Next Article in Journal
Mechanical Parameter Identification of Permanent Magnet Synchronous Motor Based on Symmetry
Previous Article in Journal
Symmetry, Conservation Law, Uniqueness and Stability of Optimal Control and Inverse Problems for Burgers’ Equation
Previous Article in Special Issue
Insights into Inclined MHD Hybrid Nanofluid Flow over a Stretching Cylinder with Nonlinear Radiation and Heat Flux: A Symmetric Numerical Simulation
 
 
Font Type:
Arial Georgia Verdana
Font Size:
Aa Aa Aa
Line Spacing:
Column Width:
Background:
Article

Relevance of Inclined Magnetohydrodynamics and Nanoparticle Radius on Tangent-Hyperbolic Flow over a Stretching Sheet: A Symmetric Modeling Perspective with Higher-Order Slip

1
School of Basic and Applied Sciences, KR Mangalam University, Gurugram 122103, Haryana, India
2
Department of Mathematics and Statistics, College of Science, Imam Mohammad Ibn Saud Islamic University (IMSIU), P.O. Box 65892, Riyadh 11566, Saudi Arabia
3
Department of Computer Science and Engineering, Guru Jambheshwar University of Science and Technology, Hisar 125001, Haryana, India
*
Author to whom correspondence should be addressed.
Symmetry 2025, 17(11), 1928; https://doi.org/10.3390/sym17111928
Submission received: 18 August 2025 / Revised: 24 October 2025 / Accepted: 1 November 2025 / Published: 11 November 2025
(This article belongs to the Special Issue Symmetrical Mathematical Computation in Fluid Dynamics, 2nd Edition)

Abstract

This article investigates the impact of Arrhenius energy and the radius of a nanoparticle subject to an irregular heat source on tangent-hyperbolic nanofluid flow over a stretching sheet with nonlinear radiation. The convective boundary effect, higher-order slip, and micropolarity are all included for a water-based C u nanofluid. The present study investigates the significance of a nanoparticle’s radius under inclined MHD conditions. The thermally convective flow of the nanofluid is optimized for the heat-transfer rate using the response surface technique. The modeled governing equations are converted into a system of first-order ODEs using the proper similarity transformations, and the BVP5C algorithm—a finite-difference-based solver—is then used to solve these ODEs numerically. Microrotation, thermal boundary-layer thickness, and the skin-friction coefficient all decrease as the nanoparticle radius increases. The thermal layer thickens as the Biot number increases. As the higher-order slip parameter coefficient increases, the results indicate that the skin friction and local Nusselt number fall. Using tables, figures, contour plots, and surface plots, the effects of several influencing factors on the rates of heat and mass transfer, as well as on the skin-friction factor, are demonstrated. The study uses “Response Surface Methodology” (RSM) in conjunction with “Analysis of Variance” (ANOVA) to optimize the most important factors, which are probably the magnetic parameter and the nanoparticle radius that control the flow and heat-transfer properties. Additionally, with a Nusselt number R 2 value of 99.96 , indicating an excellent fit, the suggested model exhibits amazing precision. The reliability and efficiency of the estimated model are assessed using the residual versus fitted plot.

1. Introduction

Nanoparticles can be suspended to overcome the limited thermal conductivity of traditional heat-transfer fluids, resulting in nanofluids with much higher thermal conductivity for industrial applications. Increasing thermal conductivity ensures faster heat dissipation, reduces thermal damage, enhances heat-transfer efficiency, and fosters system reliability. By utilizing nanoparticles more effectively in nanofluid applications, thermal and energy system efficiency is improved, energy consumption is reduced, and sustainability is promoted [1]. Ali et al. [2] looked into the impact of varying the radius of copper nanoparticles on the flow of nanofluids under the combined influence of a magnetic field and porous media, aiming to optimize heat-transfer rates by analyzing effects on microrotation, velocity, and temperature profiles. Ref. [3] demonstrated that, while the magnetic field resisted fluid flow, the addition of nanoparticles enhanced heat transfer, and that slip, viscosity variations, and magnetic effects were important factors in regulating thermal conductivity in porous materials. Sachin et al. [4] used a nanofluid consisting of graphene oxide and aluminum oxide nanoparticles to investigate the effects of an inclined magnetic field on fluid flow over a stretching surface. They also analyzed several parameters to determine how they influence physical properties that are important in the biological, physical, and engineering sciences. The importance of mass flux due to a temperature gradient, heat flux resulting from a concentration gradient, and nanoparticle radius in the dynamics of a fluid exposed to an inclined magnetic field was examined by Shah et al. [5]. A magnetic field and thermal radiation were considered in the flow and heat transfer of a nanofluid with fine particles flowing over a stretching surface [6].
Peristalsis of Ree–Eyring non-Newtonian fluid is crucial for researching the rheological properties of biological fluids, such as blood, saliva, intracellular fluids, interstitial fluids, and intravascular fluids [7]. The effects of different variables on fluid temperature and velocity, as well as the influence of thermal radiation and an inclined magnetic field on an MHD boundary layer across an exponentially stretching sheet, were investigated. The findings were consistent with previous similar studies [8]. Srinivasulu et al. [9] numerically examined the influence of an aligned magnetic field on Williamson nanofluid flow across a stretching surface with convective boundary conditions. Hayat et al. [10] explored the effects of heat transfer and an inclined magnetic field on the flow of a third-grade fluid across an exponentially stretching surface. The impact of heat transfer and an inclined magnetic field on a stretching sheet with elastic deformation was also studied [11]. For both Newtonian and non-Newtonian fluids, the study demonstrated that velocity profiles increased with Casson and stretching ratio parameters but decreased with increasing magnetic field parameters. In both fluid types, temperature profiles rose as the magnetic parameter, Prandtl number, and Eckert number increased [12].
Using numerical techniques to assess velocity, temperature, skin friction, and the Nusselt number, Sudais [13] examined the effects of a heat source and variable thermal conductivity on steady radiative MHD flow adjacent to a stagnation point over a nonconducting stretching sheet. The effects of radiation and different heat fluxes on EMHD nanofluid flow across a stretching sheet were investigated in the study by Ali et al. [14]. In addition to improving the temperature field, the radiation parameter also improved the flow characteristics by increasing the velocity.
The mathematical model of entropy generation in convective magnetohydrodynamic flow of a Williamson nanofluid over a stretching sheet with suction and Cattaneo–Christov heat flux was numerically analyzed [15]. With thermal radiation incorporated in the energy equation, the flow and heat transfer properties of a viscous nanofluid across a nonlinearly stretching sheet have been explored in the presence of thermal radiation and changeable wall temperature [16]. A stretching surface with variable viscosity and convective conditions was used in the study by Mabood et al. [17] to investigate the effects of thermal radiation and slip on MHD Casson nanofluid flow. Over a flat plate with convective heat flux and a non-uniform heat source/sink, the study evaluated the impact of temperature-dependent characteristics, partial slip, and thermal radiation on hydromagnetic flow and heat transfer [18]. Anagandula et al. [19] investigated velocity- and thermal-slip-affected Williamson fluid flow across a stretching sheet with radiation and an inclined magnetic field, and they discovered that greater radiation increased the temperature. Multiple slip effects on unsteady MHD flow with heat and mass transfer over a stretching sheet were examined by Mabood et al. [20]. The research takes into account non-uniform sheet velocity, the Soret effect, thermal radiation, and a time-dependent magnetic field.
The study of convective magnetohydrodynamic (MHD) biofluid transport through a non-uniform duct is of interest because of its applications in biomedical devices and equipment [21]. The peristaltic flow of a Jeffrey nanofluid along a vertical diverging channel under the influence of activation energy, heat generation, thermal radiation, and an inclined magnetic field has been analyzed [22]. The study examined the impacts of cobalt ferrite, magnetic fields, and slip effects on the flow of a specific magnetic fluid over a stretching or shrinking surface, as well as their influence on heat transfer, flow stability, and friction [23]. The effects of radiation, multiple slip, and an inclined magnetic field on the flow of a Williamson fluid over a stretching sheet were examined by Srinu et al. [24]. The effects of velocity and thermal slip in MHD hybrid-nanofluid flow across a permeable, exponentially stretching or shrinking sheet were investigated by Patel et al. [25], and it was demonstrated that these factors enhanced heat transfer and supported sustainable energy. The fluid velocity and boundary-layer thickness were affected by the Deborah number and velocity slip in the MHD flow and heat transfer of a Jeffrey nanoliquid over a stretching sheet [26]. The slip-flow nanofluid over a permeable stretching sheet under magnetohydrodynamic forces was examined by Adel et al. [27]. It was found that while the thermal boundary-layer thickness increased with higher slip velocity and magnetic parameters, the velocity boundary-layer thickness decreased. Using an RSM technique to optimize the heat-transfer properties of Casson hybrid-nanofluid flow across a porous, exponentially stretching surface [28]. Baithalu et al. [29] conducted a thorough RSM–ANOVA study to optimize shear and coupling stress analysis for magnetomicropolar dissipative nanofluid flow over a stretching surface.
The previously mentioned literature is still pertinent to research examining the significance of the nanoparticle radius under the simultaneous effects of a magnetic field and nonlinear thermal radiation. An exponential heat source and a higher-order boundary condition are also considered in the flow of a water-based C u tangent-hyperbolic fluid over a stretching sheet. The controlling partial differential equations were reduced using a similarity transformation, followed by their conversion into a set of nonlinear ordinary differential equations and their numerical solution using MATLAB (2021)’s BVP5C method.
The current study presents a novel aspect by using Response Surface Methodology (RSM)-based CCD design to optimize the thermal transmission rate. Systems employing micropolar hybrid nanofluids are optimized in the study’s results, which could be applied to various industrial and technical operations. Furthermore, combining RSM with ANOVA demonstrates an effective approach for clarifying the optimization of heat transfer when multiple components are involved. Tables and graphs illustrate the effects of various physical parameters on skin friction, temperature profiles, microrotation, dimensionless velocities, and the Nusselt number. Important information on the fluid’s flow properties and thermal behavior under different conditions is provided by the analysis results. In engineering applications where fluid dynamics and heat transfer are important, these findings can help optimize operations.

