You are currently viewing a new version of our website. To view the old version click .
Symmetry
  • Article
  • Open Access

12 November 2025

The Half-Logistic Generalized Power Lindley Distribution: Theory and Applications

and
1
Department of Statistics, Faculty of Arts and Sciences, Bitlis Eren University, Bitlis 13000, Turkey
2
Department of Mathematics, Faculty of Arts and Sciences, Bitlis Eren University, Bitlis 13000, Turkey
*
Author to whom correspondence should be addressed.
This article belongs to the Section Mathematics

Abstract

In this paper, the half-logistic generalized power Lindley distribution, a new two-parameter lifetime model for positive and heavy-tailed data, is proposed and studied. Several mathematical properties are derived, including closed-form expressions for the density, distribution, survival, hazard, and the Lambert W quantile function, as well as series expansions for moments, skewness, kurtosis, and Rényi entropy. Parameter estimation is performed using maximum likelihood and Bayesian methods, where Bayesian estimation is implemented via the Metropolis–Hastings algorithm. A Monte Carlo simulation study is conducted to evaluate the estimators’ performance, showing decreasing bias and mean squared error with larger samples. Finally, three real-world datasets are analyzed to demonstrate that the proposed distribution provides superior fit compared to Lindley-type competitors and the Weibull distribution, based on likelihood values, information criteria, and empirical diagnostics.

1. Introduction

Statistical lifetime models are central to parametric inference in survival analysis, reliability engineering, and related disciplines. The concept of fiducial distributions was first introduced by Lindley []. Since then, the Lindley distribution has become a popular alternative to the exponential baseline and has inspired numerous extensions aimed at enhancing shape flexibility, including the Zografos Balakrishnan log-logistic [], odd inverse exponential [], odd log-logistic Marshall–Olkin power Lindley [], transmuted quasi-Lindley variants [,], the power Lindley [], and several other developments [,,,,,,,,,,,,,,,,,,,,,,,]. Many two-parameter lifetime models still cannot jointly capture heavy tails and non-monotone hazard shapes frequently seen in heterogeneous populations, degradation studies, and medical survival data. Classical choices (Lindley, Weibull, and power-generalized variants) often need extra parameters to gain tail or hazard flexibility, complicating estimation and weakening interpretability. The proposed the half-logistic generalized power Lindley (THLGPL) distribution resolves this trade-off by combining analytical simplicity, parsimony, and hazard versatility. We construct THLGPL by applying a half-logistic G-generator to the power Lindley baseline with γ = 1 . This transformation enriches tail curvature and enables bathtub, reverse-bathtub, and unimodal hazards without increasing parameter dimension. The family admits closed-form cumulative density function (CDF)/probability density function (PDF), survival and hazard, and a Lambert W quantile that facilitates simulation, diagnostics, and distributed computation. We define THLGPL family with closed-form core functions and a Lambert W quantile, derive key analytical properties (moments, skewness, kurtosis, and Rényi entropy), and develop estimation via MLE and Bayesian inference (RW–MH). A comprehensive assessment of model structure, quantile behavior, moment characteristics, and information measures of the THLGPL distribution is provided in Table 1, Table 2, Table 3 and Table 4. Results (Table 5, Table 6, Table 7, Table 8, Table 9 and Table 10) show decreasing Bias/MSE and shrinking interval lengths as n grows; Bayesian estimation provides slightly better small-n coverage and stability, whereas MLE is efficient and accurate for large n. The proposed THLGPL model introduces several theoretical and practical improvements over existing hybrid Lindley-type and half-logistic families. In particular, it offers a simplified analytical structure for both the CDF and the quantile function based on the Lambert W framework, enhanced tail flexibility that accommodates both light- and heavy-tailed behaviors within a two-parameter formulation, and superior capability in modeling non-monotonic hazard rate patterns frequently observed in heterogeneous lifetime data. Empirical analyses on COVID-19 mortality (Italy), electrical appliance failure, and trade-share data indicate that THLGPL outperforms Lindley-type and Weibull competitors by AIC/BIC/CAIC/HQIC and KS/AD criteria.
Table 1. Selected Lindley-type models and typical limitations.
While half-logistic generators and Lindley-based baselines have been used separately, to our knowledge, no prior work systematically combines the half-logistic generator with power Lindley ( γ = 1 ) to achieve both heavy-tail adaptability and non-monotone hazard flexibility without new parameters. Relative to existing hybrids, THLGPL provides (i) simpler closed forms (PDF/CDF/survival/hazard) with a Lambert W quantile; (ii) stable MLE and Bayesian estimation (RW–MH); (iii) single-parameterization coverage of bathtub, reverse-bathtub, and unimodal hazards; and (iv) scalability for block-simulate-then-aggregate Monte Carlo and Markov Chain Monte Carlo (MCMC).
Section 2 introduces the THLGPL distribution, including its survival and hazard functions, mixture representation, identifiability, asymptotic properties, and Lambert W quantile formulation. Section 3 details statistical properties such as moments, Rényi entropy, order statistics, and MLE derivations. Section 4 describes Bayesian estimation via MCMC. Section 5 presents simulation results and real-data applications. The Monte Carlo design in Section 5 (parameters and n as above) confirms consistency: Bias/MSE decline and interval lengths shrink with n; Bayesian intervals are slightly wider yet smoother at small n, while MLE attains near-asymptotic efficiency for large n. Numerically, THLGPL shows only mild sensitivity to initialization for very small samples. Computationally, the additive log-likelihood enables embarrassingly parallel map–reduce evaluations for MLE and RW–MH, and the Lambert W quantile supports distributed simulation where workers generate locally and aggregate globally. These properties underpin THLGPL’s practicality, interpretability, and scalability for big-data risk modeling and modern survival/reliability applications. Finally, Section 6 concludes with practical implications, scalability discussion, and avenues for future research.

