Sugar Asymmetry: The Evolution of De Novo Asymmetric Syntheses of Carbohydrates from Hexoses to Oligosaccharides
Abstract
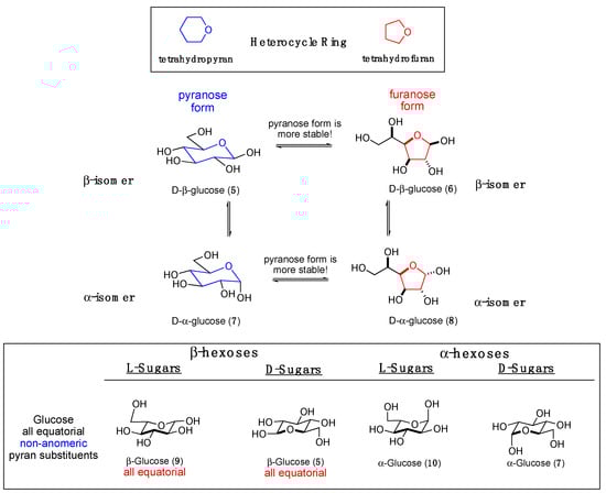
1. Introduction
2. Formose Synthesis
3. Fischer Synthesis of the Hexoses
4. Sharpless De Novo Asymmetric Synthesis of the Hexoses
5. Other De Novo Asymmetric Carbohydrate Syntheses
6. De Novo Asymmetric Achmatowicz Approach to Carbohydrates
7. Rhee Synthesis of Carbohydrates
8. The De Novo Asymmetric Synthesis of Landomycins
9. De Novo Approaches to Higher Order Sugars
10. Conclusions
Author Contributions
Funding
Data Availability Statement
Conflicts of Interest
References
- Garelick, R. When Did We Become So Obsessed with Being Symmetrical. The New York Times, 23 August 2022. [Google Scholar]
- Simmons, L.W.; Rhodes, G.; Peters, M.; Koehler, N. Are human preferences for facial symmetry focused on signals of developmental instability? Behav. Ecol. 2004, 15, 864–871. [Google Scholar] [CrossRef]
- Misselhorn, C. Empathy with inanimate objects and the uncanny valley. Minds Mach. 2009, 19, 345–359. [Google Scholar] [CrossRef]
- McManus, I.C. Symmetry and asymmetry in aesthetics and the arts. Eur. Rev. 2005, 13, 157–180. [Google Scholar] [CrossRef]
- Eliel, E.; Willen, S.H.; Mander, L.N. Stereochemistry of Organic Compounds; John Wiley & Sons, Inc.: New York, NY, USA, 1994; ISBN 0-471-01670-5. [Google Scholar]
- Mizuno, T.; Weiss, A.H. Synthesis and utilization of formose sugars. Adv. Carbohydr. Chem. Biochem. 1974, 29, 173–227. [Google Scholar]
- Aljahdali, A.Z.; Shi, P.; Zhong, Y.; O’Doherty, G.A. De Novo Asymmetric Synthesis of the Pyranoses: From Monosaccharides To Oligosaccharides. In Advances in Carbohydrate Chemistry and Biochemistry; Horton, D., Ed.; Elsevier: Amsterdam, The Netherlands, 2013; Volume 69, pp. 55–123. [Google Scholar]
- Kim, S.; Oiler, J.; Xing, Y.; O’Doherty, G.A. Asymmetric Achmatowicz Approach to Oligosaccharides. Chem. Commun. 2022, 58, 12913–12926. [Google Scholar] [CrossRef] [PubMed]
- Kim, S.; O’Doherty, G.A. De novo asymmetric synthesis of the pyranoses—From monosaccharides to oligosaccharides: An update. In Advances in Carbohydrate Chemistry and Biochemistry; Baker, D., Ed.; Elsevier: Amsterdam, The Netherlands, 2024; Volume 85, pp. 1–38. [Google Scholar]
- Zheng, J.; O’Doherty, G.A. De Novo Synthesis of Oligosaccharides Via Metal Catalysis in Comprehensive Glycoscience, 2nd ed.; Barchi, J., Ed.; Elsevier: Oxford, UK, 2021; Volume 2, pp. 435–463. [Google Scholar]
- Adams, R.; Marvel, C.S. Benzoin. Org. Synth. 1921, 1, 33. [Google Scholar]
- Matsumoto, T.; Yamamoto, H.; Inoue, S. Selective Formation of Triose from Formaldehyde Catalyzed by Thiazolium Salt. J. Am. Chem. Soc. 1984, 106, 4829–4832. [Google Scholar] [CrossRef]
- Stetter, H. Catalyzed addition of aldehydes to activated double bonds-a new synthetic approach. Angew. Chem. Int. Ed. 1976, 15, 639. [Google Scholar] [CrossRef]