2. Model Description

This work investigates a two-dimensional, incompressible, viscous flow of a tangent-hyperbolic nanofluid over a stretching sheet with second-order slip and convective boundary conditions. The stretching surface, with a stretching velocity, runs along the x-axis. The transport phenomena of nonlinear convective and radiative micropolar nanofluid flow with varying nanoparticle radii have been taken into consideration. Additionally, the effects of an exponential heat source, inclined MHD, hydrodynamic slip, passive control of nanoparticles, and Arrhenius activation energy are taken into consideration. The sheet stretches linearly with the velocity U w = a x , where a is a constant, while keeping the origin stationary [Figure 1]. The fluid is a water-based C u nanofluid. The controlling boundary-layer equations are developed using the boundary-layer approximations.
Refs. [30,31,32,33]
v y + u x = 0 .
v . u y + u . u x = 1 ρ n f ( μ n f ( 1 n ) + k ) . 2 u y 2 + 2 n Γ μ n f ρ n f u y 2 u y 2 + k ρ n f N y σ n f s i n 2 ( γ ) ( B o ) 2 ρ n f u
v N y + u N x = γ n f ( ρ n f ) j 2 N y 2 κ ( ρ n f ) j ( N y + 2 N )
v T y + u T x = κ n f ( ρ c p ) n f 2 T y 2 + 16 σ * 3 m * ( ρ C p ) n f y T 3 T y + Q t ( ρ C p ) n f ( T T ) + Q e ( T f T ) e m z a x ν f
u C x + v C y = D B 2 C y 2 k r ( C C ) e x p E k * T T T n
The problem mentioned above has a couple of boundary conditions [34,35]:
u = a x + L 1 u y + L 2 2 u y 2 , v = 0 , N = r * u y , κ n f T r = h f 1 ( T T f ) , D m C r = h f 2 ( C C w ) , a t y = 0 . u 0 , N 0 , T 0 , C 0 a t y
The acronyms listed below stand for the following terms: The effective heat capacity of the nanofluid is indicated by ( ρ c ) p . Q e is the material parameter representing the heat source coefficient, which depends on the exponential spatial. γ n f = μ n f ( j + k 2 j ) denotes the spin gradient’s viscosity. The symbols used to represent fluid density, angular velocity (microrotation vector), micro-inertia, and viscosity vortex are κ , j , ρ , and N. The Brownian diffusion coefficient is denoted by D B . The heat transfer coefficient is denoted by h f ; the reaction rate is denoted by k r ; activation energy is denoted by E a ; the exponential index is denoted by n; the fitted rate constant is denoted by m; κ r 2 T T is the heat sink coefficient that is thermally dependent Q T ; and e E a K * T is the Arrhenius function. 0 r * 1 is the value of the parameter r * for the boundary constant. The antisymmetric portion of the stress tensor vanishes at r * = 0.5 , and turbulent boundary-layer flows occur at r * = 1 . N = 0 occurs at the surface when r * = 0 , where the microelements are unable to spin. The subsequent correspondence transforms can be utilized to alter Equations (2) to (6) in a set of differential equations [36]:
Φ = ( a ν f ) f ( ξ ) x , θ ( T T f ) = ( T T ) , ξ = y a ν f , u = Φ x = a x f ( ξ ) , β = N a x a ν f , φ ( C C f ) = ( C C )
ξ represents the dimensionless coordinate.
1 R 1 ( ( n 1 ) + R 1 K + n W f ( ξ ) ) f ( ξ ) R 2 ( f ( ξ ) f ( ξ ) + ( f ( ξ ) ) 2 ) + K β ( ξ ) R 3 M s i n 2 ( γ ) f ( ξ ) = 0
( 2 + K R 1 ) 2 R 1 β ( ξ ) + R 2 ( f β ( ξ ) f ( ξ ) β ( ξ ) K ( f ( ξ ) + 2 β ( ξ ) ) = 0
R 4 R 5 1 P r θ ( ξ ) + 4 R d R 5 P r ( ( θ m 1 ) θ + 1 ) 2 ( θ m 1 ) ( θ ( ξ ) ) 2 f θ ( ξ ) + Q t R 5 θ + 4 R d 3 R 5 P r ( ( θ m 1 ) θ + 1 ) 3 θ ( ξ ) + Q e A 5 e m ξ = 0
ψ ( ξ ) S c f ψ ( ξ ) K r 2 S c ( 1 + θ δ ) n e E a ( 1 + δ θ ) ψ = 0
together with various boundary conditions:
f ( ξ ) = 1 + α 1 f ( ξ ) + α 2 f ( ξ ) , f ( ξ ) = 0 , β ( ξ ) = r f ( ξ ) , θ ( ξ ) = B i t { 1 θ ( ξ ) } , ψ ( ξ ) = B i c { 1 ψ ( ξ ) } , a t ξ = 0 f ( ξ ) 0 , β 0 , θ ( ξ ) 0 , ψ ( ξ ) 0 , a t ξ .
The resulting connection between the dynamic viscosities of the base fluid and the nanofluid was established by Gosukonda et al. [37] and Graham [38]:
μ n f μ b f = 1 + 5 2 ϕ + 1 H D p H D p + 2 H D p + 2 2
The nanoparticle radius is denoted by the term D p , the inter-particle spacing is denoted by H, the Prandtl number is denoted by P r , the Biot number is denoted by B i , and the rendition parameter is denoted by R d . The magnetic parameter is denoted by M, the similarity variable is denoted by ξ , the Schmidt number is denoted by S c , the exponential space-dependent heat source parameter is denoted by Q E , the thermal heat source is denoted by Q T , the temperature ratio parameter is denoted by δ , the reaction parameter is denoted by K r , the dimensionless activation energy is denoted by E A , the Weissenberg number is denoted by W, the material parameter is denoted by K and nanofluid’s thermophysical characteristics are shown in Table 1.
M = σ f B O 2 ρ f a x , P r = ( μ c p ) f κ f , W = Γ x 2 a 3 ν f , K = κ f ν f , R d = 4 σ T 3 κ κ f θ m = T f T , K r = k r 2 a x B i = h f κ f ν f a , Q E = Q e ( ρ c p ) f a x , E A = E a K T , Q T = Q t ( ρ c p ) f a x , S c = ν f D B , δ = T w T T ,