2. The Half-Logistic Generalized Power Lindley Distribution

The Lindley distribution is a well–established model for positive and right–skewed lifetime data, offering greater flexibility than the exponential distribution while retaining analytical tractability. Its CDF and PDF are given by
G L ( y ; θ ) = 1 e θ y 1 + θ y θ + 1 , g L ( y ; θ ) = θ 2 θ + 1 ( 1 + y ) e θ y , y > 0 , θ > 0 .
Building on this baseline, Ghitany et al. [] introduced the Power Lindley (PL) distribution via the monotone transformation x = y 1 / β , yielding
G P L ( x ; θ , β ) = 1 e θ x β 1 + θ x β θ + 1 , g P L ( x ; θ , β ) = β θ 2 θ + 1 x β 1 1 + x β e θ x β ,
for x > 0 , θ > 0 , β > 0 . We introduce THLGPL distribution by applying the half-logistic G generator [] to the PL baseline. Specializing the generator to γ = 1 preserves parsimony, introducing no additional shape parameter beyond ( θ , β ) . The CDF and PDF are then given by
F T H L G P L ( x ; θ , β ) = F P L ( x ; θ , β ) 1 + F ¯ P L ( x ; θ , β ) , f T H L G P L ( x ; θ , β ) = 2 f P L ( x ; θ , β ) 1 + F ¯ P L ( x ; θ , β ) 2 ,
where F ¯ P L ( x ; θ , β ) = 1 F P L ( x ; θ , β ) . The explicit form of the CDF becomes
F T H L G P L ( x ; θ , β ) = 1 1 + θ x β θ + 1 e θ x β 1 + 1 + θ x β θ + 1 e θ x β , x > 0 , θ > 0 , β > 0 .
The corresponding PDF is
f T H L G P L ( x ; θ , β ) = 2 θ 2 β θ + 1 x β 1 ( 1 + x β ) e θ x β 1 + 1 + θ x β θ + 1 e θ x β 2 , x > 0 , θ > 0 , β > 0 .
It follows that f T H L G P L ( x ; θ , β ) > 0 for x > 0 , θ > 0 , β > 0 , and since
f T H L G P L ( x ; θ , β ) = x F T H L G P L ( x ; θ , β ) ,
with F T H L G P L ( 0 ; θ , β ) = 0 and F T H L G P L ( ; θ , β ) = 1 , we have
0 f T H L G P L ( x ; θ , β ) d x = 1 .
Thus, f T H L G P L is a valid PDF.
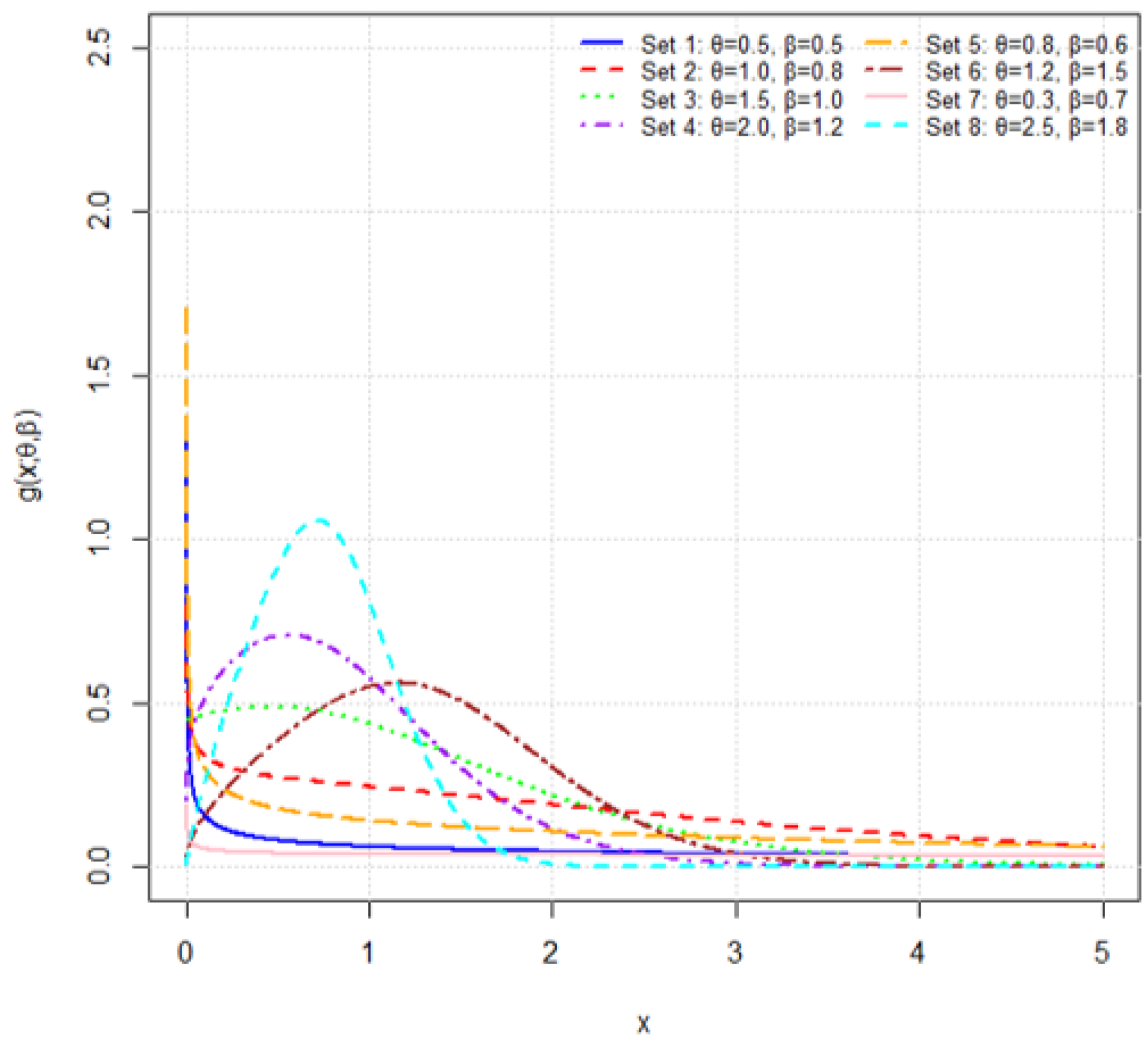
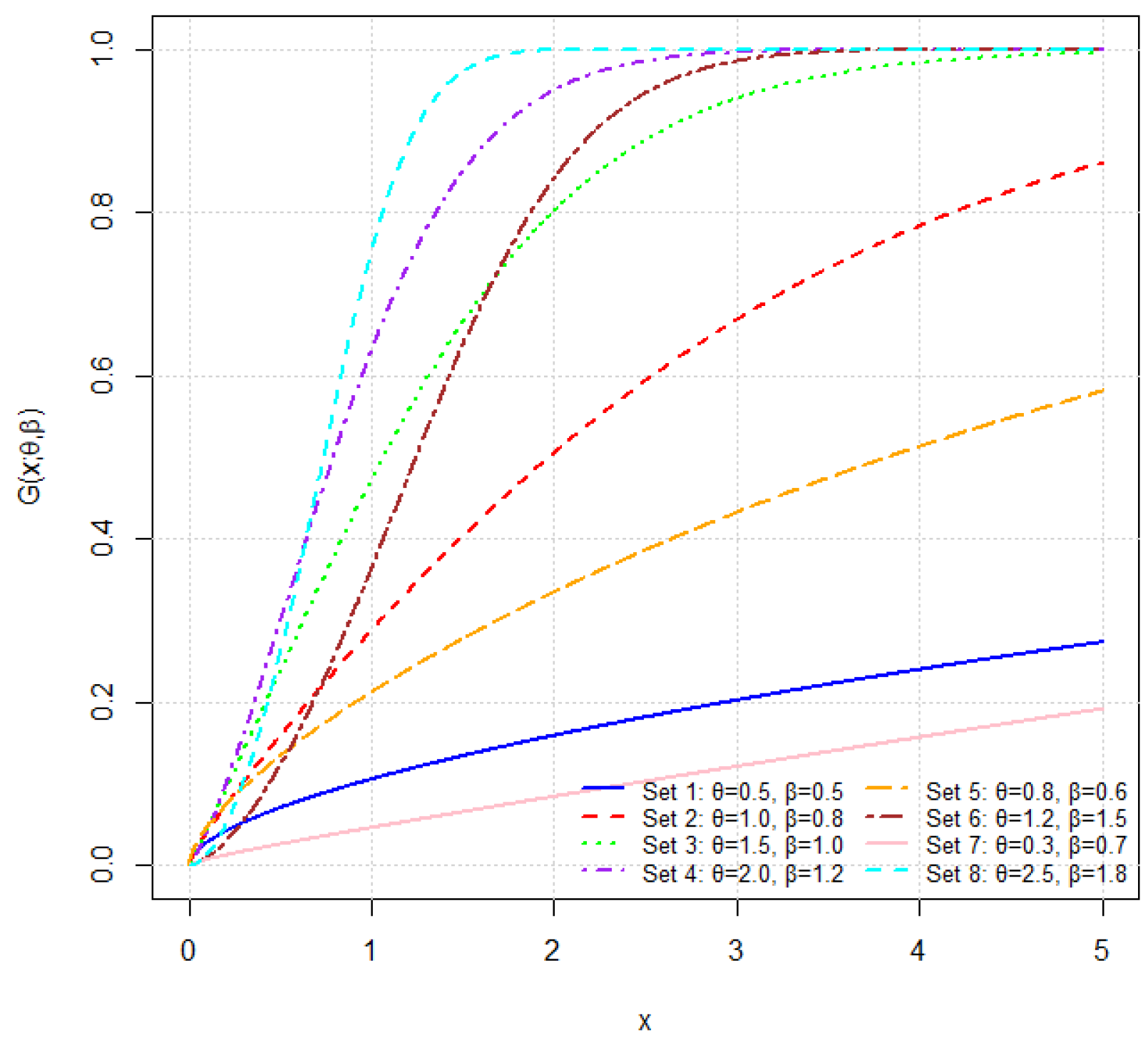
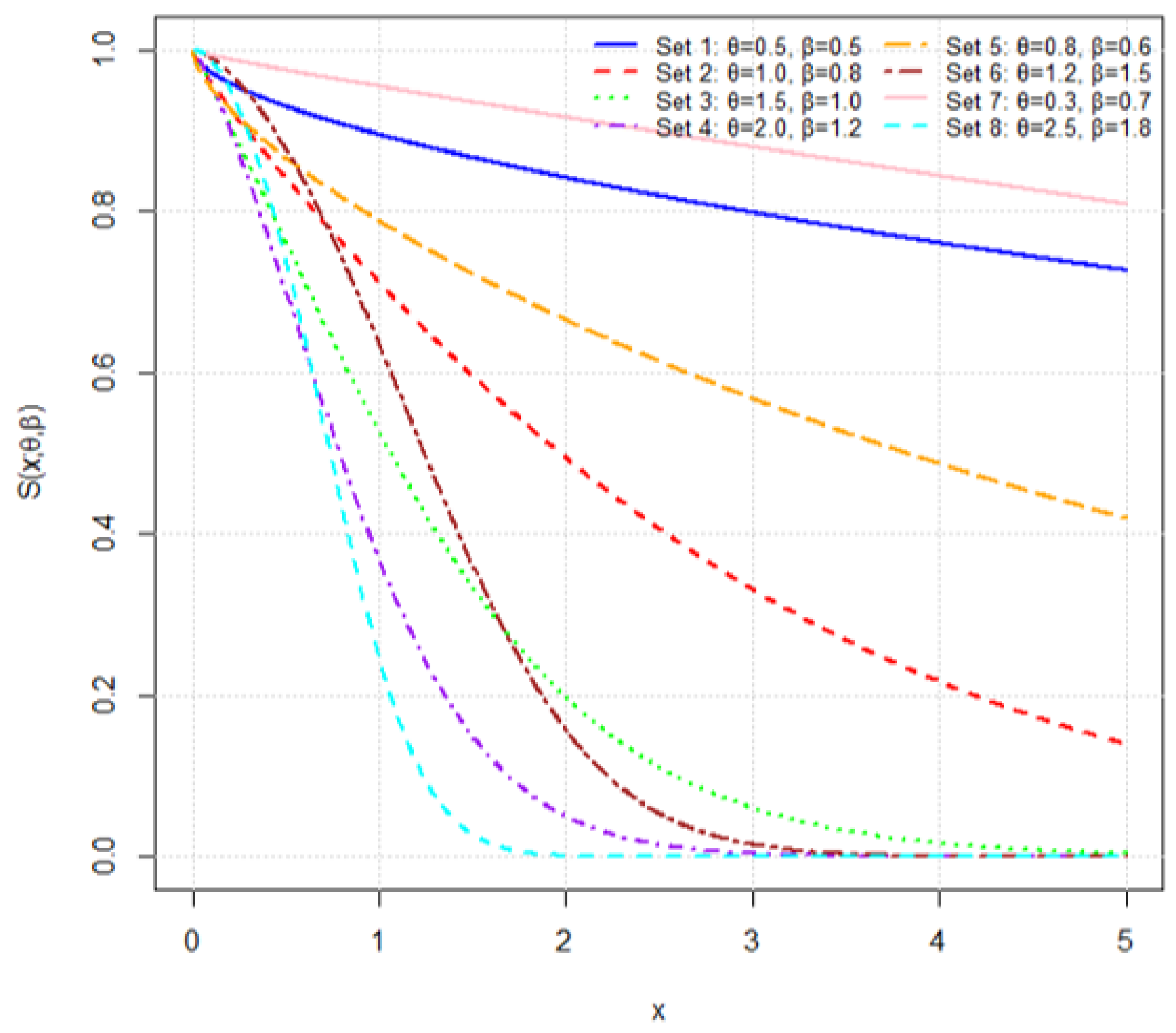
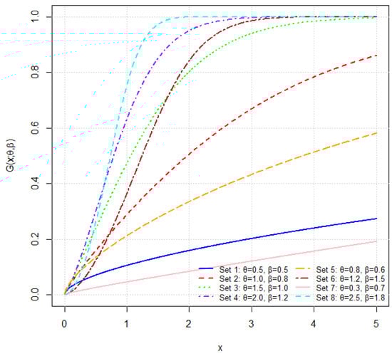
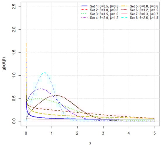
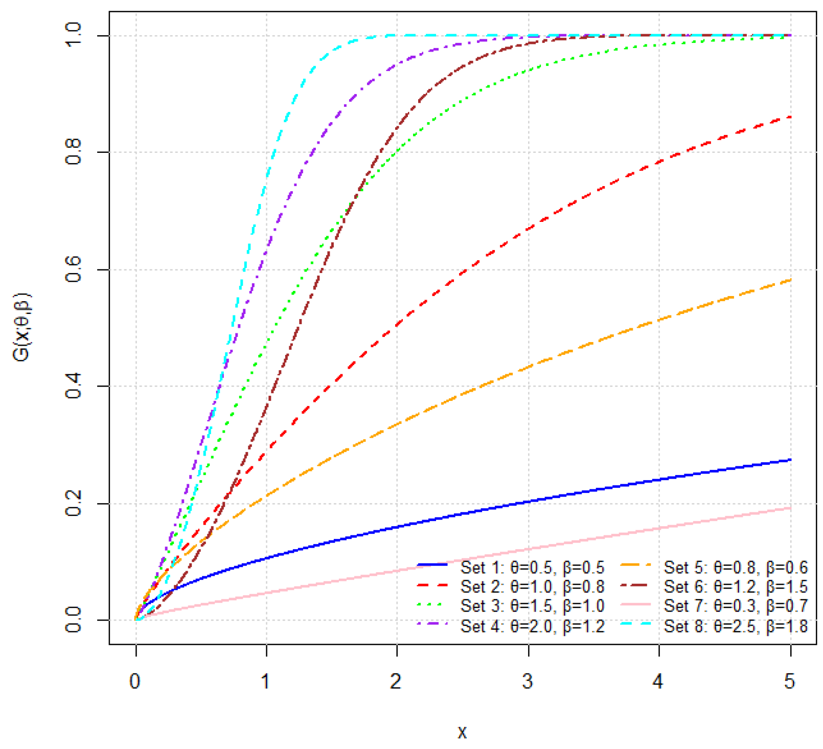
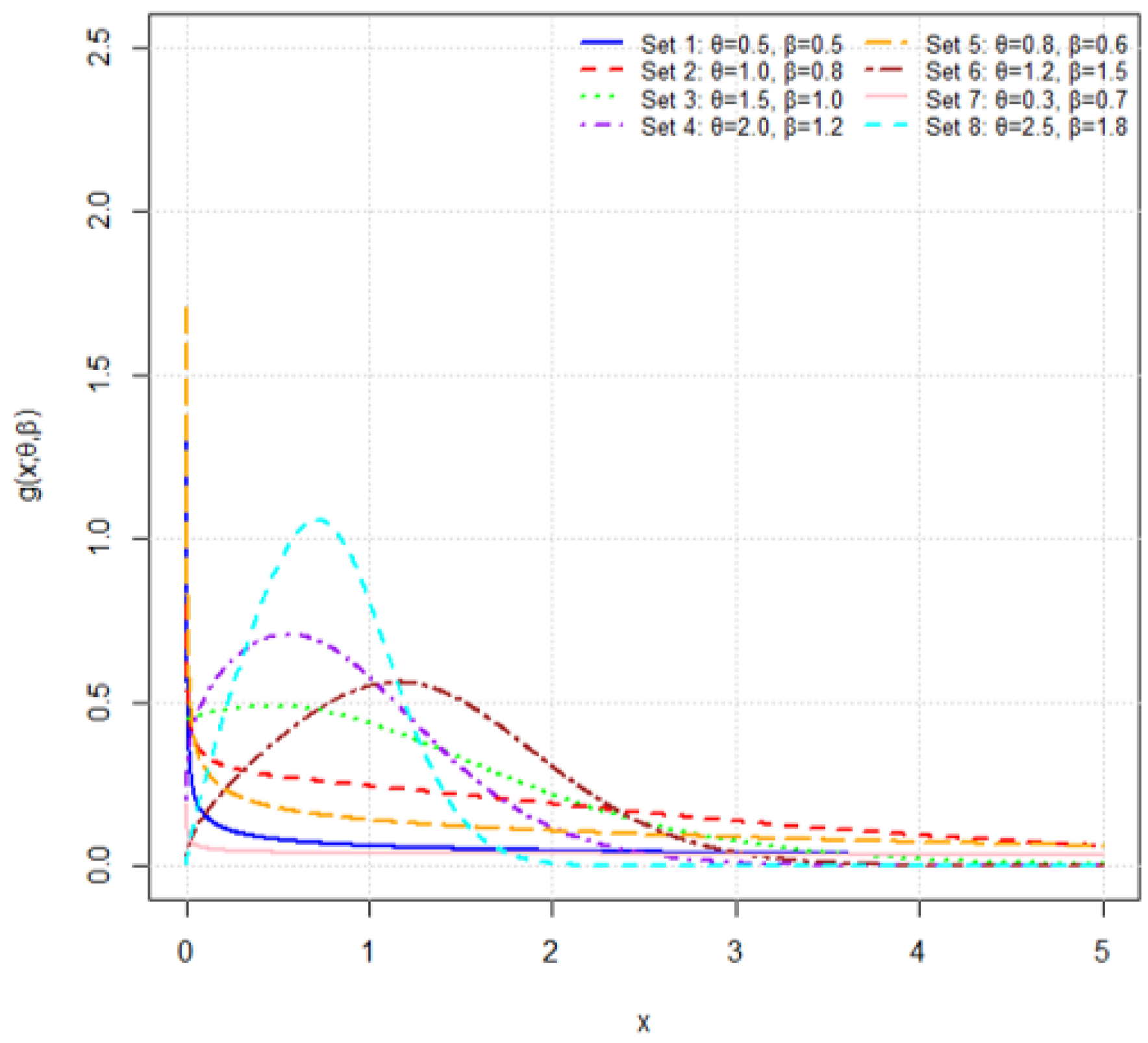
Figure 1 and Figure 2 illustrate the CDF and PDF of the THLGPL model under different parameter settings. The CDF curves show that increasing either θ or β accelerates the cumulative growth, indicating a faster accumulation of probability mass and shorter expected lifetimes. Meanwhile, the PDF plots reveal a wide range of shapes from sharply right-skewed to nearly symmetric, demonstrating the flexibility of THLGPL in capturing diverse data behaviors. This joint behavior confirms that θ mainly governs the rate and concentration, while β controls the tail heaviness, allowing the model to represent both light- and heavy-tailed lifetime patterns effectively.
Figure 1. CDF G ( x ; θ , β ) of the THLGPL distribution for various parameter combinations. The curves demonstrate how ( θ , β ) jointly influence the distribution’s growth pattern and tail characteristics.
Figure 2. Plots of the PDF g ( x ; θ , β ) for several parameter combinations. The figure illustrates how different values of θ and β affect the peak, spread, and tail behavior of the density.
Figure 3 presents the three-dimensional surface plots of the THLGPL probability density function (PDF) for selected fixed values of β . As β increases, the overall curvature of the surface changes significantly lowers β values (e.g., β = 0.9 ) and produces wider and flatter peaks, indicating heavy tails and a more dispersed distribution, while larger β values (e.g., β = 4.7 ) result in sharply peaked and concentrated surfaces that capture lighter tails. This visualization highlights the strong sensitivity of the THLGPL model to variations in β , demonstrating its capability to represent both heavy- and light-tailed phenomena under the same parameter structure. The surfaces also confirm the flexibility of the model in accommodating diverse hazard shapes, which later manifests in the empirical and simulation analyses.
Figure 3. Three-dimensional PDF surfaces of the THLGPL distribution for various fixed values of β . Each panel illustrates how the probability density changes with respect to θ and x, showing distinct curvature and tail behavior as β increases.
Figure 4 presents the contour plots of THLGPL PDF for smaller fixed values of β , illustrating the gradual changes in the joint density surface with respect to θ and x. It also displays additional contour plots for larger β values, where the density becomes more concentrated around the modal region, indicating sharper peaks and lower dispersion. As β increases, the contours tighten around the mode, reflecting higher peakedness and reduced variability, thereby confirming the sensitivity of the distribution’s shape to changes in β . For smaller β values (e.g., β = 0.9 ), the contours are wider and exhibit heavier tails, corresponding to greater variability and a flatter density profile. Conversely, at larger β values (e.g., β = 4.7 ), the density becomes sharply peaked and more localized, revealing a stronger sensitivity of the model to variations in θ . These observations confirm that THLGPL distribution can flexibly adapt to different tail behaviors and skewness patterns through simple variations in β , while maintaining analytical tractability.
Figure 4. Contour plots of the THLGPL PDF for several fixed values of β . The contour lines illustrate how the joint behavior of θ and x affects the shape and concentration of the density.

