Abstract
Body composition assessment helps conducting a healthy life or tracking the effectiveness of a weight management therapy. Ultrasound (US)-based body composition research has gained momentum because of the emergence of portable and inexpensive instruments bundled with user-friendly software. Previously, US-based assessment of body fat percentage (% BF) was found precise, but inaccurate in certain populations. Therefore, this study sought to compute % BF from subcutaneous fat thicknesses (SFs) given by US converting an anthropometric formula that involves skinfold thicknesses (SKFs) measured at the same sites. The symmetry of the body with respect to the central sagittal plane is an underlying assumption in both anthropometry and US-based body composition assessment, so measurements were taken on the right side of the body. Relying on experimental data on skinfold compressibility, we adapted 33 SKF formulas for US use and tested their validity against air displacement plethysmography on a study group of 97 women (BMI = 25.4 ± 6.4 kg/m2, mean ± SD) and 107 men (BMI = 26.7 ± 5.7 kg/m2). For both sexes, the best proprietary formula had Lin’s concordance correlation coefficient (CCC) between 0.7 and 0.73, standard error of estimate (SEE) < 3% BF and total error (TE) > 6% BF—mainly because of the underestimation of % BF in overweight and obese subjects. For women (men) the best adapted formula had CCC = 0.85 (0.80), SEE = 3.2% (2.4%) BF, and TE = 4.6% (5.4%) BF. Remarkably, certain adapted formulas were more accurate for overweight and obese people than the proprietary equations. In conclusion, anthropometric equations provide useful starting points in the quest for novel formulas to estimate body fat content from ultrasound measurements.
1. Introduction
Human body composition is of interest from many points of view [1]. Since body composition measurements are within reach of the general population, many people are eager to track their body composition while trying to adopt a healthy lifestyle [2]. Professional athletes also need periodic tests of body composition to navigate the narrow margin between optimal performance and health risks associated with excessive leanness [3,4]. Physicians need to evaluate the body composition of their overweight and obese patients to size up their health risks and to ascertain the efficacy of medical or lifestyle interventions [5].
Body composition can be assessed using a variety of techniques or combinations thereof—to quantify multiple components [6]. Multicomponent models ensure the best accuracy but involve expensive instruments and trained personnel. Laboratory methods, such as dual energy X-ray absorptiometry (DXA) or air displacement plethysmography (ADP), are also costly and require adequate room [6]. Field methods, on the other hand, provide acceptable accuracy, of about 5–6% body fat, and rely on inexpensive equipment that can be operated in diverse settings [6,7].
The advent of ultrasound (US) as a tool of body composition assessment was favored by the emergence of portable and affordable instruments, along with software capable of automatic evaluation of the subcutaneous fat thickness (SF) and prediction of body fat content [8]. Commercially available US devices are considered viable alternatives to skinfold thickness calipers, because they are equally reliable and less demanding when it comes to technician training [9]. The high reliability of body fat percentage (% BF) assessments using amplitude (A)-mode US has been demonstrated by several studies [10,11,12,13,14,15]: the minimum detectable change ranged from 1.3% BF [15] to 5.6% BF [11], depending on the study sample, measurement methodology, and technician performance.
The validity of A-mode US in evaluating body composition is less well established. For example, the BodyMetrix™ BX2000 device (IntelaMetrix, Livermore, CA, USA), called BodyMetrix hereafter, is shipped with a proprietary software Body View™ v5.7.11043 (IntelaMetrix, Livermore, CA, USA), which includes several formulas to estimate % BF from SFs measured by ultrasound at various anatomical locations [16]. Relevant anatomical locations will be referred to as sites hereafter. Nevertheless, most validity studies published so far focused on the Jackson and Pollock formulas (3-site [11,15,17,18,19] and 7-site [14,17,20]). Additionally, Loenneke et al. evaluated the accuracy and reliability of the 1-site biceps equation [11,19], whereas Baranauskas et al. tested the 3-site Pollock equation [17]. The study of Kang et al. [21] was the first to evaluate the validity of all the prediction equations available for men in the BodyView Pro software v5.7.11043 (IntelaMetrix, Livermore, CA, USA). They found that the 4-site Durnin and Womerlsey equation and the 9-site Parrillo equation were in good agreement with the DXA criterion method. All nine options offered for men by BodyView Pro were scrutinized also by Lowry et al., but using ADP as the criterion method [22]. They concluded that only three formulas had acceptable accuracy: the Jackson, Pollock, and Ward equations for both the 3-site and 7-site configurations, and the 4-site National Health Center of America (NHCA) equation. However, none of them was deemed ideal [22] (i.e., strictly valid) according to the criteria recommended by textbooks on body composition assessment, which require that both the standard error of estimate and total error remain below 3.5% BF, and Pearson’s correlation coefficient is larger than 0.8 [23]. However, the question arises whether the inaccuracy of A-mode US-based body composition analysis stems from limitations of the prediction equations or from erroneous measurement of the thickness of the adipose tissue layer beneath the skin.
A study conducted on cadavers [24] compared SFs given by the BodyMetrix, a low-resolution A-mode US instrument working at 2.5 MHz, and a high-resolution B-mode US device working at 12 MHz, the NextGen LOGIQ eR7 (GE Healthcare, Milwaukee, WI, USA). Right after the US measurements, the cadaver was dissected at the examined sites and physical measurements were undertaken using the ruler part of a digital caliper. The results led to the conclusion that both A-mode and B-mode US are able to measure SFs with submillimetric accuracy [24]. Furthermore, SFs determined using A-mode and B-mode US were found within ±1 mm of each other also in vivo, with slightly larger differences observed at the abdominal site [25]. Indeed, certain sites turned out to be especially difficult to measure by ultrasonography because of the complexity of the underlying anatomical structures; examples include the subscapular, suprailiac, and abdominal sites [24,25,26]. Given the high accuracy of US measurements of subcutaneous fat thickness, it seems safe to conclude that the limited validity of A-mode US-based estimates of % BF might result from the inappropriate structure of the prediction formula and/or the presence of hard-to-evaluate sites in the prediction formula.
Therefore, this study explores various options to compute % BF from subcutaneous fat thicknesses measured using US. Our working hypothesis was that anthropometric equations originally developed to estimate % BF from skinfold thicknesses can be adapted to express % BF in terms of adipose tissue thicknesses given by US.