3. Engineering Quantities

The specifications of the skin-friction coefficient ( C f x ) and Nusselt number ( N u x ) are
C f x = τ w u w ρ f u y , N u x = x q w κ f T T f
where q w and τ w stand for heat flux and shear stress, respectively. The friction drag coefficient C f x and dimensionless Nusselt number N u x are
1 2 R e x C f x = R 1 R 2 ( 1 n ) f ( 0 ) + R 1 R 2 n 2 W f ( 0 ) , R e x = R 4 + 4 R d 3 θ m 1 θ + 1 3 θ ( 0 )
where R e x = a x ν f is the Reynolds number.

4. Methodology and Validation

The highly nonlinear coupled ODE system with boundary condition (11) and Equations (7)–(10) can be solved using the BVP5C method function in the MATLAB solver. The BVP5C technique is often used to solve ODEs when the problem’s details are unknown in advance, and a flexible approach is needed to strike a compromise between accuracy and efficiency.
The following is the first guess strategy and solver setup:
For every dependent variable— f ( ξ ) , θ ( ξ ) , ψ ( ξ ) , β ( ξ ) —over the computational domain, an initial mesh of 500 equally spaced points is generated for 0 < ξ < ξ . The BVP5C solver refines the guesses iteratively until the residuals fall within the specified tolerance. The hypotheses are built on physically expected trends, such as exponential decline for temperature, concentration, and motile microbe density, and linear variation for velocity.
Tolerance and convergence criteria are as follows:
The solver iteratively updates the solution until the largest residual norm, | R ( ξ ) | , is less than 10 9 over the entire domain. This ensures high numerical precision by setting the relative and absolute error tolerances to 10 9 , confirming that further mesh refinement (up to 500 points) results in changes of less than 0.01 in the key output parameters—the skin-friction coefficient, Nusselt number, and Sherwood number.
Following sensitivity tests in which ξ was varied from 6 to 9, the far-field boundary of ξ = 7 was selected. It was found that, with minimal variation ( 10 9 ) in the calculated findings, the velocity, temperature, and concentration profiles all reached their asymptotic ambient values ( T , C ) beyond ξ = 7 . This guarantees computational efficiency without compromising accuracy. Plotting the profiles and increasing ξ until no discernible difference in the curves was seen allowed us to confirm the asymptotic nature of the profiles.
Now we set f = y 1 , f = y 2 , f = y 3 , β = y 4 , β = y 5 , θ = y 6 , θ = y 7 , ψ = y 8 , ψ = y 9 .
Accordingly, we have
y 1 = y 2
y 2 = y 3
y 3 = R 1 1 n + K R 1 + n W y 3 R 3 M s i n 2 ( γ ) y 2 K y 5 + R 2 y 2 y 2 y 1 y 3
y 4 = y 5
y 5 = 2 R 1 2 + K R 1 R 2 ( y 1 y 5 y 2 y 4 ) + K y 3 + 2 y 4
y 6 = y 7 y 7 = P r R 4 + 4 R d 3 θ m 1 y 6 + 1 3 R 5 y 1 y 7 Q T y 6 Q E e m ξ 4 R d 3 θ m 1 y 6 + 1 2 θ m 1 y 7 2
y 8 = y 9
y 9 = S c y 1 y 9 + K r S c 1 + δ y 6 n 1 y 8 e E A 1 + δ y 6
The boundary conditions as
y 1 = 1 + α 1 y 2 + α 2 y 3 , y 2 = 0 y 4 + r * y 2 R 4 y 7 B i t y 6 + B i t = 0 , y 9 B i c y 8 + B i c = 0 y 2 = 0 , y 4 = 0 , y 6 = 0 , y 8 = 0
The final solution is obtained by calculating the variable values across the domain, and the level of accuracy is verified in Table 2.