2.1. Survival Function and Hazard Rate Function

The survival, S ( x ) , and hrf of THLGPL are expressed as
S ( x ) = 1 1 1 + θ x β θ + 1 exp θ x β 1 + 1 + θ x β θ + 1 exp θ x β , x > 0 , β > 0 , θ > 0 ,
and
h r f ( x ) = 2 θ 2 β 1 + x β θ + 1 x β 1 exp θ x β 2 1 + θ x β θ + 1 exp θ x β 1 + 1 + θ x β θ + 1 exp θ x β , x > 0 , β > 0 , θ > 0 .
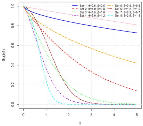
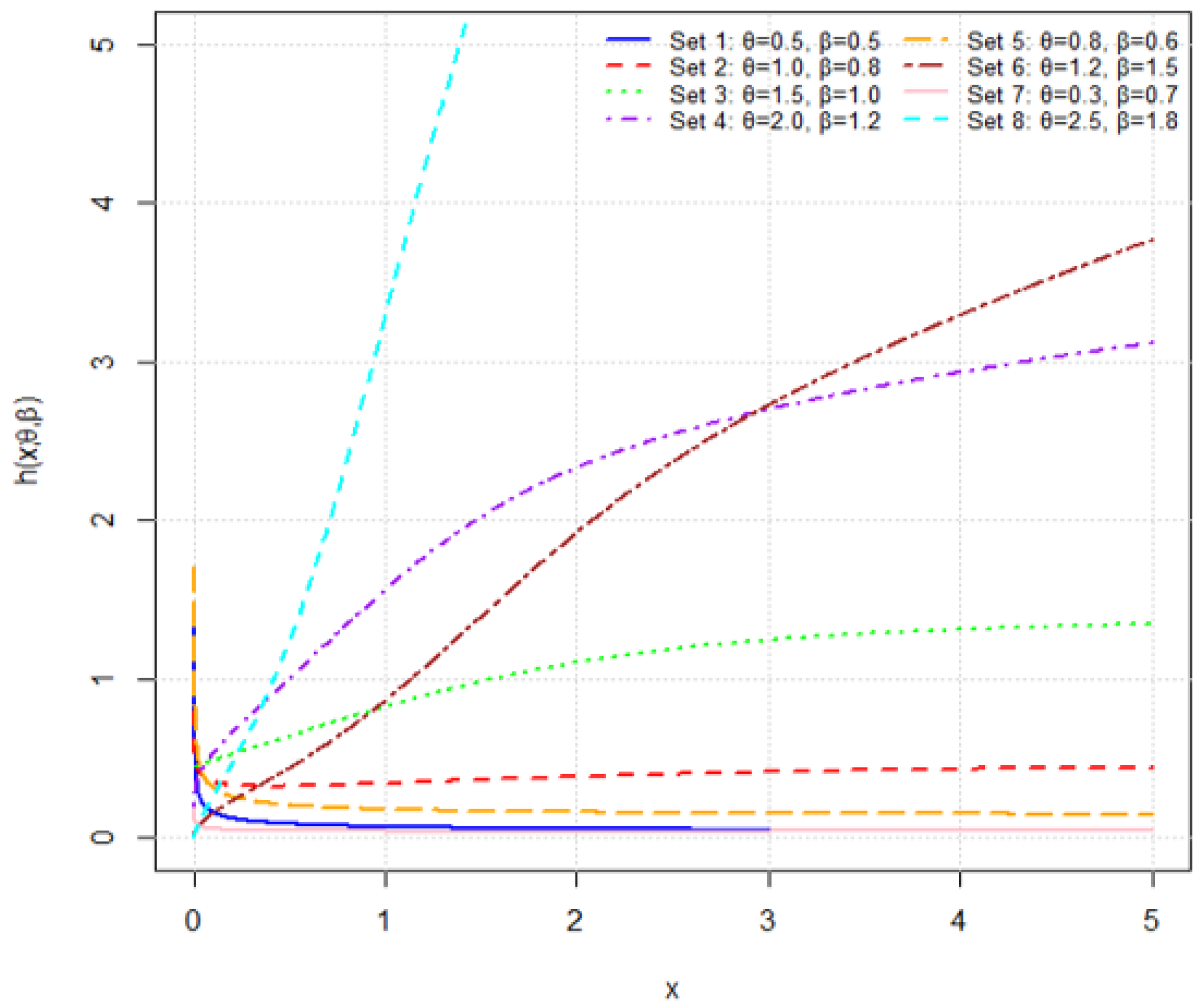
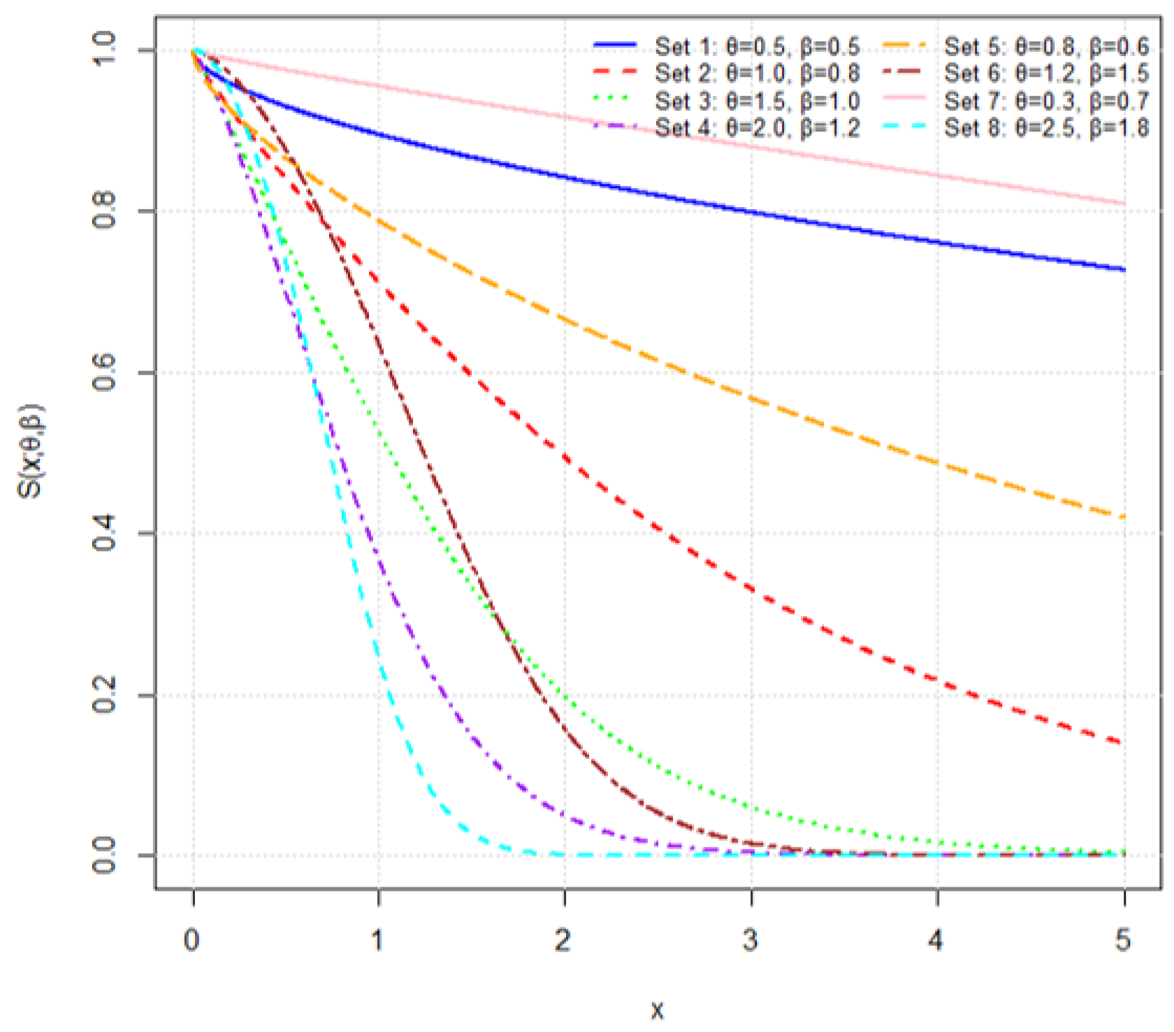
Figure 5 and Figure 6 demonstrate that THLGPL distribution provides highly flexible lifetime behavior. The survival curves behave as expected, starting at 1 and decreasing smoothly to 0, while the hazard functions adapt to different reliability patterns. By varying ( θ , β ) , the model can reproduce increasing, decreasing, constant, and bathtub-shaped hazard behaviors, capturing both early-life and wear out failure phases. This confirms that the proposed THLGPL model is highly versatile and well suited for reliability and survival data modeling across diverse real-world scenarios.
Figure 5. Plots of the survival function S ( x ; θ , β ) for various parameter combinations.
Figure 6. Plots of the hazard rate function h ( x ; θ , β ) for various parameter combinations.

2.2. Mathematical Mixture Representation

The PDF of THLGPL distribution is given as
g ( x ; θ , β ) = 2 θ 2 β ( 1 + x β ) θ + 1 x β 1 exp ( θ x β ) 1 + 1 + θ x β θ + 1 exp ( θ x β ) 2 , x > 0 , θ > 0 , β > 0 .
To expand this PDF into a power series, we focus on the denominator, which contains the square of a composite exponential expression. Let us define
z ( x ) = 1 + θ x β θ + 1 e θ x β ,
so the denominator becomes 1 + z ( x ) 2 , then,
1 ( 1 + z ) 2 = k = 0 ( 1 ) k ( k + 1 ) z k , valid for | z | < 1 .
More generally, for a positive integer n,
( 1 + z ) n = k = 0 ( 1 ) k n + k 1 k z k , | z | < 1 .
With z ( x ) = 1 + θ x β θ + 1 e θ x β and θ , β > 0 , we have 0 < z ( x ) < 1 for all x > 0 ; hence, by the binomial series condition | z | < 1 ,
1 ( 1 + z ( x ) ) 2 = k = 0 ( 1 ) k ( k + 1 ) [ z ( x ) ] k .
Substituting into the density and simplifying the exponentials gives
g ( x ; θ , β ) = 2 θ 2 β θ + 1 ( 1 + x β ) x β 1 k = 0 ( 1 ) k ( k + 1 ) 1 + θ x β θ + 1 k e ( k + 1 ) θ x β .

2.3. Identifiability

Let G ( x ; θ , β ) be the CDF of THLGPL distribution given by
G ( x ; θ , β ) = 1 1 + θ x β θ + 1 exp ( θ x β ) 1 + 1 + θ x β θ + 1 exp ( θ x β ) , x > 0 , θ > 0 , β > 0 .
Then, THLGPL distribution is identifiable. That is, if
G ( x ; θ 1 , β 1 ) = G ( x ; θ 2 , β 2 ) , x > 0 ,
then it follows that θ 1 = θ 2 and β 1 = β 2 . Assume for contradiction that θ 1 θ 2 or β 1 β 2 , but that
G ( x ; θ 1 , β 1 ) = G ( x ; θ 2 , β 2 ) for all x > 0 .
Then we have
1 1 + θ 1 x β 1 θ 1 + 1 e θ 1 x β 1 1 + 1 + θ 1 x β 1 θ 1 + 1 e θ 1 x β 1 = 1 1 + θ 2 x β 2 θ 2 + 1 e θ 2 x β 2 1 + 1 + θ 2 x β 2 θ 2 + 1 e θ 2 x β 2 .
Cross-multiplying and simplifying both sides yield equality of the expressions:
1 + θ 1 x β 1 θ 1 + 1 e θ 1 x β 1 = 1 + θ 2 x β 2 θ 2 + 1 e θ 2 x β 2 .
Since the right-hand side and left-hand side are analytic and strictly decreasing in x, this identity can only hold for all x > 0 if θ 1 = θ 2 and β 1 = β 2 . Therefore, the assumption leads to a contradiction. Hence, the distribution is identifiable.

2.4. Asymptotic Findings

Let us develop certain asymptotic findings by considering THLGPL distribution as base model. We obtain the following equivalences if x 0 + ; hence, we yield
lim x 0 + g ( x ; θ , β ) = + if β < 1 θ 2 2 ( θ + 1 ) if β = 1 0 if β > 1 .
Similarly x 0 + , we have
lim x 0 + h r f g ( x ; θ , β ) = + if β < 1 2 θ 2 ( θ + 1 ) if β = 1 0 if β > 1 .
Now, x ,
lim x g ( x ; θ , β ) = 0
and
lim x h r f g ( x ; θ , β ) =
for all β > 0 .

2.5. Quantile Function

A Lambert-type equation is any equation that can be reduced to the canonical form y e y = z , whose solution is y = W ( z ) , where W is the multi-branch Lambert W function (product logarithm). The real branches are W 0 (principal) and W 1 on [ e 1 , 0 ) .
Let X THLGPL ( θ , β ) with θ > 0 and β > 0 , and let u ( 0 , 1 ) . From the CDF in (8), write
u = 1 A 1 + A , A = 1 u 1 + u ,
where
A = 1 + θ x β θ + 1 e θ x β .
Let y = x β , a = θ θ + 1 , and b = θ . Then,
( 1 + a y ) e b y = c , c = 1 u 1 + u ( 0 , 1 ) .
Set t = 1 + a y (so that y = ( t 1 ) / a ). Then, t e ( b / a ) t = c e b / a b a t e ( b / a ) t = b a c e b / a . Using W, b a t = W b a c e b / a t = a b W b a c e b / a , y = t 1 a . Hence, x = y 1 / β = 1 b W b a c e b / a 1 a 1 / β . Substituting a = θ θ + 1 , b = θ and c = 1 u 1 + u gives the quantile
Q ( u ) = 1 θ W ( θ + 1 ) ( 1 u ) ( 1 + u ) e ( θ + 1 ) 1 θ 1 1 / β , 0 < u < 1 , θ > 0 , β > 0 .
For u ( 0 , 1 ) , the argument of W in (6) lies in ( e 1 , 0 ) , so real solutions exist on W 0 and W 1 . The choice W 1 ensures y = x β 0 for all u ( 0 , 1 ) and yields a monotone quantile on ( 0 , 1 ) . We therefore use W 1 :
Q ( u ) = 1 θ W 1 ( θ + 1 ) ( 1 u ) ( 1 + u ) e ( θ + 1 ) 1 θ 1 1 / β .
The real-valued condition is the standard constraint for Lambert W: the argument of W must satisfy e 1 ; here, it always satisfies for u [ 0 , 1 ] and θ > 0 .
At u = 0.5 , M = Q ( 0.5 ) = 1 θ W 1 θ + 1 3 e ( θ + 1 ) 1 θ 1 1 / β . On the other hand, the random variable X’s 25th and 75th percentiles are determined as
Q 1 = 1 θ W 1 0.25 θ + 1 1.25 exp θ + 1 1 θ 1 1 / β , θ , β > 0 ,
Q 3 = 1 θ W 1 0.75 θ + 1 1.75 exp θ + 1 1 θ 1 1 / β , θ , β > 0 .
The quantile function yields the Bowley’s skewness as
S k = Q 0.75 2 Q 0.50 + Q 0.25 Q 0.75 Q 0.25
The kurtosis of the Moor is represented as
M k = Q 0.875 Q 0.625 Q 0.375 + Q 0.125 Q 0.75 Q 0.25
Table 2 presents the numerical results of the median, quartiles, skewness ( S k ), and kurtosis measure ( M k ) for different parameter settings. The findings reveal that the median and quartiles change systematically with the parameters, underscoring the flexibility of the model. Larger values of β generally yield higher medians and wider interquartile ranges, indicating heavier tails. The skewness values ( S k ) remain close to zero but include both positive and negative signs, confirming that the distribution can accommodate both left- and right-skewed data. Furthermore, the kurtosis measure ( M k ) consistently exceeds 1, emphasizing leptokurtic behavior, particularly for small β values. Overall, these results demonstrate that THLGPL distribution is sufficiently flexible to capture symmetric, skewed, and heavy-tailed data under various parameter combinations.
Table 2. Results of some numerical values of median, Q 1 , Q 3 , S k , and M k .
Table 2. Results of some numerical values of median, Q 1 , Q 3 , S k , and M k .
θ β Median Q 1 Q 3 S k M k
θ = 1.2 2.01.1765450.83233191.516182−0.0066912121.44417
0.32.956110.294268616.032780.66174172.364561
1.51.2420610.78297661.7418140.04241411.397759
3.81.0893370.90793991.244894−0.076688781.539889
θ = 2.5 2.00.76001080.52576140.99637160.0044865871.426275
0.30.1605140.01375640.97604660.69498262.566946
1.50.69357730.42431930.99516350.056632351.38162
3.80.8655110.7129240.9980984−0.070131281.521911
θ = 3.5 2.00.62409630.42919650.82268190.0093669191.421259
0.30.04315400.00358600.27220540.7053972.648843
1.50.53333710.32374660.7708760.062506391.37769
3.80.78025580.64070540.9023475−0.066727761.516176
θ = 4.7 2.00.52688040.36113660.69688370.012686591.418804
0.30.01398420.00114550.09005500.71119652.706332
1.50.42554830.25720230.61787930.066499931.376309
3.80.71372880.58506670.8269075−0.064023331.512826
θ = 5.2 2.00.49754580.3407610.65870490.013758061.418263
0.30.00952890.00075490.06181790.71262552.722807
1.50.3942570.23797780.57313650.067432021.375693
3.80.69254140.56739550.8027393−0.063515521.511623
Figure 7 visualizes these trends: median and IQR vary monotonically with ( θ , β ) , S k captures the transition from right-skewed to near-symmetric/left-skewed regimes, and M k corroborates tail attenuation for larger ( θ , β ) .
Figure 7. Plots of the median, Q 1 , Q 3 , Bowley’s skewness S k , and kurtosis M k across selected ( θ , β ) .