- de Alaniz, J.R.; Kerr, M.S.; Moore, J.L.; Rovis, T. Scope of the asymmetric intramolecular Stetter reaction catalyzed by chiral nucleophilic triazolinylidene carbenes. J. Org. Chem. 2008, 73, 2033. [Google Scholar] [CrossRef] [PubMed]
- Breslow, R. On the Mechanism of Thiamine Action. IV. Evidence from Studies on Model Systems. J. Am. Chem. Soc. 1958, 80, 3719. [Google Scholar] [CrossRef]
- Dondoni, A.; Perrone, D. Thiazole-based routes to amino hydroxyl aldehydes, and their use of the synthesis of biologically active compounds. Aldrichimica Acta 1997, 30, 35–46. [Google Scholar]
- Ko, S.Y.; Lee, A.W.M.; Masamune, S.; Reed, L.A., III; Sharpless, K.B.; Walker, F.J. Total Synthesis of the L-Hexoses. Science 1983, 220, 949–951. [Google Scholar] [CrossRef] [PubMed]
- Ko, S.Y.; Lee, A.W.M.; Masamune, S.; Reed, L.A., III; Sharpless, K.B.; Walker, F.J. Total synthesis of the L-hexoses. Tetrahedron 1990, 46, 245–264. [Google Scholar] [CrossRef]
- Danishefsky, S.J. Cycloaddition and cyclocondensation reactions of highly functionalized dienes: Applications to organic synthesis. Chemtracts 1989, 2, 273–297. [Google Scholar] [CrossRef]
- Schaus, S.E.; Branalt, J.; Jacobsen, E.N. Asymmetric Hetero-Diels-Alder Reactions Catalyzed by Chiral (Salen)Chromium(III) Complexes. J. Org. Chem. 1998, 63, 403–405. [Google Scholar] [CrossRef]
- Northrup, A.B.; MacMillan, D.W. Two-step synthesis of carbohydrates by selective aldol reactions. Science 2004, 305, 1752–1755. [Google Scholar] [CrossRef] [PubMed]
- Northrup, A.B.; Mangion, I.K.; Hettche, F.; MacMillan, D.W. Enantioselective organocatalytic direct aldol reactions of α-oxyaldehydes: Step one in a two-Step synthesis of carbohydrates. Angew. Chem. Int. Ed. 2004, 43, 2152–2154. [Google Scholar] [CrossRef] [PubMed]
- Hudlicky, T.; Pitzer, K.K.; Stabile, M.R.; Thorpe, A.J.; Whited, G.M. Biocatalytic Syntheses of Protected D-Mannose-d(5), D-Mannose-d(7), D-Mannitol-2,3,4,5,6-d(5), and D-Mannitol-1,1,2,3,4,5,6,6-d(8). J. Org. Chem. 1996, 61, 4151–4153. [Google Scholar] [CrossRef] [PubMed]
- Gibson, D.T.; Koch, J.R.; Kallio, R.E. Oxidative degradation of aromatic hydrocarbons by microorganisms. I. Enzymatic formation of catechol from benzene. Biochemistry 1968, 7, 2653–2662. [Google Scholar] [CrossRef]
- Johnson, C.R.; Golebiowski, A.; Steensma, D.H.; Scialdone, M.A. Enantio- and diastereoselective transformations of cycloheptatriene to sugars and related products. J. Org. Chem. 1993, 58, 7185–7194. [Google Scholar] [CrossRef]
- Baeckvall, J.E.; Bystroem, S.E.; Nordberg, R.E. Stereo- and regioselective palladium-catalyzed 1,4-diacetoxylation of 1,3-dienes. J. Org. Chem. 1984, 49, 4619–4631. [Google Scholar] [CrossRef]
- Henderson, I.; Sharpless, K.B.; Wong, C.-H. Synthesis of Carbohydrates via Tandem Use of the Osmium-Catalyzed Asymmetric Dihydroxylation and Enzyme-Catalyzed Aldol Addition Reactions. J. Am. Chem. Soc. 1994, 116, 558–561. [Google Scholar] [CrossRef]
- Kolb, H.C.; Van Nieuwenhze, M.S.; Sharpless, K.B. Catalytic Asymmetric Dihydroxylation. Chem. Rev. 1994, 94, 2483–2547. [Google Scholar] [CrossRef]