A skinfold thickness (SKF) is measured by using the thumb and the index finger of the left hand to pick up a double layer of skin and the underlying adipose tissue. The skinfold obtained this way is enclosed between the jaws of a caliper that indicates the distance between its contact surfaces while exerting a standardized pressure of about 10 g/mm2 [27]. The skinfold, however, is a viscoelastic material, so it responds dynamically to the external compression, depending on the composition of the skin and adipose tissue at each anatomical site. During the first two seconds of compression, tissue fibers are reoriented and the SKF decreases exponentially because of elastic deformation; then a static compressibility plateau is observed, so the third second is the recommended time window for an SKF measurement [27].
Skinfold compression depends on the anatomical location and differs from one person to another [15,26,28,29]. Therefore, it is not straightforward to translate an SKF prediction formula into a mathematical relationship between uncompressed subcutaneous fat thicknesses measured by US and body fat percentage. Such attempts have been made, in the case of the 7-site Jackson and Pollock equation devised for men [30] and the 7-site Jackson, Pollock, and Ward equation developed for women [31], by simply assuming that SKF is twice as large as SF at each site [13,32,33,34]. Despite the success of the resulting equations, such an assumption is highly controversial because it disregards the deformation of the skinfold under the action of the caliper [35,36].
In both anthropometry and US-based body composition assessment, it is assumed that the human body is symmetric with respect to the central sagittal plane. Therefore, measurement sites are located on the right side of the body. Furthermore, it is assumed that the skin thickness is the same at all sites, the fat fraction is the same in the subcutaneous adipose within the entire body, and the subcutaneous to visceral adipose tissue ratio is the same in all individuals [37].
The present study relied on experimental data regarding SKF compressibility to derive estimates of % BF from US-measured subcutaneous fat thickness. We adapted 33 anthropometric formulas by replacing SKFs with SFs multiplied by the mean values of the corresponding SKF/SF ratios reported in the literature. Then, we evaluated their accuracy against ADP.
2. Materials and Methods
This study was conducted according to the ethical principles stated in the Declaration of Helsinki and approved by the Committee of Research Ethics of the “Victor Babes” University of Medicine and Pharmacy of Timisoara (resolutions no. 20 from 24 July 2019, and no. 42 from 2 June 2022). Prospective participants were familiarized with the planned measurement procedures and signed an informed consent form.
2.1. Subjects
We recruited volunteers for this study by flyers and social media announcements. The inclusion criteria were the following: from 18 to 68 years of age, and adherence to the manufacturer’s recommendations concerning the preparation for body composition assessment by A-mode US [16] and ADP [38]. We also imposed a set of exclusion criteria, as follows: pregnant women, people who were diagnosed with acute infections, or those who had a health record with chronic diseases were not accepted to participate in this study. The resulting study group comprised 94 women and 107 men spanning a wide range of age, size, and nutritional status (Table 1).
Table 1.
Demographics of the study group: mean ± standard deviation (SD) and range of values.
2.2. Reference Body Composition Assessment by ADP
The reference values of body fat percentage were established for each subject by triplicate ADP trials using a BOD POD Gold Standard Body Composition Tracking System (COSMED USA, Concord, CA, USA) with software version 5.3.2. Scale calibration and system quality check was performed on a daily basis.
To prepare for ADP, participants did not engage in intense exercise for 12 h, refrained from drinking or eating for 4 h, and used the restroom within 30 min of the first measurement.
For each subject, height was measured to the nearest 0.5 cm using a GIMA 27335 wall-mounted tape measure (GIMA, Gessate, Italy). Triplicate readings were taken with the subject’s Frankfort plane maintained horizontally, and the median was entered into the BOD POD software. Thoracic gas volume was predicted by the software based on sex, age, and height [38]. The subject removed her/his accessories (jewelry, watch, glasses) prior to the first ADP trial.
To minimize artifacts stemming from air pockets kept in isothermal state next to the body, subjects wore a Lycra® (Wilmington, DE, USA) swim cap and form-fitting swimsuit, or single-layer compression shorts and a jog bra.
We conducted 3 consecutive ADP trials (each comprising 2 or 3 body volume measurements [38]) and applied the protocol proposed by Tucker et al. [39] to establish the reference value of % BF. Briefly, we took the mean of the first two measurements if they were within 1% BF; otherwise, we also considered the third measurement and took the mean of the two closest values. This protocol increases the precision of BOD POD assessments (reduces the minimal detectable change from 1.9% to 1.4% BF) at a moderate, 2.3 fold increase in the test duration compared to single ADP trials [40].
2.3. Measurements of Subcutaneous Fat Thickness by A-Mode Ultrasound
Ultrasound measurements were conducted using the BodyMetrix™ BX2000 instrument (IntelaMetrix, Livermore, CA, USA), operating in A-mode at a frequency of 2.5 MHz. Body mass was measured to the nearest 0.01 kg using a scale connected to the BOD POD, while height was measured to the nearest 0.5 cm using a wall-mounted tape measure (GIMA 27335, GIMA, Gessate, Italy).
Participant profiles were created in the BodyView™ software v5.7.11043 (IntelaMetrix, Livermore, CA, USA), including name, age, gender, height, weight, and athletic type (Non-Athletic for visibly overweight and obese individuals and Athletic for the other participants, as instructed by the manufacturer for people who are in good shape and exercise regularly) [16].
A-mode US measurements of subcutaneous fat thickness were taken at 8 anatomical locations following manufacturer recommendations [16]. Gel was applied to the transducer head, which was then placed on the skin while maintaining minimal steady pressure to ensure proper contact but no deformation of the underlying tissue. The transducer was slid about 0.5 cm above and below the selected site to obtain a spatial average of the A-mode US signal. Table 2 lists the measurement sites and the abbreviations of the corresponding thicknesses.
Table 2.
A-mode US measurement sites and the abbreviations of the corresponding skinfold thicknesses (SKF) and subcutaneous fat thicknesses (SF).
Fat thickness was determined using the BodyMetrix instrument. The BodyView software analyzes the A-mode US signal to infer the distance between the body surface and the fat-muscle interface. That is, skin thickness was part of the measured quantity. Although including the skin thickness might induce a significant error in the case of lean subjects (e.g., in the athletic population), this practice is implicit in skinfold thickness measurements.
Measurements were taken in triplicate, in a rotational order, by technicians with 2 to 5 years of experience with the BodyMetrix device. Percent body fat was assessed using 3 proprietary formulas implemented in BodyView: 7-site Jackson and Pollock (JP7), 3-site Jackson and Pollock (JP3), and 1-site biceps (Bic1). Also, body fat thickness was recorded at the sites listed in Table 2, and the median of three assessments was used in prediction formulas inspired by anthropometry.