5. Concluding Results

The figures depict the effects of several important parameters on the velocity ( f ( ξ ) ) , microrotation β ( ξ ) , temperature θ ( ξ ) , and concentration profiles in the presence of stimulating influences from inclined MHD and the nanoparticle radius D p .
Table 3 displays the variation of the skin-friction coefficient for different values of the velocity ratio parameter ( W ) , permeability parameter ( K ) , velocity slip, α 1 and α 2 , and the inclination angle γ for two distinct particle diameters, D p = 1.5 and D p = 2.5 . The results demonstrate that C f increases as W and K increase, suggesting that increased permeability and stronger stretching worsen surface shear stress. Conversely, greater values of the velocity slip parameter α 1 result in a drop in C f , indicating that microrotational effects reduce wall shear and counteract fluid motion. The sensitivity of friction to microrotation coupling is also demonstrated by the fact that a larger negative α 2 raises Cf. Additionally, as the magnetic field inclination angle γ increases from 45 to 90, cf decreases for all parameter combinations because the magnetic damping effect is stronger at higher inclinations. The higher particle diameter, D p = 2.5 , yields considerably higher Cf values than D p = 1.5 because larger particles have a thicker boundary layer and stronger momentum interaction.
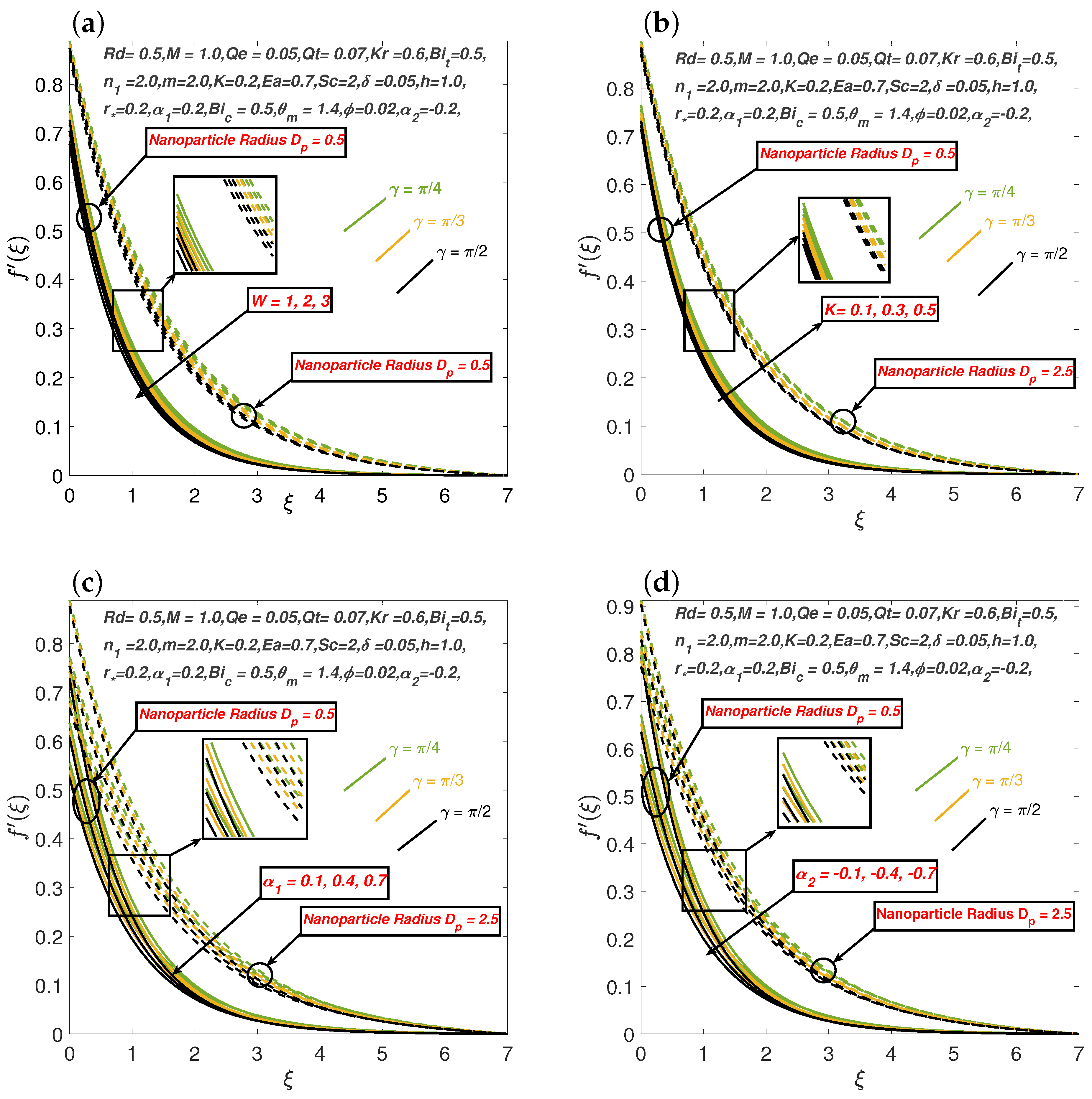
The Table 4 shows that the local Nusselt number N u x changes for two particle diameter ratios ( D p = 1.5 and D p = 2.5 ) for different values of W, R d , α 1 , B i t , and n. Given that N u x rises with increasing radiation parameter R d and Biot number B i t , the results indicate enhanced heat transfer due to stronger radiative and convective effects. In contrast, when the power-law index n or the microrotation parameter α 1 rises, N u x falls, signifying a drop in temperature. Moreover, when the inclination angle γ increases from 45 to 90, N u x decreases. Figure 2a–d illustrate that the magnitude of the velocity distribution increases as the radius of the nanoparticle ( D p ) increases from D p = 0.5 to D p = 2.5 . Consequently, the interphase and the nanoparticles are affected by the nanoparticle radius. In these nanofluids, the velocity increases as viscosity decreases with particle size. This explains why the velocity of the current transport phenomena increases with the radius of C u . The impact of an increasing external magnetic flux, which is directly proportional to the angle ( γ ), is also observed. According to Figure 2a–d, lower velocities in the transport phenomena are achieved with increasing magnetic strength.
The impact of the Weissenberg number W on the velocity field is shown in Figure 2a. The velocity profile slightly decreases with increasing W. The Weissenberg number is physically defined as the ratio of the fluid relaxation time to the characteristic process time. A decrease in the velocity field occurs due to the increasing resistance to fluid motion caused by a longer relaxation time as the Weissenberg number increases.
The relationship between the material parameter and the velocity profile is depicted in Figure 2b. It is observed that the velocity profile decreases as a function of K for nanoparticle radii ( D p = 0.5 ) and ( D p = 2.5 ) . Higher K values are physically associated with lower viscosity and weaker rotation of the fluid’s particle moments. The material behavior changes without structural alteration due to its intrinsic properties. With higher K values, it is evident that the fluid moves at a higher velocity near the wall and slows down as it moves away from it. Figure 2c,d illustrate the effects of the first- and second-order slip parameters on the velocity field. The hydrodynamic boundary-layer thickness decreases, and the velocity field becomes smaller as the absolute values of α 1 and α 2 increase. In physical terms, an increase in the slip parameters decreases the thickness of the flow field and the velocity boundary layer because of the increased resistance to fluid motion.
Figure 3a–d show that the microrotation distribution decreases as the radius of C u nanoparticles increases from D p = 0.5 to D p = 2.5 , while the distribution pattern indicates enhanced fluid-layer activity with an increase in γ from π / 6 to π / 2 in each profile. By increasing frictional heating between the fluid layers, the Lorentz drag physically releases energy as heat. This leads to a thickening of the thermal boundary layer. Additionally, the profile thickens as W and K increase, whereas the first-order and second-order slip parameters exhibit the opposite behavior.
Figure 4a–d show that as the particle radius D p increases, the thermal boundary-layer thickness decreases. For D p = 2.5 , the thermal boundary layer is significantly reduced, indicating a decline in the fluid-layer thermal properties with increasing C u nanoparticle radius. However, the thermal layer thickens as γ increases due to the parallel influence of MHD. Additionally, it is found that the fluid layers associated with R d and B i t exhibit a rapidly growing thermal boundary layer. The temperature gradient increases as a result of stronger convective heating at the sheet, which is physically correlated with a larger B i t . With a greater temperature difference, the thermal influence can penetrate further into the quiescent fluid. As the fluid temperature increases with the Biot number, convective heat transfer is enhanced and the sheet’s thermal resistance decreases. The thermal boundary layer is found to be a highly significant increasing feature of the fluid layers for Q t and Q e .
Figure 5a,b illustrate how the concentration Biot number, chemical-reaction parameter K r , nanoparticle radius D p , and the stimulating influence of inclined MHD affect the concentration profile. The relationship between the Schmidt number ( S c ) and the activation-energy parameter ( E a ) with the concentration profile is shown in Figure 5c,d. The E a increases the profile, while a notable decrease is observed with S c . Physically, the activation-energy parameter provides atoms or molecules with greater energy to interact, thereby intensifying the chemical reaction and enhancing the concentration profile.

