Triply Heavy Tetraquark States in a Mass-Splitting Model
Abstract
1. Introduction
2. Formalism
2.1. Spectrum Calculation
2.2. Color–Spin Base Vectors and CMI Hamiltonians
2.3. Rearrangement Decay
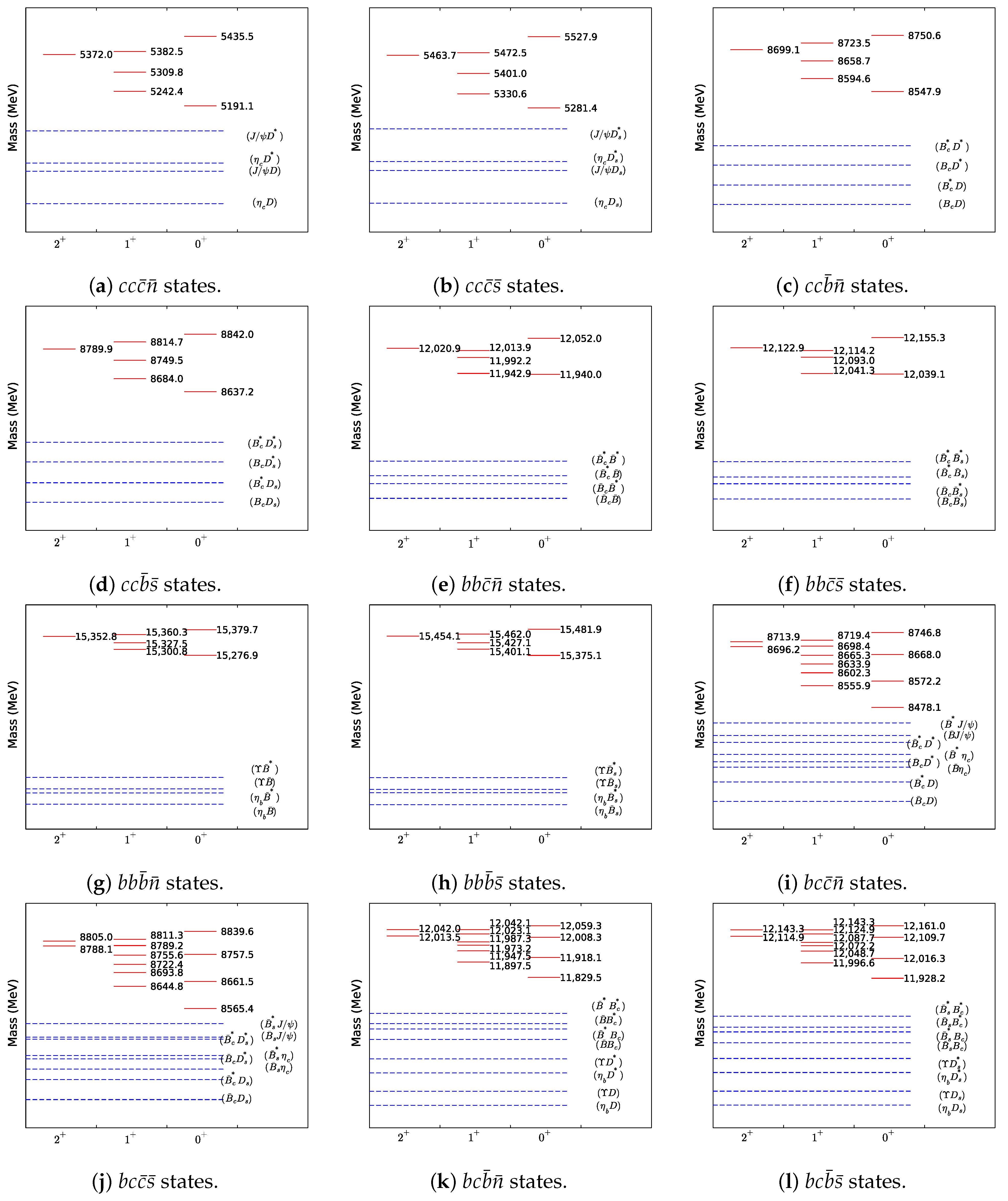
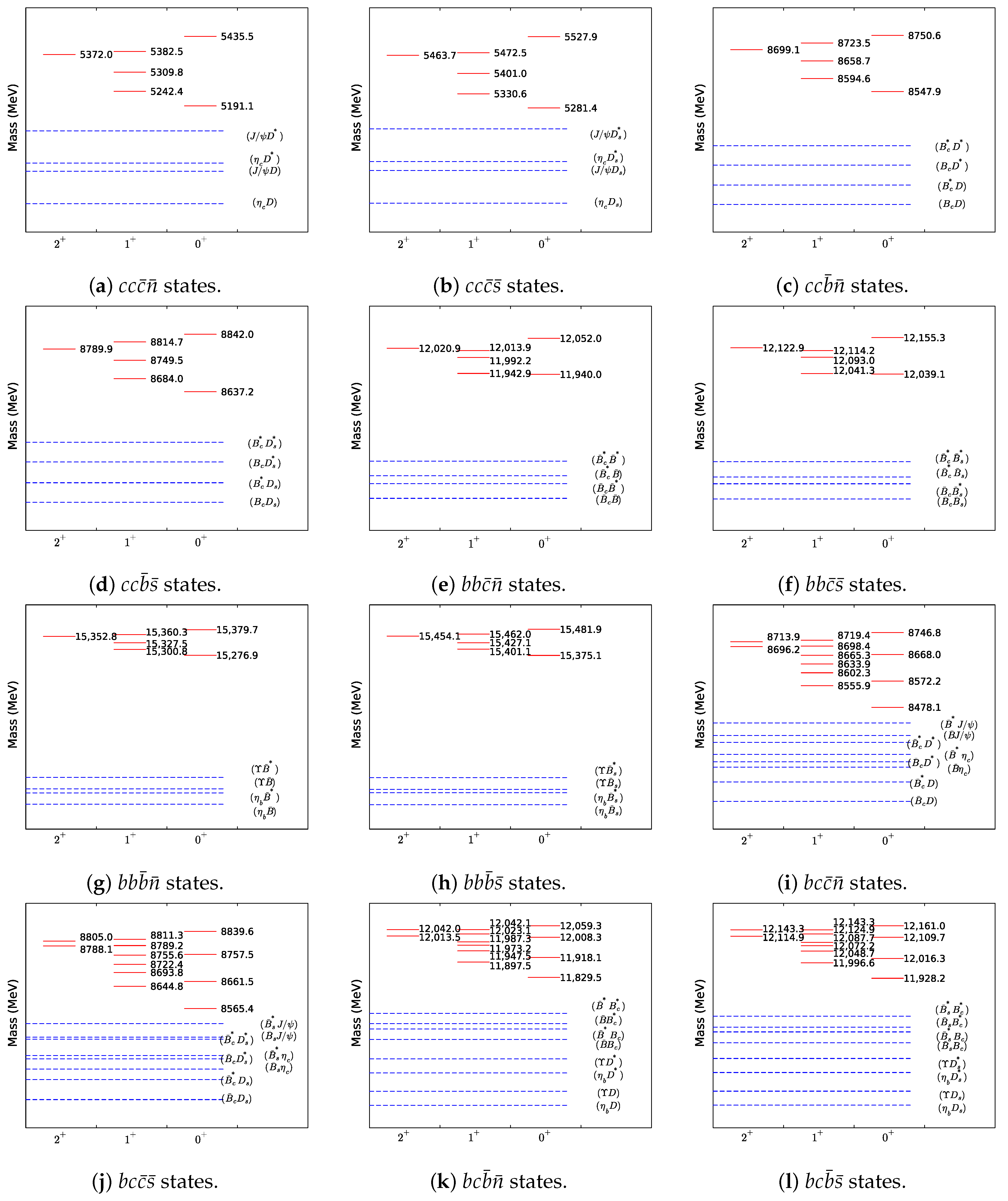
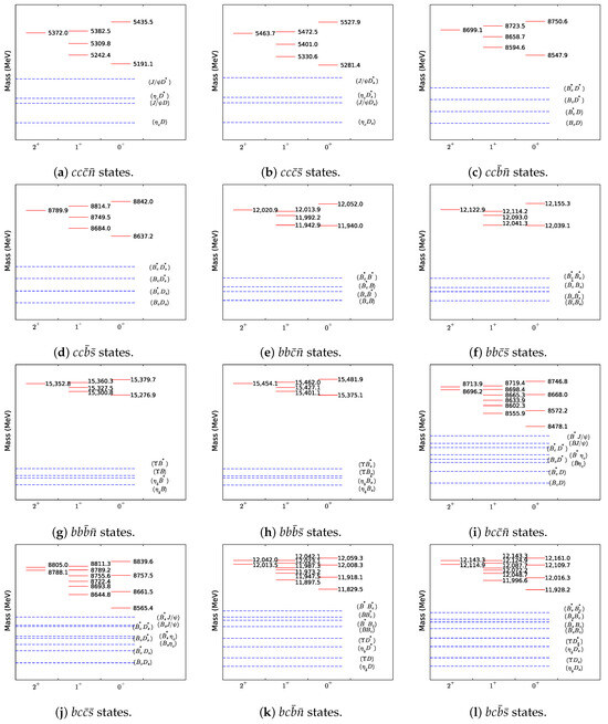
3. Spectra and Widths of Triply Heavy Tetraquarks
3.1. Model Parameters
3.2. The , , , and States
3.3. The , , , and States
3.4. The , , , and States
4. Discussion and Summary
Author Contributions
Funding
Data Availability Statement
Acknowledgments
Conflicts of Interest
References
- Belle Collaboration. Observation of a narrow charmonium-like state in exclusive B±→K±π+π−J/ψ decays. Phys. Rev. Lett. 2003, 91, 262001. [Google Scholar] [CrossRef] [PubMed]
- Belle Collaboration. Observation of a new charmonium state in double charmonium production in e+e− annihilation at ≈ 10.6 GeV. Phys. Rev. Lett. 2007, 98, 082001. [Google Scholar] [CrossRef]
- Belle Collaboration. Production of New Charmoniumlike States in e+e−→J/ψD(*)(*) at ≈ 10.6 GeV. Phys. Rev. Lett. 2008, 100, 202001. [Google Scholar] [CrossRef] [PubMed]
- Belle Collaboration. Observation of a charmonium-like enhancement in the γγ→ωJ/ψ process. Phys. Rev. Lett. 2010, 104, 092001. [Google Scholar] [CrossRef] [PubMed]
- Belle Collaboration. Evidence for a new resonance and search for the Y(4140) in the γγ→ϕJ/ψ process. Phys. Rev. Lett. 2010, 104, 112004. [Google Scholar] [CrossRef]
- CDF Collaboration. Evidence for a Narrow Near-Threshold Structure in the J/ψϕ Mass Spectrum in B+→J/ψϕK+ Decays. Phys. Rev. Lett. 2009, 102, 242002. [Google Scholar] [CrossRef] [PubMed]
- LHCb Collaboration. Observation of J/ψϕ structures consistent with exotic states from amplitude analysis of B+→J/ψϕK+ decays. Phys. Rev. Lett. 2017, 118, 022003. [Google Scholar] [CrossRef]
- LHCb Collaboration. Amplitude analysis of B+→J/ψϕK+ decays. Phys. Rev. D 2017, 95, 012002. [Google Scholar] [CrossRef]
- BESIII Collaboration. Precise measurement of the e+e−→π+π−J/ψ cross section at center-of-mass energies from 3.77 to 4.60 GeV. Phys. Rev. Lett. 2017, 118, 092001. [Google Scholar] [CrossRef]
- BESIII Collaboration. Evidence of Two Resonant Structures in e+e−→π+π−hc. Phys. Rev. Lett. 2017, 118, 092002. [Google Scholar] [CrossRef] [PubMed]