2.4. Prediction of Body Fat Percentage Using Formulas Adapted from Anthropometry
We adapted 33 anthropometric formulas (15 for women and 18 for men—Table 3 and Table 4, respectively) to express body density (D) or body fat percentage (% BF) in terms of A-mode US-measured SFs instead of SKFs.
Table 3.
Prediction formulas used in anthropometry to express body density (D) or body fat percentage (% BF) of women in terms of SKFs.
Table 4.
Anthropometric formulas devised to predict D or % BF of men as a function of SKFs.
To adapt anthropometric formulas for expressing D or % BF in terms of uncompressed subcutaneous adipose tissue thicknesses measured by A-mode US, we relied on published values of the SKF/SF ratio at the investigated sites. Form the work of Wagner et al. [15], atr = TR/tr = 1.88, ach = CH/ch = 1.58, aab = AB/ab = 1.54, asu = SU/su = 1.80, and ath = TH/th = 2.17. These were obtained by (i) averaging the SKF and SF values recorded by two technicians for women and men, (ii) computing the above ratios for women and men separately, and (iii) taking their mean for each site—for example, atr = (atr-women + atr-men)/2. From Pérez-Chirinos Buxadé et al. [29], abi = BI/bi = 1.25, and asc = SC/sc = 1.68. Finally, Borkan et al. [28] reported aax = AX/ax = 1.12.
Then, in the formulas given in Table 3 and Table 4, we replaced each SKF by the corresponding ratio times SF. For example, in the JP7 formula we inserted S7 = ach × ch + asc × sc + aax × ax + atr × tr + aab × ab + asu × su + ath × th and retained the other components; the resulting formula will be referred to by the acronym JP7a—where the last character stands for “adapted”.
2.5. Statistical Analysis
The statistical analysis of the acquired data and graphical representations were performed in MATLAB R2014a (The MathWorks, Natick, MA, USA).
To evaluate the validity (accuracy) of the adapted anthropometric formulas for predicting % BF, we relied on least-squares linear regression [58] and Bland-Altman (BA) analysis [59,60].
Least-squares linear regression analysis was performed with the output of ADP as independent variable () and % BF computed from A-mode US measurements as dependent variable (). The extent to which the linear regression model described the variation in the dependent variable was estimated by the coefficient of determination, , the square of Pearson’s correlation coefficient.
We also computed common statistical measures of precision and accuracy: the standard error of estimate (SEE), the total error (TE), and Lin’s concordance correlation coefficient (CCC). The standard error of estimate, , characterizes the average deviation of individual scores from the line of best fit, whereas the total error, describes the average deviation of individual scores from the line of identity [58]. Here labels study participants and is the sample size. TE is also known as pure error or root mean squared deviation [6]. Lin’s CCC is equal to Pearson’s correlation coefficient multiplied by a bias correction factor. CCC is a statistical measure of both validity and precision [61]. To compute CCC in MATLAB, we used the f_CCC.m function due to Matthew [62].
The BA analysis was done by plotting the differences, , of the scores obtained by the compared measurement methods versus their mean. The mean value of the differences, , called bias, was represented by a solid horizontal line. The 95% limits of agreement are given by , where here denotes the standard deviation of differences and 1.96 is the z-score associated with a 95% level of confidence. In our study, the limits of agreement were represented by dashed horizontal lines. Finally, the lines representing the bias and the limits of agreement were decorated by vertical error bars to show their 95% confidence intervals (CIs) [59,60].
3. Results
In this study, we evaluated the validity of all the formulas listed in Table 3 and Table 4, adapted for A-mode US assessments. Horizontal bar plots of SEE and TE are shown in Figure 1. The first three items, abbreviated in boldface, correspond to proprietary formulas from the BodyView software.
Figure 1.
Total error (TE) and standard error of estimate (SEE) of A-mode US-adapted anthropometric formulas compared to ADP. Acronyms typeset in boldface refer to formulas implemented in BodyView.
For women, none of the adapted formulas could compete with JP3 and JP7 in what concerns the SEE, but several of them ensured smaller TE. For men, most adapted formulas had a higher SEE than JP7, but some of them were better than it in terms of TE. Importantly, B7a and L3a were on equal footing with JP7 from the point of view of the SEE and better than JP7 when it came to the TE.
Figure 2 represents horizontal bar plots of Lin’s CCC between predicted % BF and measured % BF, given by the present ADP reference technique.
Figure 2.
Accuracy and pre3ision of A-mode US-adapted anthropometric formulas evaluated in terms of Lin’s concordance correlation coefficient (CCC)—the closer to 1, the better. Horizontal segments depict the 95% CI of the corresponding CCC.
In our heterogeneous sample of females, most of the adapted formulas ensured a better balance between accuracy and precision than the popular proprietary formulas. In our study group of males, several adapted formulas had higher CCC than JP3 and JP7. In particular, B7a and L3a were superior to JP3 and JP7 also from this point of view.
We next compared the JP7 formula implemented in BodyView with the 7-site Jackson and Pollock formula [30,31] adapted for A-mode US-derived data (JP7a). The Bland-Altman plots shown in Figure 3 represent differences between % BF given by prediction formulas and % BF measured using ADP.
Figure 3.
Bland-Altman (BA) analysis of % BF given by various forms of the 7-site Jackson and Pollock formula compared to ADP. (a) JP7-ADP for women; (b) JP7-ADP for men; (c) JP7a-ADP for women; (d) JP7a-ADP for men; (e) JP7a-ADP for women, assuming that the skinfold thickness (SKF) is twice the uncompressed subcutaneous fat thickness (SF); (f) JP7a-ADP for men, assuming that SKF = 2 × SF at each of the 7 sites involved in the JP7 formula (Table 3 and Table 4, first line). Here the black solid line represents the bias (the mean value of the differences between % BF assessments given by the two techniques), whereas the red dashed lines represent the 95% limits of agreement. The black error bar depicts the 95% CI of the bias, whereas the red error bars show the 95% CI of the limits of agreement.
Figure 3 indicates that the proprietary JP7 formula is not a simple adaptation of the corresponding anthropometric formula. For females, the JP7 formula displays a proportional bias (Figure 3a), whereas the JP7a formula does not, regardless of the proportionality constants between SKFs and SFs (Figure 3c,e). For males, the proportional bias was present in both JP7 and JP7a, but the interval of agreement was larger for JP7 (Figure 3b,d,f). Remarkably, the bias was the smallest for JP7a under the questionable assumption that SKF = 2 × SF.
To ascertain the findings of the BA analysis, we also performed a least-squares linear regression of JP7 and JP7a compared to the reference method, ADP. Figure 4 displays scatter plots of % BF given by prediction formulas versus % BF assessed by ADP. In each plot, the line of equality is represented by a green dotted line and the line of best fit is represented by a black solid line. The coefficients of determination indicate that the linear regression model accounts for 80% to 85% of the variation in the dependent variable.
