequences of a mixed phase. J. Cosmol. Astropart. Phys. 2023, 2, 015. [Google Scholar] [CrossRef]
- Das, H.C.; Kumar, A.; Biswal, S.K.; Patra, S.K. Impacts of dark matter on the f-mode oscillation of hyperon star. Phys. Rev. D 2021, 104, 123006. [Google Scholar] [CrossRef]
- Jyothilakshmi, O.P.; Naik, L.J.; Sreekanth, V. Non-radial oscillations in anisotropic dark energy stars. Eur. Phys. J. C 2024, 84, 427. [Google Scholar] [CrossRef]
- Lattimer, J.M.; Prakash, M. Neutron Star Observations: Prognosis for Equation of State Constraints. Phys. Rept. 2007, 442, 109–165. [Google Scholar] [CrossRef]
- Wen, D.H.; Li, B.A.; Chen, H.Y.; Zhang, N.B. GW170817 implications on the frequency and damping time of f-mode oscillations of neutron stars. Phys. Rev. C 2019, 99, 045806. [Google Scholar] [CrossRef]
- Gell-Mann, M.; Levy, M. The axial vector current in beta decay. Nuovo Cim. 1960, 16, 705. [Google Scholar] [CrossRef]
- Lee, T.D.; Wick, G.C. Vacuum Stability and Vacuum Excitation in a Spin 0 Field Theory. Phys. Rev. D 1974, 9, 2291–2316. [Google Scholar] [CrossRef]
- Lee, T.D.; Margulies, M. Interaction of a Dense Fermion Medium with a Scalar Meson Field. Phys. Rev. D 1975, 11, 1591. [Google Scholar] [CrossRef]
- Furnstahl, R.J.; Serot, B.D. Finite nuclei in a relativistic model with broken chiral and scale invariance. Phys. Lett. B 1993, 316, 12–16. [Google Scholar] [CrossRef]
- Serot, B.D. Covariant effective field theory for bulk properties of nuclei. Ser. Adv. Quant. Many Body Theor. 2002, 6, 207–216. [Google Scholar] [CrossRef]
- Heide, E.K.; Rudaz, S.; Ellis, P.J. An Effective Lagrangian with broken scale and chiral symmetry applied to nuclear matter and finite nuclei. Nucl. Phys. A 1994, 571, 713–732. [Google Scholar] [CrossRef]
- Mishustin, I.; Bondorf, J.; Rho, M. Chiral symmetry, scale invariance and properties of nuclear matter. Nucl. Phys. A 1993, 555, 215–224. [Google Scholar] [CrossRef]
- Papazoglou, P.; Zschiesche, D.; Schramm, S.; Schaffner-Bielich, J.; Stoecker, H.; Greiner, W. Nuclei in a chiral SU(3) model. Phys. Rev. C 1999, 59, 411–427. [Google Scholar] [CrossRef]
- Schramm, S. Deformed nuclei in a chiral model. Phys. Rev. C 2002, 66, 064310. [Google Scholar] [CrossRef]
- Tsubakihara, K.; Ohnishi, A. A Chiral symmetric relativistic mean field model with logarithmic sigma potential. Prog. Theor. Phys. 2007, 117, 903–921. [Google Scholar] [CrossRef]
- Tsubakihara, K.; Maekawa, H.; Matsumiya, H.; Ohnishi, A. Lambda hypernuclei and neutron star matter in a chiral SU(3) relativistic mean field model with a logarithmic potential. Phys. Rev. C 2010, 81, 065206. [Google Scholar] [CrossRef]
- Boguta, J. Abnormal nuclei. Phys. Lett. B 1983, 128, 19–23. [Google Scholar] [CrossRef]
- Sahu, P.K.; Basu, R.; Datta, B. High density matter in the chiral sigma model. Astrophys. J. 1993, 416, 267–275. [Google Scholar] [CrossRef]
- Jha, T.K.; Mishra, H. Constraints on nuclear matter parameters of an Effective Chiral Model. Phys. Rev. 2008, C78, 065802. [Google Scholar] [CrossRef]
- Malik, T.; Banerjee, K.; Jha, T.K.; Agrawal, B.K. Nuclear symmetry energy with mesonic cross-couplings in the effective chiral model. Phys. Rev. 2017, C96, 035803. [Google Scholar] [CrossRef]
- Patra, N.K.; Malik, T.; Sen, D.; Jha, T.K.; Mishra, H. An Equation of State for Magnetized Neutron Star Matter and Tidal Deformation in Neutron Star Mergers. Astrophys. J. 2020, 900, 49. [Google Scholar] [CrossRef]
- Bednarek, I.; Haensel, P.; Zdunik, J.; Bejger, M.; Manka, R. Hyperons in neutron-star cores and two-solar-mass pulsar. Astron. Astrophys. 2012, 543, A157. [Google Scholar] [CrossRef]
- Oertel, M.; Providência, C.; Gulminelli, F.; Raduta, A.R. Hyperons in neutron star matter within relativistic mean-field models. J. Phys. G 2015, 42, 075202. [Google Scholar] [CrossRef]