- Belle Collaboration. Observation of an alternative χc0(2P) candidate in e+e−→J/ψD. Phys. Rev. D 2017, 95, 112003. [Google Scholar] [CrossRef]
- LHCb Collaboration. Evidence for an ηc(1S)π− resonance in B0→ηc(1S)K+π− decays. Eur. Phys. J. C 2018, 78, 1019. [Google Scholar] [CrossRef]
- BESIII Collaboration. Observation of a Charged Charmoniumlike Structure in e+e−→π+π−J/ψ at = 4.26 GeV. Phys. Rev. Lett. 2013, 110, 252001. [Google Scholar] [CrossRef]
- Belle Collaboration. Study of e+e−→π+π−J/ψ and Observation of a Charged Charmoniumlike State at Belle. Phys. Rev. Lett. 2013, 110, 252002, Erratum in Phys. Rev. Lett. 2013, 111, 019901. [Google Scholar] [CrossRef]
- Xiao, T.; Dobbs, S.; Tomaradze, A.; Seth, K.K. Observation of the Charged Hadron Zc±(3900) and Evidence for the Neutral Zc0(3900) in e+e−→ππJ/ψ at = 4170 MeV. Phys. Lett. B 2013, 727, 366–370. [Google Scholar] [CrossRef]
- BESIII Collaboration. Observation of Zc(3900)0 in e+e−→π0π0J/ψ. Phys. Rev. Lett. 2015, 115, 112003. [Google Scholar] [CrossRef]
- BESIII Collaboration. Observation of a charged (D*)± mass peak in e+e−→πD* at = 4.26 GeV. Phys. Rev. Lett. 2014, 112, 022001. [Google Scholar] [CrossRef] [PubMed]
- BESIII Collaboration. Confirmation of a charged charmoniumlike state Zc(3885)∓ in e+e−→π±(D*)∓ with double D tag. Phys. Rev. D 2015, 92, 092006. [Google Scholar] [CrossRef]
- BESIII Collaboration. Observation of a Charged Charmoniumlike Structure Zc(4020) and Search for the Zc(3900) in e+e−→π+π−hc. Phys. Rev. Lett. 2013, 111, 242001. [Google Scholar] [CrossRef]
- BESIII Collaboration. Observation of e+e−→π0π0hc and a Neutral Charmoniumlike Structure Zc(4020)0. Phys. Rev. Lett. 2014, 113, 212002. [Google Scholar] [CrossRef]
- BESIII Collaboration. Observation of a charged charmoniumlike structure in e+e−→(D**)±π∓ at = 4.26 GeV. Phys. Rev. Lett. 2014, 112, 132001. [Google Scholar] [CrossRef]
- BESIII Collaboration. Observation of a neutral charmoniumlike state Zc(4025)0 in e+e−→(D**)0π0. Phys. Rev. Lett. 2015, 115, 182002. [Google Scholar] [CrossRef] [PubMed]
- BESIII Collaboration. Observation of a Near-Threshold Structure in the K+ Recoil-Mass Spectra in e+e−→K+(Ds-D*0+Ds*-D0). Phys. Rev. Lett. 2021, 126, 102001. [Google Scholar] [CrossRef] [PubMed]