Figure 4.
The validity of JP7 and JP7a evaluated by linear regression analysis. Individual panels are scatter plots of (a) JP7 vs. ADP for women; (b) JP7 vs. ADP for men; (c) JP7a vs. ADP for women; (d) JP7a vs. ADP for men; (e) JP7a vs. ADP for women, assuming that SKF = 2 × SF; (f) JP7a vs. ADP for men, assuming that SKF = 2 × SF. On each plot, the green dotted line represents the line of equality (), whereas the black solid line is the plot of the regression equation. The annotations give the standard error of estimate (SEE), total error (TE), the regression equation, and the coefficient of determination .
For both men and women, the proprietary JP7 formula provided the smallest SEE. The TE, however, was the largest, mainly because of the progressive underestimation of % BF in subjects with high adiposity. The same trend was observed also for JP7a in the case of men. In contrast, for women, the JP7a formula provided a roughly constant underestimation, by 3.7% BF on average (Figure 3c), because the slope of the regression line was close to 1 (Figure 4c). Considering that SKF = 2 × SF brought about a further decrease in TE and negligible change in SEE, regardless of sex (Figure 4c–f).
The remainder of this section presents the BA analysis of the top 6 adapted formulas for each sex, selected by taking into account their TE, SEE, and CCC.
Figure 5 displays BA plots that compare % BF of women given by the most promising repurposed formulas with % BF measured by ADP. The corresponding linear regression analysis results are shown in the Supplementary Material, Figure S1. Although all of the formulas analyzed in Figure 5 displayed a proportional bias, their overall bias (the mean value of the differences between the two techniques) was small, of the order of 1% BF.
Figure 5.
BA analysis of the accuracy of formulas that provide A-mode US-derived % BF of women. (a) DWa-ADP; (b) P4a-ADP; (c) L4a-ADP; (d) J3a-ADP; (e) H2a-ADP; (f) B1a-ADP.
Note that only J3a would benefit from approximating the SKF by twice the corresponding SF. Indeed, a comparison of Figure 5 and Figure S2 indicates that such an approximation would decrease the mean difference for J3, increase it for DWa, L4a, H2a, and B1a, and leave it unaffected for P4.
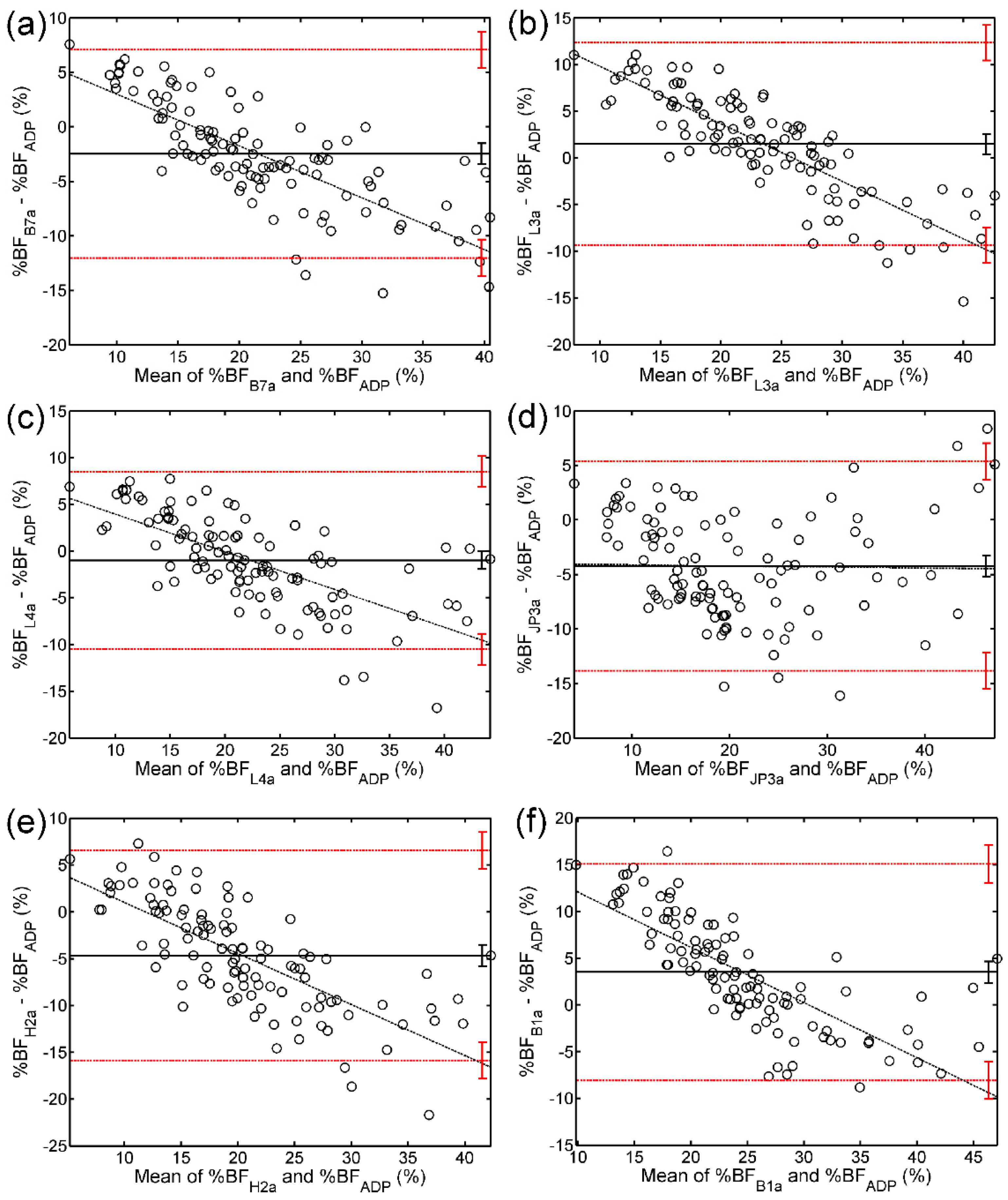
Figure 6 presents the BA analysis of the most promising formulas identified for men. The overall bias was relatively low for L3a and L4a. Nevertheless, proportional bias was present for all of them except for JP3a, suggesting that % BF given by these prediction formulas may be accurate only in a limited range of body adiposity (15–20% BF for B7a and L4a, 22–28% BF for L3a, 10–15% BF for H2a, and 25–35% BF for B1a).