- Kolb, H.C.; Anderson, P.G.; Sharpless, K.B. Toward an Understanding of the High Enantioselectivity in the Osmium-Catalyzed Asymmetric Dihydroxylation (AD). 1. Kinetics. J. Am. Chem. Soc. 1994, 116, 1278. [Google Scholar] [CrossRef]
- Zhang, Y.; O’Doherty, G.A. Remote steric effect on the regioselectivity of Sharpless asymmetric dihydroxylation. Tetrahedron 2005, 61, 6337–6351. [Google Scholar] [CrossRef]
- Ahmed, M.M.; O’Doherty, G.A. De Novo Asymmetric Syntheses of D- and L-Talose via an Iterative Dihydroxylation of Dienoates. J. Org. Chem. 2005, 70, 10576–10578. [Google Scholar] [CrossRef] [PubMed]
- Ahmed, M.M.; O’Doherty, G.A. De novo synthesis of galacto-sugar δ-lactones via a catalytic osmium/palladium/osmium reaction sequence. Tetrahedron Lett. 2005, 46, 3015–3019. [Google Scholar] [CrossRef]
- Ahmed, M.M.; Berry, B.P.; Hunter, T.J.; Tomcik, D.J.; O’Doherty, G.A. De Novo Enantioselective Syntheses of Galacto-Sugars and Deoxy Sugars via the Iterative Dihydroxylation of Dienoate. Org. Lett. 2005, 7, 745–748. [Google Scholar] [CrossRef]
- Ahmed, M.M.; O’Doherty, G.A. De Novo Asymmetric Synthesis of a Galacto-Papulacandin Moiety Via an Iterative Dihydroxylation Strategy. Tetrahedron Lett. 2005, 46, 4151–4155. [Google Scholar] [CrossRef]
- Harris, J.M.; Keranen, M.D.; O’Doherty, G.A. Syntheses of d- and l-mannose, gulose, and talose via diastereoselective and enantioselective dihydroxylation reactions. J. Org. Chem. 1999, 64, 2982–2983. [Google Scholar] [CrossRef]
- Harris, J.M.; Keranen, M.D.; Nguyen, H.; Young, V.G.; O’Doherty, G.A. Syntheses of four d- and l-hexoses via diastereoselective and enantioselective dihydroxylation reactions. Carbohydr. Res. 2000, 328, 17–36. [Google Scholar]
- Cuccarese, M.F.; Li, J.J.; O’Doherty, G.A. De Novo Approaches to Monosaccharides and Complex Glycans in Modern Synthetic Methods in Carbohydrate Chemistry; Werz, D.B., Vidal, S., Eds.; Wiley-VCH Verlag GmbH & Co. KG: Weinheim, Germany, 2014; pp. 1–28. [Google Scholar]
- Haukaas, M.H.; O’Doherty, G.A. Enantioselective synthesis of N-Cbz-protected 6-amino-6-deoxy-mannose, gulose and talose. Org. Lett. 2001, 3, 3899–3992. [Google Scholar] [CrossRef] [PubMed]
- Haukaas, M.H.; O’Doherty, G.A. Enantioselective Synthesis of 2-Deoxy and 2,3-Dideoxy-hexoses. Org. Lett. 2002, 4, 1771–1774. [Google Scholar] [CrossRef] [PubMed]
- Xing, Y.; O’Doherty, G.A. De Novo Asymmetric Approach to Aspergillide-C. ChemistrySelect 2022, 7, e202200266. [Google Scholar] [CrossRef]
- Guppi, S.R.; Zhou, M.; O’Doherty, G.A. De Novo Asymmetric Synthesis of Homo-Adenosine via a Palladium Catalyzed N-Glycosylation. Org. Lett. 2006, 8, 293–296. [Google Scholar] [CrossRef]
- Noyori, R.; Ohkuma, T. Asymmetric catalysis by architectural and functional molecular engineering: Practical chemo-and stereoselective hydrogenation of ketones. Angew. Chem. Int. Ed. 2001, 40, 40. [Google Scholar] [CrossRef]
