Research on Dynamic Incentive Mechanism for Co-Creation of Value in Innovation-Oriented Platform Ecosystem Considering Supervision
Abstract
1. Introduction
2. Literature Review
2.1. Incentive Structures for Value Co-Creation
2.2. Supervisory Governance Under Information Asymmetry
2.3. Synthesis and Implications for Research
3. Model Assumptions, Formulation and Solution
3.1. Model Assumptions
3.2. The Game-Theoretic Framework
3.3. Model Formulation
3.4. Model Solution
4. Model Equilibrium Analysis
4.1. Analysis of the Impact on the Platform’s Innovation Revenue Levels
4.2. Analysis of Embedded Enterprise’s Effort Levels
4.3. Analysis of Embedded Enterprise’s Revenue Levels
4.4. Analysis of the Platform Enterprise’s Governance Decisions and Revenue Levels
5. Numerical Analysis
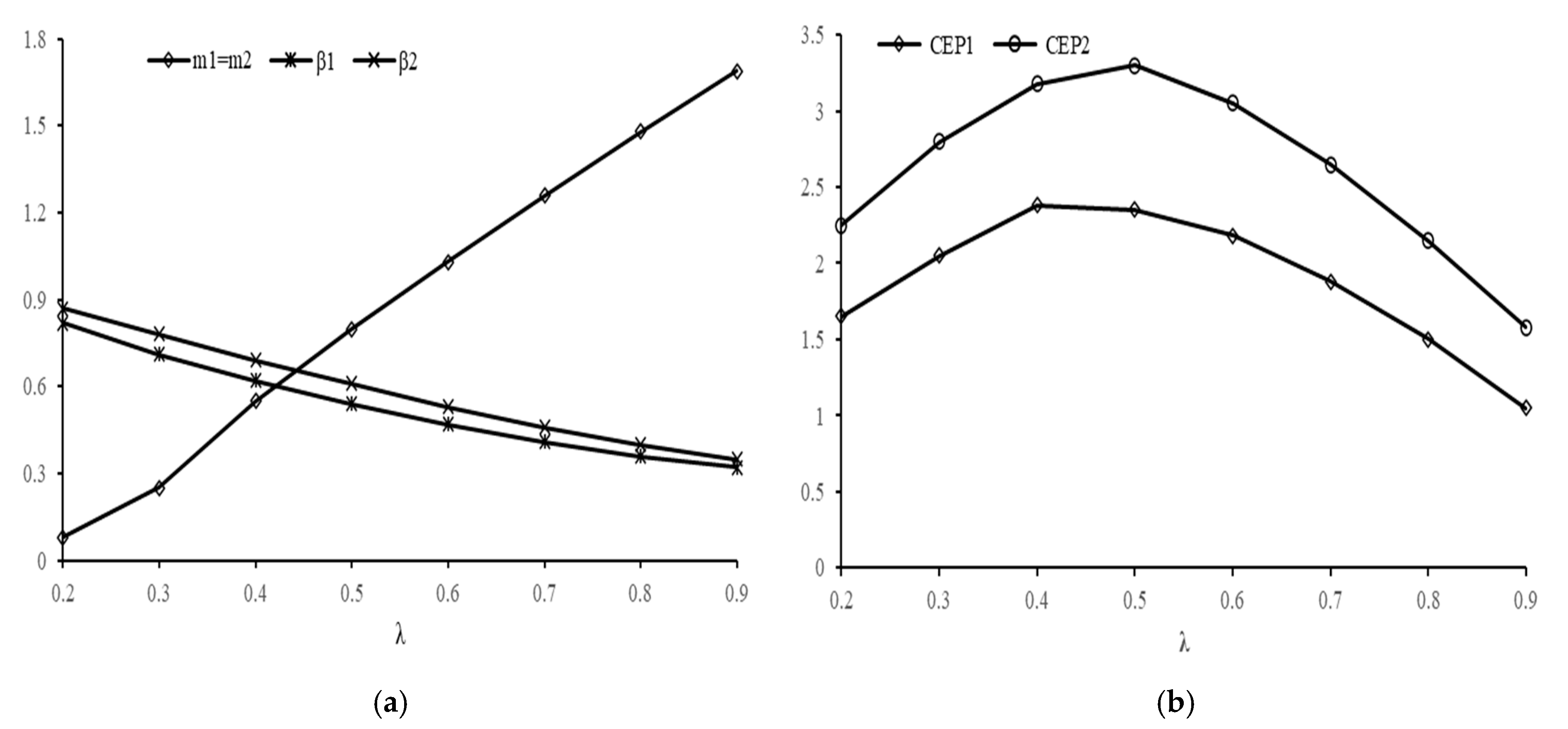
5.1. Impact of the Value Preference Parameter on the Platform’s Innovation Revenue Levels
5.2. Impact of the Value Preference Parameter on the Embedded Enterprise’s Effort Levels
5.3. Impact of the Value Preference Parameter on Embedded Enterprise’s Revenue Levels
5.4. Impact of the Value Preference Parameter on the Platform Enterprise’s Governance Decisions and Revenue Levels
6. Conclusions and Discussions
6.1. Research Conclusions
6.2. Managerial Implications
6.3. Limitations and Future Research Directions
Author Contributions
Funding
Data Availability Statement
Acknowledgments
Conflicts of Interest
Appendix A
Appendix A.1
Appendix A.2
Appendix A.3
Appendix A.4
References
- Parker, G.G.; Van Alstyne, M.W.; Choudary, S.P. Platform Revolution: How Networked Markets Are Transforming the Economy and How to Make Them Work for You; W. W. Norton & Company: New York, NY, USA, 2016. [Google Scholar]
- Kapoor, R.; Agarwal, S. Sustaining superior performance in business ecosystems: Evidence from application software developers in the iOS and android smartphone ecosystems. Organ. Sci. 2017, 28, 531–551. [Google Scholar] [CrossRef]
- Gawer, A.; Cusumano, M.A. Platform Leadership: How Intel, Microsoft, and Cisco Drive Industry Innovation; Harvard Business School Press: Boston, MA, USA, 2002. [Google Scholar]
- Gawer, A. Bridging differing perspectives on technological platforms: Toward an integrative framework. Res. Policy 2014, 43, 1239–1249. [Google Scholar] [CrossRef]
- Mcintyre, D.P.; Srinivasan, A. Networks, platforms, and strategy: Emerging views and next steps. Strategy. Manag. J. 2017, 38, 141–160. [Google Scholar] [CrossRef]
- Tiwana, A. Platform desertion by app developers. J. Manag. Inf. Syst. 2015, 32, 40–77. [Google Scholar] [CrossRef]
- Xu, X.; Ji, Y.; Bian, Y.; Sun, Y. Service outsourcing under co-opetition and information asymmetry. J. Oper. Res. Soc. 2017, 68, 1–12. [Google Scholar] [CrossRef]
- Cachon, G.P.; Lariviere, M.A. Supply chain coordination with revenue-sharing contracts: Strengths and limitations. Manag. Sci. 2005, 51, 30–44. [Google Scholar] [CrossRef]
- Cui, T.H.; Raju, J.S.; Zhang, Z.J. Fairness and channel coordination. Manag. Sci. 2007, 53, 1304–1314. [Google Scholar] [CrossRef]
- Chen, L.; Lee, H.L. Sourcing under supplier responsibility risk: The effects of certification, audit, and contingency payment. Manag. Sci. 2017, 63, 2795–2812. [Google Scholar] [CrossRef]