Figure 6.
BA analysis of the accuracy of formulas that give A-mode US-derived % BF of men. (a) B7a-ADP; (b) L3a-ADP; (c) L4a-ADP; (d) JP3a-ADP; (e) H2a-ADP; (f) B1a-ADP.
The constant bias provided by JP3a indicates that adding 4.2% to the % BF given by JP3a would result in a good assessment of body fat content over a wide range of body compositions, which is concordant with ADP within an interval of agreement of ±9.6% BF (see Table 5, 5th line). Figure S3 shows the outcome of a least-squares linear regression analysis of the formulas scrutinized in Figure 6. The small slope of the regression line in Figure S3, panels a, b, c, e, and f, explains the discrepancy between the SEE and TE in the case of B7a, L3a, L4a, H2a, and B1a.
Finally, Table 5 reports the overall bias and the upper limit of agreement (ULA), as well as their 95% CI, for all the formulas evaluated in this study. Here, the difference ULA-Bias is the half-width of the 95% interval of agreement.
4. Discussion
This study evaluated the hypothesis that anthropometric equations that predict % BF as a function of skinfold thicknesses measured at certain sites can be converted into formulas that express % BF as a function of uncompressed subcutaneous adipose tissue thicknesses given by US at the same sites. The results reported in the previous section suggest that, indeed, anthropometric equations represent valuable starting points in the development of prediction formulas for US-based body composition analysis.
Our study was motivated by the need for more accurate formulas to estimate body fat content relying on US measurements of SFs. Our primary goal was to improve the validity of A-mode US assessments of body fat content given by the BodyMetrix device. Nevertheless, the 33 formulas derived here may also serve investigations of human body composition via B-mode US [13,32,33,34].
The proprietary equations included in the BodyView Pro software perform best in lean men. The JP3 formula ensured accurate assessment of % BF in male athletes [15] and the JP7 formula was found equally valid in a group of soccer players [63]. Compared to ADP, the accuracy of % BF estimates based on the JP3, JP7, and NHCA equations was deemed acceptable, but not ideal in relatively lean males from the general population [22].
For females, the validity of the BodyMetrix less well established. A comparative study of all the predictions formulas from BodyView is still lacking. In the athletic population, the JP3 formula provided an overestimation of the global adiposity by 4.6% BF compared to ADP [15], and by 3.4% BF compared to DXA [19].
In a sample of normal-weight, college-aged subjects, against DXA as the criterion method, the JP7 formula resulted in an underestimation of body fat content by 4.4% BF on average for both men and women [20]. Moreover, a proportional bias was observed, just as in the present study (Figure 3a,b), indicating that the underestimation is more pronounced for subjects of higher adiposity.
In a study of the validity of A-mode US in overweight and obese people, the JP7 formula underpredicted the body fat percentage by 4.6% BF in comparison to the three-compartment model based on ADP to measure body volume and bioelectrical impedance spectroscopy to measure the total mass of body water [14].
The results obtained in the current study using the proprietary JP7 formula agree with the literature in that it is accurate for lean men and its accuracy deteriorates gradually with increasing body fat content (Figure 3b and Figure 4b). In the case of women, however, we did not observe an overestimation of % BF in lean subjects as observed previously in female athletes [15,19], perhaps because our study group did not include competitive athletes. Instead, we found good accuracy at % BF of the order of 20% and proportional bias leading to progressive underestimation of % BF at larger adiposities (Figure 3a and Figure 4a), just as in the case of men. These results are in accord with literature data on college-aged adults with BMI = 23.6 ± 3.6 kg/m2 [20] and middle-aged subjects with BMI = 31.5 ± 5.2 [14].
The 7-site Jackson and Pollock equation adapted for US use (JP7a) was similar to the proprietary JP7 formula concerning the average underprediction of % BF, but it differed in two aspects: it had a higher SEE (Figure 4c,d), and produced no proportional bias in the case of women (Figure 3c). While the increase in SEE (by 1.4% BF for women and 0.6% BF for men) is undesirable, the constant bias, of −3.7% BF, observed for women is an important advantage over the JP7 formula from BodyView. Indeed, one can increment the output of JP7a to cancel the bias and obtain a % BF estimate of acceptable accuracy relative to ADP.
Remarkably, JP7a was more accurate when SKFs were approximated by twice the US-measured SFs (Figure 3e,f). In the case of women, the bias practically vanished (zero entered its 95% CI), whereas in the case of men, the bias decreased about twofold. Also, the TE decreased, ensuring an acceptable accuracy (Figure 4e,f). These findings explain the good results reported in the literature by research groups who used JP7a assuming that SKF = 2 × SF [13,32,33]. Although such an assumption contravenes the experimental facts on skinfold compression by the jaws of the caliper, it compensates for the tendency of the 7-site Jackson and Pollock formula to overestimate body density and, thereby, underestimate % BF.
Of all the formulas evaluated in this study, none was found to satisfy the validity criteria of having both the SEE and TE below 3.5% BF [23]. The best formulas had SEE < 3.5% BF, TE < 4.6% BF, and CCC > 0.85 for women, and SEE < 3% BF, TE < 4.9% BF, and CCC > 0.8 for men. Nevertheless, for specific populations, certain adapted formulas assured better accuracy than the proprietary equations; JP7a, DWa, and H2a provided more valid estimates of % BF than JP7 in the case of overweight and obese women, whereas in men of this category, JP3a assured the best assessment because it only had a constant bias. Moreover, B7a, L4a, and L3a were more accurate than JP7 for the entire group of men.
The B1a formula originated from a skinfold equation specifically developed by Bacchi et al. for overweight and obese adults who had type-2 diabetes [50]. Yet, regardless of sex, it ensured a better accuracy in our heterogeneous sample of clinically healthy adults than L1a, S1a, and the proprietary 1-site biceps (Bic1) equation. These formulas are convenient because they only require access to the upper arm of the subject. Additionally, a vast body of evidence indicates that errors in the US measurement of limb site SFs are rare. Indeed, in the study conducted by Müller et al. [26], out of 456 B-mode US images acquired at limb sites only 2.9% were non-evaluable. They mentioned the triceps site as an anatomical location with clearly stratified US image.