- Noyori, R.; Yamakawa, M.; Hashiguchi, S. Metal- ligand bifunctional catalysis: A nonclassical mechanism for asymmetric hydrogen transfer between alcohols and carbonyl compounds. J. Org. Chem. 2001, 66, 7931. [Google Scholar] [CrossRef]
- Li, M.; O’Doherty, G.A. An enantioselective synthesis of phomopsolide D. Tetrahedron Lett. 2004, 45, 6407–6411. [Google Scholar] [CrossRef]
- Li, M.; Scott, J.G.; O’Doherty, G.A. Synthesis of 7-oxa-phomopsolide E and its C-4 epimer. Tetrahedron Lett. 2004, 45, 1005–1009. [Google Scholar] [CrossRef]
- Babu, R.S.; O’Doherty, G.A. A Palladium-Catalyzed Glycosylation Reaction: The De Novo Synthesis of Natural and Unnatural Glycosides. J. Am. Chem. Soc. 2003, 125, 12406–12407. [Google Scholar] [CrossRef] [PubMed]
- Babu, R.S.; O’Doherty, G.A. Palladium Catalyzed Glycosylation Reaction: De-Novo Synthesis of Trehalose Analogues. J. Carb. Chem. 2005, 24, 169–177. [Google Scholar] [CrossRef]
- Sharif, E.U.; Wang, H.-Y.L.; Akhmedov, N.G.; O’Doherty, G.A. Merremoside D: De novo synthesis of its purported structure, NMR analysis and comparison of spectral data. Org. Lett. 2014, 16, 492–495. [Google Scholar] [CrossRef]
- Babu, R.S.; Guppi, S.R.; O’Doherty, G.A. Synthetic Studies Toward Mannopeptimycin-E: Synthesis of a O-Linked Tyrosine 1,4--α,α-Manno, Manno-Pyanosyl-Pyranoside. Org. Lett. 2006, 8, 1605–1608. [Google Scholar] [CrossRef] [PubMed]
- Feringa, L.; Comely, A.C.; Eelkema, R.; Minnaard, A.J.; Feringa, B.L. De novo asymmetric bio- and chemocatalytic synthesis of saccharides—Stereoselective formal O-glycoside bond formation using palladium catalysis. J. Am. Chem. Soc. 2003, 125, 8714–8715. [Google Scholar]
- Kim, H.; Men, H.; Lee, C. Stereoselective palladium-catalyzed O-glycosylation using glycals. J. Am. Chem. Soc. 2004, 126, 1336–1337. [Google Scholar] [CrossRef]
- Kim, H.; Lee, C. A mild and efficient method for the stereoselective formation of C-O bonds: Palladium-catalyzed allylic etherification using zinc(II) alkoxides. Org. Lett. 2002, 4, 4369–4372. [Google Scholar] [CrossRef]
- Wu, B.; Li, M.; O’Doherty, G.A. Synthesis of several cleistrioside and cleistetroside natural products via a divergent de novo asymmetric approach. Org. Lett. 2010, 12, 5466–5469. [Google Scholar]
- Guo, H.; O’Doherty, G.A. De novo asymmetric synthesis of the anthrax tetrasaccharide by a palladium-catalyzed glycosylation reaction. Angew. Chem. Int. Ed. 2007, 46, 5206–5208. [Google Scholar] [CrossRef]
- Guo, H.; O’Doherty, G.A. De novo asymmetric synthesis of anthrax tetrasaccharide and related tetrasaccharide. J. Org. Chem. 2008, 73, 5211–5220. [Google Scholar] [CrossRef]
- Wang, H.-Y.L.; Guo, H.; O’Doherty, G.A. De novo asymmetric synthesis of rhamno di- and tri-saccharides related to the anthrax tetrasaccharide. Tetrahedron 2013, 69, 3432–3436. [Google Scholar] [CrossRef]
- Bajaj, S.O.; Sharif, E.U.; Akhmedov, N.G.; O’Doherty, G.A. De novo asymmetric synthesis of the mezzettiaside family of natural products via the iterative use of a dual B-/Pd-catalyzed glycosylation. Chem. Sci. 2014, 5, 2230–2234. [Google Scholar] [CrossRef] [PubMed]