- LHCb Collaboration. Observation of New Resonances Decaying to J/ψK+ and J/ψϕ. Phys. Rev. Lett. 2021, 127, 082001. [Google Scholar] [CrossRef] [PubMed]
- Belle Collaboration. Observation of two charged bottomonium-like resonances in Y(5S) decays. Phys. Rev. Lett. 2012, 108, 122001. [Google Scholar] [CrossRef] [PubMed]
- Maiani, L.; Piccinini, F.; Polosa, A.D.; Riquer, V. Diquark-antidiquarks with hidden or open charm and the nature of X(3872). Phys. Rev. D 2005, 71, 014028. [Google Scholar] [CrossRef]
- Ebert, D.; Faustov, R.N.; Galkin, V.O.; Lucha, W. Masses of tetraquarks with two heavy quarks in the relativistic quark model. Phys. Rev. D 2007, 76, 114015. [Google Scholar] [CrossRef]
- Anwar, M.N.; Ferretti, J.; Santopinto, E. Spectroscopy of the hidden-charm [qc][] and [sc][] tetraquarks in the relativized diquark model. Phys. Rev. D 2018, 98, 094015. [Google Scholar] [CrossRef]
- Tornqvist, N.A. From the deuteron to deusons, an analysis of deuteron-like meson meson bound states. Z. Phys. C 1994, 61, 525–537. [Google Scholar] [CrossRef]
- Tornqvist, N.A. Isospin breaking of the narrow charmonium state of Belle at 3872 MeV as a deuson. Phys. Lett. B 2004, 590, 209–215. [Google Scholar] [CrossRef]
- Swanson, E.S. Short range structure in the X(3872). Phys. Lett. B 2004, 588, 189–195. [Google Scholar] [CrossRef]
- Hanhart, C.; Kalashnikova, Y.S.; Kudryavtsev, A.E.; Nefediev, A.V. Reconciling the X(3872) with the near-threshold enhancement in the D0*0 final state. Phys. Rev. D 2007, 76, 034007. [Google Scholar] [CrossRef]
- LHCb Collaboration. Observation of structure in the J/ψ-pair mass spectrum. Sci. Bull. 2020, 65, 1983–1993. [Google Scholar] [CrossRef] [PubMed]
- CMS Collaboration. New Structures in the J/ψJ/ψ Mass Spectrum in Proton-Proton Collisions at s = 13 TeV. Phys. Rev. Lett. 2024, 132, 111901. [Google Scholar] [CrossRef]
- ATLAS Collaboration. Observation of an Excess of Dicharmonium Events in the Four-Muon Final State with the ATLAS Detector. Phys. Rev. Lett. 2023, 131, 151902. [Google Scholar] [CrossRef]
- ANDY Collaboration. Observation of Feynman scaling violations and evidence for a new resonance at RHIC. arXiv 2019, arXiv:1909.03124. [Google Scholar]