While weighing the benefits of the prediction equations investigated here, it is important to take into account the limitations of this study. First, we relied on ADP as the criterion method instead of multicomponent models that take advantage of several techniques [6]. ADP, however, was found in good agreement with other laboratory methods [64] (SEE = 3.3% BF with respect to hydrostatic weighing, and SEE < 3.5% BF with respect to DXA [65]), as well as with the criterion 4-component model (SEE = 1.5% BF and TE = 2.3% BF for Caucasian subjects, which earned a validity rating between “excellent” and “ideal” [66]). Second, the ADP tests were conducted with thoracic gas volume estimated by the BOD POD’s software. This was the case for 49 out of the 110 participants in the work of Blue et al. [66]. Studies that evaluated the impact of using predicted rather than measured lung volume in ADP trials revealed no significant differences in the general population [67,68,69]. Also, measured and predicted body volumes did not differ significantly in a sample of college-aged athletes (p = 0.343), and the corresponding ADP assessments of % BF were within ±2% BF, with a bias of merely 0.2% BF (measured minus predicted). The authors concluded that, within the height range of 156–185 cm, using predicted thoracic gas volume instead of the measured one did not substantially affect the % BF estimate [70]. Third, a larger sample size would have allowed us to stratify the results by age and nutritional status. Finally, the SKF/SF ratios were computed from a limited set of experimental works. Most of them were taken from the study of Wagner et al. [15] because they used the BodyMetrix in their US measurements following a protocol that ensured the best precision reported in the literature. Future refinements of these ratios might result from a systematic review and meta-analysis of comparative skinfold thickness and ultrasound measurements. Experimental studies of skinfold compressibility, stratified by sex, age, and nutritional status, might provide a more solid foundation for translating anthropometric formulas into US-based prediction formulas. Further insights might arise from theoretical investigations of biological tissue viscoelasticity.
5. Conclusions
In this study, we devised a method to turn an anthropometric formula that gives % BF as a function of skinfold thicknesses into a formula that predicts % BF in terms of subcutaneous fat thicknesses measured by ultrasound. We adapted skinfold equations by replacing each SKF with the SF measured by US at the same site multiplied by the mean value of the corresponding SKF/SF ratio reported in the literature. We applied the proposed method for 33 anthropometric formulas, and evaluated their accuracy against air displacement plethysmography. Although none of the resulting formulas was a valid alternative to the criterion method, some of them outperformed the proprietary equations provided in the BodyView software, especially in what concerns overweight and obese individuals. Therefore, healthcare practitioners might apply them to evaluate the body composition of their patients using portable ultrasound instruments in the clinics.
Further research may attempt converting anthropometric equations developed for specific populations (e.g., athletes or elderly people). They might also look at more ample modifications of the skinfold equations, such changing the constants that intervene in various terms. Improvements of US prediction formulas derived from anthropometric equations could rely on a deeper understanding of skinfold viscoelasticity. Experiments conducted on various populations in conjunction with analytical and computational approaches will clarify the relationship between SKFs and SFs and pave the way toward accurate body composition assessment using ultrasound.
Supplementary Materials
The following supporting information can be downloaded at: https://www.mdpi.com/article/10.3390/sym16080962/s1, Figure S1: Least squares linear regression analysis of the top 6 formulas devised for women, Figure S2: Bland-Altman analysis of the validity of formulas that predict A-mode US-derived % BF of women under the assumption that a skinfold thickness is two times the thickness of the uncompressed subcutaneous fat, Figure S3: Linear regression analysis of the top 6 formulas for men, Data S1: Microsoft Excel spreadsheet, DataS1.xlsx, containing anonymized experimental data generated during this study.
Author Contributions
Conceptualization, M.N. and A.N.; methodology, M.N.; software, A.N.; investigation, P.M., M.M.-B., G.A.M. and O.M.; resources, M.N.; writing—original draft preparation, P.M. and M.N.; writing—review and editing, A.N.; visualization, O.M.; supervision, M.N. All authors have read and agreed to the published version of the manuscript.
Funding
This research received no external funding.
Institutional Review Board Statement
This study was conducted according to the ethical princples stated in the Declaration of Helsinki and approved by the Committee of Research Ethics of the “Victor Babes” University of Medicine and Pharmacy of Timisoara (resolutions no. 20 from 24 July 2019, and no. 42 from 2 June 2022).
Informed Consent Statement
Prospective participants were familiarized with the planned measurement procedures and signed an informed consent form.
Data Availability Statement
All the data generated in the present study is made available in the article and in the Supplementary Materials.
Conflicts of Interest
The authors declare no conflict of interest.
References
- Heymsfield, S.; Lohman, T.G.; Wang, Z.-M.; Going, S. Human Body Composition, 2nd ed.; Human Kinetics: Chapmaign, IL, USA, 2005. [Google Scholar]
- Olansky, S.; Beaudry, K.M.; Woods, S.; Barbour-Tuck, E.; Gammage, K.L.; Klentrou, P.; Josse, A.R. Changes in Body Composition, Energy Expenditure, and Energy Intake during Four Years of University—A Follow-Up Study. Int. J. Environ. Res. Public Health 2021, 18, 3990. [Google Scholar] [CrossRef]