6. Response Surface Methodology (RSM)

The interaction between pertinent attributes and the response variable is statistically investigated using RSM. RSM uses data from the central composite design to estimate the model for the dependent variable (Mahanthesh et al. [42]). The heat transport of the { C u / H 2 O } nanoliquid, represented as { N u x R e x ( 1 / 2 ) } , is selected as the dependent variable in this problem, and the independent variables are the magnetic parameter ( 0.3 M 0.7 ) , the nanoparticle radius ( 0.5 D P 2.5 ) , the magnetic parameter ( 0.1 M 0.9 ) , and the radiation parameter ( 0.2 R d 0.6 ) . Table 5 displays the effective parameters and their levels. A generic model for the response variable, including interactive, quadratic, and linear terms, is expressed as follows:
R e s p o n s e = X 1 A 1 + X 2 B 1 + X 3 C 1 + X 4 A 1 B 1 + X 5 B 1 C 1 + X 6 A 1 C 1 + X 7 A 1 2 + X 8 B 1 2 + X 9 C 1 2 + X 1 0
Regression coefficients are represented by X i (i = 1 to 10). According to the CCD, the experimental plan and responses for the 20 runs are shown in Table 6.
The estimated model’s efficiency is detailed in the ANOVA table (Table 7). A parameter is deemed significant if its associated p-value is less than 0.05 and its related F-value is larger than 1. See Areekara et al. [43]. The quadratic terms in M and D p , as well as the interaction term M D p , are found to be meaningless. These terms are, therefore, removed from the model. With a coefficient of determination ( R 2 ) of 99.96, the model’s accuracy is increased. The uncoded version of the fitted quadratic model for N u x / R e x is provided by
N u x / R e x = 0.21763 0.0755 M + 0.01841 D p + 0.3538 R d + 0.0414 M M 0.00599 D P * D p 0.0436 R d R d + 0.01698 M D p 0.0351 M R d + 0.01850 D p R d
The residual versus fitted plot shown in Figure 6 is used to evaluate the estimated model’s dependability. The model’s accuracy is further increased by the fitted versus residual plot, which displays a maximum error of 0.010. By putting the third variable at the midpoint, Figure 7 (contour plots) and Figure 8 (surface plots) demonstrate that two independent factors can have an impact on the dependent variable simultaneously and make it clear that higher values of Rd and D p and a lower M, result in greater heat transfer.

7. Conclusions

For tangent-hyperbolic, water-based C u nanofluid flows, the significance of the C u nanoparticle radius and the effects of various parameters on the temperature distribution, skin friction, velocity profile, microrotation, and Nusselt number—along with micropolar effects, the convective boundary condition, nonlinear thermal radiation, and an exponential heat source—are currently being studied. Using the BVP5C approach, the effects of MHD on the flow over a stretching sheet are determined. Additionally, the graphical depictions illustrate the variations in temperature, velocity, and microrotation caused by various interacting parameters. The influences of inclined MHD, nanoparticle radius, and thermal radiation on the rate of heat transfer are statistically analyzed using RSM. The complex interaction among the variables governed by these parameters leads to the following noteworthy findings from this study:
(1)
The ANOVA table and the residual vs. fitted plot are used to evaluate the efficacy and reliability of the estimated model, respectively, based on the radius and velocity of motion of the nanoparticles.
(2)
Increasing the nanoparticle radius leads to a decrease in microrotational velocity, whereas increasing the γ and K parameters enhances the relative fluid layers.
(3)
Temperature increases with augmentations in exponential heat sources, nonlinear radiation, and the Biot number, but decreases with increasing nanoparticle radius.
(4)
The skin-friction coefficient decreases as the slip parameter, Weissenberg number, magnetic field (M), and nanoparticle radius. Despite this, the Nusselt number exhibits the reverse pattern with respect to the nanoparticle radius.
(5)
The concentration of the nanofluid is enhanced by activation energy.
(6)
The thickness of the hydrodynamic boundary layer strengthens with the radius of the nanoparticle and the inclined MHD ( γ ). It reduces as the second slip parameters increase, but it responds in a different way when the thermal field is included.
(7)
The fitted quadratic regression model is perfect for the given range of involved parameters. N u x / R e x = 0.21763 0.0755 M + 0.01841 D p + 0.3538 R d + 0.0414 M * M 0.00599 D p D p 0.0436 R d R d + 0.01698 M D p 0.0351 M R d + 0.01850 D p R d .

Author Contributions

Conceptualization, D.Y., P.K., M.A. and P.S.M.; methodology, D.Y., P.K. and M.A.; software, D.Y., P.K., M.A. and P.S.M.; validation, D.Y., P.K., M.A. and P.S.M.; formal analysis, D.Y., P.K., M.A. and P.S.M.; writing—original draft, D.Y., P.K., M.A. and P.S.M.; project administration, M.A.; funding acquisition, M.A. All authors have read and agreed to the published version of the manuscript.

Funding

This work was supported and funded by the Deanship of Scientific Research at Imam Mohammad Ibn Saud Islamic University (IMSIU) (grant number IMSIU-DDRSP2502).

Data Availability Statement

The original contributions presented in this study are included in the article. Further inquiries can be directed to the corresponding author.

Acknowledgments

The first author acknowledges the School of Basic and Applied Sciences at KR Mangalam University, India, for its technical support.

Conflicts of Interest

The authors declare no conflicts of interest.

Nomenclature

The following abbreviations are used in this manuscript:
Symbol         Quantity (Unit)
u , v Fluid velocity components (ms−1)
B 0 Uniform magnetic field (Am−1)
f Non-dimensional radial velocity component (ms−1)
aReference velocity, m/s
lCharacteristic length, m
D p Radius of the nanoparticle, m
R e Reynolds number
T Ambient temperature (K(Kelvin))
TFluid temperature (K(Kelvin))
T w Fluid temperature at the cylinder (K(Kelvin))
CFluid Concentration
C Ambient nanoparticle concentration
nPower-law index
C w Nanoparticle concentration at the disc
D B Brownian diffusivity ( m 2 s )
D T Thermophoretic diffusion ( m 2 s )
P r Prandtl number
MMagnetic field parameter
C f x Local drag coefficient
N u x Local Nusselt number
S h x Local Sherwood number
γ Angle
Q t Heat source
WWeissenberg number
k r Chemical reaction parameter
Greek symbols
θ Non-dimensional temperature
ρ Density (m−3kg)
ξ Dimensionless variable
kThermal conductivity (WK−1m−1)
C p Specific heat capacity (JKg−1K−1)
μ Viscosity (Nm−2s1)
κ Boltzmann’s constant (JK ) 1
ν Kinematic Viscosity (m2s−1)
τ v Time material constant, s
σ Electrical conductivity (A2kg−1m−3s3)