- Shen, L.; Wang, Y.Y. Supervision mechanism for pollution behavior of Chinese enterprises based on haze governance. J. Clean. Prod. 2018, 197, 571–582. [Google Scholar] [CrossRef]
- Joseph, K.; Thevaranjan, A. Monitoring and incentives in sales organizations: An agency-theoretic perspective. Mark. Sci. 1998, 17, 107–123. [Google Scholar] [CrossRef]
- Handley, S.M.; Gray, J.V. Inter-organizational quality management: The use of contractual incentives and monitoring mechanisms with outsourced manufacturing. Prod. Oper. Manag. 2013, 22, 1540–1556. [Google Scholar] [CrossRef]
- Alonso-Paulí, E. Incentives versus monitoring within the firm: Understanding codes of corporate governance. Manag. Decis. Econ. 2022, 43, 813–828. [Google Scholar] [CrossRef]
- Zhang, Y.F.; Xu, Q. Agency contracts with incentive mechanisms considering supplier risk aversion in a dynamic platform supply chain. Ann. Oper. Res. 2024. [Google Scholar] [CrossRef]
- Zhang, H.; Yu, L.; Zhang, W.Y. Dynamic performance incentive model with supervision mechanism for PPP projects. Eng. Constr. Archit. Manag. 2020, 27, 2643–2659. [Google Scholar] [CrossRef]
- Eisenmann, T.; Parker, G.; Van Alstyne, M. Platform envelopment. Strateg. Manag. J. 2011, 32, 1270–1285. [Google Scholar] [CrossRef]
- Bolton, P.; Dewatripont, M. Contract Theory; MIT Press: Cambridge, MA, USA, 2004. [Google Scholar]
- Bakos, Y.; Dellarocas, C. Cooperation without enforcement? A comparative analysis of litigation and online reputation as quality assurance nechanisms. Manag. Sci. 2011, 57, 1944–1962. [Google Scholar] [CrossRef]
- Atasoy, B.; Schulte, F.; Steenkamp, A. Platform-based collaborative routing using dynamic prices as incentives. Transp. Res. Rec. 2020, 2674, 670–679. [Google Scholar] [CrossRef]
- Cui, R.M.; Gallino, S.; Moreno, A.; Zhang, D.J. The Operational Value of Social Media Information. Prod. Oper. Manag. 2018, 27, 1749–1769. [Google Scholar] [CrossRef]
- Boudreau, K. Open platform strategies and innovation: Granting access vs. devolving control. Manage. Sci. 2010, 56, 1849–1872. [Google Scholar] [CrossRef]
- Luca, M.; Zervas, G. Fake It Till you make it: Reputation, competition, and yelp review fraud. Manag. Sci. 2016, 62, 3412–3427. [Google Scholar] [CrossRef]
- Dranove, D.; Jin, G.Z. Quality Disclosure and certification: Theory and practice. J. Econ. Lit. 2010, 48, 935–963. [Google Scholar] [CrossRef]
- Liu, J.W.; Ma, G.H. Study on incentive and supervision mechanisms of technological innovation in megaprojects based on the principal–agent theory. Eng. Constr. Archit. Manag. 2021, 28, 1593–1614. [Google Scholar] [CrossRef]
- Belleflamme, P.; Peitz, M. The Economics of Platforms: Concepts and Strategy; Cambridge University Press: Cambridge, UK, 2021. [Google Scholar]
- Xue, J.; He, Y.S.; Liu, M.; Tang, Y.; Xu, H.Y. Incentives for corporate environmental information disclosure in China: Public media pressure, local government supervision and interactive effects. Sustainability 2021, 13, 10016. [Google Scholar] [CrossRef]
- Wareham, J.; Fox, P.B.; Giner, J.L.C. Technology ecosystem governance. Organ. Sci. 2014, 25, 1195–1215. [Google Scholar] [CrossRef]
- Benjaafar, S.; Ding, J.Y.; Kong, G.; Taylor, T. Labor welfare in on-demand service platforms. Manuf. Serv. Oper. Manag. 2022, 24, 110–124. [Google Scholar] [CrossRef]