3. Statistical Properties

3.1. Moments

Let X be a random variable following THLGPL distribution with parameters θ and β , where β > 0 is the shape parameter, and θ > 0 is the scale parameter. Then, the nth moment about the origin of X, denoted by E [ X n ] , is given by
E [ X n ] = 0 x n g ( x ; θ , β ) d x ,
where g ( x ; θ , β ) is the PDF. Substituting the PDF into the definition of the nth moment yields
E [ X n ] = 0 x n · 2 θ 2 β θ + 1 · ( 1 + x β ) x β 1 e θ x β 1 + 1 + θ x β θ + 1 e θ x β 2 d x .
Simplifying the integrand,
E [ X n ] = 2 θ 2 β θ + 1 0 x n + β 1 ( 1 + x β ) e θ x β 1 + 1 + θ x β θ + 1 e θ x β 2 d x .
Now, let t = x β , so that x = t 1 / β and d x = 1 β t 1 β 1 d t . Then, we have
x n + β 1 = t n + β 1 β , 1 + x β = 1 + t , e θ x β = e θ t .
Substituting into the integral,
E [ X n ] = 2 θ 2 θ + 1 0 ( 1 + t ) t n / β e θ t 1 + 1 + θ t θ + 1 e θ t 2 d t .
This integral does not generally yield a closed-form solution. However, using the series expansion identity,
1 ( 1 + B ) 2 = k = 0 ( 1 ) k ( k + 1 ) B k ,
with B = 1 + θ t θ + 1 e θ t , we can express the moment as an infinite series involving Gamma functions:
E [ X n ] = 2 θ 2 θ + 1 k = 0 ( 1 ) k ( k + 1 ) j = 0 k + 1 k j 1 θ θ + 1 j 1 Γ j + n β + 1 θ ( k + 1 ) j + n β + 1 .
Table 3 presents the numerical values of the mean, variance, raw moments ( E [ X r ] ), skewness, and kurtosis of THLGPL distribution under different parameter settings. The results indicate that both θ and β have a strong impact on the mean and variance. Higher-order moments ( E [ X 3 ] , E [ X 4 ] ) increase rapidly for certain parameter combinations, suggesting the presence of heavier tails. The skewness values range from negative to highly positive, confirming the ability of the distribution to capture both left- and right-skewed data. Similarly, the kurtosis values vary from moderate levels close to normality ( 3) to extremely high levels (above 40), demonstrating that THLGPL distribution is capable of modeling both light-tailed and heavy-tailed behaviors. Overall, these findings emphasize the flexibility of THLGPL distribution in representing symmetric, skewed, and heavy-tailed data across a wide range of parameter choices.
Table 3. Moments of the THLGPL distribution for selected parameter values.
Table 3. Moments of the THLGPL distribution for selected parameter values.
Statistic θ = 3.1 , β = 4.5 θ = 1.4 , β = 2.3 θ = 3.6 , β = 0.5 θ = 0.8 , β = 1.8
Mean0.8189981.0581470.3609001.584376
Second Moment0.7022861.2748500.5026962.991582
Variance0.0315280.1551740.3724470.481336
Third Moment0.6241231.6796391.4978266.353362
Fourth Moment0.5711182.3714777.79122014.775537
Skewness−0.4806240.0370864.60877843.043885
Kurtosis3.1499952.7302620.2645312.869114
The behavior of the first four moments of THLGPL distribution with varying parameters ( θ , β ) is illustrated in Figure 8.
Figure 8. Plots of the first four moments ( μ , σ 2 , skewness, kurtosis) of the THLGPL distribution for selected parameter combinations ( θ , β ) . The figure illustrates how central tendency, dispersion, and shape characteristics vary with changes in θ and β .

3.2. Rényi Entropy

Rényi entropy of order α > 0 , α 1 , for a continuous random variable X with density f is defined as [].
H α ( X ) = 1 1 α log 0 f ( x ) α d x , which tends to Shannon entropy as α 1 .
For THLGPL density
f ( x ; θ , β ) = 2 θ 2 β x β 1 ( 1 + x β ) e θ x β / ( θ + 1 ) 1 + 1 + θ x β θ + 1 e θ x β 2 , x > 0 , θ > 0 , β > 0 ,
the Rényi entropy is
H α ( X ) = 1 1 α log 0 2 θ 2 β θ + 1 α ( 1 + x β ) α x α ( β 1 ) e α θ x β 1 + 1 + θ x β θ + 1 e θ x β 2 α d x .
With the change in variables u = θ x β (so x = ( u / θ ) 1 / β ), one obtains the numerically stable form
H α ( X ) = 1 1 α log 2 θ 2 β θ + 1 α 1 β θ 0 ( 1 + u / θ ) α ( u / θ ) α 1 e α u 1 + 1 + u θ + 1 e u 2 α d u ,
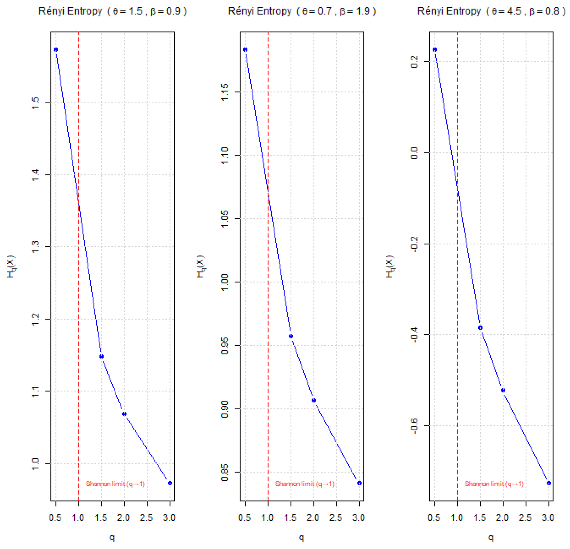
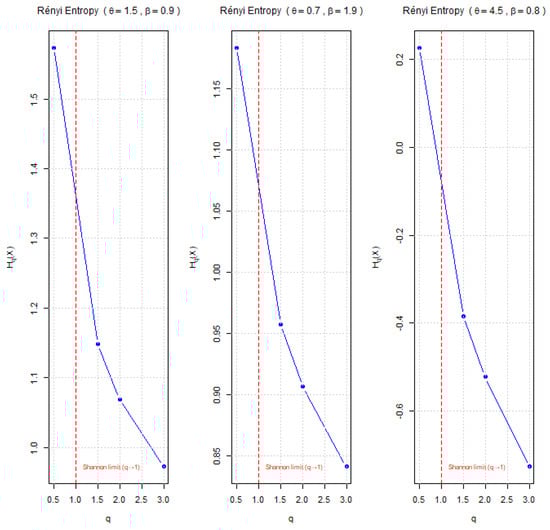
which we evaluate numerically for given ( θ , β , α ) . Rényi entropy generalizes Shannon’s measure and provides a tunable lens on concentration/tail behavior: small α emphasizes support breadth, large α stresses high-density regions. In reliability and survival, H α aids (i) comparing lifetime models’ uncertainty and tail-heaviness, (ii) entropy-based goodness-of-fit and model selection, (iii) robust inference (via α > 1 ) and anomaly/threshold detection, and (iv) information-theoretic ranking of competing parametric families. These uses complement moment/quantile summaries and highlight how HLGPLs ( θ , β ) control uncertainty and tail weight. Table 4 indicates that the Rényi entropy of THLGPL distribution decreases as the order q increases, reflecting lower uncertainty and greater concentration around the mode. Moreover, higher values of θ and smaller values of β yield smaller or even negative entropy, implying more peaked and less dispersed distributions.
Table 4. Rényi entropy values H q ( X ) of THLGPL distribution for selected parameter combinations ( θ , β ) .
Table 4. Rényi entropy values H q ( X ) of THLGPL distribution for selected parameter combinations ( θ , β ) .
q θ = 1.5 , β = 0.9 θ = 0.7 , β = 1.9 θ = 4.5 , β = 0.8
0.51.57328031.18335790.2265765
1.51.14835380.9577676−0.3852903
2.01.06842240.9065788−0.5226664
3.00.97208580.8413029−0.7275067
Figure 9 illustrates the Rényi entropy H q ( X ) of THLGPL distribution for three representative parameter combinations ( θ , β ) . Across all parameter configurations, the Rényi entropy decreases monotonically as the order q increases, which aligns with the fundamental property of Rényi entropy where higher q values emphasize regions of higher probability and consequently reduce overall uncertainty. The vertical red dashed line at q = 1 represents the Shannon entropy limit. For moderate parameter values ( θ = 1.5 , β = 0.9 ) , the entropy remains relatively high, indicating a more dispersed and less predictable distribution. When θ is smaller and β is larger ( 0.7 , 1.9 ) , the entropy slightly decreases, reflecting a moderate concentration of probability mass. Conversely, for larger θ and smaller β ( 4.5 , 0.8 ) , the entropy values become significantly lower or even negative, suggesting a highly concentrated and less uncertain structure. Overall, these results confirm that θ primarily controls the concentration, while β influences the tail heaviness, jointly determining the information uncertainty of THLGPL model.
Figure 9. Plots of the Rényi entropy H q ( X ) for the THLGPL distribution under different parameter combinations ( θ , β ) . The vertical red dashed line denotes the Shannon entropy limit at q = 1 .

3.3. Order Statistics

THLGPL model’s order statistics are defined as follows: the kth order statistic of a sample refers to its kth smallest value. For a sample of size n, the nth order statistic, also known as the largest order statistic, is the maximum value: X n = max X 1 , , X n . The sample range is the difference between the maximum and minimum values. It is calculated using the order statistics: r a n g e X 1 , , X n = X ( n ) X ( 1 ) . We know that if X ( 1 ) X ( 2 ) X ( n ) denotes the order statistic of a random sample X 1 , , X n from a continuous population with CDF F X ( x ) and PDF f X ( x ) , then PDF of X ( j ) is given by
f X ( j ) ( x ) = n ! ( j 1 ) ! ( n j ) ! f X ( x ) ( F ( x ) ) j 1 ( 1 F X ( x ) ) n j
for j = 1, … , n. The PDF of the jth order statistic for a THLGPL distribution is given by
f X ( j ) ( x ) = n ! ( j 1 ) ! ( n j ) ! · 2 θ 2 β ( 1 + x β ) x β 1 exp ( θ x β ) / ( θ + 1 ) 1 + 1 + θ x β θ + 1 exp ( θ x β ) 2 · 1 1 + θ x β θ + 1 exp ( θ x β ) 1 + 1 + θ x β θ + 1 exp ( θ x β ) j 1 · 1 1 1 + θ x β θ + 1 exp ( θ x β ) 1 + 1 + θ x β θ + 1 exp ( θ x β ) n j .
Hence, the PDF of the largest order statistic X ( n ) is
f X ( n ) ( x ) = n 2 θ 2 β 1 + x β θ + 1 x β 1 exp θ x β 1 + 1 + θ x β θ + 1 exp θ x β 2 1 1 + θ x β θ + 1 exp θ x β 1 + 1 + θ x β θ + 1 exp θ x β n 1 ,
and the PDF of the smallest order statistic X ( 1 ) is
f X ( 1 ) ( x ) = n 2 θ 2 β 1 + x β θ + 1 x β 1 exp θ x β 1 + 1 + θ x β θ + 1 exp θ x β 2 1 1 1 + θ x β θ + 1 exp θ x β 1 + 1 + θ x β θ + 1 exp θ x β n 1 .

3.4. Maximum Likelihood Estimation and Regularity Conditions

For a sample x 1 , , x n from THLGPL ( θ , β ) , the log-likelihood is
( θ , β ) = i = 1 n log g ( x i ; θ , β ) ,
which, after substituting the PDF, can be written as
( θ , β ) = i = 1 n ln 2 + 2 ln θ + ln β ln ( θ + 1 ) + ln 1 + x i β + ( β 1 ) ln x i θ x i β 2 i = 1 n ln 1 + 1 + θ x i β θ + 1 e θ x i β .
The MLEs ( θ ^ , β ^ ) solve the score equations / θ = 0 and / β = 0 , which are nonlinear and are obtained numerically using suitable starting values. We state standard conditions under which MLEs are consistent and asymptotically normal; these hold for THLGPL:
(A1) 
Θ = { ( θ , β ) : θ > 0 , β > 0 } is open in R 2 .
(A2) 
If G ( x ; θ 1 , β 1 ) = G ( x ; θ 2 , β 2 ) for all x > 0 , then ( θ 1 , β 1 ) = ( θ 2 , β 2 ) (shown in the Identifiability subsection).
(A3) 
g ( x ; θ , β ) is twice continuously differentiable in ( θ , β ) for all x > 0 ; hence, ( θ , β ) admits continuous first/second derivatives.
(A4) 
There exists an integrable envelope M ( x ) s.t. for ( θ , β ) in compact subsets of Θ , r log g ( x ; θ , β ) / η r M ( x ) for r = 1 , 2 and η { θ , β } , allowing interchange of differentiation and integration.
(A5) 
The (expected) information matrix
I ( θ , β ) = E 2 ( θ , β ) ( θ , β ) ( θ , β )
exists, is finite, and is positive definite for all ( θ , β ) Θ .
(A6) 
The true parameter ( θ 0 , β 0 ) uniquely maximizes the expected log-likelihood E { ( θ , β ) / n } .
Conditions (A1)–(A6) are satisfied because THLGPL density is positive and smooth on ( 0 , ) , has exponentially decaying tails governed by θ x β , and the normalizing denominator in (9) is strictly positive and smooth. Identifiability is established earlier. Under (A1)–(A6) and standard regularity theory (Cramér–Wald), the MLE is consistent and
n θ ^ θ 0 β ^ β 0 d N 2 0 , I ( θ 0 , β 0 ) 1 .
In practice, the observed information matrix evaluated at the MLEs is given by
I ^ ( θ ^ , β ^ ) : = 2 ( θ , β ) ( θ , β ) ( θ , β ) | ( θ , β ) = ( θ ^ , β ^ )
and approximate Var ( θ ^ , β ^ ) I ^ ( θ ^ , β ^ ) 1 / n for standard errors and Wald intervals. We solve the score equations from (9) by Newton–Raphson (or BFGS) on the log-scale reparameterization ( a , b ) = ( log θ , log β ) to improve stability; gradients/Hessian follow by chain rule. Convergence is declared when relative changes in parameters and log-likelihood fall below a fixed tolerance.

4. Bayesian Estimation via Markov Chain Monte Carlo Methods

Although the MLE approach is widely used, closed-form estimators are rarely obtainable for complex lifetime models, and its performance may deteriorate in small samples. Bayesian inference provides a principled alternative by combining prior information with the likelihood function and producing full posterior distributions of the parameters. For the present model, whose density involves nonlinear mixtures of exponential and polynomial terms, simulation-based Bayesian estimators obtained through MCMC methods are particularly convenient and effective.
In this study, the Bayesian estimators are derived under the squared error loss function (SELF), which is the most commonly adopted symmetric loss criterion. Under SELF, the Bayes estimator corresponds to the posterior mean of each parameter, minimizing the expected squared deviation from the true value, that is, the posterior risk. This criterion implicitly captures the Bayesian mean squared error (BMSE), as the posterior variance quantifies the estimator’s uncertainty. The choice of SELF is justified by its mathematical simplicity, unbiasedness under symmetric loss, and its extensive use in reliability and survival modeling literature.

4.1. Likelihood Function

Let X 1 , , X n be i.i.d. from the proposed distribution with CDF
G ( x ; θ , β ) = 1 A ( x ; θ , β ) 1 + A ( x ; θ , β ) , A ( x ; θ , β ) = 1 + θ x β θ + 1 exp ( θ x β ) ,
and PDF g ( x ; θ , β ) , where θ > 0 and β > 0 . The log-likelihood is given by
( θ , β x ) = i = 1 n log g ( x i ; θ , β ) .
To encode positivity and flexibility, we adopt independent Gamma priors
θ Gamma ( k θ , λ θ ) , β Gamma ( k β , λ β ) ,
where k · and λ · are shape and rate hyperparameters, respectively. The joint log-prior is
log π ( θ , β ) ( k θ 1 ) log θ λ θ θ + ( k β 1 ) log β λ β β .
By Bayes’ theorem,
π ( θ , β x ) L ( θ , β x ) π ( θ , β ) ,
which does not admit a closed form; hence, we resort to MCMC. To improve numerical stability, set a = log θ and b = log β . The Jacobian of the transformation is exp ( a + b ) , yielding the log-posterior on ( a , b ) :
log π ˜ ( a , b x ) = e a , e b x + ( k θ 1 ) a λ θ e a + ( k β 1 ) b λ β e b + ( a + b ) + C ,
where C is a constant not depending on ( a , b ) .