- Chen, H.X.; Chen, W.; Liu, X.; Zhu, S.L. The hidden-charm pentaquark and tetraquark states. Phys. Rept. 2016, 639, 1–121. [Google Scholar] [CrossRef]
- Esposito, A.; Pilloni, A.; Polosa, A.D. Multiquark Resonances. Phys. Rept. 2017, 668, 1–97. [Google Scholar] [CrossRef]
- Lebed, R.F.; Mitchell, R.E.; Swanson, E.S. Heavy-Quark QCD Exotica. Prog. Part. Nucl. Phys. 2017, 93, 143–194. [Google Scholar] [CrossRef]
- Ali, A.; Lange, J.S.; Stone, S. Exotics: Heavy Pentaquarks and Tetraquarks. Prog. Part. Nucl. Phys. 2017, 97, 123–198. [Google Scholar] [CrossRef]
- Olsen, S.L.; Skwarnicki, T.; Zieminska, D. Nonstandard heavy mesons and baryons: Experimental evidence. Rev. Mod. Phys. 2018, 90, 015003. [Google Scholar] [CrossRef]
- Guo, F.K.; Hanhart, C.; Meißner, U.G.; Wang, Q.; Zhao, Q.; Zou, B.S. Hadronic molecules. Rev. Mod. Phys. 2018, 90, 015004, Erratum in Rev. Mod. Phys. 2022, 94, 029901. [Google Scholar] [CrossRef]
- Yuan, C.Z. The XYZ states revisited. Int. J. Mod. Phys. A 2018, 33, 1830018. [Google Scholar] [CrossRef]
- Brambilla, N.; Eidelman, S.; Hanhart, C.; Nefediev, A.; Shen, C.P.; Thomas, C.E.; Vairo, A.; Yuan, C.Z. The XYZ states: Experimental and theoretical status and perspectives. Phys. Rept. 2020, 873, 1–154. [Google Scholar] [CrossRef]
- Liu, Y.R.; Chen, H.X.; Chen, W.; Liu, X.; Zhu, S.L. Pentaquark and Tetraquark states. Prog. Part. Nucl. Phys. 2019, 107, 237–320. [Google Scholar] [CrossRef]
- Chen, H.X.; Chen, W.; Liu, X.; Liu, Y.R.; Zhu, S.L. An updated review of the new hadron states. Rept. Prog. Phys. 2023, 86, 026201. [Google Scholar] [CrossRef]
- Liu, M.Z.; Pan, Y.W.; Liu, Z.W.; Wu, T.W.; Lu, J.X.; Geng, L.S. Three ways to decipher the nature of exotic hadrons: Multiplets, three-body hadronic molecules, and correlation functions. Phys. Rept. 2025, 1108, 1–108. [Google Scholar] [CrossRef]
- D0 Collaboration. Evidence for a Bs0π± state. Phys. Rev. Lett. 2016, 117, 022003. [Google Scholar] [CrossRef]
- LHCb Collaboration. Search for Structure in the Bs0π± Invariant Mass Spectrum. Phys. Rev. Lett. 2016, 117, 152003. [Google Scholar] [CrossRef]
- LHCb Collaboration. A model-independent study of resonant structure in B+→D+D−K+ decays. Phys. Rev. Lett. 2020, 125, 242001. [Google Scholar] [CrossRef]