- Wang, X.; Li, S.; Yang, H.; Shen, Y. Study on dynamic incentive contracts in telecom business innovation with win-win consideration. J. Syst. Eng. 2011, 26, 671–678. [Google Scholar]
- Zu, J.; Xu, F.; Jin, T.; Xiang, W. Reward and punishment mechanism with weighting enhances cooperation in evolutionary games. Physica A 2022, 607, 128165. [Google Scholar] [CrossRef]
- Zhang, W.; Gao, L.; Zolghadr, M.; Jian, D.; ElHafsi, M. Dynamic incentives for sustainable contract farming. Prod. Oper. Manag. 2023, 32, 2049–2067. [Google Scholar] [CrossRef]
- Holmström, B. Moral hazard and observability. Bell J. Econ. 1979, 10, 74–91. [Google Scholar] [CrossRef]
- Holmström, B.; Milgrom, P. Aggregation and linearity in the provision of intertemporal incentives. Econometrica 1987, 55, 303–328. [Google Scholar] [CrossRef]
- Liu, Q.; Zhang, L. PPP: Social monitoring, external regulation and the design of optimal incentive contract. China Econ. Q. 2021, 21, 999–1022. [Google Scholar]
- Bakos, Y.; Katsamakas, E. Design and ownership of two-sided networks: Implications for internet platforms. J. Manag. Inf. Syst. 2008, 25, 171–202. [Google Scholar] [CrossRef]
- Laffont, J.J.; Martimort, D. The Theory of Incentives: The Principal–agent Model; Princeton University Press: Princeton, NJ, USA, 2002. [Google Scholar]
- Gawer, A.; Cusumano, M.A. Industry platforms and ecosystem innovation. J. Prod. Innov. Manag. 2014, 31, 417–433. [Google Scholar] [CrossRef]
- Qin, Y.; Wang, X.; Yang, W. Design of government incentive and supervision mechanisms for sediment resource utilization based on principal–agent theory. J. Manag. Eng. 2022, 36, 129–143. [Google Scholar]





Disclaimer/Publisher’s Note: The statements, opinions and data contained in all publications are solely those of the individual author(s) and contributor(s) and not of MDPI and/or the editor(s). MDPI and/or the editor(s) disclaim responsibility for any injury to people or property resulting from any ideas, methods, instructions or products referred to in the content. |
© 2025 by the authors. Licensee MDPI, Basel, Switzerland. This article is an open access article distributed under the terms and conditions of the Creative Commons Attribution (CC BY) license (https://creativecommons.org/licenses/by/4.0/).
Share and Cite
Wang, X.; Lei, M.; Wang, D.; Cao, J. Research on Dynamic Incentive Mechanism for Co-Creation of Value in Innovation-Oriented Platform Ecosystem Considering Supervision. Symmetry 2025, 17, 1884. https://doi.org/10.3390/sym17111884
Wang X, Lei M, Wang D, Cao J. Research on Dynamic Incentive Mechanism for Co-Creation of Value in Innovation-Oriented Platform Ecosystem Considering Supervision. Symmetry. 2025; 17(11):1884. https://doi.org/10.3390/sym17111884
Chicago/Turabian StyleWang, Xiaoming, Mengxi Lei, Diyuan Wang, and Junyi Cao. 2025. "Research on Dynamic Incentive Mechanism for Co-Creation of Value in Innovation-Oriented Platform Ecosystem Considering Supervision" Symmetry 17, no. 11: 1884. https://doi.org/10.3390/sym17111884
APA StyleWang, X., Lei, M., Wang, D., & Cao, J. (2025). Research on Dynamic Incentive Mechanism for Co-Creation of Value in Innovation-Oriented Platform Ecosystem Considering Supervision. Symmetry, 17(11), 1884. https://doi.org/10.3390/sym17111884