- Iyer, A.; Zhou, M.; Azad, N.; Elbaz, H.; Wang, L.; Rogalsky, D.K.; Rojanasakul, Y.; O’Doherty, G.A.; Langenhan, J.M. A Direct Comparison of the Anticancer Activities of Digitoxin MeON-Neoglycosides and O-Glycosides: Oligosaccharide Chain Length-Dependant Induction of Caspase-9-Mediated Apoptosis. ACS Med. Chem. Lett. 2010, 1, 326–330. [Google Scholar] [CrossRef] [PubMed]
- Ray, D.; O’Doherty, G.A. De Novo Asymmetric Synthesis of Oligosaccharides Using Atom-Less Protecting Group in Protecting Groups: Strategies and Applications in Carbohydrate Chemistry; Vidal, S., Ed.; Wiley-VCH Verlag GmbH & Co. KG: Weinheim, Germany, 2019; pp. 327–351. [Google Scholar]
- Babu, R.S.; Zhou, M.; O’Doherty, G.A. De-Novo Synthesis of Oligosaccharides Using a Palladium Catalyzed Glycosylation Reaction. J. Am. Chem. Soc. 2004, 126, 3428–3429. [Google Scholar] [CrossRef] [PubMed]
- Babu, R.S.; Chen, Q.; Kang, S.-W.; Zhou, M.; O’Doherty, G.A. De Novo Synthesis of Oligosaccharides Using Green Chemistry Principles. J. Am. Chem. Soc. 2012, 134, 11952–11955. [Google Scholar] [CrossRef] [PubMed]
- Jang, S.H.; Kim, H.W.; Jeong, W.; Moon, D.; Rhee, Y.H. Palladium-catalyzed asymmetric nitrogen-selective addition reaction of indoles to alkoxyallenes. Org. Lett. 2018, 20, 1248–1251. [Google Scholar] [CrossRef] [PubMed]
- Lim, W.; Kim, J.; Rhee, Y.H. Pd-catalyzed asymmetric intermolecular hydroalkoxylation of allene: An entry to cyclic acetals with activating group-free and flexible anomeric control. J. Am. Chem. Soc. 2014, 136, 13618–13621. [Google Scholar] [CrossRef] [PubMed]
- Trost, B.M.; Fandrick, D.R.; Dinh, D.C. Dynamic kinetic asymmetric allylic alkylations of allenes. J. Am. Chem. Soc. 2005, 127, 14186–14187. [Google Scholar] [CrossRef]
- Trost, B.M.; Lee, C.B. Geminal dicarboxylates as carbonyl surrogates for asymmetric synthesis. Part I. Asymmetric addition of malonate nucleophiles. J. Am. Chem. Soc. 2001, 123, 3671–3686. [Google Scholar] [CrossRef] [PubMed]
- Kang, J.; Rhee, Y.H. Convergent Synthesis of Tetrasaccharide Fragment of Cervimycin K. Org. Lett. 2021, 23, 4468–4472. [Google Scholar] [CrossRef] [PubMed]
- Barpuzary, B.; Kim, M.; Rhee, Y.H. Synthetic Study toward Saccharomicin Based upon Asymmetric Metal Catalysis. Org. Lett. 2021, 23, 5969–5972. [Google Scholar] [CrossRef]
- Lee, J.; Kang, J.; Lee, S.; Rhee, Y.H. Flexible Total Synthesis of 11-Deoxylandomycins and Their Non-Natural Analogues by Way of Asymmetric Metal Catalysis. Angew. Chem. 2020, 132, 2369–2373. [Google Scholar] [CrossRef]
- Yang, X.; Fu, B.; Yu, B. Total Synthesis of Landomycin A, a Potent Antitumor Angucycline Antibiotic. J. Am. Chem. Soc. 2011, 133, 12433–12435. [Google Scholar] [CrossRef] [PubMed]
- Yang, X.; Wang, P.; Yu, B. Tackling the Challenges in the Total Synthesis of Landomycin A. Chem. Rec. 2013, 13, 70–84. [Google Scholar] [CrossRef] [PubMed]