- Ackland, T.R.; Lohman, T.G.; Sundgot-Borgen, J.; Maughan, R.J.; Meyer, N.L.; Stewart, A.D.; Müller, W. Current status of body composition assessment in sport. Sports Med. 2012, 42, 227–249. [Google Scholar] [CrossRef]
- Sundgot-Borgen, J.; Meyer, N.L.; Lohman, T.G.; Ackland, T.R.; Maughan, R.J.; Stewart, A.D.; Müller, W. How to minimise the health risks to athletes who compete in weight-sensitive sports review and position statement on behalf of the Ad Hoc Research Working Group on Body Composition, Health and Performance, under the auspices of the IOC Medical Commission. Br. J. Sports Med. 2013, 47, 1012–1022. [Google Scholar] [CrossRef] [PubMed]
- Muller, M.J.; Braun, W.; Enderle, J.; Bosy-Westphal, A. Beyond BMI: Conceptual Issues Related to Overweight and Obese Patients. Obes. Facts 2016, 9, 193–205. [Google Scholar] [CrossRef]
- Lohman, T.G.; Milliken, L.A.; Sardinha, L.B. Introduction to Body Composition and Assessment. In ACSM’s Body Composition Assessment; Lohman, T.G., Milliken, L.A., Eds.; Human Kinetics: Champaign, IL, USA, 2020; pp. 1–16. [Google Scholar]
- Kasper, A.M.; Langan-Evans, C. Come Back Skinfolds, All Is Forgiven: A Narrative Review of the Efficacy of Common Body Composition Methods in Applied Sports Practice. Nutrients 2021, 13, 1075. [Google Scholar] [CrossRef]
- Wagner, D.R. Ultrasound as a Tool to Assess Body Fat. J. Obes. 2013, 2013, 280713. [Google Scholar] [CrossRef] [PubMed]
- Wagner, D.R.; Teramoto, M. Interrater reliability of novice examiners using A-mode ultrasound and skinfolds to measure subcutaneous body fat. PLoS ONE 2020, 15, e0244019. [Google Scholar] [CrossRef]
- Hendrickson, N.; Davison, J.; Schiller, L.; Willey, M. Reliability and Validity of A-Mode Ultrasound to Quantify Body Composition. J. Orthop. Trauma 2019, 33, 472–477. [Google Scholar] [CrossRef] [PubMed]
- Loenneke, J.P.; Barnes, J.T.; Wagganer, J.D.; Wilson, J.M.; Lowery, R.P.; Green, C.E.; Pujol, T.J. Validity and reliability of an ultrasound system for estimating adipose tissue. Clin. Physiol. Funct. Imaging 2014, 34, 159–162. [Google Scholar] [CrossRef]
- Miclos-Balica, M.; Muntean, P.; Schick, F.; Haragus, H.G.; Glisici, B.; Pupazan, V.; Neagu, A.; Neagu, M. Reliability of body composition assessment using A-mode ultrasound in a heterogeneous sample. Eur. J. Clin. Nutr. 2021, 75, 438–445. [Google Scholar] [CrossRef]
- Smith-Ryan, A.E.; Blue, M.N.M.; Trexler, E.T.; Hirsch, K.R. Utility of ultrasound for body fat assessment: Validity and reliability compared to a multicompartment criterion. Clin. Physiol. Funct. Imaging 2018, 38, 220–226. [Google Scholar] [CrossRef] [PubMed]
- Smith-Ryan, A.E.; Fultz, S.N.; Melvin, M.N.; Wingfield, H.L.; Woessner, M.N. Reproducibility and Validity of A-Mode Ultrasound for Body Composition Measurement and Classification in Overweight and Obese Men and Women. PLoS ONE 2014, 9, e91750. [Google Scholar] [CrossRef] [PubMed]
- Wagner, D.R.; Cain, D.L.; Clark, N.W. Validity and Reliability of A-Mode Ultrasound for Body Composition Assessment of NCAA Division I Athletes. PLoS ONE 2016, 11, e0153146. [Google Scholar] [CrossRef] [PubMed]
- Da Silva, L. An Introduction to Ultrasound and the BodyMetrix System; IntelaMetrix: Livermore, CA, USA, 2010. [Google Scholar]
- Baranauskas, M.N.; Johnson, K.E.; Juvancic-Heltzel, J.A.; Kappler, R.M.; Richardson, L.; Jamieson, S.; Otterstetter, R. Seven-site versus three-site method of body composition using BodyMetrix ultrasound compared to dual-energy X-ray absorptiometry. Clin. Physiol. Funct. Imaging 2017, 37, 317–321. [Google Scholar] [CrossRef] [PubMed]
- Johnson, K.E.; Naccarato, I.A.; Corder, M.A.; Repovich, W. Validation of Three Body Composition Techniques with a Comparison of Ultrasound Abdominal Fat Depths against an Octopolar Bioelectrical Impedance Device. Int. J. Exerc. Sci. 2012, 5, 205–213. [Google Scholar]
- Loenneke, J.P.; Barnes, J.T.; Wagganer, J.D.; Pujol, T.J. Validity of a portable computer-based ultrasound system for estimating adipose tissue in female gymnasts. Clin. Physiol. Funct. Imaging 2014, 34, 410–412. [Google Scholar] [CrossRef]
- Johnson, K.E.; Miller, B.; Juvancic-Heltzel, J.A.; Agnor, S.E.; Kiger, D.L.; Kappler, R.M.; Otterstetter, R. Agreement between ultrasound and dual-energy X-ray absorptiometry in assessing percentage body fat in college-aged adults. Clin. Physiol. Funct. Imaging 2014, 34, 493–496. [Google Scholar] [CrossRef]
- Kang, S.; Park, J.-H.; Seo, M.-W.; Jung, H.C.; Kim, Y.I.; Lee, J.-M. Validity of the Portable Ultrasound BodyMetrix™ BX-2000 for Measuring Body Fat Percentage. Sustainability 2020, 12, 8786. [Google Scholar] [CrossRef]
- Lowry, R.S.; Wagner, D.R.; Bigler, M. Evaluation of Body Fat Prediction Equations from a Portable A-Mode Ultrasound Compared to Air Displacement Plethysmography. Meas. Phys. Educ. Exerc. Sci. 2021, 25, 314–321. [Google Scholar] [CrossRef]
- Brandon, L.J.; Milliken, L.A.; Blew, R.M.; Lohman, T.G. Body Composition Field Methods. In ACSM’s Body Composition Assessment; Lohman, T.G., Milliken, L.A., Eds.; Human Kinetics: Champaign, IL, USA, 2020; pp. 59–89. [Google Scholar]
- Wagner, D.R.; Thompson, B.J.; Anderson, D.A.; Schwartz, S. A-mode and B-mode ultrasound measurement of fat thickness: A cadaver validation study. Eur. J. Clin. Nutr. 2019, 73, 518–523. [Google Scholar] [CrossRef]
- Wagner, D.R.; Teramoto, M.; Judd, T.; Gordon, J.; McPherson, C.; Robison, A. Comparison of A-mode and B-mode Ultrasound for Measurement of Subcutaneous Fat. Ultrasound Med. Biol. 2020, 46, 944–951. [Google Scholar] [CrossRef]
- Müller, W.; Horn, M.; Fürhapter-Rieger, A.; Kainz, P.; Kröpfl, J.M.; Maughan, R.J.; Ahammer, H. Body composition in sport: A comparison of a novel ultrasound imaging technique to measure subcutaneous fat tissue compared with skinfold measurement. Br. J. Sports Med. 2013, 47, 1028–1035. [Google Scholar] [CrossRef]