References

  1. Choi, S.U.; Eastman, J.A. Enhancing Thermal Conductivity of Fluids with Nanoparticles; Technical Report; Argonne National Lab. (ANL): Argonne, IL, USA, 1995. [Google Scholar]
  2. Ali, B.; Ahammad, N.A.; Awan, A.U.; Oke, A.S.; Tag-ElDin, E.M.; Shah, F.A.; Majeed, S. The dynamics of water-based nanofluid subject to the nanoparticle’s radius with a significant magnetic field: The case of rotating micropolar fluid. Sustainability 2022, 14, 10474. [Google Scholar] [CrossRef]
  3. Khalil, S.; Yasmin, H.; Abbas, T.; Muhammad, T. Analysis of thermal conductivity variation in magneto-hybrid nanofluids flow through porous medium with variable viscosity and slip boundary. Case Stud. Therm. Eng. 2024, 57, 104314. [Google Scholar] [CrossRef]
  4. Sachhin, S.; Mahabaleshwar, U.; Huang, H.; Sunden, B.; Zeidan, D. An influence of temperature jump and Navier’s slip-on hybrid nano fluid flow over a permeable stretching/shrinking sheet with heat transfer and inclined MHD. Nanotechnology 2023, 35, 115401. [Google Scholar] [CrossRef]
  5. Shah, N.A.; Animasaun, I.; Chung, J.D.; Wakif, A.; Alao, F.; Raju, C. Significance of nanoparticle’s radius, heat flux due to concentration gradient, and mass flux due to temperature gradient: The case of Water conveying copper nanoparticles. Sci. Rep. 2021, 11, 1882. [Google Scholar] [CrossRef]
  6. Venkatesh, N.; Raju, R.S.; Anil Kumar, M.; Dharmendar Reddy, Y. A numerical study on MHD Maxwell fluid with nanoparticles over a stretching surface: Impacts of thermal radiation, convective boundary condition and induced magnetic field. Numer. Heat Transf. Part A Appl. 2024, 86, 6083–6098. [Google Scholar] [CrossRef]
  7. Ajithkumar, M.; Lakshminarayana, P.; Vajravelu, K. Peristaltic transport of MHD Ree–Eyring fluid through a flexible channel under the influence of activation energy. Phys. Fluids 2023, 35, 063122. [Google Scholar] [CrossRef]
  8. Mutegi, R.; Okello, J.; Kimathi, M. Analysis of Effect of Inclined Magnetic Field on MHD Boundary Layer Flow over a Porous Exponentially Stretching Sheet Subject to Thermal Radiation. Asian Res. J. Math. 2021, 17, 20–33. [Google Scholar] [CrossRef]
  9. Srinivasulu, T.; Goud, B.S. Effect of inclined magnetic field on flow, heat and mass transfer of Williamson nanofluid over a stretching sheet. Case Stud. Therm. Eng. 2021, 23, 100819. [Google Scholar] [CrossRef]
  10. Hayat, T.; Shafiq, A.; Alsaedi, A.; Asghar, S. Effect of inclined magnetic field in flow of third grade fluid with variable thermal conductivity. AIP Adv. 2015, 5, 087108. [Google Scholar] [CrossRef]
  11. Ragavan, C.; Munirathinam, S.; Hakeem, A.A.; Nayak, M.K.; Makinde, O.D. Effect of inclined magnetic field and heat transfer in a Walter’s B fluid over a stretching sheet with elastic deformation. Int. J. Eng. Res. Afr. 2020, 48, 38–48. [Google Scholar] [CrossRef]
  12. Alam, M.S.; Islam, M.R.; Ali, M.; Alim, M.A.; Alam, M.M. Magnetohydrodynamic boundary layer flow of non-Newtonian fluid and combined heat and mass transfer about an inclined stretching sheet. Open J. Appl. Sci. 2015, 5, 279–294. [Google Scholar] [CrossRef]
  13. Al-Sudais, N.S. Thermal radiation effects on MHD fluid flow near stagnation point of linear stretching sheet with variable thermal conductivity. Proc. Int. Math. Forum 2012, 7, 2525–2544. [Google Scholar]
  14. Ali, A.; Khan, H.S.; Saleem, S.; Hussan, M. EMHD nanofluid flow with radiation and variable heat flux effects along a slandering stretching sheet. Nanomaterials 2022, 12, 3872. [Google Scholar] [CrossRef]
  15. Reddy, M.V.; Vajravelu, K.; Ajithkumar, M.; Sucharitha, G.; Lakshminarayana, P. Numerical treatment of entropy generation in convective MHD Williamson nanofluid flow with Cattaneo–Christov heat flux and suction/injection. Int. J. Model. Simul. 2024, 1–18. [Google Scholar] [CrossRef]
  16. Hady, F.M.; Ibrahim, F.S.; Abdel-Gaied, S.M.; Eid, M.R. Radiation effect on viscous flow of a nanofluid and heat transfer over a nonlinearly stretching sheet. Nanoscale Res. Lett. 2012, 7, 229. [Google Scholar] [CrossRef]
  17. Mabood, F.; Ibrahim, S.; Kumar, P.; Lorenzini, G. Effects of slip and radiation on convective MHD Casson nanofluid flow over a stretching sheet influenced by variable viscosity. J. Eng. Thermophys. 2020, 29, 303–315. [Google Scholar] [CrossRef]
  18. Das, K. Impact of thermal radiation on MHD slip flow over a flat plate with variable fluid properties. Heat Mass Transf. 2012, 48, 767–778. [Google Scholar] [CrossRef]
  19. Anagandula, S.; Reddy, K. Velocity and thermal slips impact on the Williamson fluid flow above a stretching sheet in the existence of radiation and inclined magnetic field. CFD Lett. 2024, 16, 118–135. [Google Scholar] [CrossRef]
  20. Mabood, F.; Shateyi, S. Multiple slip effects on MHD unsteady flow heat and mass transfer impinging on permeable stretching sheet with radiation. Model. Simul. Eng. 2019, 2019, 3052790. [Google Scholar] [CrossRef]
  21. Ajithkumar, M.; Lakshminarayana, P.; Sucharitha, G.; Vajravelu, K. Investigation of convective peristaltic flow of non-Newtonian fluids through a non-uniform tapered porous conduit with Ohmic heating and viscous dissipation. Int. J. Model. Simul. 2024, 1–14. [Google Scholar] [CrossRef]
  22. Jagadesh, V.; Sreenadh, S.; Ajithkumar, M.; Lakshminarayana, P.; Sucharitha, G. Numerical exploration of the peristaltic flow of MHD Jeffrey nanofluid through a non-uniform porous channel with Arrhenius activation energy. Numer. Heat Transf. Part A Appl. 2025, 86, 5542–5556. [Google Scholar] [CrossRef]
  23. Asghar, A.; Dero, S.; Lund, L.A.; Shah, Z.; Alshehri, M.H.; Vrinceanu, N. Slip effects on magnetized radiatively hybridized ferrofluid flow with acute magnetic force over shrinking/stretching surface. Open Phys. 2024, 22, 20240052. [Google Scholar] [CrossRef]
  24. Srinu, A.; Reddy, K.S.; Amar, N. Radiation and inclined magnetic field effects on Williamson fluid flow above a stretching sheet in the existence of velocity, thermal, and concentration slips. Partial. Differ. Equ. Appl. Math. 2024, 9, 100611. [Google Scholar] [CrossRef]
  25. Patel, V.K.; Pandya, J.U.; Patel, M.R. Exploring the effects of TiO2–Ag/water hybrid nanofluid on MHD flow over a permeable exponentially stretching–shrinking sheet with radiative heat transfer and slip conditions. ZAMM-J. Appl. Math. Mech./Z. Angew. Math. Mech. 2024, 104, e202200351. [Google Scholar] [CrossRef]
  26. Krishna, M.V.; Kumar, A.V. Chemical reaction, slip effects and non-linear thermal radiation on unsteady MHD Jeffreys nanofluid flow over a stretching sheet. Case Stud. Therm. Eng. 2024, 55, 104129. [Google Scholar] [CrossRef]
  27. Adel, M.; Khader, M.; Ahmad, H. MHD nanofluid flow and heat transfer caused by a stretching sheet that is heated convectively: An approximate solution using ADM. Case Stud. Therm. Eng. 2024, 60, 104683. [Google Scholar] [CrossRef]
  28. Madiha Takreem, K.; Venkateswarlu, B.; Misra, A.; Satya Narayana, P.; Harish Babu, D. Optimization of heat transfer characteristics of Casson hybrid nanofluid flow over a porous exponentially elongating surface using RSM approach. J. Therm. Anal. Calorim. 2025, 150, 2133–2149. [Google Scholar] [CrossRef]
  29. Baithalu, R.; Mishra, S.; Pattnaik, P.; Panda, S. Optimizing shear and couple stress analysis for the magneto-micropolar dissipative nanofluid flow toward an elongating surface: A comprehensive RSM-ANOVA investigation. J. Therm. Anal. Calorim. 2024, 149, 1697–1713. [Google Scholar] [CrossRef]
  30. Kumar, P.; Poonia, H.; Ali, L.; Areekara, S. The numerical simulation of nanoparticle size and thermal radiation with the magnetic field effect based on tangent hyperbolic nanofluid flow. Case Stud. Therm. Eng. 2022, 37, 102247. [Google Scholar] [CrossRef]
  31. Pal, D.; Mandal, G. Thermal radiation and MHD effects on boundary layer flow of micropolar nanofluid past a stretching sheet with non-uniform heat source/sink. Int. J. Mech. Sci. 2017, 126, 308–318. [Google Scholar] [CrossRef]
  32. Ramzan, M.; Lone, S.A.; Dawar, A.; Saeed, A.; Kumam, W.; Kumam, P. Significance of nanoparticle radius and inter-particle spacing toward the radiative water-based alumina nanofluid flow over a rotating disk. Nanotechnol. Rev. 2023, 12, 20220501. [Google Scholar] [CrossRef]
  33. Al-Kouz, W.; Swain, K.; Mahanthesh, B.; Jamshed, W. Significance of exponential space-based heat source and inclined magnetic field on heat transfer of hybrid nanoliquid with homogeneous–heterogeneous chemical reactions. Heat Transf. 2021, 50, 4086–4102. [Google Scholar] [CrossRef]
  34. Ibrahim, W. Magnetohydrodynamics (MHD) flow of a tangent hyperbolic fluid with nanoparticles past a stretching sheet with second order slip and convective boundary condition. Results Phys. 2017, 7, 3723–3731. [Google Scholar] [CrossRef]