- Lai, Y.-H.; Mondal, S.; Su, H.-T.; Huang, S.-C.; Wu, M.-H.; Huang, I.-W.; Lauderdale, T.-S.Y.; Song, J.-S.; Shia, K.-S.; Mong, K.-K.T. Total synthesis of landomycins Q and R and related core structures for exploration of the cytotoxicity and antibacterial properties. RSC Adv. 2021, 11, 9426–9432. [Google Scholar] [CrossRef] [PubMed]
- Lee, J.; Kang, S.; Kim, J.; Moon, D.; Rhee, Y.H. A Convergent Synthetic Strategy towards Oligosaccharides containing 2,3,6-Trideoxypyranoglycosides. Angew. Chem. Int. Ed. 2018, 58, 628–631. [Google Scholar] [CrossRef] [PubMed]
- Yalamanchili, S.; Lloyd, D.; Bennet, C.S. Synthesis of the Hexasaccharide Fragment of Landomycin A Using a Mild, Reagent-Controlled Approach. Org. Lett. 2019, 21, 3674–3677. [Google Scholar] [CrossRef] [PubMed]
- Guo, Y.; Sulikowski, G.A. Synthesis of the Hexasaccharide Fragment of Landomycin A: Application of Glycosyl Tetrazoles and Phosphites in the Synthesis of Deoxyoligosaccharide. J. Am. Chem. Soc. 1998, 120, 1392–1397. [Google Scholar] [CrossRef]
- Roush, W.R.; Bennett, C.E. A Highly Stereoselective Synthesis of the Landomycin A Hexasaccharide Unit. J. Am. Chem. Soc. 2000, 122, 6124–6125. [Google Scholar] [CrossRef]
- Yu, B.; Wang, P. Efficient Synthesis of the Hexasaccharide Fragment of Landomycin A: Using Phenyl 2,3-O-Thionocarbonyl-1-thioglycosides as 2-Deoxy-β-glycoside Precursors. Org. Lett. 2002, 4, 1919–1922. [Google Scholar] [CrossRef]
- Tanaka, H.; Yamaguchi, S.; Yoshizawa, A.; Takagi, M.; Shin-ya, K.; Takahashi, T. Combinatorial Synthesis of Deoxyhexasaccharides Related to the Landomycin A Sugar Moiety, Based on an Orthogonal Deprotection Strategy. Chem. Asian. J. 2010, 5, 1407–1424. [Google Scholar] [CrossRef]
- Zhou, M.; O’Doherty, G.A. De Novo Synthesis of the Trisaccharide Subunit of Landomycins A and E. Org. Lett. 2008, 10, 2283–2286. [Google Scholar] [CrossRef] [PubMed]
- Ruei, J.-H.; Venukumar, P.; Ingle, A.B.; Mong, K.-K.T. C6 picoloyl protection: A remote stereodirecting group for 2-deoxy-β-glycoside formation. Chem. Commun. 2015, 51, 5394–5397. [Google Scholar] [CrossRef] [PubMed]
- Zhu, D.; Baryal, K.N.; Adhikari, S.; Zhu, J. Direct Synthesis of 2-Deoxy-β-glycosides via Anomeric O-Alkylation with Secondary Electrophiles. J. Am. Chem. Soc. 2014, 136, 3172–3175. [Google Scholar] [CrossRef] [PubMed]
- McDonald, F.E.; Reddy, K.S. Discovery of the tungsten carbonyl-catalyaed endo-selective alkynyl alcohol cylcoisomerization reaction: Applications to stereoselective syntheses of D-olivose, D-olivose disaccharide substructures of landomycin and mithramycin. J. Organomet. Chem. 2001, 617, 444–452. [Google Scholar] [CrossRef]
- Issa, J.P.; Bennett, C.S. A Reagent-Controlled SN2-Glycosylation for the Direct Synthesis of β-Linked 2-Deoxy-Sugars. J. Am. Chem. Soc. 2014, 136, 5740–5744. [Google Scholar] [CrossRef] [PubMed]
- Lloyd, D.; Bylsma, M.; Bright, D.K.; Chen, X.; Bennett, C.S. Mild method for 2-naphthylmethyl ether protecting group removal using a combination of 2, 3-dichloro-5, 6-dicyano-1, 4-benzoquinone (DDQ) and β-pinene. J. Org. Chem. 2017, 82, 3926–3934. [Google Scholar] [CrossRef]