- LHCb Collaboration. Amplitude analysis of the B+→D+D−K+ decay. Phys. Rev. D 2020, 102, 112003. [Google Scholar] [CrossRef]
- LHCb Collaboration. First Observation of a Doubly Charged Tetraquark and Its Neutral Partner. Phys. Rev. Lett. 2023, 131, 041902. [Google Scholar] [CrossRef] [PubMed]
- LHCb Collaboration. Amplitude analysis of B0→0Ds+π− and B+→D−Ds+π+ decays. Phys. Rev. D 2023, 108, 012017. [Google Scholar] [CrossRef]
- LHCb Collaboration. Observation of an exotic narrow doubly charmed tetraquark. Nat. Phys. 2022, 18, 751–754. [Google Scholar] [CrossRef]
- LHCb Collaboration. Study of the doubly charmed tetraquark Tcc+. Nat. Commun. 2022, 13, 3351. [Google Scholar] [CrossRef] [PubMed]
- Liu, W.Y.; Chen, H.X. Fully-heavy hadronic molecules Bc(*)+Bc(*)− bound by fully-heavy mesons. arXiv 2023, arXiv:2312.11212. [Google Scholar]
- Liu, W.Y.; Chen, H.X. Hadronic molecules with four charm or beauty quarks. arXiv 2024, arXiv:2405.14404. [Google Scholar]
- Cui, Y.; Chen, X.L.; Deng, W.Z.; Zhu, S.L. The Possible Heavy Tetraquarks qQ, qq and qQ. High Energy Phys. Nucl. Phys. 2007, 31, 7–13. [Google Scholar]
- Chen, K.; Liu, X.; Wu, J.; Liu, Y.R.; Zhu, S.L. Triply heavy tetraquark states with the QQ configuration. Eur. Phys. J. A 2017, 53, 5. [Google Scholar] [CrossRef][Green Version]
- Weng, X.Z.; Deng, W.Z.; Zhu, S.L. Triply heavy tetraquark states. Phys. Rev. D 2022, 105, 034026. [Google Scholar] [CrossRef]
- Junnarkar, P.; Mathur, N.; Padmanath, M. Study of doubly heavy tetraquarks in Lattice QCD. Phys. Rev. D 2019, 99, 034507. [Google Scholar] [CrossRef]
- Hudspith, R.J.; Colquhoun, B.; Francis, A.; Lewis, R.; Maltman, K. A lattice investigation of exotic tetraquark channels. Phys. Rev. D 2020, 102, 114506. [Google Scholar] [CrossRef]
- Jiang, J.F.; Chen, W.; Zhu, S.L. Triply heavy QQ tetraquark states. Phys. Rev. D 2017, 96, 094022. [Google Scholar] [CrossRef]
- Zhang, W.S.; Tang, L. Investigating triply heavy tetraquark states through QCD sum rules. arXiv 2024, arXiv:2412.11531. [Google Scholar]
- Liu, Y.; Nowak, M.A.; Zahed, I. Heavy Holographic Exotics: Tetraquarks as Efimov States. Phys. Rev. D 2019, 100, 126023. [Google Scholar] [CrossRef]
- Mutuk, H. Flavor exotic triply-heavy tetraquark states in AdS/QCD potential. Eur. Phys. J. C 2023, 83, 358. [Google Scholar] [CrossRef]
- Zhu, Z.H.; Zhang, W.X.; Jia, D. Triply heavy tetraquark states: Masses and other properties. Eur. Phys. J. C 2024, 84, 344. [Google Scholar] [CrossRef]
- Lü, Q.F.; Chen, D.Y.; Dong, Y.B.; Santopinto, E. Triply-heavy tetraquarks in an extended relativized quark model. Phys. Rev. D 2021, 104, 054026. [Google Scholar] [CrossRef]
- Meng, L.; Chen, Y.K.; Ma, Y.; Zhu, S.L. Tetraquark bound states in constituent quark models: Benchmark test calculations. Phys. Rev. D 2023, 108, 114016. [Google Scholar] [CrossRef]
- Liu, X.; Tan, Y.; Chen, D.; Huang, H.; Ping, J. Possible triply heavy tetraquark states in a chiral quark model. Phys. Rev. D 2023, 107, 054019. [Google Scholar] [CrossRef]
- Yang, G.; Ping, J.; Segovia, J. Triply charm and bottom tetraquarks in a constituent quark model. Phys. Rev. D 2024, 110, 054036. [Google Scholar] [CrossRef]
- Xing, Y. Weak decays of triply heavy tetraquarks bb. Eur. Phys. J. C 2020, 80, 57. [Google Scholar] [CrossRef]
- Cheng, J.B.; Li, S.Y.; Liu, Y.R.; Liu, Y.N.; Si, Z.G.; Yao, T. Spectrum and rearrangement decays of tetraquark states with four different flavors. Phys. Rev. D 2020, 101, 114017. [Google Scholar] [CrossRef]
- Wu, J.; Liu, X.; Liu, Y.R.; Zhu, S.L. Systematic studies of charmonium-, bottomonium-, and Bc-like tetraquark states. Phys. Rev. D 2019, 99, 014037. [Google Scholar] [CrossRef]
- Li, S.Y.; Liu, Y.R.; Man, Z.L.; Si, Z.G.; Wu, J. X(3960), X0(4140), and other compact cs states. Chin. Phys. C 2024, 48, 063109. [Google Scholar] [CrossRef]
- Li, S.Y.; Liu, Y.R.; Man, Z.L.; Si, Z.G.; Wu, J. Doubly heavy tetraquark states in a mass splitting model. Phys. Rev. D 2024, 110, 094044. [Google Scholar] [CrossRef]
- CDF Collaboration. Observation of the Y(4140) Structure in the J/ψϕ Mass Spectrum in B±→J/ψϕK± Decays. Mod. Phys. Lett. A 2017, 32, 1750139. [Google Scholar] [CrossRef]
- Wu, J.; Liu, Y.R.; Chen, K.; Liu, X.; Zhu, S.L. X(4140), X(4270), X(4500) and X(4700) and their cs tetraquark partners. Phys. Rev. D 2016, 94, 094031. [Google Scholar] [CrossRef]
- Stancu, F. Can Y(4140) be a cs tetraquark? J. Phys. G 2010, 37, 075017, Erratum in J. Phys. G 2019, 46, 019501. [Google Scholar] [CrossRef]
- Cheng, J.B.; Liu, Y.R. Pc(4457)+, Pc(4440)+, and Pc(4312)+: Molecules or compact pentaquarks? Phys. Rev. D 2019, 100, 054002. [Google Scholar] [CrossRef]
- Li, S.Y.; Liu, Y.R.; Man, Z.L.; Si, Z.G.; Wu, J. Hidden-charm pentaquark states in a mass splitting model. Phys. Rev. D 2023, 108, 056015. [Google Scholar] [CrossRef]
- Particle Data Group. Review of Particle Physics. Prog. Theor. Exp. Phys. 2022, 2022, 083C01. [Google Scholar] [CrossRef]
- Zhang, J.; Yi, K.; on behalf of the CMS Collaboration. Recent CMS results on exotic resonances. Proc. Sci. 2022, ICHEP2022, 775. [Google Scholar] [CrossRef]
- Wu, J.; Liu, Y.R.; Chen, K.; Liu, X.; Zhu, S.L. Hidden-charm pentaquarks and their hidden-bottom and Bc-like partner states. Phys. Rev. D 2017, 95, 034002. [Google Scholar] [CrossRef]
- Li, S.Y.; Liu, Y.R.; Liu, Y.N.; Si, Z.G.; Wu, J. Pentaquark states with the QQQq configuration in a simple model. Eur. Phys. J. C 2019, 79, 87. [Google Scholar] [CrossRef]
- Lü, Q.F.; Dong, Y.B. X(4140), X(4274), X(4500), and X(4700) in the relativized quark model. Phys. Rev. C 2016, 94, 074007. [Google Scholar] [CrossRef]
- Lebed, R.F.; Polosa, A.D. χc0†(3915) As the Lightest cs State. Phys. Rev. C 2016, 93, 094024. [Google Scholar] [CrossRef]
- Yang, Y.; Ping, J. Investigation of cs tetraquark in the chiral quark model. Phys. Rev. C 2019, 99, 094032. [Google Scholar] [CrossRef]
- Bokade, C.A.; Bhaghyesh. Charmonium: Conventional and XYZ States in a Relativistic Screened Potential Model. arXiv 2024, arXiv:2408.06759. [Google Scholar]
- Barnes, T.; Black, N.; Swanson, E.S. Meson meson scattering in the quark model: Spin dependence and exotic channels. Phys. Rev. C 2001, 63, 025204. [Google Scholar] [CrossRef]

| c | b | ||||
|---|---|---|---|---|---|
| n | 4.0 | 1.3 | n | 6.6 | 2.1 |
| s | 4.3 | 1.3 | s | 6.7 | 2.3 |
| c | 3.2 | 2.0 | c | 5.3 | 3.3 |
| b | 1.9 | b | 2.9 |
| Hadron | Hadron | Hadron | Hadron | ||
|---|---|---|---|---|---|
| 1049.4 | 4237.5 | ||||
| 992.2 (993.2) | 4041.7 (4041.8) | ||||
| 1180.6 (1179.4) | 4520.2 (4518.8) | ||||
| 1106.6 | 4433.8 | ||||
| 924.1 | 4252.2 | ||||
| 1170.8 | 4503.8 | ||||
| 1176.2 (1178.4) | 4506.1 (4509.5) | ||||
| 1137.3 (1159.1) | 4463.2 (4483.7) | ||||
| 1100.3 | 4415.5 | ||||
| 1112.2 |
| System | Eigenvalue | Eigenvector | Mass | Lower Limit | Upper Limit | ||
|---|---|---|---|---|---|---|---|
| System | Mass | Decay Channels | ||||
|---|---|---|---|---|---|---|
| System | Eigenvalue | Eigenvector | Mass | Lower Limit | Upper Limit | ||
|---|---|---|---|---|---|---|---|
| System | Mass | Decay Channels | ||||
|---|---|---|---|---|---|---|
| System | Eigenvalue | Eigenvector | Mass | Lower Limit | Upper Limit | ||
|---|---|---|---|---|---|---|---|
| System | Mass | Decay Channels | |||||||
|---|---|---|---|---|---|---|---|---|---|
| System | |||||
|---|---|---|---|---|---|
| System | Mass | K Factors | System | Mass | K Factors | ||||||||
|---|---|---|---|---|---|---|---|---|---|---|---|---|---|
| System | Mass | K Factors | System | Mass | K Factors | ||||||||
|---|---|---|---|---|---|---|---|---|---|---|---|---|---|
| System | Mass | K Factors | ||||||
|---|---|---|---|---|---|---|---|---|
Disclaimer/Publisher’s Note: The statements, opinions and data contained in all publications are solely those of the individual author(s) and contributor(s) and not of MDPI and/or the editor(s). MDPI and/or the editor(s) disclaim responsibility for any injury to people or property resulting from any ideas, methods, instructions or products referred to in the content. |
© 2025 by the authors. Licensee MDPI, Basel, Switzerland. This article is an open access article distributed under the terms and conditions of the Creative Commons Attribution (CC BY) license (https://creativecommons.org/licenses/by/4.0/).
Share and Cite
Li, S.-Y.; Liu, Y.-R.; Man, Z.-L.; Shu, C.-R.; Si, Z.-G.; Wu, J. Triply Heavy Tetraquark States in a Mass-Splitting Model. Symmetry 2025, 17, 170. https://doi.org/10.3390/sym17020170
Li S-Y, Liu Y-R, Man Z-L, Shu C-R, Si Z-G, Wu J. Triply Heavy Tetraquark States in a Mass-Splitting Model. Symmetry. 2025; 17(2):170. https://doi.org/10.3390/sym17020170
Chicago/Turabian StyleLi, Shi-Yuan, Yan-Rui Liu, Zi-Long Man, Cheng-Rui Shu, Zong-Guo Si, and Jing Wu. 2025. "Triply Heavy Tetraquark States in a Mass-Splitting Model" Symmetry 17, no. 2: 170. https://doi.org/10.3390/sym17020170
APA StyleLi, S.-Y., Liu, Y.-R., Man, Z.-L., Shu, C.-R., Si, Z.-G., & Wu, J. (2025). Triply Heavy Tetraquark States in a Mass-Splitting Model. Symmetry, 17(2), 170. https://doi.org/10.3390/sym17020170