  35. Zhu, J.; Cao, J. Effects of nanolayer and second order slip on unsteady nanofluid flow past a wedge. Mathematics 2019, 7, 1043. [Google Scholar] [CrossRef]
  36. Ramzan, M.; Farooq, M.; Hayat, T.; Chung, J.D. Radiative and Joule heating effects in the MHD flow of a micropolar fluid with partial slip and convective boundary condition. J. Mol. Liq. 2016, 221, 394–400. [Google Scholar] [CrossRef]
  37. Gosukonda, S.; Gorti, V.S.; Baluguri, S.B.; Sakam, S.R. Particle spacing and chemical reaction effects on convective heat transfer through a nano-fluid in cylindrical annulus. Procedia Eng. 2015, 127, 263–270. [Google Scholar] [CrossRef]
  38. Graham, A.L. On the viscosity of suspensions of solid spheres. Appl. Sci. Res. 1981, 37, 275–286. [Google Scholar] [CrossRef]
  39. Hamad, M. Analytical solution of natural convection flow of a nanofluid over a linearly stretching sheet in the presence of magnetic field. Int. Commun. Heat Mass Transf. 2011, 38, 487–492. [Google Scholar] [CrossRef]
  40. Reddy Gorla, R.S.; Sidawi, I. Free convection on a vertical stretching surface with suction and blowing. Appl. Sci. Res. 1994, 52, 247–257. [Google Scholar] [CrossRef]
  41. Khan, W.; Pop, I. Boundary-layer flow of a nanofluid past a stretching sheet. Int. J. Heat Mass Transf. 2010, 53, 2477–2483. [Google Scholar] [CrossRef]
  42. Mahanthesh, B.; Shehzad, S.; Mackolil, J.; Shashikumar, N. Heat transfer optimization of hybrid nanomaterial using modified Buongiorno model: A sensitivity analysis. Int. J. Heat Mass Transf. 2021, 171, 121081. [Google Scholar] [CrossRef]
  43. Areekara, S.; Mackolil, J.; Mahanthesh, B.; Mathew, A.; Rana, P. A study on nanoliquid flow with irregular heat source and realistic boundary conditions: A modified Buongiorno model for biomedical applications. ZAMM-J. Appl. Math. Mech./Z. Angew. Math. Mech. 2022, 102, e202100167. [Google Scholar] [CrossRef]
Figure 1. Physical flow diagram.
Figure 1. Physical flow diagram.
Symmetry 17 01928 g001
Figure 2. (ad) Fluctuation in velocity profile f ( ξ ) with D p and inclined MHD at various values of W, K, α 1 and α 2 .
Figure 2. (ad) Fluctuation in velocity profile f ( ξ ) with D p and inclined MHD at various values of W, K, α 1 and α 2 .
Symmetry 17 01928 g002
Figure 3. (ad) Deviation in the microrotation velocity profile, β ( ξ ) , with D p and inclined MHD at various values of W, K, α 1 , and α 2 .
Figure 3. (ad) Deviation in the microrotation velocity profile, β ( ξ ) , with D p and inclined MHD at various values of W, K, α 1 , and α 2 .
Symmetry 17 01928 g003
Figure 4. (ad) Variation in θ ( ξ ) with D p and inclined MHD at various values of R d , B i t , Q t , and Q e .
Figure 4. (ad) Variation in θ ( ξ ) with D p and inclined MHD at various values of R d , B i t , Q t , and Q e .
Symmetry 17 01928 g004
Figure 5. (ad) Deviation in the concentration profile ψ ( ξ ) with D p and the inclined MHD at various values of B i c , K r , E A , and S c .
Figure 5. (ad) Deviation in the concentration profile ψ ( ξ ) with D p and the inclined MHD at various values of B i c , K r , E A , and S c .
Symmetry 17 01928 g005
Figure 6. Residuals Plots for N u x ( R e x ) 1 / 2 .
Figure 6. Residuals Plots for N u x ( R e x ) 1 / 2 .
Symmetry 17 01928 g006
Figure 7. Contour plots for N u x ( R e x ) 1 / 2 .
Figure 7. Contour plots for N u x ( R e x ) 1 / 2 .
Symmetry 17 01928 g007
Figure 8. Surface plots for N u x ( R e x ) 1 / 2 .
Figure 8. Surface plots for N u x ( R e x ) 1 / 2 .
Symmetry 17 01928 g008
Table 1. The nanofluid’s thermophysical characteristics.
Table 1. The nanofluid’s thermophysical characteristics.
PropertiesNanofluid
Viscosity ( μ ) R 1 = μ n f μ b f = 1 + 5 2 ϕ + 1 H D p H D p + 2 H D p + 2 2
Density ( ρ ) R 2 = ρ n f ρ f = ( 1 ϕ ) + ρ s ρ f ϕ
Electrical conductivity ( σ ) R 3 = σ n f σ f = 1 + 3 σ s σ f 1 ϕ σ s σ f + 2 σ s σ f 1 ϕ ,
The thermal conductivity R 4 = k b f k f = 2 ϕ ( κ f κ s ) + 2 κ f + κ s 2 κ f + κ s + ϕ ( κ f κ s )
Heat capacity of the nanofluid ( ρ C p ) R 5 = ( ρ C p ) n f ( ρ C p ) f = ( ρ c p ) s ( ρ c p ) f ϕ + ( ρ c p ) f ( 1 ϕ )
Table 2. Evaluation of ( θ ( 0 ) ) .
Table 2. Evaluation of ( θ ( 0 ) ) .
(Pr) Hamad [39]Reddy et al. [40]Khan et al. [41]Present Result
000.0700.066300.0656000.06560.0662700
000.0200.169100.169100.169090.1690970
000.7000.4539000.5349000.453910.4539290
002.0800.911300.911400.911360.911340
07.0001.895401.89050001.895401.895490
0020.0003.35390003.3539003.353903.353930
070.0006.46220006.4622006.462206.462033
Table 3. The skin local drag C f x for different values of W , K , α 1 , α 2 at D p = 1.5 , D P = 2.5 .
Table 3. The skin local drag C f x for different values of W , K , α 1 , α 2 at D p = 1.5 , D P = 2.5 .
D p WK α 1 α 2 γ = 45 γ = 60 γ = 90
C f x R e x 1 / 2
0.510.20.3−0.20.1714030.1643880.157900
-2---0.1782990.1700960.162549
-3---0.1828260.1732440.164507
-10.1--0.1714030.1643880.157900
--0.3--0.1801270.1736790.167681
--0.5--0.1872150.1763560.175605
---0.2-0.1612180.1541740.147726
---0.4-0.1446430.1375700.131204
---0.6-0.1316510.1245810.118308
----−0.10.1856570.1798090.174352
----−0.30.1603490.1525810.145462
----−0.50.1438060.1351250.127294
2.510.20.3−0.20.6356140.6240380.613040
-2---0.6454800.6325980.620323
-3---0.6534470.6388750.624930
-10.1--0.6356140.6240380.613040
--0.3--0.6522550.6424150.633078
--0.5--0.6617030.6527850.644332
---0.2-0.6037320.5910080.579044
---0.4-0.5509610.5365360.523183
---0.6-0.5086850.49308600.4788178
----−0.10.6538150.6442630.635207
----−0.30.6191060.6058160.593201
----−0.50.5901250.5740800.558918
Table 4. The Nusselt number N u x for different values of W , R d , α 1 , n , B i t at D p = 1.5 , D p = 2.5 .
Table 4. The Nusselt number N u x for different values of W , R d , α 1 , n , B i t at D p = 1.5 , D p = 2.5 .
D p W R d α 1 B i t n γ = 45 γ = 60 γ = 90
N u x R e x 1 / 2
0.510.30.30.40.10.3407750.3336760.325730
-2----0.3364370.3279000.318076
-3----0.3307440.32009930.307367
--0.2---0.2761130.2706800.264769
--0.5---0.3724450.3643100.355064
--0.8---0.4643380.4520470.4373610
---0.2--0.3347650.3263460.316736
---0.4--0.3226030.31095220.296955
---0.6--0.3100030.2940700.273516
----0.1-0.1297830.1282270.126461
----0.3-0.3407750.3336760.325730
----0.5-0.5006080.4864000.470715
-----0.20.3366050.3282560.318675
-----0.30.3240840.3111480.294880
-----0.40.2985210.2709270.223660
2.510.30.30.40.10.3677230.3659590.364185
-2----0.3668450.3649000.362930
-3----0.3657740.3635890.361355
--0.2---0.2979770.2965020.2950280
--0.5---0.4024070.4004760.3985308
--0.8---0.5055710.5030450.500479
---0.2--0.36468060.36259650.360498
---0.4--0.35887390.3561240.353344
---0.6--0.3533330.3498790.346364
----0.1-0.1355070.1351390.134769
----0.3-0.3677230.3659590.364185
----0.5-0.5562780.5525520.548818
-----0.20.3666640.3647330.362782
-----0.30.3638090.3613830.358900
-----0.40.3590200.3555970.352000
Table 5. Levels of effective parameters.
Table 5. Levels of effective parameters.
ParameterSymbolLevels
(Low)(−1) (Median)(0) (High)(1)
M A 1 0.30.50.7
D p B 1 0.51.52.5
R d C 1 0.40.40.6
Table 6. Response-based experimental design.
Table 6. Response-based experimental design.
R u n A 1 B 1 C 1 M D p R d N u x R e x 1 / 2
1−1−1−10.30.50.20.277591
21−1−10.70.50.20.264769
3−11−10.32.50.20.298398
411−10.72.50.20.295028
5−1−110.30.50.60.406078
61−110.70.50.60.383514
7−1110.32.50.60.43755
81110.72.50.60.432702
9−1000.31.50.40.358964
101010.71.50.40.35728
110−100.50.50.40.334737
120100.52.50.40.366211
1300−10.51.50.20.287633
140010.51.50.60.421811
150000.51.50.40.355221
160000.51.50.40.355221
170000.51.50.40.355221
180000.51.50.40.355221
190000.51.50.40.355221
200000.51.50.40.355221
Table 7. ANOVA table.
Table 7. ANOVA table.
SourceDeg.Adj. SumAdj. MeanF-Valuep-Value
of Freedom of Squares Squares
Model90.0466080.005179986.760.000
Linear30.0461960.0153992934.120.000
M10.0002050.00020539.080.000
D p 10.0026630.002663507.500.000
Rd10.0433270.0433278255.780.000
Square30.0001940.00006512.330.001
M M 10.0000080.0000081.440.258
D p D p 10.0000990.00009918.810.001
R d R d 10.0000080.0000081.590.236
2-Way Interaction30.0002170.00007213.810.001
M D p 10.0000920.00009217.580.002
M R d 10.0000160.0000163.000.114
D p R d 10.0001090.00010920.860.001
Error100.0000520.000005
Lack-of-Fit50.0000520.000010**
Pure Error50.0000000.000000
Total190.046660
* p-value is less than 0.05 and F-value is larger than 1.
Disclaimer/Publisher’s Note: The statements, opinions and data contained in all publications are solely those of the individual author(s) and contributor(s) and not of MDPI and/or the editor(s). MDPI and/or the editor(s) disclaim responsibility for any injury to people or property resulting from any ideas, methods, instructions or products referred to in the content.