- Lloyd, D.; Bennett, C.S. An Improved Approach to the Direct Construction of 2-Deoxy-β-Linked Sugars: Applications to Oligosaccharide Synthesis. Chem. Eur. J. 2018, 24, 7610–7614. [Google Scholar] [CrossRef]
- Yu, X.; O’Doherty, G.A. De Novo Asymmetric Synthesis and Biological Evaluation of the Trisaccharide Portion of PI-080 and Vineomycin B2. Org. Lett. 2008, 10, 4529–4532. [Google Scholar] [CrossRef]
- Yu, X.; Li, M.; O’Doherty, G.A. De Novo Asymmetric Synthesis of the D-/L-Disaccharide Portion of Sch 47555. Heterocycles 2011, 82, 1577–1584. [Google Scholar] [PubMed]
- Ashmus, R.; Jayasuriya, A.; Lim, Y.-J.; O’Doherty, G.A.; Lowary, T.L. De novo asymmetric synthesis of a 6-O-methyl-D-glycero-L-gluco-heptopyranose-derived thioglycoside for the preparation of Campylobacter jejuni NCTC11168 capsular polysaccharide fragments. J. Org. Chem. 2016, 81, 3058–3063. [Google Scholar] [CrossRef] [PubMed]
- Danishefsky, S.J.; Pearson, W.H.; Segmuller, B.E. Total synthesis of (±)-3-deoxy-D-manno-2-octulopyranosate (KDO). J. Am. Chem. Soc. 1985, 107, 1280–1285. [Google Scholar] [CrossRef]
- Burke, S.D.; Voight, E.A. Formal Synthesis of (+)-3-Deoxy-d- glycero-d-galacto-2-nonulosonic Acid (KDN) via Desymmetrization by Ring-Closing Metathesis. Org. Lett. 2001, 3, 237–240. [Google Scholar] [CrossRef]
- Aboussafy, C.L.; Andersen Gersby, L.B.; Molinaro, A.; Newman, M.-A.; Lowary, T.L. A convergent route to enantiomers of the bicyclic monosaccharide bradyrhizose leads to insight into the bioactivity of an immunologically silent lipopolysaccharide. J. Org. Chem. 2019, 84, 14–41. [Google Scholar] [CrossRef]
- Cunha, V.L.S.; O’Doherty, G.A.; Lowary, T.L. Exploring a de novo route to bradyrhizose and its diastereomers: Synthesis and isomeric equilibrium of reducing bicyclic carbohydrates. Chem. Eur. J. 2024, 30, e202400886. [Google Scholar] [CrossRef] [PubMed]
- Danishefsky, S.J.; Phillips, G.; Ciufolini, M. A fully synthetic route to the papulacandins: Stereospecific spiroacetalization of a C-1-arylated methyl glycoside. Carbohydr. Res. 1987, 171, 317–327. [Google Scholar] [CrossRef]
- Balachari, D.; O’Doherty, G.A. Enantioselective Synthesis of the Papulacandin Ring System: Conversion of the Mannose Diastereoisomer into a Glucose Stereoisomer. Org. Lett. 2000, 2, 4033–4036. [Google Scholar] [CrossRef]
- Balachari, D.; O’Doherty, G.A. Sharpless Asymmetric Dihydroxylation of 5-Aryl-2-vinylfurans: Application to the Synthesis of the Spiroketal Moiety of Papulacandin D. Org. Lett. 2000, 2, 863–866. [Google Scholar] [CrossRef]
- Mainkar, P.S.; Johny, K.; Tadikamalla, K.J.; Rao, T.P.; Chandrasekhar, S. Synthesis of O-Spiro-C-Aryl Glycosides Using Organocatalysis. J. Org. Chem. 2012, 77, 2519–2525. [Google Scholar] [CrossRef] [PubMed]
- Shi, P.; Silva, M.; Wu, B.; Wang, H.-Y.L.; Akhmedov, N.G.; Li, M.; Beuning, P.; O’Doherty, G.A. Structure activity relationship study of the cleistrioside/cleistetroside natural products for antibacterial/anticancer activity. ACS Med. Chem. Lett. 2012, 3, 1086–1090. [Google Scholar] [CrossRef] [PubMed]