- Vidana, I.; Polls, A.; Ramos, A.; Hjorth-Jensen, M.; Stoks, V.G.J. Strange nuclear matter within Bruckner-Hartree-Fock theory. Phys. Rev. 2000, C61, 025802. [Google Scholar] [CrossRef]
- Yamamoto, Y.; Furumoto, T.; Yasutake, N.; Rijken, T.A. Hyperon mixing and universal many-body repulsion in neutron stars. Phys. Rev. 2014, C90, 045805. [Google Scholar] [CrossRef]
- Lonardoni, D.; Gandolfi, S.; Pederiva, F. Effects of the two-body and three-body hyperon-nucleon interactions in Λ-hypernuclei. Phys. Rev. 2013, C87, 041303. [Google Scholar] [CrossRef]
- Wei, W.; Irving, B.; Salinas, M.; Klähn, T.; Jaikumar, P. Camouflage of the Phase Transition to Quark Matter in Neutron Stars. Astrophys. J. 2019, 887, 151. [Google Scholar] [CrossRef]
- Klähn, T.; Łastowiecki, R.; Blaschke, D. Implications of the measurement of pulsars with two solar masses for quark matter in compact stars and heavy-ion collisions: A Nambu–Jona-Lasinio model case study. Phys. Rev. D 2013, 88, 085001. [Google Scholar] [CrossRef]
- Rather, I.A.; Marquez, K.D.; Panotopoulos, G.; Lopes, I. Radial oscillations in neutron stars with delta baryons. Phys. Rev. D 2023, 107, 123022. [Google Scholar] [CrossRef]
- Rather, I.A.; Marquez, K.D.; Backes, B.C.; Panotopoulos, G.; Lopes, I. Radial oscillations of hybrid stars and neutron stars including delta baryons: The effect of a slow quark phase transition. J. Cosmol. Astropart. Phys. 2024, 5, 130. [Google Scholar] [CrossRef]
- Kalita, P.J.; Routaray, P.; Ghosh, S.; Kumar, B.; Agrawal, B.K. Probing the impact of delta-baryons on nuclear matter and non-radial oscillations in neutron stars. J. Cosmol. Astropart. Phys. 2024, 4, 065. [Google Scholar] [CrossRef]
- Jha, T.K.; Mishra, H.; Sreekanth, V. On attributes of a Rotating Neutron star with a Hyperon core. Phys. Rev. 2008, C77, 045801. [Google Scholar] [CrossRef]
- Tolman, R.C. Static Solutions of Einstein’s Field Equations for Spheres of Fluid. Phys. Rev. 1939, 55, 364–373. [Google Scholar] [CrossRef]
- Oppenheimer, J.R.; Volkoff, G.M. On Massive Neutron Cores. Phys. Rev. 1939, 55, 374–381. [Google Scholar] [CrossRef]
- Chandrasekhar, S.; Ferrari, V. On the non-radial oscillations of a star. III—A reconsideration of the axial modes. Proc. R. Soc. Lond. Ser. A 1991, 434, 449–457. [Google Scholar] [CrossRef]
- Hinderer, T. Tidal Love Numbers of Neutron Stars. Astrophys. J. 2008, 677, 1216. [Google Scholar] [CrossRef]
- Hinderer, T.; Lackey, B.D.; Lang, R.N.; Read, J.S. Tidal deformability of neutron stars with realistic equations of state and their gravitational wave signatures in binary inspiral. Phys. Rev. D 2010, 81, 123016. [Google Scholar] [CrossRef]
- Gomes, R.O.; Dexheimer, V.; Schramm, S.; Vasconcellos, C.A.Z. Many-body forces in the equation of state of hyperonic matter. Astrophys. J. 2015, 808, 8. [Google Scholar] [CrossRef]
- Schaffner-Bielich, J.; Gal, A. Properties of strange hadronic matter in bulk and in finite systems. Phys. Rev. C 2000, 62, 034311. [Google Scholar] [CrossRef]
- Friedman, E.; Gal, A. Constraints on Ξ− nuclear interactions from capture events in emulsion. Phys. Lett. B 2021, 820, 136555. [Google Scholar] [CrossRef]
- Raduta, A.R. Δ-admixed neutron stars: Spinodal instabilities and dUrca processes. Phys. Lett. B 2021, 814, 136070. [Google Scholar] [CrossRef]
- Bedaque, P.; Steiner, A.W. Sound velocity bound and neutron stars. Phys. Rev. Lett. 2015, 114, 031103. [Google Scholar] [CrossRef]
- Moustakidis, C.C.; Gaitanos, T.; Margaritis, C.; Lalazissis, G.A. Bounds on the speed of sound in dense matter, and neutron star structure. Phys. Rev. C 2017, 95, 045801. [Google Scholar] [CrossRef]
- Tews, I.; Lattimer, J.M.; Ohnishi, A.; Kolomeitsev, E.E. Symmetry Parameter Constraints from a Lower Bound on Neutron-matter Energy. Astrophys. J. 2017, 848, 105. [Google Scholar] [CrossRef]