Share and Cite

MDPI and ACS Style

Yadav, D.; Kumar, P.; Aquib, M.; Malik, P.S. Relevance of Inclined Magnetohydrodynamics and Nanoparticle Radius on Tangent-Hyperbolic Flow over a Stretching Sheet: A Symmetric Modeling Perspective with Higher-Order Slip. Symmetry 2025, 17, 1928. https://doi.org/10.3390/sym17111928

AMA Style

Yadav D, Kumar P, Aquib M, Malik PS. Relevance of Inclined Magnetohydrodynamics and Nanoparticle Radius on Tangent-Hyperbolic Flow over a Stretching Sheet: A Symmetric Modeling Perspective with Higher-Order Slip. Symmetry. 2025; 17(11):1928. https://doi.org/10.3390/sym17111928

Chicago/Turabian Style

Yadav, Dipika, Pardeep Kumar, Md Aquib, and Partap Singh Malik. 2025. "Relevance of Inclined Magnetohydrodynamics and Nanoparticle Radius on Tangent-Hyperbolic Flow over a Stretching Sheet: A Symmetric Modeling Perspective with Higher-Order Slip" Symmetry 17, no. 11: 1928. https://doi.org/10.3390/sym17111928

APA Style

Yadav, D., Kumar, P., Aquib, M., & Malik, P. S. (2025). Relevance of Inclined Magnetohydrodynamics and Nanoparticle Radius on Tangent-Hyperbolic Flow over a Stretching Sheet: A Symmetric Modeling Perspective with Higher-Order Slip. Symmetry, 17(11), 1928. https://doi.org/10.3390/sym17111928

Note that from the first issue of 2016, this journal uses article numbers instead of page numbers. See further details here.

Article Metrics

Back to TopTop