- Bajaj, S.O.; Shi, P.; Beuning, P.J.; O’Doherty, G.A. Structure activity relationship study of Mezzettiasides natural products and its four new disaccharide analogues for anticancer/antibacterial activity. ChemMedComm 2014, 5, 1138–1142. [Google Scholar]
- Zhou, M.; O’Doherty, G.A. The de novo synthesis of oligosaccharides: Application to the medicinal chemical study of digitoxin. Curr. Top. Med. Chem. 2008, 8, 114–125. [Google Scholar] [PubMed]
- Hinds, J.W.; McKenna, S.B.; Sharif, E.U.; Wang, H.-Y.L.; Akhmedov, N.G.; O’Doherty, G.A. C3′/C4′-stereochemical effects of digitoxigenin -L-/-D-glycoside in cancer cytotoxicity. ChemMedChem 2013, 8, 63–69. [Google Scholar] [CrossRef] [PubMed]
- Wang, H.-Y.L.; Xin, W.; Zhou, M.; Stueckle, T.A.; Rojanasakul, Y.; O’Doherty, G.A. Stereochemical survey of digitoxin monosaccharides. ACS Med. Chem. Lett. 2011, 2, 73–78. [Google Scholar] [CrossRef]
- Wang, H.Y.; Wu, B.; Zhang, Q.; Kang, S.W.; Rojanasakul, Y.; O’Doherty, G.A. C5′-Alkyl Substitution Effects on Digitoxigenin α-L-Glycoside Epithelial Human Lung Cancer Cells Cytotoxicity. ACS Med. Chem. Lett. 2011, 2, 259–263. [Google Scholar] [CrossRef] [PubMed]
- Wang, H.-Y.L.; Rojanasakul, Y.; O’Doherty, G.A. Synthesis and Evaluation of the α-D-/α-L-Rhamnosyl and Amicetosyl Digitoxigenin Oligomers as Anti-tumor Agents. ACS Med. Chem. Lett. 2011, 2, 264–269. [Google Scholar] [CrossRef]























Disclaimer/Publisher’s Note: The statements, opinions and data contained in all publications are solely those of the individual author(s) and contributor(s) and not of MDPI and/or the editor(s). MDPI and/or the editor(s) disclaim responsibility for any injury to people or property resulting from any ideas, methods, instructions or products referred to in the content. |
© 2025 by the authors. Licensee MDPI, Basel, Switzerland. This article is an open access article distributed under the terms and conditions of the Creative Commons Attribution (CC BY) license (https://creativecommons.org/licenses/by/4.0/).
Share and Cite
Hicks, I.; Kim, S.; Sridhar, A.; O’Doherty, G.A. Sugar Asymmetry: The Evolution of De Novo Asymmetric Syntheses of Carbohydrates from Hexoses to Oligosaccharides. Symmetry 2025, 17, 99. https://doi.org/10.3390/sym17010099
Hicks I, Kim S, Sridhar A, O’Doherty GA. Sugar Asymmetry: The Evolution of De Novo Asymmetric Syntheses of Carbohydrates from Hexoses to Oligosaccharides. Symmetry. 2025; 17(1):99. https://doi.org/10.3390/sym17010099
Chicago/Turabian StyleHicks, Ian, Sugyeom Kim, Aneesh Sridhar, and George A. O’Doherty. 2025. "Sugar Asymmetry: The Evolution of De Novo Asymmetric Syntheses of Carbohydrates from Hexoses to Oligosaccharides" Symmetry 17, no. 1: 99. https://doi.org/10.3390/sym17010099
APA StyleHicks, I., Kim, S., Sridhar, A., & O’Doherty, G. A. (2025). Sugar Asymmetry: The Evolution of De Novo Asymmetric Syntheses of Carbohydrates from Hexoses to Oligosaccharides. Symmetry, 17(1), 99. https://doi.org/10.3390/sym17010099