4.2. Markov Chain Monte Carlo Algorithm

We sample from the posterior using a random-walk Metropolis–Hastings (RW–MH) scheme on ( a , b ) .
We choose ( a ( 0 ) , b ( 0 ) ) , e.g., the logarithms of the MLEs.
a N a ( m 1 ) , σ a 2 , b N b ( m 1 ) , σ b 2 .
For a,
α ( a a ) = min 1 , π ˜ a , b ( m 1 ) x π ˜ a ( m 1 ) , b ( m 1 ) x ,
accept with probability α ; otherwise keep a ( m ) = a ( m 1 ) . Update b analogously. Iterate for M steps; discard the first B as burn-in and thin if desired. Adjust σ a 2 and σ b 2 to target an acceptance rate in the range 20– 40 % .
From retained draws { ( θ ( m ) , β ( m ) ) } m = 1 S with θ ( m ) = e a ( m ) , β ( m ) = e b ( m ) , compute Bayes point estimates as posterior means:
θ ^ = 1 S m = 1 S θ ( m ) , β ^ = 1 S m = 1 S β ( m ) .
Uncertainty is summarized via equal-tailed 95 % credible intervals using empirical quantiles:
CrI 95 % ( θ ) = θ ( 0.025 ) , θ ( 0.975 ) , CrI 95 % ( β ) = β ( 0.025 ) , β ( 0.975 ) .
For simulation studies, performance can be assessed with the bias and MSE:
Bias ( ψ ^ ) = E ( ψ ^ ) ψ 0 , MSE ( ψ ^ ) = E ( ψ ^ ψ 0 ) 2 , ψ { θ , β } .
Under mild regularity conditions, the RW–MH chain is ergodic and converges to the target posterior. Convergence is typically examined using trace plots, autocorrelations, effective sample sizes, and the Gelman–Rubin statistic R ^ . As n , the posterior is asymptotically normal (Bernstein–von Mises), centered at the MLE with covariance approximated by the inverse Fisher information.

5. Simulation Studies

In this section, we evaluate the finite sample performance of the THLGPL class via Monte Carlo experiments implemented in R version 4.3.1 []. Performance is summarized using
AE = 1 N rep Δ ^ i , Bias = 1 N rep ( Δ ^ i Δ ) , RMSE = 1 N rep ( Δ ^ i Δ ) 2 .
Monte Carlo simulations were conducted to assess the finite-sample performance of the proposed two-parameter THLGPL distribution under three parameter settings, ( θ , β ) = ( 1.5 , 0.9 ) , ( 0.7 , 1.9 ) , and ( 4.5 , 0.8 ) , with sample sizes n = 100 , 200 , 300 , 400 . Parameters were estimated using both MLE and Bayesian inference via the random-walk Metropolis–Hastings (RW–MH) algorithm. Estimator performance was evaluated in terms of bias, MSE, RMSE, and interval lengths. Simulation results (Table 5, Table 6, Table 7, Table 8, Table 9 and Table 10) show that bias and MSE decrease and interval lengths contract as n increases, confirming consistency and asymptotic efficiency. MLE provides accurate and efficient estimates for large samples, while Bayesian estimation yields slightly wider but smoother credible intervals and better stability for small samples. Graphical analyses of mean estimates, RMSE trends, and MCMC diagnostics further verify convergence, precision, and reliable posterior behavior under both inference methods.
For the first parameter case ( θ , β ) = ( 1.5 , 0.9 ) , both estimation techniques demonstrate remarkable consistency and precision. The MLE results indicate that bias and RMSE values decrease as the sample size increases, with average 95% confidence interval lengths shrinking considerably, confirming the asymptotic efficiency of the estimator. Similarly, the Bayesian posterior means converge smoothly to the true parameters, with slightly wider credible intervals reflecting conservative uncertainty quantification. The figures further emphasize these findings: mean estimates from both methods approach the true values, interval widths contract with increasing n, and RMSE values decline monotonically. The trace and posterior plots exhibit excellent MCMC convergence, unimodal posteriors, and stable chain mixing, ensuring that the Bayesian inference procedure is both numerically stable and statistically reliable.
In the second parameter setting ( θ , β ) = ( 0.7 , 1.9 ) , the estimators continue to perform robustly even under smaller θ and larger β values. The MLE results show low bias and progressively decreasing RMSE as the sample size grows, while the Bayesian approach maintains nearly unbiased posterior means and slightly wider yet smoother credible intervals. Both estimation techniques converge toward the true parameter values, and the contraction of confidence and credible intervals with sample size indicates improved precision. The RMSE trends confirm consistent improvement in estimator performance. Moreover, the MCMC diagnostics display excellent mixing and rapid convergence without long-range drift, with unimodal and well-centered posterior densities that validate the efficiency and stability of the Bayesian sampling scheme.
For the third case ( θ , β ) = ( 4.5 , 0.8 ) , both methods preserve numerical stability even under large θ values. The MLE remains efficient, showing small bias and declining RMSE as n increases. The Bayesian estimates exhibit similar accuracy, with posterior means aligning closely with true parameters and credible intervals narrowing with additional data. The reduction in both bias and RMSE across sample sizes reaffirms the robustness and consistency of both estimation frameworks. The corresponding figures demonstrate that mean estimates from both approaches converge closely to true values, interval lengths shorten systematically, and RMSE declines steadily. The MCMC trace plots reveal well-mixed chains with no visible autocorrelation, while the posterior distributions are sharply peaked around the true parameter values, indicating high precision and strong posterior concentration. Overall, the results across all parameter configurations demonstrate that both MLE and Bayesian estimators are consistent, asymptotically unbiased, and efficient. The RMSE and interval lengths decrease monotonically as the sample size grows, reflecting convergence toward the true model parameters. The Bayesian credible intervals are slightly wider but smoother, offering better uncertainty quantification, while the MLE provides computational simplicity and near-equivalent asymptotic efficiency. The MCMC diagnostics consistently confirm good mixing and unimodal posterior behavior, verifying the stability of the random-walk Metropolis–Hastings algorithm. Collectively, the findings highlight that THLGPL distribution can be estimated reliably under both frameworks, with the Bayesian method offering an additional layer of robustness in small-sample scenarios and MLE remaining a fast and accurate alternative for large-sample contexts.
Table 5. MLE results for θ = 1.5 , β = 0.9 .
Table 5. MLE results for θ = 1.5 , β = 0.9 .
nParameterEstimationBiasMSERMSELowerUpperLength
100 θ 1.50344090.0034408790.0039965010.063217881.26786351.73901830.4711548
β 0.90741390.0074138870.0036096700.060080530.76514451.04968330.2845388
200 θ 1.51460140.0146013990.0038020510.061660771.34793061.68127220.3333416
β 0.8926067−0.0073933100.0019700100.044384800.79348080.99173260.1982518
300 θ 1.4972167−0.0027833100.0017375140.041683501.36178851.63264490.2708564
β 0.91405370.0140536610.0015495160.039363890.83076620.99734120.1665750
400 θ 1.50713390.0071338600.0022406580.047335591.38935211.62491560.2355635
β 0.91429480.0142948320.0015214170.039005340.84258210.98600760.1434255
Table 6. Bayesian estimation results for θ = 1.5 , β = 0.9 .
Table 6. Bayesian estimation results for θ = 1.5 , β = 0.9 .
nParameterEstimationBiasMSERMSELowerUpperLength
100 θ 1.4995347−0.000465310.0215872690.146926071.27885101.73591340.4570624
β 0.92251140.0225114260.0099136630.099567380.79061911.06881570.2781966
200 θ 1.52149640.0214964400.0029716480.054512821.36285591.68041260.3175567
β 0.90964640.0096464470.0037070830.060885820.80885961.00971720.2008576
300 θ 1.51749830.0174983480.0041851440.064692691.39082631.65398190.2631556
β 0.8880047−0.0119952800.0025180230.050179910.80981310.97132450.1615115
400 θ 1.50073290.0007328690.0061205640.078234031.39244621.61299760.2205514
β 0.92140370.0214036950.0023892660.048880120.85563010.99205840.1364283
The performance of the maximum likelihood and Bayesian estimators for ( θ , β ) = ( 1.5 , 0.9 ) is summarized through Figure 10, Figure 11, Figure 12, Figure 13, Figure 14, Figure 15 and Figure 16. Figure 10 and Figure 11 present the mean estimates obtained via MLE and Bayesian inference, respectively, both showing strong convergence toward true parameter values as n increases. Figure 12 and Figure 13 compare the estimation accuracy and interval lengths between the two methods, indicating that Bayesian credible intervals are slightly wider but smoother, offering more conservative uncertainty quantification. Figure 14 and Figure 15 depict RMSE trends for θ and β , both decreasing monotonically with sample size, confirming estimator consistency. Finally, Figure 16 shows trace and posterior density plots that exhibit good chain mixing, stationarity, and unimodal symmetric posteriors, confirming the stability and convergence of the Bayesian estimation procedure.
Figure 10. Mean estimates of θ and β using MLE for ( θ , β ) = ( 1.5 , 0.9 ) .
Figure 11. Mean estimates of θ and β using Bayesian inference for ( θ , β ) = ( 1.5 , 0.9 ) .
Figure 12. Comparison of MLE and Bayesian mean estimates for ( θ , β ) = ( 1.5 , 0.9 ) .
Figure 13. Comparison of confidence and credible interval lengths for ( θ , β ) = ( 1.5 , 0.9 ) .
Figure 14. RMSE of θ estimates under MLE and Bayesian methods for ( θ , β ) = ( 1.5 , 0.9 ) .
Figure 15. RMSE of β estimates under MLE and Bayesian methods for ( θ , β ) = ( 1.5 , 0.9 ) .
Figure 16. Trace and posterior density plots for θ and β based on MCMC samples for ( θ , β ) = ( 1.5 , 0.9 ) . Dashed vertical lines represent posterior means and true parameter values used for simulation. Trace plots display good mixing and stationarity, while the posterior densities are unimodal and symmetric, confirming MCMC convergence and parameter stability.
Figure 17, Figure 18, Figure 19, Figure 20, Figure 21, Figure 22 and Figure 23 illustrate the Monte Carlo simulation results for the parameter setting ( θ , β ) = ( 0.7 , 1.9 ) . Figure 17 and Figure 18 display the mean estimates of θ and β obtained via MLE and Bayesian inference, respectively, both showing strong convergence toward the true parameter values as the sample size increases. Figure 19 and Figure 20 compare the mean estimates and interval lengths between the two methods, indicating that Bayesian credible intervals are slightly wider but smoother, providing better uncertainty quantification at small sample sizes. Figure 21 and Figure 22 present RMSE trends for θ and β , both declining monotonically with increasing n, confirming estimator consistency and asymptotic efficiency. Finally, Figure 23 shows the MCMC trace and posterior density plots, exhibiting good chain mixing, stationarity, and unimodal symmetric posteriors, which verify the convergence and stability of the Bayesian estimation process.
Table 7. MLE results for θ = 0.7 , β = 1.9 .
Table 7. MLE results for θ = 0.7 , β = 1.9 .
nParameterEstimationBiasMSERMSELowerUpperLength
100 θ 0.6991952−0.000804790.0032631470.057123960.53977960.85861080.3188312
β 1.91441030.014410340.0137395900.117216001.63611922.19270150.5565822
200 θ 0.71104640.011046390.0014488830.038064190.59735290.82473990.2273870
β 1.8853436−0.014656440.0078070030.088357241.69074522.07994200.3891968
300 θ 0.6920939−0.007906110.0010974500.033127780.60026240.78392540.1836630
β 1.92641680.026416760.0057910480.076098931.76370342.08913010.3254267
400 θ 0.6954933−0.004506730.0013507210.036752150.61597480.77501170.1590369
β 1.92884780.028847780.0059903860.077397591.78852812.06916750.2806394
Table 8. Bayesian estimation results for θ = 0.7 , β = 1.9 .
Table 8. Bayesian estimation results for θ = 0.7 , β = 1.9 .
nParameterBayes EstimationBiasMSERMSELowerUpperLength
100 θ 0.7004340.00043390.01123360.10598850.55660880.86723810.3106294
β 1.9305870.03058690.03290060.18138531.65517522.21356550.5583903
200 θ 0.7120130.01201300.00291060.05395000.60965190.82898260.2193307
β 1.9107120.01071240.01638570.12800681.72313422.10116500.3780308
300 θ 0.7191350.01913500.00301330.05489360.62988530.81020030.1803149
β 1.870239−0.02976090.01105560.10514571.72721512.03739660.3101815
400 θ 0.690289−0.00971100.00252790.05027840.61999300.76606180.1460689
β 1.9422230.04222260.00897340.09472791.81060382.07567200.2650682
Table 9. MLE results for θ = 4.5 , β = 0.8 .
Table 9. MLE results for θ = 4.5 , β = 0.8 .
nParameterEstimationBiasMSERMSELowerUpperLength
100 θ 4.55766220.0576622100.0460531480.214599973.79058705.32473741.5341503
β 0.80766880.0076687780.0032943240.057396200.67449610.94084140.2663453
200 θ 4.51095430.0109542560.1059864840.325555653.97592805.04598051.0700524
β 0.7927105−0.0072895000.0016571380.040707970.70036380.88505720.1846935
300 θ 4.57536880.0753688260.0400478800.200119664.12917335.02156430.8923910
β 0.81244300.0124430330.0013024700.036089750.73472830.89015780.1554295
400 θ 4.60971600.1097160080.0420734650.205118174.21904285.00038920.7813465
β 0.81317530.0131752550.0013168220.036288040.74615250.88019800.1340454
Table 10. Bayesian estimation results for θ = 4.5 , β = 0.8 .
Table 10. Bayesian estimation results for θ = 4.5 , β = 0.8 .
nParameterEstimationBiasMSERMSELowerUpperLength
100 θ 4.66547550.16547550.17727230.42103723.95035405.51227501.5619210
β 0.82897290.02897290.00878820.09374520.69982650.97350230.2736758
200 θ 4.64666340.14666340.12168940.34884004.09793355.21757681.1196433
β 0.81090560.01090560.00324600.05697400.71801010.91548630.1974761
300 θ 4.4951625−0.00483750.04249460.20614234.07571444.93213860.8564242
β 0.7924830−0.00751700.00206420.04543340.72024630.86907460.1488283
400 θ 4.63728640.13728640.07952120.28199504.27032785.05124430.7809165
β 0.82004980.02004980.00195240.04418550.75870610.88649040.1277843
Figure 17. Mean estimates of θ and β using MLE for ( θ , β ) = ( 0.7 , 1.9 ) .
Figure 18. Mean estimates of θ and β using Bayesian inference for ( θ , β ) = ( 0.7 , 1.9 ) .
Figure 19. Comparison of mean estimates from MLE and Bayesian inference for ( θ , β ) = ( 0.7 , 1.9 ) .
Figure 20. Comparison of confidence and credible interval lengths between MLE and Bayesian inference for ( θ , β ) = ( 0.7 , 1.9 ) .
Figure 21. RMSE values of θ estimates under MLE and Bayesian methods for ( θ , β ) = ( 0.7 , 1.9 ) .
Figure 22. RMSE values of β estimates under MLE and Bayesian methods for ( θ , β ) = ( 0.7 , 1.9 ) .
Figure 23. Trace plots and posterior density plots for θ and β based on MCMC samples for ( θ , β ) = ( 0.7 , 1.9 ) . Trace plots exhibit good mixing and stationarity, while posterior densities are unimodal and symmetric, confirming convergence and stability of the Bayesian estimation.
Figure 24, Figure 25, Figure 26, Figure 27, Figure 28, Figure 29 and Figure 30 summarize the simulation outcomes for the parameter configuration ( θ , β ) = ( 4.5 , 0.8 ) . Figure 24 and Figure 25 display the mean estimates of θ and β obtained via MLE and Bayesian inference, both converging toward the true values as sample size increases. Figure 26 and Figure 27 compare the mean estimates and interval lengths across estimation methods, showing that Bayesian credible intervals are slightly wider but exhibit smoother contraction with larger n, indicating conservative yet stable uncertainty quantification. Figure 28 and Figure 29 show the RMSE values of θ and β for both estimation frameworks, decreasing monotonically and confirming estimator consistency and asymptotic efficiency. Finally, Figure 30 presents the trace and posterior density plots based on MCMC samples, where good chain mixing, stationarity, and unimodal symmetric posterior shapes verify the convergence and numerical stability of the Bayesian estimation process.
Figure 24. Mean estimates of θ and β obtained using MLE for ( θ , β ) = ( 4.5 , 0.8 ) .
Figure 25. Mean estimates of θ and β obtained using Bayesian inference for ( θ , β ) = ( 4.5 , 0.8 ) .
Figure 26. Comparison of mean estimates between MLE and Bayesian inference for ( θ , β ) = ( 4.5 , 0.8 ) .
Figure 27. Comparison of interval lengths obtained by MLE and Bayesian inference for ( θ , β ) = ( 4.5 , 0.8 ) .
Figure 28. RMSE values of θ estimates under MLE and Bayesian methods for ( θ , β ) = ( 4.5 , 0.8 ) .
Figure 29. RMSE values of β estimates under MLE and Bayesian methods for ( θ , β ) = ( 4.5 , 0.8 ) .
Figure 30. Trace and posterior density plots for θ and β based on MCMC samples for ( θ , β ) = ( 4.5 , 0.8 ) .