- Cintra-Andrade, J.H.; Ripka, W.L.; Heymsfield, S.B. Skinfold calipers: Which instrument to use? J. Nutr. Sci. 2023, 12, e82. [Google Scholar] [CrossRef] [PubMed]
- Borkan, G.A.; Hults, D.E.; Cardarelli, J.; Burrows, B.A. Comparison of ultrasound and skinfold measurements in assessment of subcutaneous and total fatness. Am. J. Phys. Anthropol. 1982, 58, 307–313. [Google Scholar] [CrossRef]
- Pérez-Chirinos Buxadé, C.; Solà-Perez, T.; Castizo-Olier, J.; Carrasco-Marginet, M.; Roy, A.; Marfell-Jones, M.; Irurtia, A. Assessing subcutaneous adipose tissue by simple and portable field instruments: Skinfolds versus A-mode ultrasound measurements. PLoS ONE 2018, 13, e0205226. [Google Scholar] [CrossRef]
- Jackson, A.S.; Pollock, M.L. Generalized equations for predicting body density of men. Br. J. Nutr. 1978, 40, 497–504. [Google Scholar] [CrossRef] [PubMed]
- Jackson, A.S.; Pollock, M.L.; Ward, A. Generalized equations for predicting body density of women. Med. Sci. Sports Exerc. 1980, 12, 175–181. [Google Scholar] [CrossRef] [PubMed]
- Chandler, A.J.; Cintineo, H.P.; Sanders, D.J.; McFadden, B.A.; Arent, M.A.; Monaco, R.; Arent, S.M. Agreement between B-Mode Ultrasound and Air Displacement Plethysmography in Preprofessional Ballet Dancers. Med. Sci. Sports Exerc. 2021, 53, 653–657. [Google Scholar] [CrossRef]
- Tinsley, G.M.; Rodriguez, C.; White, S.J.; Williams, A.D.; Stratton, M.T.; Harty, P.S.; Smith, R.W.; Dellinger, J.R.; Johnson, B.A. A Field-based Three-Compartment Model Derived from Ultrasonography and Bioimpedance for Estimating Body Composition Changes. Med. Sci. Sports Exerc. 2021, 53, 658–667. [Google Scholar] [CrossRef]
- Chandler, A.J.; Dona, S.T.; Cintineo, H.P.; McFadden, B.A.; Sanders, D.J.; Monaco, R.; Arent, S.M. Intra-and inter-rater reliability of assessing body composition using B-mode ultrasound in conjunction with artificial intelligence software. J. Exerc. Nutr. 2020, 3, 4. [Google Scholar]
- Tinsley, G.M.; Chandler, A.J.; Arent, S.M. Response. Med. Sci. Sports Exerc. 2022, 54, 190. [Google Scholar] [CrossRef]
- Wagner, D.R. Oversimplification of the Relationship between Ultrasound and Skinfold Measurements of Subcutaneous Fat Thickness. Med. Sci. Sports Exerc. 2022, 54, 189. [Google Scholar] [CrossRef]
- Stewart, A.; Marfell-Jones, M.; Olds, T.; De Ridder, J. International Standards for Anthropometric Assessment, 3rd ed.; International Society for the Advancement of Kinanthropometry: Lower Hutt, New Zealand, 2011. [Google Scholar]
- COSMED. BOD POD Gold Standard Body Composition Tracking System Operator’s Manual—P/N 210-2400 Rev. M—DCO 1765; COSMED USA, Inc.: Concord, CA, USA, 2015. [Google Scholar]
- Tucker, L.A.; Lecheminant, J.D.; Bailey, B.W. Test-retest reliability of the Bod Pod: The effect of multiple assessments. Percept. Mot. Skills 2014, 118, 563–570. [Google Scholar] [CrossRef]
- Muntean, P.; Micloș-Balica, M.; Popa, A.; Neagu, A.; Neagu, M. Reliability of Repeated Trials Protocols for Body Composition Assessment by Air Displacement Plethysmography. Int. J. Environ. Res. Public Health 2021, 18, 10693. [Google Scholar] [CrossRef] [PubMed]
- Nevill, A.M.; Metsios, G.S.; Jackson, A.S.; Wang, J.; Thornton, J.; Gallagher, D. Can we use the Jackson and Pollock equations to predict body density/fat of obese individuals in the 21st century? Int. J. Body Compos. Res. 2008, 6, 114–121. [Google Scholar]
- Durnin, J.V.; Womersley, J. Body fat assessed from total body density and its estimation from skinfold thickness: Measurements on 481 men and women aged from 16 to 72 years. Br. J. Nutr. 1974, 32, 77–97. [Google Scholar] [CrossRef]
- Sloan, A.W.; Burt, J.J.; Blyth, C.S. Estimation of body fat in young women. J. Appl. Physiol. 1962, 17, 967–970. [Google Scholar] [CrossRef] [PubMed]
- Wilmore, J.H.; Behnke, A.R. An anthropometric estimation of body density and lean body weight in young women. Am. J. Clin. Nutr. 1970, 23, 267–274. [Google Scholar] [CrossRef] [PubMed]
- Hassager, C.; Gotfredsen, A.; Jensen, J.; Christiansen, C. Prediction of body composition by age, height, weight, and skinfold thickness in normal adults. Metab.—Clin. Exp. 1986, 35, 1081–1084. [Google Scholar] [CrossRef]
- Lean, M.E.; Han, T.S.; Deurenberg, P. Predicting body composition by densitometry from simple anthropometric measurements. Am. J. Clin. Nutr. 1996, 63, 4–14. [Google Scholar] [CrossRef]
- Peterson, M.J.; Czerwinski, S.A.; Siervogel, R.M. Development and validation of skinfold-thickness prediction equations with a 4-compartment model. Am. J. Clin. Nutr. 2003, 77, 1186–1191. [Google Scholar] [CrossRef] [PubMed]
- Evans, E.M.; Rowe, D.A.; Misic, M.M.; Prior, B.M.; Arngrímsson, S.A. Skinfold prediction equation for athletes developed using a four-component model. Med. Sci. Sports Exerc. 2005, 37, 2006–2011. [Google Scholar] [CrossRef] [PubMed]
- Jackson, A.S.; Ellis, K.J.; McFarlin, B.K.; Sailors, M.H.; Bray, M.S. Cross-validation of generalised body composition equations with diverse young men and women: The Training Intervention and Genetics of Exercise Response (TIGER) Study. Br. J. Nutr. 2009, 101, 871–878. [Google Scholar] [CrossRef] [PubMed]
- Bacchi, E.; Cavedon, V.; Zancanaro, C.; Moghetti, P.; Milanese, C. Comparison between dual-energy X-ray absorptiometry and skinfold thickness in assessing body fat in overweigh/obese adult patients with type-2 diabetes. Sci. Rep. 2017, 7, 17424. [Google Scholar] [CrossRef] [PubMed]
- Svendsen, O.L.; Haarbo, J.; Heitmann, B.L.; Gotfredsen, A.; Christiansen, C. Measurement of body fat in elderly subjects by dual-energy X-ray absorptiometry, bioelectrical impedance, and anthropometry. Am. J. Clin. Nutr. 1991, 53, 1117–1123. [Google Scholar] [CrossRef]
- Siri, W.E. Body composition from fluid spaces and density: Analysis of methods. In Techniques for Measuring Body Composition; