Next Article in Journal
Regret Psychology-Driven Information Propagation and Behavioral Adoption in Complex Social Networks
Previous Article in Journal
On the Solvability of Some Systems of Nonlinear Difference Equations
 
 
Font Type:
Arial Georgia Verdana
Font Size:
Aa Aa Aa
Line Spacing:
Column Width:
Background:
Article

Influence of Adverse Pressure Gradient on the Drag Reduction Characteristics of Riblets

School of Aeronautic Science and Engineering, Beihang University, Beijing 100191, China
*
Author to whom correspondence should be addressed.
Symmetry 2025, 17(11), 2007; https://doi.org/10.3390/sym17112007
Submission received: 15 September 2025 / Revised: 18 October 2025 / Accepted: 12 November 2025 / Published: 20 November 2025
(This article belongs to the Section Engineering and Materials)

Abstract

The riblet surface is a passive turbulence drag reduction technology with promising aerospace application prospects. To investigate the drag reduction effects of riblets under flow conditions more representative of actual aircraft surfaces, this study establishes an adverse pressure gradient environment at moderate-to-high Reynolds numbers. Symmetrically arranged two testing plates with riblets’ surface and smooth surface, hot-wire anemometry is employed to measure the skin friction drag of both plates to get a direct measurement of the drag reduction rate. And the drag reduction mechanism is analyzed through burst events detection and coherent structure’s inclination angle. The measurement results indicate that the adverse pressure gradient itself leads to a reduction in wall friction, and the turbulent boundary layer velocity profile deviates from the standard logarithmic law, rendering the Clauser chart method unsuitable for estimating the friction velocity. The adverse pressure gradient contributes positively to the drag reduction rate of riblets, while the increase in Reynolds number in this experiment has no substantial effect. For the near wall structures, their asymmetrical movement of ejection and sweep and investigated by VITA. The significant decrease in burst frequency and increase in coherent structure inclination angle in the turbulent boundary layer over the riblet surface are identified as the primary reasons for reduced wall friction, with these changes being particularly pronounced under adverse pressure gradient conditions.

1. Introduction

As environmental awareness continues to deepen, industries such as shipping, maritime transport, and oil and gas pipeline transportation are persistently pursuing lower carbon emissions. Reducing drag during transportation plays a crucial role in improving energy efficiency. According to statistics, frictional drag accounts for over 50% of total aircraft resistance and exceeds 80% in pipeline transportation [1], demonstrating significant potential for drag reduction. As a passive flow control method, riblet surface structures have garnered widespread attention due to their ability to operate without external energy input, ease of implementation, and excellent drag reduction performance.
Since researchers from NASA Langley Research Center, including Walsh et al. [2,3,4], pioneered the study of riblet drag reduction in the 1980s, this technology has undergone extensive validation through experiments and numerical simulations. Among various riblet configurations, triangular riblets with equal dimensionless height and width have been demonstrated to exhibit optimal drag reduction performance [5]. Although numerous theoretical attempts have been made to explain the drag reduction mechanism of riblets [6,7,8,9,10], a unified and comprehensive theoretical framework remains lacking. Most existing studies are limited to zero pressure gradient conditions at low to moderate Reynolds numbers, while the adverse pressure gradients and high Reynolds number environments present in real-flight conditions have rarely been addressed.
Riblet structures primarily act on the viscous sublayer and buffer region within the boundary layer, while having minimal impact on the outer flow region. As the Reynolds number increases, the relative thickness of the viscous sublayer and buffer region within the boundary layer gradually decreases until stabilizing beyond a critical Reynolds number [11]. Simultaneously, typical flow structures within the boundary layer—such as low-speed streaks, hairpin vortices, large-scale vortex packets, and very-large-scale motions—also evolve with Reynolds number. The influence of the first two structures (low-speed streaks and hairpin vortices) diminishes as the Reynolds number increases. Given that the operational scope of riblets is concentrated in the near-wall region [6], their drag reduction efficiency is likely closely related to the Reynolds number. Therefore, to accurately evaluate their performance under practical conditions, systematic investigation of riblets’ effects on drag reduction rates and boundary layer structures must be conducted at high Reynolds numbers approaching real-flight scenarios—an area where sufficient data remains lacking.
The effects of adverse pressure gradient (APG) on smooth flat-plate boundary layers have been extensively studied, as they can induce significant alterations in boundary layer characteristics. The Clauser parameter β, which quantifies the strength of APG, is defined as:
β = δ * τ w d p d x
where δ* is the displacement thickness of the turbulent boundary layer, τw is the wall shear stress and dp/dx is the streamwise pressure gradient.
For instance, strong APG causes a slight downward shift of the logarithmic region in the mean velocity profile, implying a reduction in the viscous sublayer thickness when scaled in viscous units [11]. In terms of stress distribution, when normalized by the friction velocity, the Reynolds stress increases while the viscous stress decreases, leading to a reduction in the total shear stress. The bimodal structure in the Reynolds normal stress profile exhibits an elevated outer peak with increasing pressure gradient, similar to the trend observed with increasing Reynolds number under zero pressure gradient conditions. The Reynolds shear stress is significantly enhanced under APG, indicating changes in the primary regions and mechanisms of turbulence production. Furthermore, the number of low-speed streaks within the viscous sublayer decreases while their spacing expands, and the contributions and distributions of terms in the turbulent kinetic energy transport equation undergo substantial changes [11]. These phenomena suggest that APG is highly likely to influence the drag reduction behavior of riblets. However, existing conclusions regarding this influence are divergent: some studies indicate that APG can enhance the drag reduction rate [12,13,14,15], while others report opposite conclusions [16,17,18,19].
On the experimental side, Walsh [5] provided a review of riblet studies conducted under pressure gradients. Choi [16] evaluated trapezoidal riblets in a strong adverse pressure gradient (APG) environment with β = 5.1. Instead of direct drag measurements, hot-wire anemometry and surface hot-film sensors were used to acquire turbulence statistics. The results showed no significant difference in turbulence statistics between the APG and zero pressure gradient (ZPG) cases, leading to the suggestion that turbulent skin friction remains unaffected by the pressure gradient. Truong and Pulvin [18] installed riblets in a specially designed diverging wind tunnel test section and observed that the drag reduction performance deteriorated as the adverse pressure gradient parameter β increased, eventually diminishing completely. Squire and Savill [19] conducted tests under two mild APG conditions (β = 0.2 and 0.5), finding that the riblets lost their drag-reducing capability at β = 0.5.
However, Nieuwstadt et al. [12] pointed out that these earlier studies did not perform direct drag measurements but relied on the momentum integral balance method. This approach depends heavily on estimating the momentum thickness θ at upstream and downstream stations, particularly the difference Δθ, which is prone to substantial measurement error and challenging to quantify accurately. Using an oil-film interferometry force balance, Nieuwstadt et al. [12] tested triangular riblets under moderate APG conditions (β = 0.41, 0.89, and 1.51) and reported improved drag reduction with increasing β—a trend contrary to the findings of Truong and Pulvin [18] and Squire and Savill [19]. Debisschop and Nieuwstadt [13] also employed an oil-film drag balance to test trapezoidal riblets in an APG wind tunnel (β = 2.2), documenting an increase in drag reduction rate from 5% under ZPG to 13% under APG.
In terms of numerical investigations, Klumpp et al. [14] used Large Eddy Simulation (LES) to study turbulent flow over scalloped riblets. They claimed that even under a mild APG (β ≈ 0.25), riblets could achieve twice the drag reduction benefit compared to the ZPG condition, i.e., an increase from 4.5% to 9%. This work can be considered a numerical replication of the experiments by Nieuwstadt et al. [12]. It is noteworthy, however, that the improvement reported by Klumpp et al. [14] was observed only at higher values of β, whereas Nieuwstadt et al. [12] did not observe enhanced drag reduction at lower β. The cause of this discrepancy remains unclear. To address these contradictions, Boomsma and Sotiropoulos [15] conducted high-resolution LES focusing on the drag reduction performance of scalloped riblets under mild APG. To account for the influence of scaling effects, they selected multiple representative values of the non-dimensional riblet spacing s⁺ over a wide range based on existing literature. Their results indicated only a marginal improvement in drag reduction under mild APG, thereby contradicting the conclusions of Klumpp et al. [14].
Viswanath [20] experimentally demonstrated that for a NACA0012 airfoil at a 4° angle of attack, the Clauser parameter corresponds to β = 0.5. Therefore, if riblets can maintain or even improve drag reduction performance under adverse pressure gradients, they could offer substantial benefits in engineering applications. Therefore, there is an urgent need for precise experiments to clarify the drag reduction characteristics of riblets under adverse pressure gradient conditions.
This study aims to investigate the effects of adverse pressure gradient on the drag reduction performance of riblets at high Reynolds number and analyze the underlying mechanisms. The medium-to-high Reynolds numbers employed in this work bridge the gap between the low Reynolds numbers typical of most laboratory environments and the high Reynolds numbers characteristic of actual flight conditions. The paper is structured as follows. Experimental setup describes the experimental methodology, including experimental facilities and geometry of riblets. The next section presents experimental results and discussion. The final section summarizes the conclusions.

2. Experimental Setup

2.1. Experimental Facilities

The experiments were conducted in a low-speed, straight-flow, suction-type wind tunnel with a turbulence intensity level of 0.2%. More details of the experimental setup are presented in our previous publication of Ref. [21]. To measure the subtle differences in drags, a direct measure of drag reduction rate is carried out based on simultaneously measured two groups of data. Two test plates of size 0.16 m × 0.38 m are symmetrically positioned on the test plate: one is a smooth plate (control group), and the other is Riblets under investigation (experimental group). Random errors, such as possible wind speed fluctuations, will be eliminated by these kinds of symmetrical locations of the measurement plates.
A hot-wire anemometer system was used to measure velocity and wall shear stress by Dantec 55P15 single-wire boundary layer probes and Dantec 55R47 hot-film probes (Dantec Dynamics, Skovlunde, Denmark), respectively. The single-wire boundary layer probe is positioned with directly above each hot-film probe, which is mounted flush with the trailing edge of each measurement plate. For all measurements, the sampling frequency was set to 20 kHz, and the sampling time was 20 s.
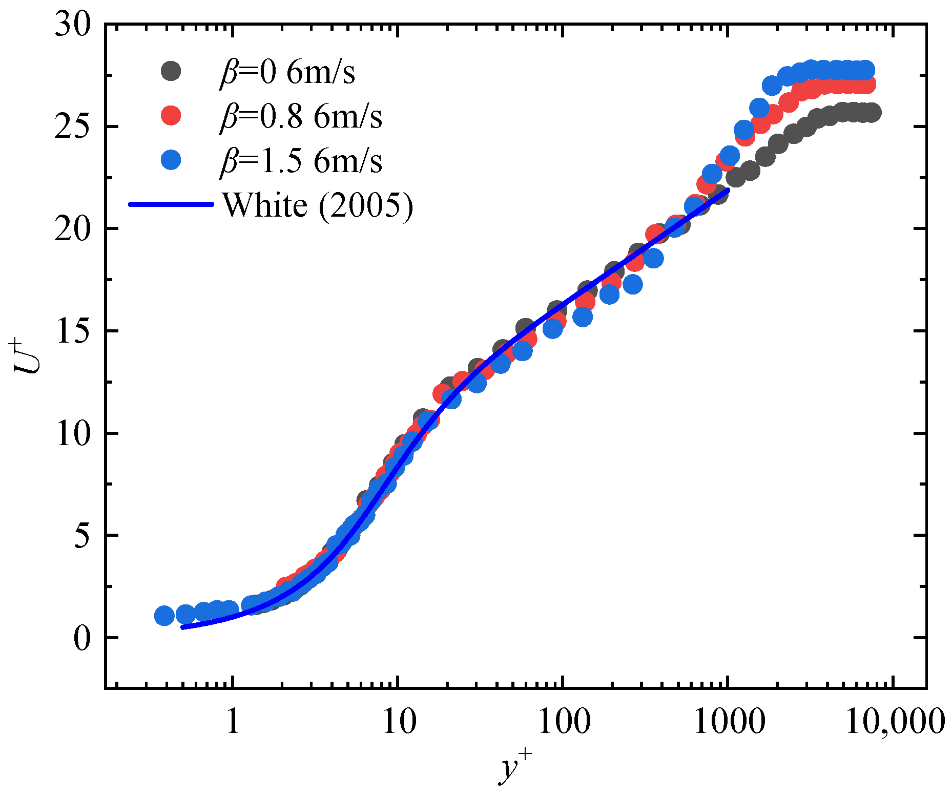
In this experiment, the free-stream velocity ( V 0 ) ranged from 4 to 10 m/s, corresponding to a friction Reynolds number (Reτ) range of 3000–6000. White’s canonical velocity profile [21] is always used for validation, which is defined as:
U + = 0 y + 2 d y + 1 + { 1 + 4 κ 2 y + 2 [ 1 exp ( y + / A ) ] 2 } 1 / 2
where κ = 0.41 , A = 25 . All velocities are normalized by the wall friction velocity, u τ , i.e., y + = y u τ / ν , U + = U / u τ , u + = u / u τ .
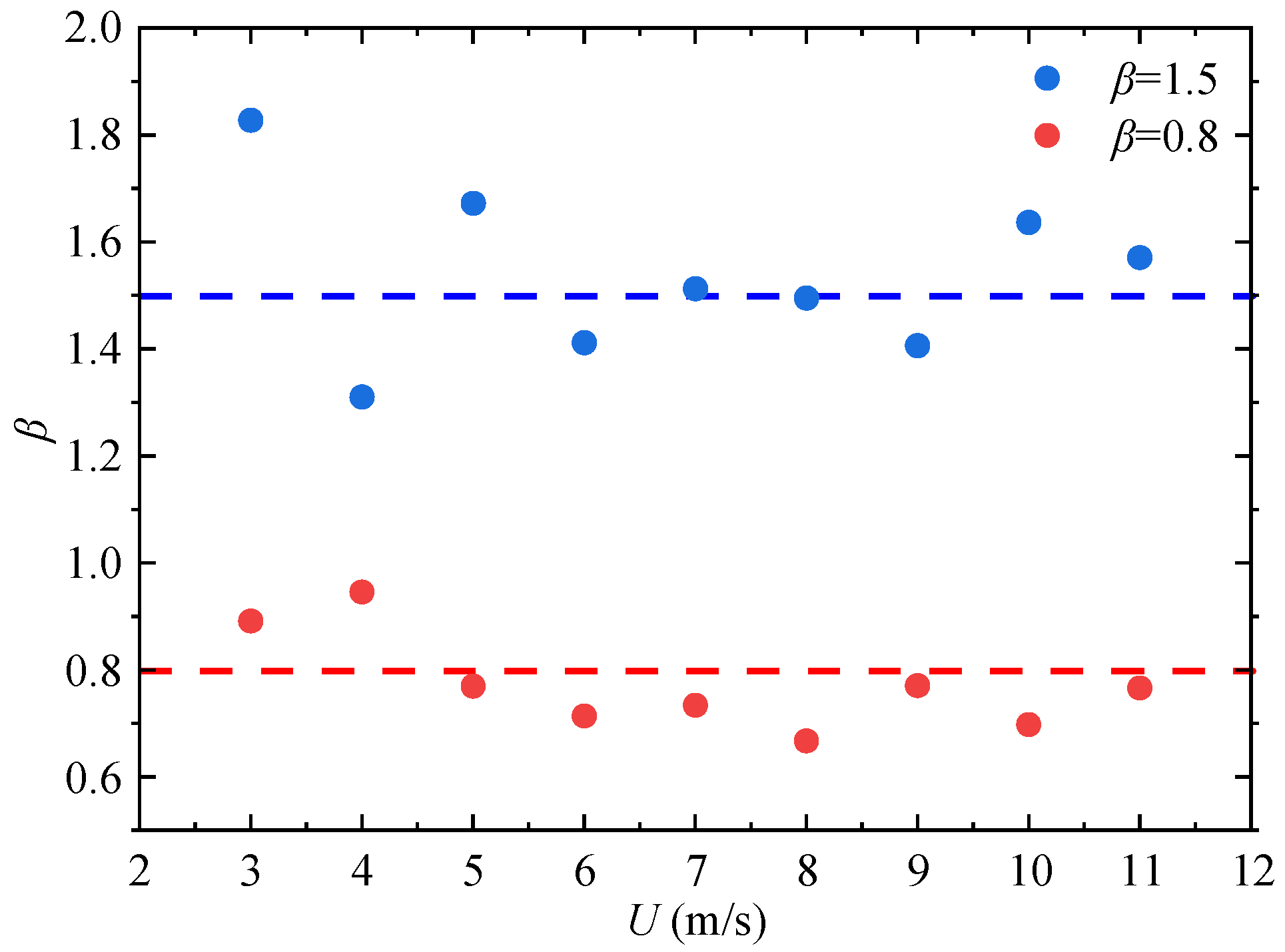
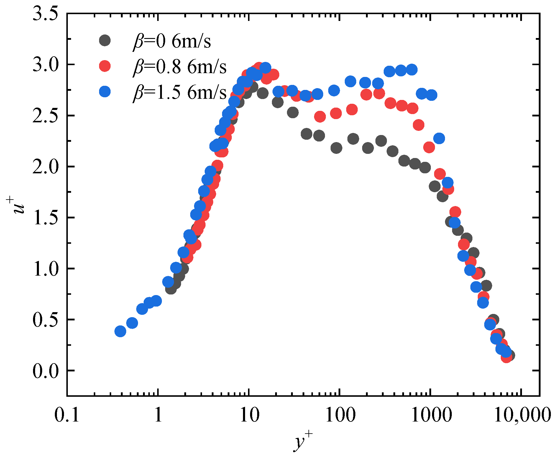
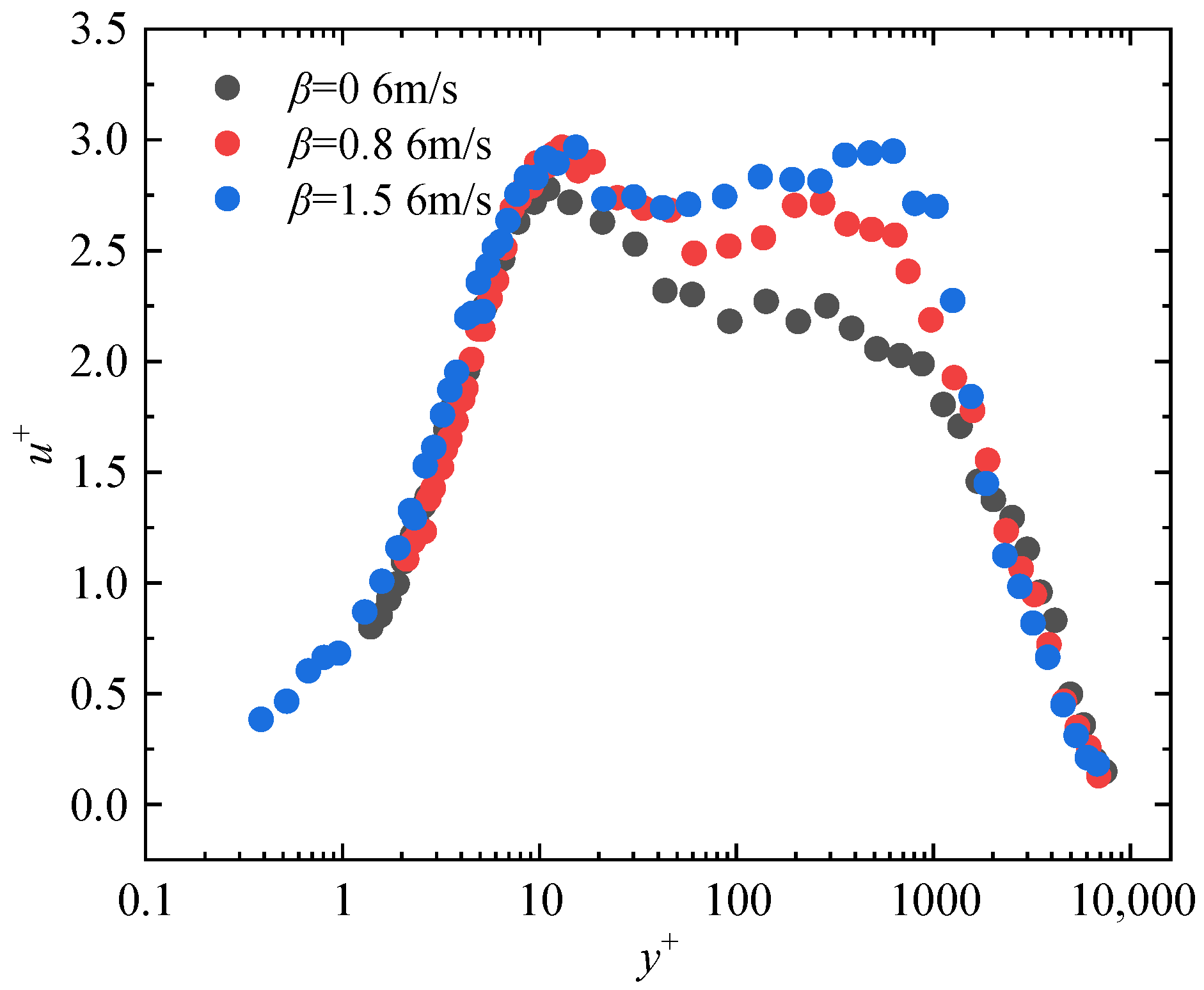
The time-averaged velocity profiles within the turbulent boundary layer at the control and experimental positions are shown in Ref. [21], which agrees well with White’s canonical velocity profile [22]. Here, the fluctuating velocity profiles under free-stream velocities of 6 m/s and 10 m/s are shown in Figure 1. The fluctuating velocity profiles exhibit fundamental characteristics typical of turbulent boundary layers, reaching a peak value of approximately 2.8 in the vicinity of y + 15 . Furthermore, a discernible plateau is observed in the logarithmic region. More details about the turbulent boundary layer parameters at the two spanwise measurement positions are presented in Ref. [21], confirming the spanwise homogeneity of the flow development. Different adverse pressure gradient conditions over the test plate are designed based on numerical simulations of a reference configuration of the Common Research Model (CRM) [21,23]. A bump is installed on the upper surface of the wind tunnel test section to achieve two adverse pressure gradient conditions, β = 0.8 and β = 1.5. As seen from Figure 2, the fluctuation amplitude is controlled within ±10%.
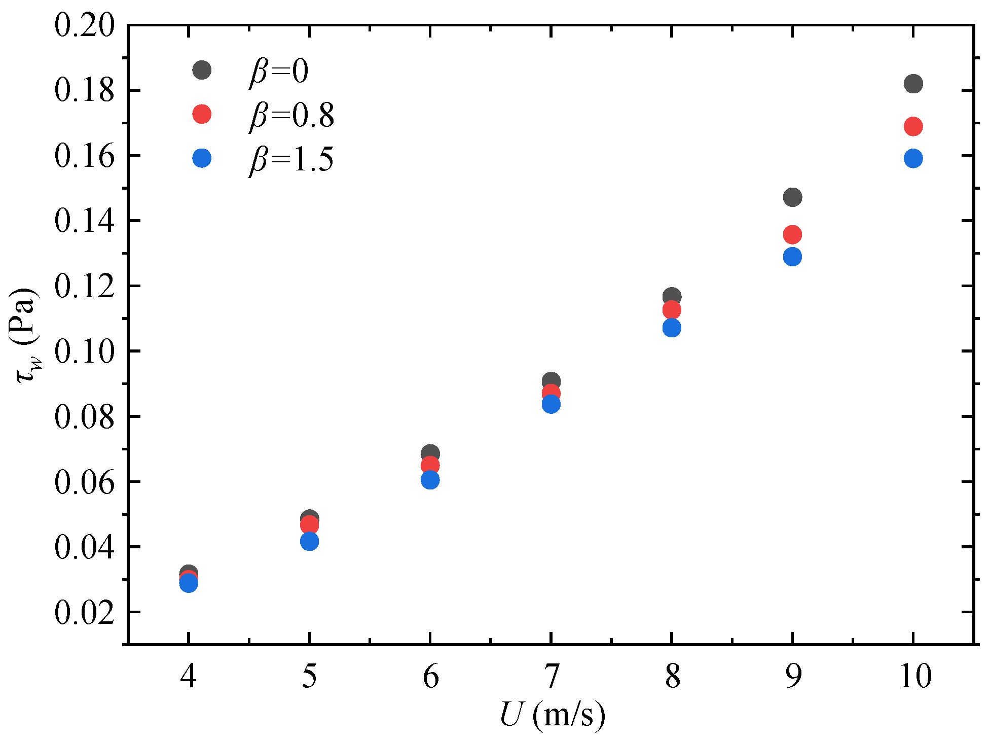
In addition to the adverse pressure gradient of primary interest, its influence on the turbulent boundary layer was also observed during boundary layer measurements. One such effect pertains to the viscous sublayer, manifested as a reduction in wall shear stress. Moreover, as β increases, the decrease in τ w becomes more pronounced, which aligns with findings from multiple previous studies [24,25]. Figure 3 shows the comparison of τ w under zero pressure gradient (ZPG) and two adverse pressure gradient (APG) conditions. Secondly, the influence on the logarithmic and wake regions of the turbulent boundary layer is observed: the log-law region of the mean velocity profile shifts downward, while the wake region exhibits an upward shift. Additionally, the plateau in the fluctuating velocity profile within the outer boundary layer shows a noticeable elevation, as illustrated in Figure 4 and Figure 5. The aforementioned phenomena reflect the near-wall velocity deficit induced by the adverse pressure gradient. These observations are consistent with existing literature [25,26], demonstrating that the constructed adverse pressure gradient environment is well-conditioned and validating the experimental results. Precisely because the presence of an adverse pressure gradient causes the mean velocity profile to deviate from the standard log-law, the Clauser chart method cannot be simply applied to determine the wall friction velocity u τ [26,27]. Instead, it is necessary to utilize Newton’s law of viscosity, deriving u τ from the slope of the velocity profile in the viscous sublayer.

2.2. Geometry of Riblets

Previous studies have investigated the drag reduction performance of various riblet shapes, including triangular [2,3,4,5,28,29], trapezoidal [28,30,31], blade-like [30,31,32,33], and semicircular geometries [34,35]. Among these, triangular and trapezoidal riblets have shown notable effectiveness, supported by extensive research and well-documented data, making them appropriate references for the present study. Therefore, these two types were selected and alternately installed at the experimental position (i.e., Position 1) during testing. All riblets were fabricated using Computer Numerical Control (CNC) machining, which is a manufacturing process that utilizes pre-programmed computer software to automatically control machine tools and cutting tools. Figure 6 shows a schematic diagram of the two riblet types. Both riblets are of the same width of 1 mm. For the triangular riblet, the height is h = 0.866 mm, and the tip angle is α = 60 degree. For trapezoidal riblet, the height is h = 0.6 mm, the tip-width is t = 0.025 mm, and the tip angle is α = 30 degree.

3. Results and Discussion

3.1. Drag Reduction Rate of Riblets

Defined by Equation (3), measurements of the skin friction drag reduction rate (DRR) of riblet surfaces relative to smooth walls were conducted using the hot-film probes, where τ w and τ w represent the measured wall shear stress of the smooth surface and the riblet surface, respectively.
DRR = τ w τ w τ w × 100 %
During the experiment, it is essential to ensure more than three measurement points within the unit dimensionless height to guarantee the accuracy of the fitting results. The measurements are substituted into Equation (1) to calculate the drag reduction rates under different operating conditions. All test cases were measured three times. The averaged results are presented in Figure 7 and Figure 8, with the standard deviations displayed as error bars. Here, the horizontal axis denotes the dimensionless width of the riblets, expressed as:
s + = s u τ ν
where ν is the kinematic viscosity. The value of s+ increased with the free-stream velocity.
In early studies, Bechert et al. [28] also measured the drag reduction rates of triangular and trapezoidal riblets with the same cross-sectional shapes as those investigated in the present study. Given the high measurement accuracy of their differential balance system, their results were selected as the reference for comparison in this experiment. As shown in Figure 7 and Figure 8, the drag reduction curves of both types of riblets under zero pressure gradient conditions agree closely with those reported by Bechert et al. [28]. It should be noted that the friction Reynolds number Reτ in Bechert’s experiments did not exceed 665, while in this study, Reτ ranged from 3000 to 6000—an order of magnitude higher. Nevertheless, the drag reduction rates of both riblet types showed no significant variation. Thus, it can be concluded that over the Reynolds number range considered herein, an increase in Reynolds number does not substantially influence the drag reduction performance of the riblets.
Within the range of pressure gradients studied, the drag reduction rate of riblets increases with the intensification of the adverse pressure gradient, which is consistent with the findings of Debisschop and Nieuwstadt [13]. Regarding the controversies in established studies, we concur with Nieuwstadt et al. [12] that measurement inaccuracies associated with the momentum integral balance method have led to the conclusion that adverse pressure gradients exert a detrimental effect on the drag reduction performance of riblets. Our results further suggest that experimental investigations into riblet drag reduction should employ more accurate measurement techniques, such as the method based on Newton’s law of viscosity used in this study, or direct force measurements with a drag balance. Moreover, the present results do not support the assertion by Klumpp et al. [14] that a mild adverse pressure gradient markedly enhances drag reduction. Instead, we demonstrate that its positive effect remains limited.

3.2. Turbulent Bursing Events Detected by VITA

Turbulent bursting refers to asymmetrical, intermittent and abrupt intense disturbances occurring in the turbulent boundary layer. Physically, the bursting process consists of two distinct phases: “ejection” and “sweep”. The ejection phase is characterized by transient, explosive movement of low-momentum fluid parcels away from the wall region, forming high-velocity ejections, while the sweep phase involves downward impingement of high-momentum fluid from the outer flow. Both processes generate strong shear between high- and low-velocity fluids, resulting in the formation of complex vortex structures and intense momentum and energy exchange. Studies have shown that bursting events contributes 50–75% to the turbulent kinetic energy production [21]. In terms of flow parameters, the most direct manifestation of bursting phenomena is the occurrence of intense velocity fluctuations. Typically, the burst period is defined as the time interval between two consecutive ejection events. Therefore, burst events can be detected by identifying sudden enhancements in velocity fluctuations. This study employs the Variable Interval Time Average (VITA) method [36] to detect turbulent bursting phenomena in the boundary layer. The conditional averaging parameters were set following the principle that the amplitude of conditionally averaged fluctuating velocity should remain adequately smooth without becoming excessively small, with the threshold level set at k = 1 and integration time at T + = 15 . Here, T + represents the non-dimensional time for the integration time T based on the friction velocity, i.e., T + = T ν / u τ 2 .
According to Figure 8 in Section 3.1, the drag reduction rate reaches its maximum at s + = 17 (for freestream velocity of 6 m/s), after which the drag reduction effect begins to attenuate, demonstrating the degradation phenomenon [33]. By s + = 24 (for freestream velocity of 10 m/s), the drag reduction rate has degraded to 50% of its maximum value. Therefore, these two characteristic velocities are selected for further analysis. Figure 9 and Figure 10 show the variation of burst frequency with height under different pressure gradients and wall surface conditions. As seen from Figure 9 and Figure 10, regardless of changes in inflow conditions or wall surface conditions, the trend of burst frequency variation with height remains consistent: the occurrence frequency of bursting phenomena is extremely low away from the wall, increases significantly as the hot-wire approaches the wall, reaches its maximum near y + = 15, and then gradually decreases. This pattern aligns with the characteristics of turbulent boundary layer fluctuating velocity profiles [11]. Bursting events eject low-speed fluid from the wall region into the mainstream while sweeping high-speed fluid toward the wall region, both processes causing intense velocity fluctuations. Moreover, these changes are intermittent—when bursting events conclude, the local velocity returns to lower levels, leading to an increase in the root mean square value of velocity fluctuations.
Since burst events typically contribute to 80% of the Reynolds stress and 50–75% of the turbulent fluctuation energy at high Reynolds flow, the reduction in burst frequency for riblets directly leads to a decrease in wall friction drag. The presence of riblets affects coherent structures at various scales within a certain range above the wall, such as by weakening streamwise vortex strength and increasing structural inclination angles (shown in Section 3.3). This reduces the ability of different structures to interact and interfere with one another, thereby diminishing the driving factors for burst events. The resulting reduction in momentum exchange ultimately leads to a decrease in wall friction drag.
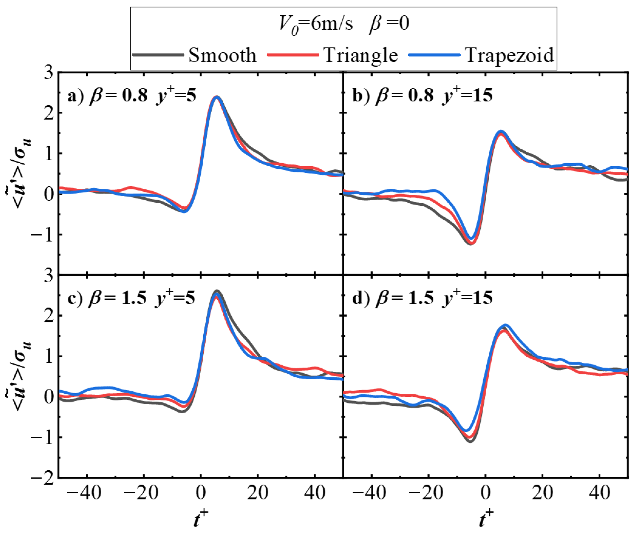
Figure 11 compares the conditionally averaged statistical results of velocity fluctuation for bursting events at different wall-normal heights between riblet and smooth walls for the case of (β = 0, 6 m/s). Here, t + represents the non-dimensional time, defined as t +   =   t ν / u τ 2 . For the four observed positions at y+ = 5, 15, 32, and 140, it can be seen that within the dimensionless time range of −15 < t+ < 15, the conditional velocity fluctuation for bursting events on riblet surfaces remains approximately constant compared to smooth walls. Beyond the range of t +   =   ± 15 , no consistent pattern emerges between the velocity fluctuation on riblet surfaces and smooth walls, as local velocity fluctuations exhibit random variations before and after the concentrated enhancement caused by bursting events. Therefore, amplitude variations outside this region are not correlated with the presence or absence of riblet control. The separation and non-smooth phenomena observed in velocity fluctuations among the three wall types at y+ = 140 are attributed to the relatively low number of detected local bursting events, which insufficiently averages out the differences in random velocity fluctuations during the conditional averaging process based on bursting events. The conditionally averaged velocity fluctuations at y+ = 5 maintain positive values over a larger time range, indicating that the probability density function of velocity fluctuations is skewed toward the positive axis—referred to as “positive skewness”—with a corresponding positive skewness factor. Simultaneously, at y+ = 5, the velocity fluctuations on riblet surfaces show an overall increase compared to smooth walls, suggesting a greater degree of positive skewness in their probability density function and a larger skewness factor. These findings are consistent with the results reported in the literature [37].
Figure 12 presents the conditionally averaged statistical results of velocity fluctuation for bursting events at different wall-normal heights for riblet and smooth walls at different adverse pressure gradient. Due to the insufficient number of bursting events at larger wall-normal heights, which leads to non-smooth and unstable variations in the statistically averaged velocity fluctuation, only the positions at y+ = 5 and y+ = 15 are considered here. The characteristics of amplitude variations remain consistent with those observed under ZPG condition: the conditionally averaged velocity fluctuation amplitudes on riblet surfaces show slight narrowing and an overall shift toward positive fluctuation velocities. Furthermore, across all pressure gradient conditions, trapezoidal riblets exhibit a greater influence on velocity fluctuation amplitudes than triangular riblets. These observations are consistent with the drag reduction rate results.
In the aforementioned figures, each subplot examines the conditionally averaged variations of riblet surfaces relative to smooth walls under fixed inflow velocity, wall-normal height, and pressure gradient conditions. As seen from Figure 13, however, it fixes the wall-normal height (y+ = 5 or y+ = 15) and surface conditions to compare the influence of pressure gradient on conditional averaging at and for each surface condition. Rows represent identical wall boundary conditions, while columns correspond to the same wall-normal height. Observations reveal that for every compared wall boundary condition and normal height, the conditionally averaged velocity fluctuation amplitudes under adverse pressure gradient conditions are reduced compared to zero pressure gradient conditions, while simultaneously shifting overall toward positive fluctuation velocities. Moreover, the degree of amplitude reduction and overall shift exhibits a positive correlation with the magnitude of pressure gradient β. This phenomenon shows strong consistency with the drag reduction rates demonstrated in Figure 7 and Figure 8.
In summary, riblet surfaces achieve drag reduction by suppressing the normal momentum exchange caused by bursting events through reducing both the burst frequency and intensity, with adverse pressure gradient exerting a positive reinforcing effect. Specifically, the presence of riblets alters the vortex generation mechanism in the near-wall region [38]. Since bursting events are typically induced by near-wall vortex structures, riblets suppress the formation and development of these vortices, thereby reducing the dynamic factors that trigger bursting. Regarding changes in burst intensity, the ejection and sweep processes dominate during bursting events. The presence of riblets disrupts the formation and development of ejection flows, reducing their velocity and spatial extent. For the sweep process, riblets also diminish its intensity by modifying the near-wall velocity distribution and fluid motion paths, thereby weakening momentum exchange during sweeping.
Concerning the role of adverse pressure gradient, when it does not cause flow separation, it decelerates the near-wall fluid [26], hindering momentum exchange between fluid parcels and the vorticity generation process. This further reduces the driving factors for bursting events and decreases the energy associated with both ejection and sweep processes. Consequently, the adverse pressure gradient introduces an additional layer of influence beyond that of riblets alone, creating a synergistic effect where the combined influence of riblets and APG exceeds the additive effect of each mechanism individually.

3.3. Inclination Angle of Coherent Structure

According to the experimental description in Section 2, the hot-film probe remains in close contact with the wall and can sense flow field information at the wall. During a complete boundary layer measurement, the hot-wire probe continuously changes its height to detect flow field information in the spatial domain. Since the hot-wire probe is positioned directly above the hot-film probe and both measurements are synchronized, cross-correlation between the two can be performed to investigate the relationship between turbulent events in the spatial domain and those at the wall, or to study certain changes in turbulent structures. It should be noted that during synchronized hot-wire and hot-film measurements, a single (the i-th) measurement only provides velocity fluctuations u ( t , y i ) at the respective probe positions and wall friction fluctuations τ w ( t ) i . To change the position of the hot-wire probe, multiple measurements are required, and these measurements do not correspond to the same spatial fluctuation field. However, by leveraging the ergodicity hypothesis, it can be approximately assumed that the statistical averages remain consistent across multiple measurements. Furthermore, using Taylor’s frozen turbulence hypothesis, a long-term measurement at a single point in space can be transformed into an instantaneous spatial observation. This enables the derivation of the hot-wire and hot-film cross-correlation. The cross-correlation function is defined as R τ w u ( Δ t , y i ) , where Δ t represents the time shift for the hot-wire and hot-film cross-correlation, also known as the lag time. Its expression is given by Equation (3).
R τ w u ( Δ t , y i )   =   τ w ( t ) u ( t + Δ t , y i ) τ w 2 u 2
Figure 14 shows the cross-correlation function between the hot-wire and hot-film probes for a 6 m/s flat-plate boundary layer. For each plate type, three typical positions are selected to illustrate the correlation function when the hot-wire probe is located at y +   =   5 , 15, and 60, respectively. The horizontal coordinate in the figure has been normalized using the time coordinate Δ t +   =   u τ 2 Δ t / ν , where one unit of Δ t + corresponds to an actual physical time of Δ t   =   6.1   ×   10 5   s approximately. As can be seen from Figure 14, when the hot-wire probe is at the same height, the correlation function for the ribbed plate is lower than that for the smooth plate. As the height of the hot-wire probe increases, the peak value of the cross-correlation function continuously decreases, while the corresponding normalized lag time Δ t + at the peak shifts further toward the negative direction of the time axis. According to the definition of the cross-correlation function, the above phenomenon indicates that a certain turbulent event present in the flow is first captured by the hot-wire probe located above the wall, and subsequently, the hot-film probe at the wall senses the impact of the same event. The time difference between these two detections is the lag time Δ t , as illustrated in Figure 15. Furthermore, during the propagation process, the event undergoes deformation or dissipation, causing the signals captured by the two probes to become less consistent as the height of the hot-wire probe increases. This is reflected in the overall reduction of the cross-correlation function.
Plotting the cross-correlation functions between the hot-wire and hot-film probes at different heights as a contour map facilitates further observation of the temporal–spatial relationship between the spatial fluctuation field in the turbulent boundary layer and the wall friction stress fluctuations. As shown in Figure 16, the shape of the correlation function indicates that the cross-correlation in the wall-normal direction tilts toward the negative time direction. This implies that when the hot-film probe measures the corresponding signal at the wall, the correlated signal measured by the hot-wire probe at a certain height above the wall has already convected downstream by the corresponding time shift Δ t and spatial displacement Δ x   =   u ( t , y i ) t   ×   Δ t . Strong correlation signals (above 0.6) between the wall friction stress τ w and the local velocity u in the turbulent boundary layer are concentrated in the viscous sublayer and the buffer layer. This suggests a strong relationship between wall shear stress fluctuations and near-wall low-speed streaks. However, regions with a cross-correlation value of 0.3 extend into the logarithmic layer of the boundary layer, indicating that there is also a significant correlation between τ w and the logarithmic layer. This demonstrates that large-scale turbulent structures present in the logarithmic layer exert a notable modulating effect on wall friction stress τ w .
To quantify the relationship between the spatial flow field information contained in the cross-correlation function and the near-wall flow, as well as to examine the influence of riblets under different pressure gradients, the concept of the turbulence structure inclination angle is introduced here. Brown and Thomas [39] used a hot-film wall shear stress probe and a wall-normal array composed of four hot-wires positioned above the hot-film to measure wall friction stress fluctuations and velocity fluctuations. After performing cross-correlation between the signals from the hot-wire and hot-film probes, they found that the results support the hypothesis that an “organized structure” exists in the boundary layer, which is inclined at a certain angle to the wall. Subsequent research on turbulent boundary layers generally identifies this structure as a hairpin vortex package or large-scale motion (LSM) [27,40]. Since the experimental conditions in this study do not allow for definitive identification of the specific type of this structure, it will be collectively referred to as a coherent structure in the following discussion. The inclination angle of this structure is often determined from the angle exhibited in the contour map of the two-point correlation function based on PIV flow field results. However, this method is not applicable to single-point hot-wire measurements. Therefore, the definition of the inclination angle proposed by Marusic and Heuer [41] is adopted here:
θ i = arctan y i / Δ x i *
Here, y i represents the height of the hot-wire probe, and Δ x i * = u t , y i t × Δ t i * denotes the spatial displacement described earlier. The superscript * indicates that Δ t i * corresponds to the lag time at which the maximum value of the hot-wire/hot-film cross-correlation function occurs. This definition can be interpreted as follows: if a coherent structure is inclined relative to the wall in the downstream direction, when the hot-wire and hot-film probes are aligned at the same streamwise position, the head or neck of the coherent structure will first pass the hot-wire probe. It then moves downstream at the local mean velocity and, after a time interval Δ t i * , the footprint of the coherent structure passes the hot-film probe at the wall. At this moment, the downstream convection distance of the structure’s head is exactly Δ x i * = u t , y i t × Δ t i * . Thus, the inclination angle can be defined as the arctangent of the height of the hot-wire probe divided by these convection distances.
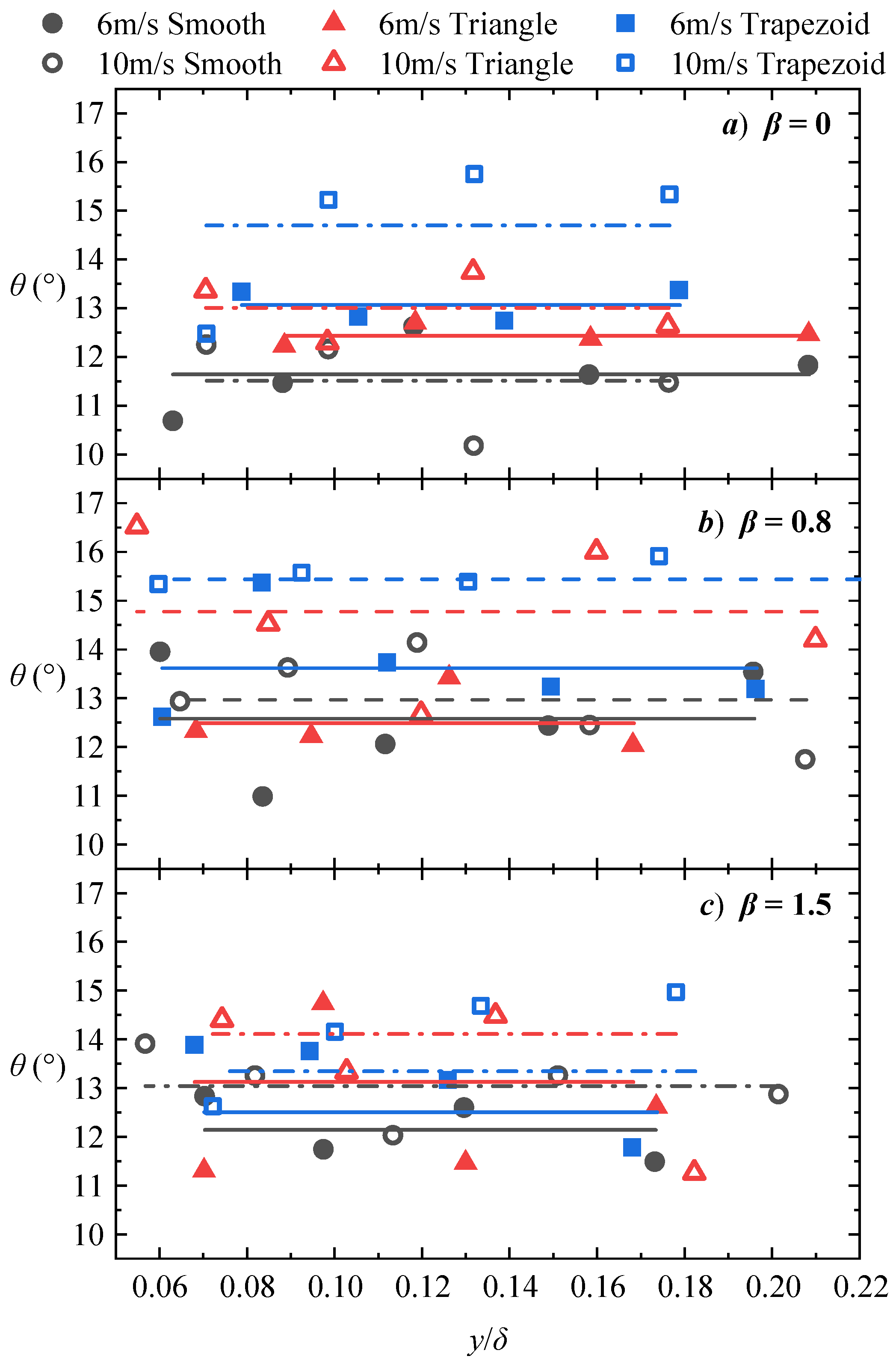
Existing data on the inclination angles of coherent structures are abundant. Brown and Thomas [39] initially combined and analyzed the cross-correlation functions between a hot-wire array (positioned at y/δ = 0.05, 0.25, 0.5, 0.75 and a hot-film probe, obtaining a coherent structure inclination angle of 12.3°. Volino et al. [42] used Laser Doppler Velocimetry (LDV) and Particle Image Velocimetry (PIV) in a water channel to acquire detailed flow field results. Using reference points at y/δ = 0.2 and 0.7, they reported an average inclination angle of 13.2 ± 2.5° for coherent structures in the range 0.2 < y/δ < 0.7. Under laboratory conditions (Reτ = 2800), Marusic et al. [43] obtained an average inclination angle of 13.8 within y/δ < 0.15. Meanwhile, Marusic and Heuer [41] conducted research on the atmospheric surface layer (ASL) at the Surface Layer Turbulence and Environmental Science Test (SLTEST) facility in Utah, USA, where the friction Reynolds number Reτ reached as high as 106. They found an average inclination angle of 14.4 in the range y/δ = 0.0024∼0.0293, confirming the Reynolds number independence of the coherent structure inclination angle.
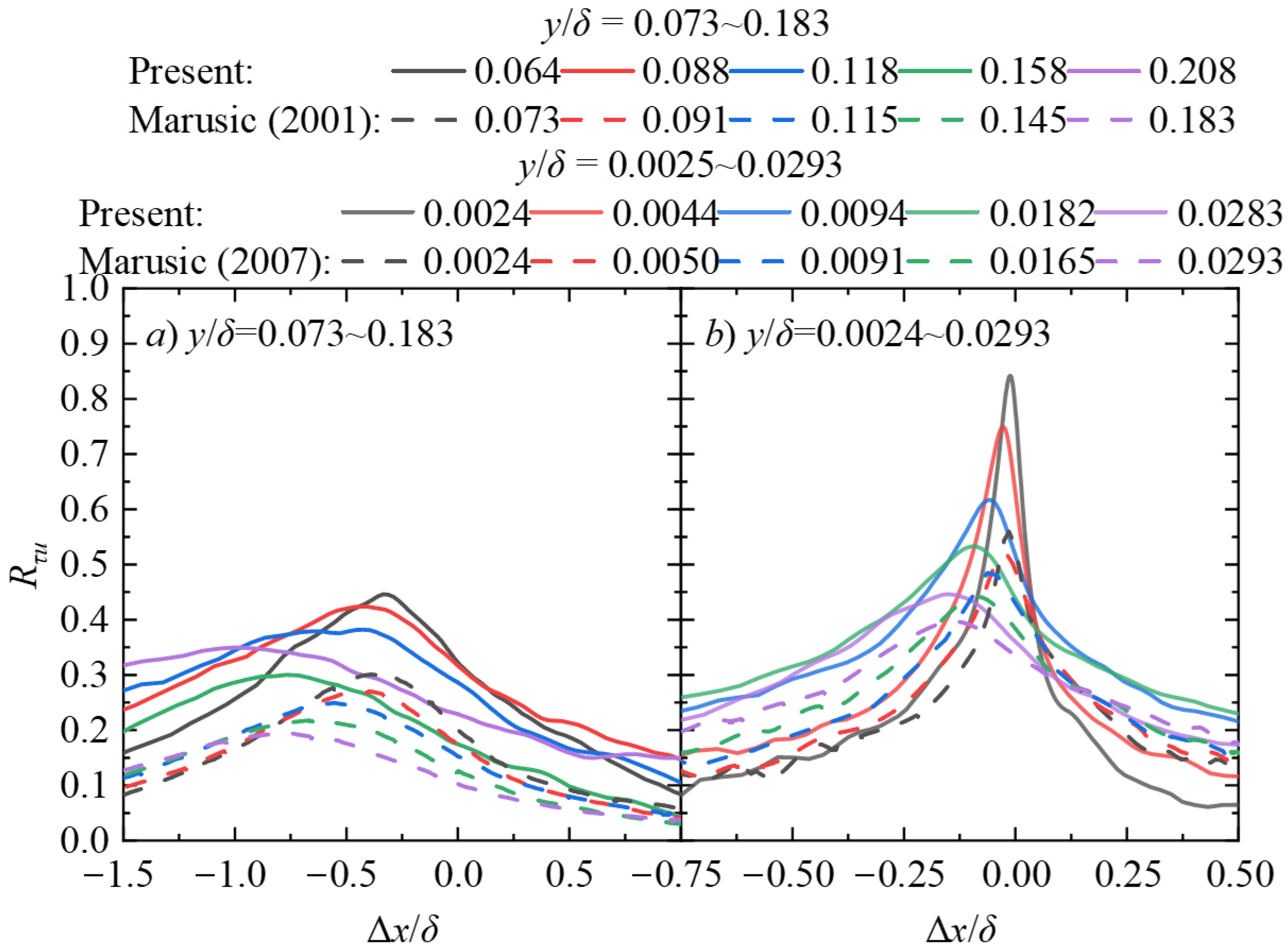
This section aligns with the research scope of Marusic [41,43] by calculating the inclination angles of coherent structures within y/δ = 0.073~0.183 (y+ = 240~680) and y/δ = 0.0024~0.0293 (y+ = 5~90), and examining the influence of riblets on these angles. Figure 17 compares the hot-wire and hot-film cross-correlation functions obtained in this experiment with the results from Marusic’s two studies. At approximately the same dimensionless heights, the dimensionless spatial displacement corresponding to the maximum value of the correlation function shows good agreement with the literature data.
However, the amplitude of the correlation function obtained in this experiment is significantly larger than the values reported in the literature. This discrepancy may be attributed to the use of a Dantec 55P15 single-wire boundary layer probe in the present study, which directly captures streamwise velocity fluctuations and operates at a sampling frequency of 20 kHz. In contrast, Marusic et al. [43] employed an Auspex A55P51 X-wire two-dimensional hot-wire probe. The process of converting signals from its two channels into streamwise and wall-normal velocity components may lead to the loss of some signal details. Meanwhile, in their investigation of the atmospheric surface layer (ASL), Marusic and Heuer [41] utilized a Campbell Scientific CSAT3 sonic anemometer. While well-suited for atmospheric measurements, this instrument may exhibit slightly lower precision and sampling frequency compared to hot-wire probes, resulting in a reduced ability to capture high-frequency flow features.
For the smooth wall case at β = 0 in this experiment, the average inclination angles of coherent structures were calculated over different height ranges. The result for y/δ = 0.073~0.183 (y+ = 240~680) is 11.7 °   ±   0.7 ° , while the result for y/δ = 0.0024~0.0293 (y+ = 5~90) is 11.0 °   ±   2.5 ° . These values are slightly smaller than those reported in the studies mentioned earlier. However, other literature has also reported similarly small inclination angles, with values as low as 6 [44]. Therefore, the inclination angles obtained in this experiment can be considered within a reasonable range.
The influence of riblets on the inclination angle of coherent structures is examined. On the interval of y/δ = 0.073~0.183 (y+ = 240~680), which represents the mid-logarithmic region of the turbulent boundary layer, Figure 18 displays the distribution and statistical results of the inclination angles for different wall types under three pressure gradient conditions and two incoming flow velocities within this interval. For all pressure gradient and flow velocity conditions, the presence of both types of riblets increases the structural inclination angle compared to the smooth wall. This observation is consistent with the drag-reducing effect of riblets and can, to some extent, explain the mechanism behind it. Coherent structures within the y+ = 240~680 range are considered large-scale structures (such as hairpin vortex packets). Studies have shown that large-scale structures modulate near-wall small-scale events [45,46], which is why wall stress events are often referred to as the “footprints” of large- or very-large-scale motions [47].
When large-scale vortex systems in the mainstream sweep through the near-wall region, they disturb the fluid in the viscous sublayer and buffer layer, enabling some fluid to gain sufficient energy and initiate bursts. This leads to intense wall-normal momentum exchange and contributes significantly to Reynolds stress. Here, the increased inclination angle of large-scale structures over riblet surfaces compared to smooth walls implies that the vortex structures are lifted upward, reducing their interaction with the wall. Meanwhile, the decrease in the hot-wire/hot-film cross-correlation function for riblet surfaces in Figure 16 indicates a weakened correlation between the large-scale motions above and wall stress events. This confirms that the increased inclination angle attenuates the modulation effect, supporting the reasonable inference that the frequency of burst events and the intensity of momentum mixing are reduced, thereby resulting in drag reduction.
Furthermore, by alternately examining the three images in Figure 19a–c, it can be observed that when the incoming flow velocity and wall boundary conditions are held constant, the inclination angle of coherent structures at APG increases compared to that at ZPG. This result is consistent with the findings of Volino and Schultz [27]. It is hypothesized that this outcome is caused by velocity deficit, and the increase in inclination angle similarly implies a reduction in streamwise shear. This conclusion aligns with the measured decrease in wall friction under adverse pressure gradient conditions in Section 3.1, providing mutual validation. It also helps explain the positive effect of adverse pressure gradients on the drag reduction rate of riblets observed in Section 3.1.
However, the magnitude of change in the structural inclination angle does not exhibit a linear correlation with the drag reduction rate. Although the drag reduction rates of the riblets increase sequentially at β = 0.8, and β = 1.5, the corresponding increases in inclination angle are not proportional to the improvements in drag reduction. In fact, the inclination angle at β = 1.5 is lower than that at β = 0.8, a result consistent with the findings of Volino and Schultz [27]. These outcomes indicate that changes in the structural inclination angle represent only one aspect influencing drag reduction, and no simple linear relationship exists between the two.
Next, we examine the interval of y/δ = 0.0024~0.0293 (y+ = 5~90), which covers the viscous sublayer, buffer layer, and the lower portion of the logarithmic region. The coherent structures present in this range include low-speed streaks, quasi-streamwise vortices, and individual hairpin vortices [48]. Figure 20 displays the distribution of inclination angles for different wall types under three pressure gradient conditions and two incoming flow velocities within this interval. However, due to the significant variation of inclination angle with height, no averaging was performed. Additionally, Figure 21 shows the distribution of inclination angles for smooth walls under different adverse pressure gradients.
As seen in the figures, the structural inclination angles in this region still exhibit the characteristics described earlier for the logarithmic layer. Regarding the role of structures such as hairpin vortices in wall friction stress, Sheng et al. [47] used Digital Holographic Microscopy (DHM) and Particle Tracking Velocimetry (PTV) to conduct detailed observations of flow structures—including counter-rotating streamwise vortex pairs, quasi-spanwise structures, and (hairpin-like) vortices—within a near-wall volume of x+ × y+ × z+ = 88 × 145 × 88. They proposed a conceptual model in which spanwise vortices evolve into hairpin vortices and counter-rotating streamwise vortex pairs and employed conditional sampling to identify extreme stress events generated during their evolution, thereby capturing the “footprints” of wall friction stress. For example, sweeping events occur on one side of a streamwise vortex or near the head of a hairpin vortex, locally generating extreme stress.
Therefore, similar to the previous analysis, the increased inclination angle of these coherent structures—combined with the weakened cross-correlation between the wall and the flow above—suggests that such evolution is likely to reduce extreme stress events, thereby contributing to drag reduction.

4. Conclusions

The impact of adverse pressure gradients (APGs) on the drag reduction effectiveness of riblets has long been a subject of debate. This study established an adverse pressure gradient environment in a wind tunnel, achieving both ZPG and APG of β = 0.8 and 1.5. The experimental Reynolds number range was 3000 < Reτ < 6000. Using constant-temperature hot-wire anemometry, the drag reduction rates of triangular and trapezoidal riblets under different pressure gradient conditions were accurately measured. It was also found that under a mild adverse pressure gradient, the adverse pressure gradient enhances the drag reduction effect.
From turbulence burst detection in the boundary layer based on the VITA method, riblets significantly reduce the burst frequency while slightly weakening the burst intensity. The presence of APG further amplifies these effects. The existence of riblets attenuates the strength of streamwise vortices and suppresses the convergence of low-speed fluid, thereby reducing the number and frequency of burst events. A conceptual model of the coherent structure inclination angle was introduced based on cross-correlation and Taylor’s frozen hypothesis. Analysis revealed that the inclination angles of coherent structures in both regions (y+ = 90~300 and y+ = 5~90) increased under the influence of riblets, meaning the coherent structures moved away from the wall. Consequently, this increase in the inclination angle reduced their interaction with the wall. For coherent structures in the viscous sublayer, buffer region, and lower logarithmic region, the increase in inclination angle can also be seen as a lift-up of the structures. Taking hairpin vortices as an example, the extreme stress events induced by their heads or necks would weaken upon lifting away from the wall, thereby contributing to drag reduction.
Conclusively, the adverse pressure gradient consistently plays an amplifying role in the aforementioned drag reduction mechanisms. Without causing flow separation, the adverse pressure gradient itself leads to a velocity deficit, reducing the energy of coherent structures and weakening their interactions. This diminishes the driving factors for burst events, thereby reducing wall friction drag. Simultaneously, the adverse pressure gradient also increases the inclination angle of coherent structures. These conclusions align with existing research findings and coincide precisely with the effects induced by riblets. As a result, the combined action of both factors produces a synergistic effect, achieving an outcome that the whole is greater than the sum of its parts.

Author Contributions

Conceptualization, H.G., C.L. and P.L.; methodology, P.L.; software, Y.S., validation, H.G., F.C. and Y.S.; formal analysis, Q.M.; investigation, P.L.; resources, C.L.; data curation, Y.S.; writing—original draft preparation, Q.M.; writing—review and editing, H.G.; visualization, F.C.; supervision, P.L.; project administration, C.L.; funding acquisition, C.L. All authors have read and agreed to the published version of the manuscript.

Funding

This research received no external funding.

Data Availability Statement

Data is contained within the article.

Acknowledgments

Thank for all team members participating in the experiments and analyzing process.

Conflicts of Interest

The authors declare no conflicts of interest.

References

  1. Risse, K.; Stumpf, E.; Schröder, W. Preliminary Overall Aircraft Design with Hybrid Laminar Flow Control; Berichte aus der Luft- und Raumfahrttechnik; Shaker: Aachen, Germany, 2016; ISBN 978-3-8440-4950-3. [Google Scholar]
  2. Walsh, M. Turbulent Boundary Layer Drag Reduction Using Riblets. In Proceedings of the 20th Aerospace Sciences Meeting, Orlando, FL, USA, 11–14 January 1982; American Institute of Aeronautics and Astronautics: Orlando, FL, USA, 1982; pp. 1–8. [Google Scholar]
  3. Walsh, M.J. Riblets as a Viscous Drag Reduction Technique. AIAA J. 1983, 21, 485–486. [Google Scholar] [CrossRef]
  4. Walsh, M.; Lindemann, A. Optimization and Application of Riblets for Turbulent Drag Reduction. In Proceedings of the 22nd Aerospace Sciences Meeting, Reno, NV, USA, 9–12 January 1984; American Institute of Aeronautics and Astronautics: Reno, NV, USA, 1984; pp. 1–10. [Google Scholar]
  5. Walsh, M.J. Riblets. In Viscous Drag Reduction in Boundary Layers; American Institute of Aeronautics and Astronautics: Washington, DC, USA, 1990; pp. 203–261. [Google Scholar]
  6. Choi, K.-S. Near-Wall Structure of a Turbulent Boundary Layer with Riblets. J. Fluid Mech. 1989, 208, 417–458. [Google Scholar] [CrossRef]
  7. Bacher, E.; Smith, C. A Combined Visualization-Anemometry Study of the Turbulent Drag Reducing Mechanisms of Triangular Micro-Groove Surface Modifications. In Proceedings of the Shear Flow Control Conference, Boulder, CO, USA, 12–14 March 1985; American Institute of Aeronautics and Astronautics: Boulder, CO, USA, 1985; pp. 1–10. [Google Scholar]
  8. Goldstein, D.B.; Tuan, T.-C. Secondary Flow Induced by Riblets. J. Fluid Mech. 1998, 363, 115–151. [Google Scholar] [CrossRef]
  9. Bechert, D.W.; Bartenwerfer, M. The Viscous Flow on Surfaces with Longitudinal Ribs. J. Fluid Mech. 1989, 206, 105–129. [Google Scholar] [CrossRef]
  10. Luchini, P.; Manzo, F.; Pozzi, A. Resistance of a Grooved Surface to Parallel Flow and Cross-Flow. J. Fluid Mech. 1991, 228, 87–109. [Google Scholar] [CrossRef]
  11. Devenport, W.J.; Lowe, K.T. Equilibrium and Non-Equilibrium Turbulent Boundary Layers. Prog. Aerosp. Sci. 2022, 131, 100807. [Google Scholar] [CrossRef]
  12. Nieuwstadt, F.T.M.; Wolthers, W.; Leijdens, H.; Krishna Prasad, K.; Schwarz-van Manen, A. The Reduction of Skin Friction by Riblets under the Influence of an Adverse Pressure Gradient. Exp. Fluids 1993, 15, 17–26. [Google Scholar] [CrossRef]
  13. Debisschop, J.R.; Nieuwstadt, F.T.M. Turbulent Boundary Layer in an Adverse Pressure Gradient—Effectiveness of Riblets. AIAA J. 1996, 34, 932–937. [Google Scholar] [CrossRef]
  14. Klumpp, S.; Guldner, T.; Meinke, M.; Schröder, W. Riblets in a Turbulent Adverse-Pressure Gradient Boundary Layer. In Proceedings of the 5th Flow Control Conference, Chicago, IL, USA, 28 June–1 July 2010; American Institute of Aeronautics and Astronautics: Chicago, IL, USA, 2010; pp. 1–11. [Google Scholar]
  15. Boomsma, A.; Sotiropoulos, F. Riblet Drag Reduction in Mild Adverse Pressure Gradients: A Numerical Investigation. Int. J. Heat Fluid Flow 2015, 56, 251–260. [Google Scholar] [CrossRef]
  16. Choi, K.-S. Effects of Longitudinal Pressure Gradients on Turbulent Drag Reduction with Riblets. In Turbulence Control by Passive Means; Coustols, E., Ed.; Springer: Dordrecht, The Netherlands, 1990; Volume 4, pp. 109–121. [Google Scholar]
  17. Kurita, M.; Nishizawa, A.; Kwak, D.; Iijima, H.; Iijima, Y.; Takahashi, H.; Sasamori, M.; Abe, H.; Koga, S.; Nakakita, K. Flight Test of a Paint-Riblet for Reducing Skin-Friction. In Proceedings of the 2018 Applied Aerodynamics Conference, Atlanta, Georgia, 25–29 June 2018; American Institute of Aeronautics and Astronautics: Atlanta, Georgia, 2018; pp. 1–7. [Google Scholar]
  18. Truong, T.V.; Pulvin, P. Influence of Wall Riblets on Diffuser Flow. Appl. Sci. Res. 1989, 46, 217–227. [Google Scholar] [CrossRef]
  19. Squire, L.C.; Savill, A.M. Drag Measurements on Planar Riblet Surfaces at High Subsonic Speeds. Appl. Sci. Res. 1989, 46, 229–243. [Google Scholar] [CrossRef]
  20. Viswanath, P.R. Aircraft Viscous Drag Reduction Using Riblets. Prog. Aerosp. Sci. 2002, 38, 571–600. [Google Scholar] [CrossRef]
  21. Ma, Q.Y.; Liu, P.q.; Guo, H.; Cui, F.; Su, Y.K.; Li, C.P.; Zhang, T.J. Experimental Investigation on Drag Reduction Characteristics of Riblets Considering the Flow Environment of Fuselage. Aerosp. Sci. 2025, 12, 985. [Google Scholar] [CrossRef]
  22. White, F.M. Viscous Fluid Flow, 3rd ed.; McGraw-Hill: New York, NY, USA, 2005; ISBN 978-0-07-240231-5. [Google Scholar]
  23. NASA Common Research Model|Providing Data Worldwide. Available online: https://commonresearchmodel.larc.nasa.gov/ (accessed on 31 August 2025).
  24. Vila, C.S.; Vinuesa, R.; Discetti, S.; Ianiro, A.; Schlatter, P.; Örlü, R. Experimental Realisation of Near-Equilibrium Adverse-Pressure-Gradient Turbulent Boundary Layers. Exp. Therm. Fluid Sci. 2020, 112, 109975. [Google Scholar] [CrossRef]
  25. Gungor, A.G.; Maciel, Y.; Simens, M.P.; Soria, J. Scaling and Statistics of Large-Defect Adverse Pressure Gradient Turbulent Boundary Layers. Int. J. Heat Fluid Flow 2016, 59, 109–124. [Google Scholar] [CrossRef]
  26. Lee, J.-H.; Sung, H.J. Effects of an Adverse Pressure Gradient on a Turbulent Boundary Layer. Int. J. Heat Fluid Flow 2008, 29, 568–578. [Google Scholar] [CrossRef]
  27. Volino, R.J.; Schultz, M.P. Comparison of Smooth- and Rough-Wall Non-Equilibrium Boundary Layers with Favourable and Adverse Pressure Gradients. J. Fluid Mech. 2023, 959, A35. [Google Scholar] [CrossRef]
  28. Bechert, D.W.; Bruse, M.; Hage, W.; Hoeven, J.G.T.V.D.; Hoppe, G. Experiments on Drag-Reducing Surfaces and Their Optimization with an Adjustable Geometry. J. Fluid Mech. 1997, 338, 59–87. [Google Scholar] [CrossRef]
  29. Choi, H.; Moin, P.; Kim, J. Direct Numerical Simulation of Turbulent Flow over Riblets. J. Fluid Mech. 1993, 255, 503–539. [Google Scholar] [CrossRef]
  30. Endrikat, S.; Modesti, D.; García-Mayoral, R.; Hutchins, N.; Chung, D. Influence of Riblet Shapes on the Occurrence of Kelvin–Helmholtz Rollers. J. Fluid Mech. 2021, 913, A37. [Google Scholar] [CrossRef]
  31. Modesti, D.; Endrikat, S.; Hutchins, N.; Chung, D. Dispersive Stresses in Turbulent Flow over Riblets. J. Fluid Mech. 2021, 917, A55. [Google Scholar] [CrossRef]
  32. Chan, L.; Kevin; Skvortsov, A.; Ooi, A. Effect of Straight Riblets of the Underlying Surface on Wall Bounded Flow Drag. Int. J. Heat Fluid Flow 2023, 102, 109160. [Google Scholar] [CrossRef]
  33. García-Mayoral, R.; Jiménez, J. Hydrodynamic Stability and Breakdown of the Viscous Regime over Riblets. J. Fluid Mech. 2011, 678, 317–347. [Google Scholar] [CrossRef]
  34. Lee, S.-J.; Lee, S.-H. Flow Field Analysis of a Turbulent Boundary Layer over a Riblet Surface. Exp. Fluids 2001, 30, 153–166. [Google Scholar] [CrossRef]
  35. Li, W.; Peng, S.; Xi, H.; Schroeder, W. Experimental Investigation on the Degradation of Turbulent Friction Drag Reduction over Semi-Circular Riblets. Exp. Fluids 2022, 63, 190. [Google Scholar] [CrossRef]
  36. Blackwelder, R.F.; Kaplan, R.E. On the Wall Structure of the Turbulent Boundary Layer. J. Fluid Mech. 1976, 76, 89–112. [Google Scholar] [CrossRef]
  37. Johansson, A.V.; Alfredsson, P.H. On the Structure of Turbulent Channel Flow. J. Fluid Mech. 1982, 122, 295–314. [Google Scholar] [CrossRef]
  38. Jiménez, J. Turbulent Flows over Rough Walls. Annu. Rev. Fluid Mech. 2004, 36, 173–196. [Google Scholar] [CrossRef]
  39. Brown, G.L.; Thomas, A.S.W. Large Structure in a Turbulent Boundary Layer. Phys. Fluids 1977, 20, S243–S252. [Google Scholar] [CrossRef]
  40. Bross, M.; Fuchs, T.; Kähler, C.J. Interaction of Coherent Flow Structures in Adverse Pressure Gradient Turbulent Boundary Layers. J. Fluid Mech. 2019, 873, 287–321. [Google Scholar] [CrossRef]
  41. Marusic, I.; Heuer, W.D.C. Reynolds Number Invariance of the Structure Inclination Angle in Wall Turbulence. Phys. Rev. Lett. 2007, 99, 114504. [Google Scholar] [CrossRef]
  42. Volino, R.J.; Schultz, M.P.; Flack, K.A. Turbulence Structure in Rough- and Smooth-Wall Boundary Layers. J. Fluid Mech. 2007, 592, 263–293. [Google Scholar] [CrossRef]
  43. Marusic, I.; Kunkel, G.J.; Porté-Agel, F. Experimental Study of Wall Boundary Conditions for Large-Eddy Simulation. J. Fluid Mech. 2001, 446, 309–320. [Google Scholar] [CrossRef]
  44. Nakagawa, S.; Hanratty, T.J. Particle Image Velocimetry Measurements of Flow over a Wavy Wall. Phys. Fluids 2001, 13, 3504–3507. [Google Scholar] [CrossRef]
  45. Mathis, R.; Hutchins, N.; Marusic, I. Large-Scale Amplitude Modulation of the Small-Scale Structures in Turbulent Boundary Layers. J. Fluid Mech. 2009, 628, 311–337. [Google Scholar] [CrossRef]
  46. de Silva, C.M.; Gnanamanickam, E.P.; Atkinson, C.; Buchmann, N.A.; Hutchins, N.; Soria, J.; Marusic, I. High Spatial Range Velocity Measurements in a High Reynolds Number Turbulent Boundary Layer. Phys. Fluids 2014, 26, 025117. [Google Scholar] [CrossRef]
  47. Sheng, J.; Malkiel, E.; Katz, J. Buffer Layer Structures Associated with Extreme Wall Stress Events in a Smooth Wall Turbulent Boundary Layer. J. Fluid Mech. 2009, 633, 17–60. [Google Scholar] [CrossRef]
  48. Adrian, R.J. Hairpin Vortex Organization in Wall Turbulence. Phys. Fluids 2007, 19, 041301. [Google Scholar] [CrossRef]
Figure 1. RMS of velocity profiles of turbulent boundary layers on a smooth flat plate at different spanwise positions.
Figure 1. RMS of velocity profiles of turbulent boundary layers on a smooth flat plate at different spanwise positions.
Symmetry 17 02007 g001
Figure 2. Adverse Pressure Gradient ( β ) under Different Freestream Velocities.
Figure 2. Adverse Pressure Gradient ( β ) under Different Freestream Velocities.
Symmetry 17 02007 g002
Figure 3. Wall Shear Stresses ( τ w ) under different adverse pressure gradient ( β ) conditions.
Figure 3. Wall Shear Stresses ( τ w ) under different adverse pressure gradient ( β ) conditions.
Symmetry 17 02007 g003
Figure 4. Mean velocity profiles at different pressure gradients ( β ). The blue curve in the figure represents White’s canonical velocity profile [22].
Figure 4. Mean velocity profiles at different pressure gradients ( β ). The blue curve in the figure represents White’s canonical velocity profile [22].
Symmetry 17 02007 g004
Figure 5. Velocity fluctuation profiles at different pressure gradients ( β ).
Figure 5. Velocity fluctuation profiles at different pressure gradients ( β ).
Symmetry 17 02007 g005
Figure 6. Schematic Diagram of Riblet’s Geometry Parameters (Left: Triangular riblets, right: Trapezoidal riblets).
Figure 6. Schematic Diagram of Riblet’s Geometry Parameters (Left: Triangular riblets, right: Trapezoidal riblets).
Symmetry 17 02007 g006
Figure 7. Drag reduction rates of triangular riblets at different pressure gradients ( β ). The gray blank triangles are the results of Bechert et al. [28].
Figure 7. Drag reduction rates of triangular riblets at different pressure gradients ( β ). The gray blank triangles are the results of Bechert et al. [28].
Symmetry 17 02007 g007
Figure 8. Drag reduction rates of trapezoidal riblets at different pressure gradients ( β ). The gray blank squares are the results of Bechert et al. [28].
Figure 8. Drag reduction rates of trapezoidal riblets at different pressure gradients ( β ). The gray blank squares are the results of Bechert et al. [28].
Symmetry 17 02007 g008
Figure 9. Variation of burst frequency with height over different wall surfaces at different pressure gradients ( β ) for freestream velocity of 6 m/s: (a) β = 0, (b) β = 0.8, (c) β = 1.5.
Figure 9. Variation of burst frequency with height over different wall surfaces at different pressure gradients ( β ) for freestream velocity of 6 m/s: (a) β = 0, (b) β = 0.8, (c) β = 1.5.
Symmetry 17 02007 g009
Figure 10. Variation of burst frequency with height over smooth wall at different pressure gradients ( β ) for freestream velocity of 6 m/s.
Figure 10. Variation of burst frequency with height over smooth wall at different pressure gradients ( β ) for freestream velocity of 6 m/s.
Symmetry 17 02007 g010
Figure 11. Comparison of conditionally averaged velocity fluctuation for bursting events between riblet surface and smooth wall for the case of (ZPG β = 0, V0 = 6 m/s): (a) y+ = 5, (b) y+ = 15, (c) y+ = 32, (d) y+ = 140.
Figure 11. Comparison of conditionally averaged velocity fluctuation for bursting events between riblet surface and smooth wall for the case of (ZPG β = 0, V0 = 6 m/s): (a) y+ = 5, (b) y+ = 15, (c) y+ = 32, (d) y+ = 140.
Symmetry 17 02007 g011
Figure 12. Comparison of conditionally averaged velocity fluctuation for bursting events between riblet surface and smooth wall for freestream velocity of 6 m/s at different pressure gradient: (a) β = 0.8, y+ = 5, (b) β = 0.8, y+ = 15, (c) β = 1.5, y+ = 5, (d) β = 1.5, y+ = 15.
Figure 12. Comparison of conditionally averaged velocity fluctuation for bursting events between riblet surface and smooth wall for freestream velocity of 6 m/s at different pressure gradient: (a) β = 0.8, y+ = 5, (b) β = 0.8, y+ = 15, (c) β = 1.5, y+ = 5, (d) β = 1.5, y+ = 15.
Symmetry 17 02007 g012
Figure 13. Comparison of conditionally averaged velocity fluctuation for bursting events between different pressure gradients ( β ). All cases correspond to results obtained at a freestream velocity of V0 = 6 m/s. The first column represents values at y⁺ = 5, and the second column corresponds to y⁺ = 15. The first row shows the results for the smooth plate, the second row for the triangular riblets, and the third row for the trapezoidal riblets.
Figure 13. Comparison of conditionally averaged velocity fluctuation for bursting events between different pressure gradients ( β ). All cases correspond to results obtained at a freestream velocity of V0 = 6 m/s. The first column represents values at y⁺ = 5, and the second column corresponds to y⁺ = 15. The first row shows the results for the smooth plate, the second row for the triangular riblets, and the third row for the trapezoidal riblets.
Symmetry 17 02007 g013
Figure 14. Cross correlation function between hot-wire (located at y+ = 5, 15 and 60) and hot-film measured over different wall surface at ZPG, i.e., β = 0. Here, Δ t + = ( Δ t · u τ 2 ) / ν denotes the dimensionless time.
Figure 14. Cross correlation function between hot-wire (located at y+ = 5, 15 and 60) and hot-film measured over different wall surface at ZPG, i.e., β = 0. Here, Δ t + = ( Δ t · u τ 2 ) / ν denotes the dimensionless time.
Symmetry 17 02007 g014
Figure 15. Normalized signal of hot-wire (located at y+ = 15) and hot-film measured over smooth wall surface at ZPG, i.e., β = 0.
Figure 15. Normalized signal of hot-wire (located at y+ = 15) and hot-film measured over smooth wall surface at ZPG, i.e., β = 0.
Symmetry 17 02007 g015
Figure 16. Cross correlation function between hot-wire (located at different height) and hot-film measured over smooth wall surface at ZPG, i.e., β = 0.
Figure 16. Cross correlation function between hot-wire (located at different height) and hot-film measured over smooth wall surface at ZPG, i.e., β = 0.
Symmetry 17 02007 g016
Figure 17. Cross correlation function between hot-wire (located at (a): y/δ = 0.073~0.183 and (b): y/δ = 0.0024~0.0293) and hot-film measured over smooth wall surface at ZPG, i.e., β = 0. Solid lines: present work, dash lines: reference [41,43].
Figure 17. Cross correlation function between hot-wire (located at (a): y/δ = 0.073~0.183 and (b): y/δ = 0.0024~0.0293) and hot-film measured over smooth wall surface at ZPG, i.e., β = 0. Solid lines: present work, dash lines: reference [41,43].
Symmetry 17 02007 g017
Figure 18. Inclination angle of coherent structure at different pressure gradient in the region of y/δ = 0.073~0.183 (y+ = 240~680), for freestream velocity of 6 m/s (closed symbols) and 10 m/s (open symbols).
Figure 18. Inclination angle of coherent structure at different pressure gradient in the region of y/δ = 0.073~0.183 (y+ = 240~680), for freestream velocity of 6 m/s (closed symbols) and 10 m/s (open symbols).
Symmetry 17 02007 g018
Figure 19. Averaged inclination angle of coherent structure in the region of y/δ = 0.073~0.183 (y+ = 240~680) for freestream velocity of 6 m/s and 10 m/s at different pressure gradient ((a): β = 0, (b): β = 0.8, (c): β = 1.5).
Figure 19. Averaged inclination angle of coherent structure in the region of y/δ = 0.073~0.183 (y+ = 240~680) for freestream velocity of 6 m/s and 10 m/s at different pressure gradient ((a): β = 0, (b): β = 0.8, (c): β = 1.5).
Symmetry 17 02007 g019
Figure 20. Inclination angle of coherent structure at different pressure gradient ( β ) near the sublayer region of y/δ = 0.0024~0.0293 (y+ = 5~90), for freestream velocity of 6 m/s (a,c,e) and 10 m/s (b,d,f).
Figure 20. Inclination angle of coherent structure at different pressure gradient ( β ) near the sublayer region of y/δ = 0.0024~0.0293 (y+ = 5~90), for freestream velocity of 6 m/s (a,c,e) and 10 m/s (b,d,f).
Symmetry 17 02007 g020
Figure 21. Inclination angle of coherent structure at different pressure gradient ( β ) over smooth wall near the sublayer region of y/δ = 0.0024~0.0293 (y+ = 5~90), for freestream velocity of 6 m/s ((a): left) and 10 m/s ((b): right).
Figure 21. Inclination angle of coherent structure at different pressure gradient ( β ) over smooth wall near the sublayer region of y/δ = 0.0024~0.0293 (y+ = 5~90), for freestream velocity of 6 m/s ((a): left) and 10 m/s ((b): right).
Symmetry 17 02007 g021
Disclaimer/Publisher’s Note: The statements, opinions and data contained in all publications are solely those of the individual author(s) and contributor(s) and not of MDPI and/or the editor(s). MDPI and/or the editor(s) disclaim responsibility for any injury to people or property resulting from any ideas, methods, instructions or products referred to in the content.

Share and Cite

MDPI and ACS Style

Ma, Q.; Liu, P.; Guo, H.; Cui, F.; Su, Y.; Li, C. Influence of Adverse Pressure Gradient on the Drag Reduction Characteristics of Riblets. Symmetry 2025, 17, 2007. https://doi.org/10.3390/sym17112007

AMA Style

Ma Q, Liu P, Guo H, Cui F, Su Y, Li C. Influence of Adverse Pressure Gradient on the Drag Reduction Characteristics of Riblets. Symmetry. 2025; 17(11):2007. https://doi.org/10.3390/sym17112007

Chicago/Turabian Style

Ma, Qiyue, Peiqing Liu, Hao Guo, Fei Cui, Yankun Su, and Chunpeng Li. 2025. "Influence of Adverse Pressure Gradient on the Drag Reduction Characteristics of Riblets" Symmetry 17, no. 11: 2007. https://doi.org/10.3390/sym17112007

APA Style

Ma, Q., Liu, P., Guo, H., Cui, F., Su, Y., & Li, C. (2025). Influence of Adverse Pressure Gradient on the Drag Reduction Characteristics of Riblets. Symmetry, 17(11), 2007. https://doi.org/10.3390/sym17112007

Note that from the first issue of 2016, this journal uses article numbers instead of page numbers. See further details here.

Article Metrics

Article metric data becomes available approximately 24 hours after publication online.
Back to TopTop