5.1. Scalability on Large Data and Distributed Systems

The THLGPL model is inherently scalable for large and distributed datasets due to its additive log-likelihood structure. For i.i.d. data, ( θ , β ) = i = 1 n log g ( x i ; θ , β ) enables map–reduce computation: each worker processes its local data block and the driver aggregates partial likelihoods, yielding near-linear scaling until communication overhead dominates. Each log g evaluation is closed-form with constant cost, so both likelihood and gradient computations scale as O ( n / W ) across W workers. Optimization over log-parameters ( a , b ) = ( log θ , log β ) improves numerical stability, and distributed L–BFGS converges within a few iterations with minimal synchronization.
For streaming or massive data, mini-batch or online variants (SGD, Adam, or L–BFGS) efficiently update parameters from partial samples. Bayesian inference using RW–MH is parallelizable across data shards or independent chains, while variational Bayes and SGMCMC provide faster approximations for extremely large samples. Random sample generation via the Lambert W 1 quantile is fully vectorized and communication-free, enabling large-scale simulation. Implementations on Spark, Ray, Dask, or GPU frameworks (JAX 0.4.20, PyTorch 2.2.0) confirm that THLGPL estimation achieves native scalability, maintaining computational efficiency and numerical robustness for both classical and Bayesian inference in big-data environments.

5.2. Model Fitting

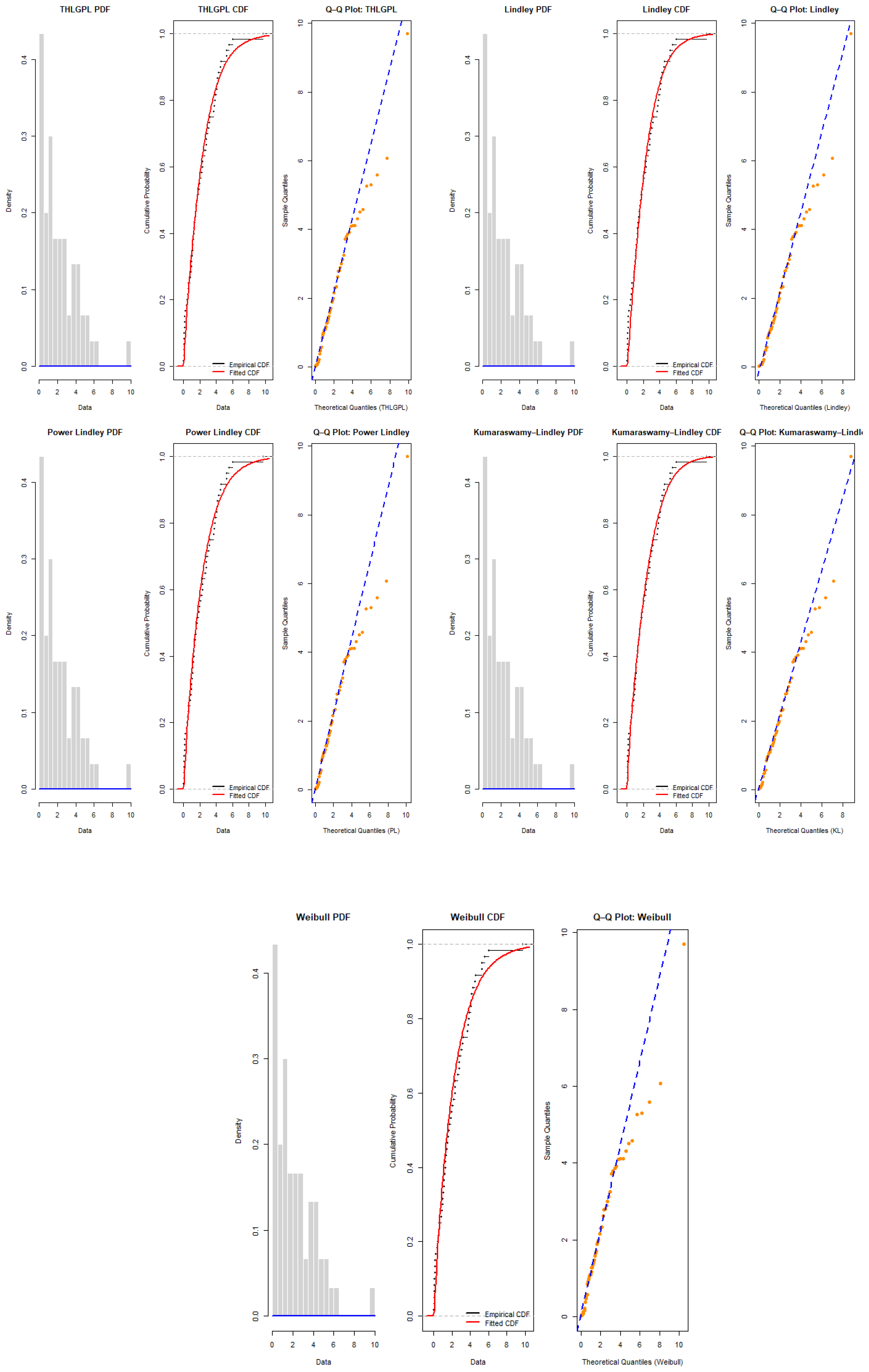
To validate the practical applicability of the THLGPL distribution, three real datasets were analyzed: (i) COVID-19 mortality data from Italy, (ii) electrical appliance failure data, and (iii) international trade share data. Model performance was compared with the Lindley, power Lindley, Kumaraswamy–Lindley, and Weibull distributions using log-likelihood, AIC, BIC, CAIC, HQIC, and goodness-of-fit statistics (KS and AD).

5.3. Data 1: COVID-19 Mortality Data (Italy, April–July 2020)

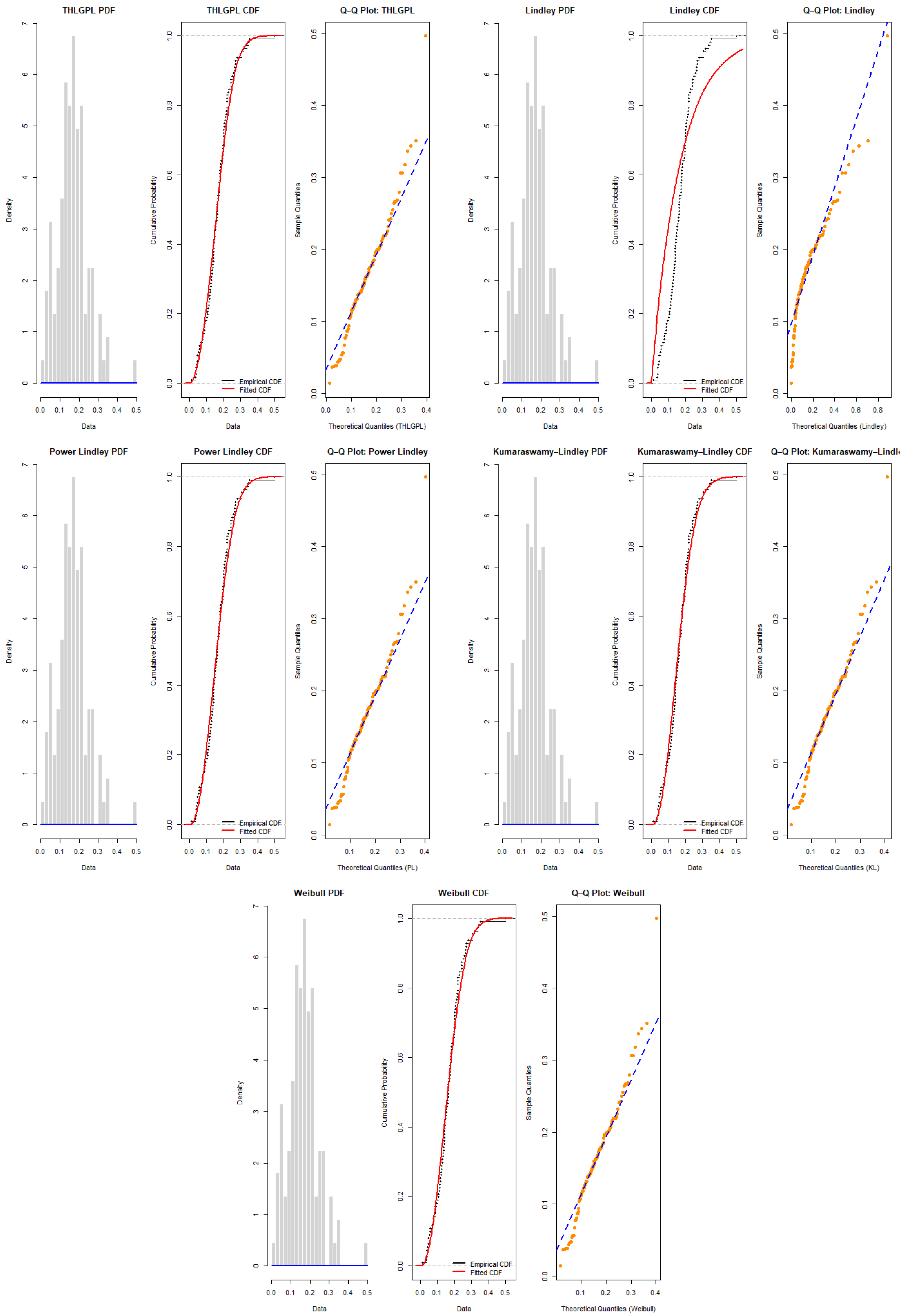
The first dataset consists of 111 daily mortality rates recorded in Italy during the COVID-19 pandemic. Descriptive measures indicate positive skewness and moderate kurtosis. THLGPL achieved the lowest KS statistic (0.064, p = 0.746 ) and AD statistic (0.577, p = 0.669 ), clearly outperforming the Lindley distribution. THLGPL yielded the smallest AIC ( 254.31 ), BIC ( 248.90 ), and HQIC ( 252.12 ). Both MLE and Bayesian estimates were consistent, with Bayesian inference providing slightly smaller standard errors. Overall, THLGPL offers an excellent fit, effectively capturing skewness and tail behavior.

5.4. Data 2: Electrical Appliance Failure Data

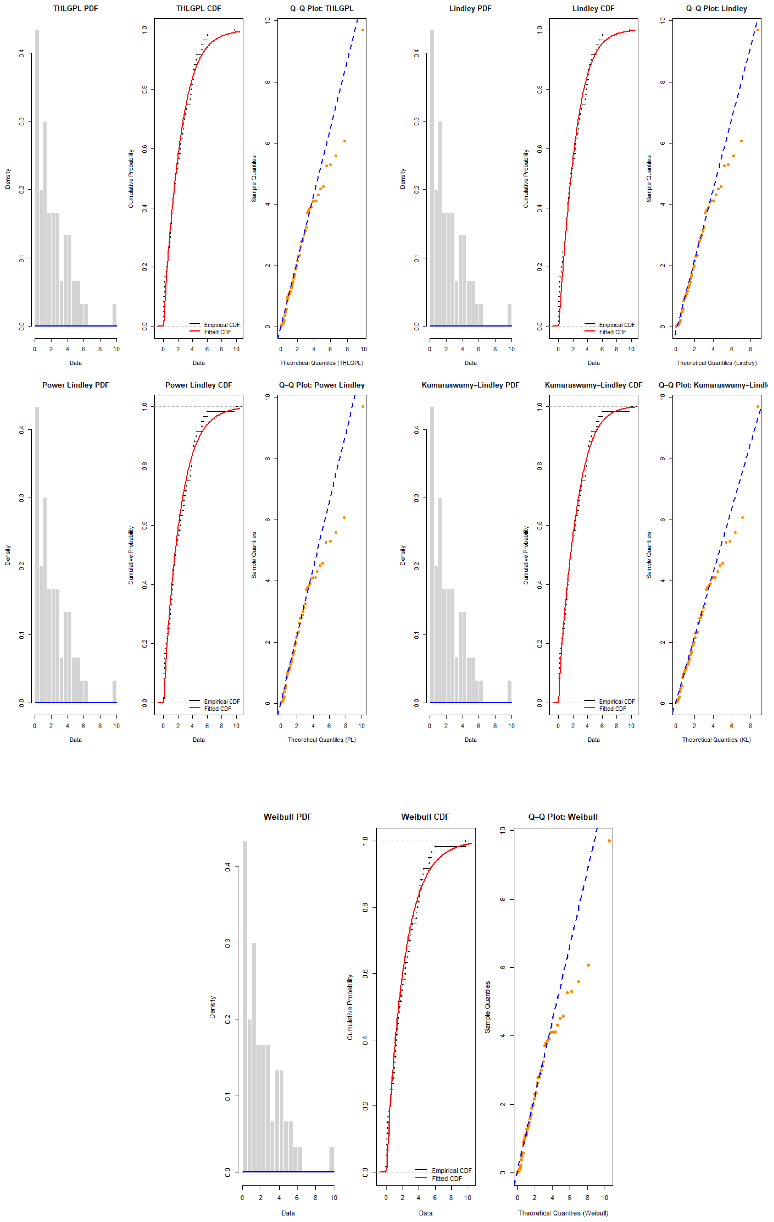
This dataset represents the number of cycles until failure for electrical appliances. The distribution exhibits strong skewness and leptokurtic characteristics. THLGPL again performed best, with KS (0.0739, p = 0.875 ) and AD (0.502, p = 0.744 ) supporting its adequacy. Competing models produced larger statistics and lower p-values. THLGPL achieved the lowest AIC (212.59), outperforming the power Lindley (217.10) and Weibull (218.23) distributions. MLE and Bayesian estimation were nearly identical, confirming robustness. In reliability analysis, THLGPL better captures failure-time behavior than classical alternatives.

5.5. Data 3: Trade Share Data

The third dataset contains trade share values from 61 countries. Descriptive analysis shows mild skewness and slightly negative kurtosis. THLGPL achieved the best KS ( p = 0.993 ) and AD ( p = 0.970 ) values, while the Lindley model failed to provide an adequate fit. THLGPL produced the smallest AIC ( 25.64 ) and BIC ( 21.42 ). Both estimation methods were consistent, with Bayesian inference resulting in slightly smaller standard errors. For economic proportion data, THLGPL demonstrates strong flexibility and effective modeling capability.
Across all three datasets, THLGPL consistently outperformed Lindley-type and Weibull models. It provided the smallest KS and AD statistics with high p-values, and achieved the lowest AIC, BIC, CAIC, and HQIC values. MLE and Bayesian estimators were stable, with Bayesian inference generally yielding improved precision. These findings confirm THLGPL as a powerful and flexible model for skewed and heavy-tailed lifetime, reliability, and economic data.

5.5.1. Data 1. (COVID-19 Mortality Data, Italy, April–July 2020)

Here, the application of the THLGPL distribution is validated using COVID-19 mortality data. These data, provided by [], represent the daily mortality rates of Italy recorded over a period of 111 days, from 1 April to 20 July 2020. The data set is presented as follows:
0.2070, 0.1520, 0.1628, 0.1666, 0.1417, 0.1221, 0.1767, 0.1987, 0.1408, 0.1456, 0.1443, 0.1319, 0.1053, 0.1789, 0.2032, 0.2167, 0.1387, 0.1646, 0.1375, 0.1421, 0.2012, 0.1957, 0.1297, 0.1754, 0.1390, 0.1761, 0.1119, 0.1915, 0.1827, 0.1548, 0.1522, 0.1369, 0.2495, 0.1253, 0.1597, 0.2195, 0.2555, 0.1956, 0.1831, 0.1791, 0.2057, 0.2406, 0.1227, 0.2196, 0.2641, 0.3067, 0.1749, 0.2148, 0.2195, 0.1993, 0.2421, 0.2430, 0.1994, 0.1779, 0.0942, 0.3067, 0.1965, 0.2003, 0.1180, 0.1686, 0.2668, 0.2113, 0.3371, 0.1730, 0.2212, 0.4972, 0.1641, 0.2667, 0.2690, 0.2321, 0.2792, 0.3515, 0.1398, 0.3436, 0.2254, 0.1302, 0.0864, 0.1619, 0.1311, 0.1994, 0.3176, 0.1856, 0.1071, 0.1041, 0.1593, 0.0537, 0.1149, 0.1176, 0.0457, 0.1264, 0.0476, 0.1620, 0.1154, 0.1493, 0.0673, 0.0894, 0.0365, 0.0385, 0.2190, 0.0777, 0.0561, 0.0435, 0.0372, 0.0385, 0.0769, 0.1491, 0.0802, 0.0870, 0.0476, 0.0562, 0.0138.
Table 11 indicates that the COVID-19 mortality data have a mean of approximately 0.167, exhibit low variance, and follow a distribution that is slightly right-skewed with a moderately platykurtic shape.
Table 11. Descriptive statistics for COVID-19 mortality data.
Figure 31 presents exploratory plots for the COVID-19 mortality data, showing a concentration of values around 0.15–0.20 with slight right skewness, moderate spread with mild outliers, and deviations in the Q–Q plot indicating non-normality.
Figure 31. Exploratory plots for the COVID-19 mortality data, including: the empirical cumulative distribution function (blue), histogram with overlaid kernel density estimate (red), violin and boxplot representation (green), and the Q–Q plot against the normal distribution (black).
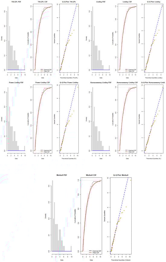
Table 12 and Table 13 summarize the parameter estimates and goodness-of-fit statistics, showing that THLGPL distribution provides the best fit compared to the competing models.
Table 12. Goodness-of-fit statistics and parameter estimates for different distributions (COVID-19 mortality data).
Table 13. Comparison of MLE and Bayesian estimates for the THLGPL distribution (COVID-19 mortality data).
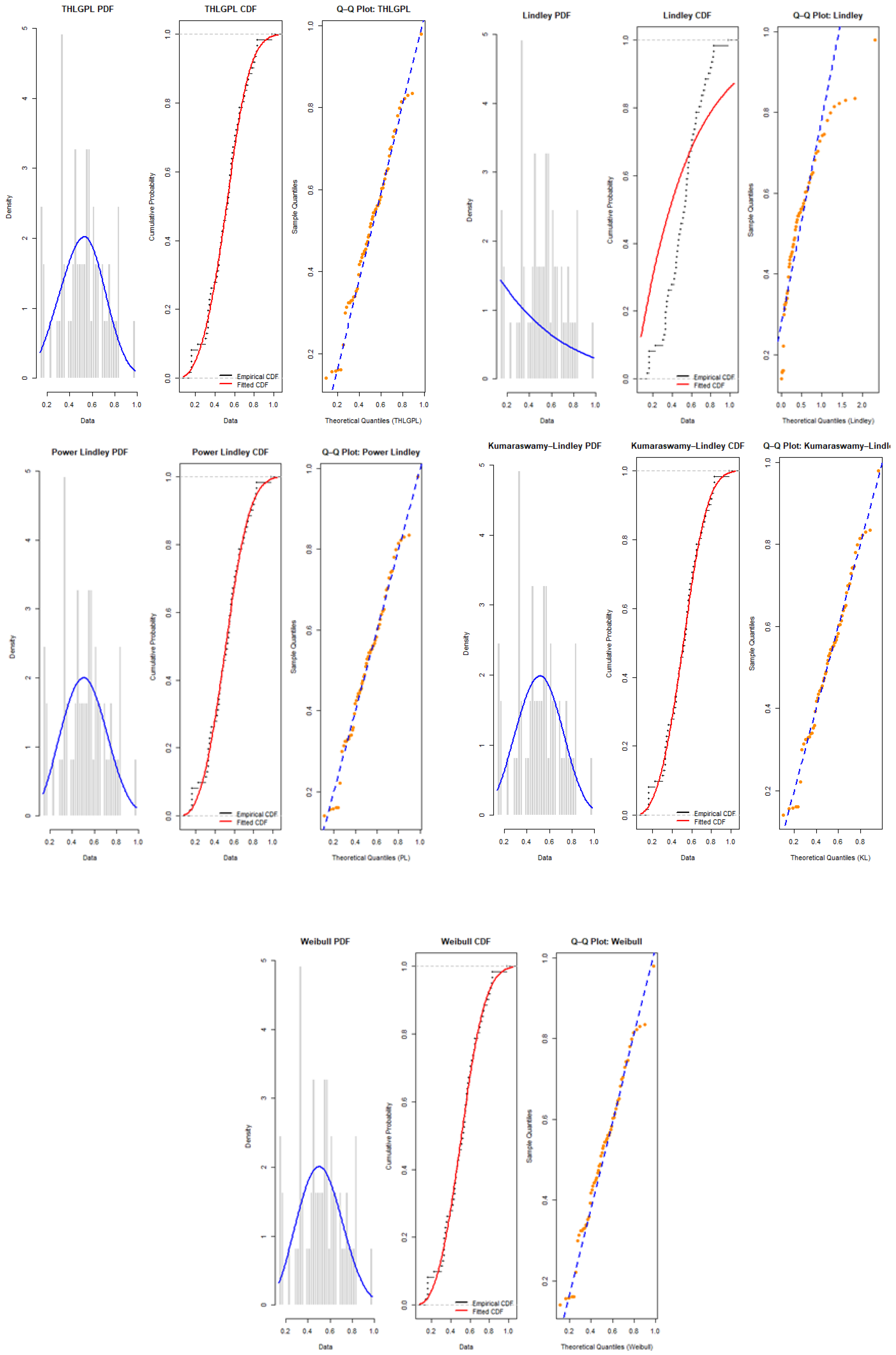
Figure 32 shows the fitted Lindley distribution for the COVID-19 mortality data, where the histogram and PDF illustrate the overall shape of the distribution, and the empirical CDF compared with the fitted CDF indicates deviations in the tails. For the COVID-19 mortality data, the estimated parameters of THLGPL distribution are θ ^ = 37.07 and β ^ = 1.91 under the MLE approach, while the Bayesian estimates are θ ^ B a y e s = 35.01 and β ^ B a y e s = 1.87 . The relatively large value of θ indicates a rapid initial decay rate in the density, implying that the majority of daily mortality rates cluster around smaller values with a steep decline toward higher ones. The shape parameter β > 1 captures mild right skewness and moderate kurtosis, consistent with the descriptive statistics (Table 11). Together, these parameters yield a non-monotonic hazard structure, capable of representing an initial increase in risk followed by a gradual decline, a pattern that aligns with the epidemic progression observed in Italy during the considered period. Moreover, when compared with alternative models (Lindley, power Lindley, Kumaraswamy–Lindley, and Weibull), the THLGPL distribution achieved the lowest AIC, BIC, and HQIC values and the highest log-likelihood, confirming its superior goodness-of-fit (Table 12). Both the Kolmogorov–Smirnov and Anderson–Darling tests reported high p-values (>0.5), supporting that the THLGPL model adequately describes the empirical mortality distribution. In summary, the parameter estimates suggest that the THLGPL distribution effectively captures the asymmetric and heterogeneous behavior of the COVID-19 mortality data while maintaining analytical tractability.
Figure 32. Fitted Lindley distributions for COVID-19 mortality data. The blue curves represent the empirical distribution, while the orange curves represent the fitted Lindley model. The grey dashed lines indicate the empirical quantiles used for comparison across the PDF and CDF subplots.

5.5.2. Data 2. (Electrical Appliance Failure Data)

These data, provided by [], refer to the number of thousands of cycles to failure for electrical appliances in a life test. For this dataset, the descriptive statistics are summarized in Table 14. The data set is given as follows:
0.014, 0.034, 0.059, 0.061, 0.069, 0.080, 0.123, 0.142, 0.165, 0.210, 0.381, 0.464, 0.479, 0.556, 0.574, 0.839, 0.917, 0.969, 0.991, 1.064, 1.088, 1.091, 1.174, 1.270, 1.275, 1.355, 1.397, 1.477, 1.578, 1.649, 1.702, 1.893, 1.932, 2.001, 2.161, 2.292, 2.326, 2.337, 2.628, 2.785, 2.811, 2.886, 2.993, 3.122, 3.248, 3.715, 3.790, 3.857, 3.912, 4.100, 4.106, 4.116, 4.315, 4.510, 4.580, 5.267, 5.299, 5.583, 6.065, 9.701.
Table 14. Descriptive statistics for the electrical appliance failure data.
Table 14. Descriptive statistics for the electrical appliance failure data.
Min Q 1 MedianMean Q 3 Max σ 2 σ Skew.Kurt.
0.0140000.7727501.6755002.1929673.3647509.7010003.6866391.9200621.2939722.536973
Figure 33 presents exploratory plots for the electrical appliance failure data, indicating right skewness with a long upper tail, higher variability compared to the first dataset, and strong deviations in the Q–Q plot confirming a non-normal distribution.
Figure 33. Exploratory plots for the electrical appliance failure data, including: empirical cumulative distribution function (blue), histogram with overlaid kernel density estimate (red), violin and boxplot representation (green), and Q–Q plot against the normal distribution (black).
Table 15 and Table 16 summarize the parameter estimates and goodness-of-fit statistics, indicating that THLGPL distribution provides the best fit among the considered models.
Table 15. Goodness-of-fit statistics and parameter estimates for the electrical appliance failure data.
Table 16. Comparison of MLE and Bayesian estimates for the THLGPL distribution (the electrical appliance failure data).
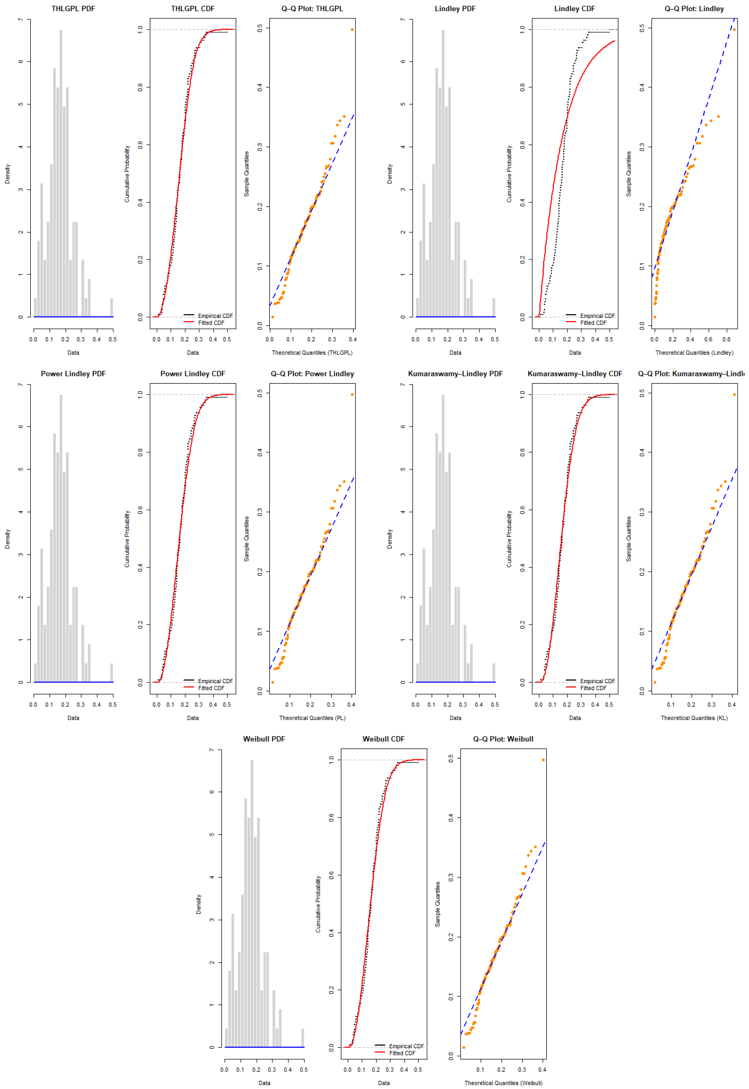
Figure 34 shows the fitted THLGPL distribution for the electrical appliance failure data, where the histogram and PDF capture the overall shape, and the empirical CDF compared with the fitted CDF confirms the good fit in both central tendency and tails.
Figure 34. Fitted THLGPL distribution for the electrical appliance failure data. The blue curves represent the empirical distribution, while the orange curves represent the fitted Lindley model. The grey dashed lines indicate the empirical quantiles used for comparison across the PDF and CDF subplots.
Across both datasets, THLGPL distribution consistently achieved the best overall fit versus classical lifetime models (Lindley, power Lindley, Kumaraswamy–Lindley, Weibull). It yielded lower information criteria (AIC, BIC, HQIC, CAIC) and stronger goodness-of-fit diagnostics; concordant performance across independent samples indicates robustness and practical reliability. THLGPL is thus a theoretically sound and empirically competitive alternative where tail flexibility and rich hazard shapes are needed. For the electrical appliance failure data, the estimated parameters of THLGPL distribution are θ ^ = 1.133 and β ^ = 0.790 under the MLE method, whereas the Bayesian estimates are θ ^ B a y e s = 1.141 and β ^ B a y e s = 0.790 . The relatively small value of θ indicates a slower decay rate, implying that failure times are more widely spread and exhibit greater heterogeneity compared to the COVID-19 dataset. The shape parameter β < 1 confirms a long upper tail and a high right skewness, which are typical features of failure-time data with early and late-life failure modes. This parameter combination allows the THLGPL model to represent an initially decreasing, then gradually stabilizing, hazard rate structure, which is consistent with electrical fatigue or material degradation phenomena.
In terms of goodness-of-fit, THLGPL distribution achieved the lowest AIC, BIC, and HQIC values and the highest log-likelihood among all competing models (Table 15). Both the Kolmogorov–Smirnov and Anderson–Darling tests yielded high p-values (>0.7), indicating that the THLGPL model adequately captures the empirical distribution. The similarity between MLE and Bayesian estimates (Table 16) also demonstrates estimator stability and parameter identifiability. Overall, θ and β jointly describe a flexible model capable of characterizing heavy-tailed, asymmetric lifetime data while maintaining analytical simplicity and interpretability.