- Riley, T.E.; Watts, A.L.; Ray, P.S.; Bogdanov, S.; Guillot, S.; Morsink, S.M.; Bilous, A.V.; Arzoumanian, Z.; Choudhury, D.; Deneva, J.S.; et al. A NICER View of the Massive Pulsar PSR J0740+6620 Informed by Radio Timing and XMM-Newton Spectroscopy. Astrophys. J. Lett. 2021, 918, L27. [Google Scholar] [CrossRef]
- Riley, T.E.; Watts, A.L.; Bogdanov, S.; Ray, P.S.; Ludlam, R.M.; Guillot, S.; Arzoumanian, Z.; Baker, C.L.; Bilous, A.V.; Chakrabarty, D.; et al. A NICER View of PSR J0030 + 0451: Millisecond Pulsar Parameter Estimation. Astrophys. J. Lett. 2019, 887, L21. [Google Scholar] [CrossRef]
- Miller, M.C.; Lamb, F.K.; Dittmann, A.J.; Bogdanov, S.; Arzoumanian, Z.; Gendreau, K.C.; Guillot, S.; Harding, A.K.; Ho, W.C.G.; Lattimer, J.M.; et al. PSR J0030 + 0451 Mass and Radius from NICER Data and Implications for the Properties of Neutron Star Matter. Astrophys. J. Lett. 2019, 887, L24. [Google Scholar] [CrossRef]
- Sanwal, D.; Pavlov, G.G.; Zavlin, V.E.; Teter, M.A. Discovery of Absorption Features in the X-Ray Spectrum of an Isolated Neutron Star. Astrophys. J. 2002, 574, L61. [Google Scholar] [CrossRef]
- Hambaryan, V.; Suleimanov, V.; Haberl, F.; Schwope, A.D.; Neuhäuser, R.; Hohle, M.; Werner, K. The compactness of the isolated neutron star RX J0720.4-3125. Astron. Astrophys. 2017, 601, A108. [Google Scholar] [CrossRef]
- Andersson, N.; Kokkotas, K.D. Gravitational Waves and Pulsating Stars: What Can We Learn from Future Observations? Phys. Rev. Lett. 1996, 77, 4134–4137. [Google Scholar] [CrossRef]
- Andersson, N.; Kokkotas, K.D. Towards gravitational wave asteroseismology. Mon. Not. Roy. Astron. Soc. 1998, 299, 1059–1068. [Google Scholar] [CrossRef]
- Benhar, O.; Ferrari, V.; Gualtieri, L. Gravitational wave asteroseismology revisited. Phys. Rev. D 2004, 70, 124015. [Google Scholar] [CrossRef]






| b | c | ||||
| () | () | () | () | () | |
| 8.81 | 2.16 | 13.00 | 12.08 | −36.47 | −0.85 |
| E/A | () | K | |||
| (MeV) | (MeV) | (MeV) | (MeV) | (MeV) | |
| −16 | 0.84 | 210 | 32 | 60 | 24 |
| Works | a (kHz) | b (kHz) |
|---|---|---|
| N. Andersson and K. D. Kokkotas (1998) [73] | 0.780 | 1.635 |
| O. Benhar et al. (2004) [75] | 0.790 | 1.500 |
| D.Doneva et al. (2013) [11] | 1.562 | 1.151 |
| B. K. Pradhan and D. Chatterjee (2021) [23] | 1.075 | 1.412 |
| Our work | 1.148 | 1.358 |
Disclaimer/Publisher’s Note: The statements, opinions and data contained in all publications are solely those of the individual author(s) and contributor(s) and not of MDPI and/or the editor(s). MDPI and/or the editor(s) disclaim responsibility for any injury to people or property resulting from any ideas, methods, instructions or products referred to in the content. |
© 2025 by the authors. Licensee MDPI, Basel, Switzerland. This article is an open access article distributed under the terms and conditions of the Creative Commons Attribution (CC BY) license (https://creativecommons.org/licenses/by/4.0/).
Share and Cite
Jyothilakshmi, O.P.; Krishnan, P.E.S.; Sreekanth, V.; Chandrakar, H.; Jha, T.K. Fundamental Oscillation Modes in Neutron Stars with Hyperons and Delta Baryons. Symmetry 2025, 17, 230. https://doi.org/10.3390/sym17020230
Jyothilakshmi OP, Krishnan PES, Sreekanth V, Chandrakar H, Jha TK. Fundamental Oscillation Modes in Neutron Stars with Hyperons and Delta Baryons. Symmetry. 2025; 17(2):230. https://doi.org/10.3390/sym17020230
Chicago/Turabian StyleJyothilakshmi, O. P., P. E. Sravan Krishnan, V. Sreekanth, Harsh Chandrakar, and Tarun Kumar Jha. 2025. "Fundamental Oscillation Modes in Neutron Stars with Hyperons and Delta Baryons" Symmetry 17, no. 2: 230. https://doi.org/10.3390/sym17020230
APA StyleJyothilakshmi, O. P., Krishnan, P. E. S., Sreekanth, V., Chandrakar, H., & Jha, T. K. (2025). Fundamental Oscillation Modes in Neutron Stars with Hyperons and Delta Baryons. Symmetry, 17(2), 230. https://doi.org/10.3390/sym17020230