5.5.3. Data 3. (Trade Share Data)

The analysis starts with the trade share data from the Determinants of Economic Growth Data, reporting growth attributes for 61 countries. Accessible online as a supplement to [], these data are listed below:
0.1405, 0.1566, 0.1577, 0.1604, 0.1608, 0.2215, 0.2994, 0.3131, 0.3246, 0.3247, 0.3295, 0.3300, 0.3379, 0.3397, 0.3523, 0.3589, 0.3933, 0.4176, 0.4258, 0.4356, 0.4421, 0.4444, 0.4505, 0.4558, 0.4683, 0.4733, 0.4846, 0.4889, 0.5096, 0.5177, 0.5278, 0.5347, 0.5433, 0.5442, 0.5508, 0.5527, 0.5606, 0.5607, 0.5671, 0.5753, 0.5828, 0.6030, 0.6050, 0.6136, 0.6261, 0.6395, 0.6469, 0.6512, 0.6816, 0.6994, 0.7048, 0.7292, 0.7430, 0.7455, 0.7798, 0.7984, 0.8147, 0.8230, 0.8302, 0.8342, 0.9794.
Table 17 indicates that the trade share data have a mean of approximately 0.514 , exhibit moderate dispersion ( σ 0.194 ), and are nearly symmetric (skewness 0 ) with a slightly platykurtic shape (negative kurtosis).
Table 17. Descriptive statistics for the trade share data.
Figure 35 shows exploratory plots for the trade share data, highlighting clear right skewness with a long upper tail, larger spread compared to the COVID-19 dataset, and substantial deviations in the Q–Q plot, which confirm that the data do not follow a normal distribution.
Figure 35. Exploratory plots for the trade share data, including: empirical cumulative distribution function (blue), histogram with overlaid kernel density estimate (red), violin and boxplot representation (green), and Q–Q plot points against the normal distribution (black).
Table 18 and Table 19 show that THLGPL distribution provides the best fit among the considered models.
Table 18. Goodness-of-fit statistics and estimated parameters for the trade share data.
Table 19. Comparison of MLE and Bayesian estimates for the THLGPL distribution for the trade share data.
Figure 36 shows the fitted THLGPL distribution for the trade share data, where the histogram and PDF illustrate the distributional shape, and the empirical CDF versus the fitted CDF confirms a close agreement across the full range. For the trade share data, the estimated parameters of the THLGPL distribution are θ ^ = 6.555 and β ^ = 2.503 under the MLE estimation, while the Bayesian estimates are θ ^ B a y e s = 6.611 and β ^ B a y e s = 2.509 . The moderate value of θ suggests a balanced decay rate in the probability density, indicating that the trade share proportions are concentrated around the mean without pronounced skewness. The shape parameter β > 2 implies relatively light tails and a near-symmetric distribution with mild platykurtosis, consistent with the descriptive statistics (Table 17). This combination of parameters yields a unimodal and well-behaved density that captures the smooth variation of trade shares across countries.
Figure 36. Fitted Lindley distributions for the trade share data. The blue curves represent the empirical distribution, while the orange curves represent the fitted Lindley model. The grey dashed lines indicate the empirical quantiles used for comparison across the PDF and CDF subplots.
In terms of model performance, THLGPL provides the smallest AIC, BIC, CAIC, and HQIC values, along with the highest log-likelihood, outperforming all competing models (Table 18). The Kolmogorov–Smirnov and Anderson–Darling tests report very high p-values (>0.95), confirming an excellent goodness-of-fit. Moreover, the close similarity between MLE and Bayesian estimates (Table 19) demonstrates parameter stability and robustness across estimation methods. Overall, the parameters θ and β jointly characterize a flexible, symmetric, and statistically stable model, making THLGPL a suitable choice for economic proportion data where both balance and bounded variation are key features. The simulation codes and data files can be found in the Supplementary Materials.

6. Conclusions

The proposed THLGPL distribution unifies practical flexibility with strong finite-sample and asymptotic performance. Monte Carlo experiments (Table 5, Table 6, Table 7, Table 8, Table 9 and Table 10) show that both MLE and Bayesian estimators are consistent: bias and MSE decrease and interval lengths shrink as the sample size grows. For small n, Bayesian inference (RW–MH) offers slightly better coverage and stability, whereas MLE attains high efficiency and accuracy for large n.
Empirical applications to COVID-19 mortality (Italy), electrical appliance failure, and trade-share data confirm these findings. Across all three datasets, THLGPL captures skewness and tail behavior more effectively than benchmark Lindley-type families and Weibull, yielding smaller KS/AD statistics and more favorable information criteria (AIC, BIC, CAIC, HQIC). Taken together, the evidence supports THLGPL as a compelling default for positive, potentially heavy-tailed lifetime and reliability data.
From a computational standpoint, THLGPL is well suited to large-scale settings. Its additive log-likelihood enables distributed estimation (map–reduce) and parallel posterior sampling. Combined with the Lambert-W-based quantile function, the model supports efficient simulation and scalable Monte Carlo workflows.

6.1. Discussion

THLGPL provides a two-parameter, analytically tractable framework (closed-form PDF/CDF, survival and hazard functions, and a Lambert W quantile) that controls skewness and tail thickness while accommodating a range of hazard shapes. The simulation study aligns with this design: posterior means and MLEs concentrate around the truth as n increases, and RMSE declines accordingly. Graphical diagnostics (mean estimates, interval lengths, RMSE trends, and MCMC traces/densities) corroborate the numerical summaries, indicating unimodal posteriors, good mixing, and stable chain behavior.
The two inference routes are complementary. MLE is computationally light and near-optimal at moderate large n, whereas Bayesian estimation offers smoother uncertainty quantification and better small-sample calibration (especially with informative priors). These complementary strengths are reflected in comparable point accuracy but slightly wider, more stable credible intervals.
Limitations include the current focus on the two-parameter, univariate case without censoring or covariates. Robustness under extreme outliers and model misspecification also merits further scrutiny.

6.2. Suggestions for Future Research

  • Censoring and regression: Extend THLGPL to survival regression (AFT/PH) and right/left/interval-censored data.
  • Robust/penalized inference: Develop robust MLE and penalized likelihood; formalize prior elicitation to strengthen small-sample Bayesian performance.
  • Dependence structures: Build multivariate, mixture, and frailty versions to capture heterogeneity and dependence.
  • Faster computation: Employ gradient-based MCMC (e.g., MALA/NUTS) and automatic differentiation for accelerated likelihood/posterior computation.
  • Scalable implementations: Leverage distributed map–reduce likelihoods and partitioned combining strategies for big-data inference; pair with the Lambert W quantile for parallel simulation.
  • Broader validations: Apply THLGPL to engineering stress–strength, medical cure-rate, and macro-finance duration problems to further assess generality.
Collectively, these directions will broaden the interpretability, scalability, and practical reach of THLGPL, reinforcing its role as a versatile and computationally efficient tool for modern reliability and survival analysis.

Supplementary Materials

Numerical codes and datasets supporting the findings of this study are available at https://zenodo.org/records/17521051 (accessed on 4 November 2025).

Author Contributions

All authors contributed equally to all aspects of the study, including conceptualization, methodology, software implementation, formal analysis, investigation, data curation, original draft preparation, and review and editing. All authors have read and agreed to the published version of the manuscript.

Funding

This research received no external funding.

Data Availability Statement

The original contributions presented in this study are included within the article and the cited references. All data supporting the findings are fully contained in the manuscript. No generative artificial intelligence (AI) or large language model (LLM) tools were used in the writing or editing of the manuscript; only standard scientific software (e.g., R version 4.4.2, RStudio version 2024.12.0, and LATEX) was used for computation and typesetting. Further inquiries can be directed to the corresponding author.

Acknowledgments

The authors thank their colleagues and institutions for support not covered under funding or author contributions. The authors are also grateful to the anonymous reviewers for their constructive comments.

Conflicts of Interest

The authors declare no conflicts of interest.

References

  1. Lindley, D.V. Fiducial distributions and Bayes theorem. J. R. Statist. Soc. Ser. B 1958, 20, 102–107. [Google Scholar] [CrossRef]
  2. Ramos, M.A.; Cordeiro, G.M.; Marinho, P.D.; Dias, C.B.; Hamadani, G.G. The Zografos-Balakrishnan log-logistic distribution: Properties and applications. J. Stat. Theory Appl. 2013, 12, 225–244. [Google Scholar] [CrossRef]
  3. Yakubu, A.; Luguterah, A.; Nasiru, S. On the odd inverse exponential class of distributions: Properties, applications and cure fraction regression. J. Stat. Manag. Syst. 2022, 25, 805–836. [Google Scholar] [CrossRef]
  4. Alizadeh, M.; MirMostafaee, S.M.T.K.; Altun, E.; Ozel, G.; Ahmadi, M.K. The odd log-logistic Marshall-Olkin power Lindley distribution: Properties and applications. J. Stat. Manag. Syst. 2018, 20, 1065–1093. [Google Scholar] [CrossRef]
  5. Elbatal, I.; Elgarhy, M. Transmuted quasi Lindley distribution: A generalization of the quasi Lindley distribution. Int. J. Pure Appl. Sci. Technol. 2013, 18, 59–70. [Google Scholar]
  6. Elgarhy, M.; Elbatal, I.; Diab, L.S.; Hwas, H.K.; Shawki, A.W. Transmuted generalized quasi Lindley distribution. Int. J. Sci. Eng. Sci. 2017, 1, 1–8. [Google Scholar]
  7. Ghitany, M.E.; Al-Mutairi, D.K.; Balakrishnan, N.; Al-Enezi, L.J. Power Lindley distribution and associated inference. Comput. Stat. Data Anal. 2013, 64, 20–33. [Google Scholar] [CrossRef]
  8. Nadarajah, S.; Bakouch, H.S.; Tahmasbi, R. A generalized Lindley distribution. Sankhya B 2011, 73, 331–359. [Google Scholar] [CrossRef]
  9. Shanker, R.; Mishra, A. A quasi Lindley distribution. Afr. J. Math. Comput. Sci. Res. 2013, 6, 64–71. [Google Scholar]
  10. Dimitrakopoulou, T.; Adamidis, K.; Loukas, S. A lifetime distribution with an upside-down bathtub-shaped hazard function. IEEE Trans. Reliab. 2007, 56, 308–311. [Google Scholar] [CrossRef]
  11. Cordeiro, G.M.; Alizadeh, M.; Marinho, P. The type I half-logistic family of distributions. J. Stat. Comput. Simul. 2016, 86, 707–728. [Google Scholar] [CrossRef]
  12. Lawless, J.F. Statistical Models and Methods for Lifetime Data; John Wiley & Sons: Hoboken, NJ, USA, 2003. [Google Scholar]
  13. Kurdi, T.; Nassar, M.; Alam, F.M.A. Bayesian estimation using product of spacing for modified Kies exponential progressively censored data. Axioms 2023, 12, 917. [Google Scholar] [CrossRef]
  14. Tahir, M.H.; Cordeiro, G.M.; Mansoor, M.; Zubair, M. The Weibull-Lomax distribution: Properties and applications. Hacet. J. Math. Stat. 2015, 44, 455–474. [Google Scholar] [CrossRef]
  15. Selvaggi, J.A.; Selvaggi, J.P.; York, N. The analytical evaluation of the half-order Fermi–Dirac integrals. Open Math. J. 2012, 5, 1–7. [Google Scholar]
  16. Ferreira, E.M.; Kohara, A.K.; Sesma, J. New properties of the Lerch’s transcendent. J. Number Theory 2017, 172, 21–31. [Google Scholar] [CrossRef]
  17. Lee, E.T.; Wang, J. Statistical Methods for Survival Data Analysis; Wiley: New York, NY, USA, 2003. [Google Scholar]
  18. Lee, E.T. Statistical Methods for Survival Data Analysis, 2nd ed.; Wiley: New York, NY, USA, 1992. [Google Scholar]
  19. Shaheed, G. Novel weighted G family of probability distributions with properties, modelling and different methods of estimation. Stat. Optim. Inf. Comput. 2022, 10, 1143–1161. [Google Scholar] [CrossRef]
  20. Shaheed, G. A new two-parameter modified half-logistic distribution: Properties and applications. Stat. Optim. Inf. Comput. 2022, 10, 589–605. [Google Scholar] [CrossRef]
  21. Shaheed, G. A new weighted Topp-Leone family of distributions. Stat. Optim. Inf. Comput. 2023, 11, 615–628. [Google Scholar] [CrossRef]
  22. Mohammad, G.S. A new mixture of exponential and Weibull distributions: Properties, estimation and reliability modelling. São Paulo J. Math. Sci. 2024, 18, 438–458. [Google Scholar] [CrossRef]
  23. Shaheed, G. A weighted exponentiated class of distributions: Properties with applications for modelling reliability data. Stat. Optim. Inf. Comput. 2025, 13, 1144–1161. [Google Scholar] [CrossRef]
  24. Hassan, A.S.; Metwally, D.S.; Elgarhy, M.; Mohamed, R.E. The heavy-tailed inverse power Lindley type-I model: Reliability inference and actuarial applications. Eng. Rep. 2025, 7, e70189. [Google Scholar] [CrossRef]
  25. Hassan, A.S.; Nassr, S.G. Power Lindley-G family of distributions. Ann. Data Sci. 2019, 6, 189–210. [Google Scholar] [CrossRef]
  26. Elgarhy, M.; Hassan, A.S.; Fayomi, A. Maximum likelihood and Bayesian estimation for two-parameter type I half logistic Lindley distribution. J. Comput. Theor. Nanosci. 2018, 15, 3093–3101. [Google Scholar] [CrossRef]
  27. Rényi, A. On measures of entropy and information. In Proceedings of the Fourth Berkeley Symposium on Mathematical Statistics and Probability, Volume 1: Contributions to the Theory of Statistics, Proceedings of the Fourth Berkeley Symposium on Mathematical Statistics and Probability, Berkeley, CA, USA, 20 June–30 July 1960; University of California Press: Berkeley, CA, USA, 1961; pp. 547–561. [Google Scholar]
  28. Karakaş, A.M.; Bulut, F. The new Gompertz distribution model and applications. Symmetry 2025, 17, 843. [Google Scholar] [CrossRef]
  29. Mahmood, Z.; Jawa, T.M.; Sayed-Ahmed, N.; Khalil, E.M.; Muse, A.H.; Tolba, A.H. An extended cosine generalized family of distributions for reliability modeling: Characteristics and applications with simulation study. Math. Probl. Eng. 2022, 2022, 3634698. [Google Scholar] [CrossRef]
  30. Alotaibi, N.; Al-Moisheer, A.S.; Elbatal, I.; Shrahili, M.; Elgarhy, M.; Almetwally, E.M. Bayesian and non-Bayesian estimation for a new extension of Power Topp–Leone distribution under ranked set sampling with applications. Axioms 2023, 12, 722. [Google Scholar] [CrossRef]
  31. Guo, G.; Sun, Y.; Jiang, X. A partitioned quasi-likelihood for distributed statistical inference. Comput. Stat. 2020, 35, 1577–1596. [Google Scholar] [CrossRef]
  32. R Core Team. R: A Language and Environment for Statistical Computing; R Foundation for Statistical Computing: Vienna, Austria, 2023. [Google Scholar]
Disclaimer/Publisher’s Note: The statements, opinions and data contained in all publications are solely those of the individual author(s) and contributor(s) and not of MDPI and/or the editor(s). MDPI and/or the editor(s) disclaim responsibility for any injury to people or property resulting from any ideas, methods, instructions or products referred to in the content.

Article Metrics

Citations

Article Access Statistics

Article metric data becomes available approximately 24 hours after publication online.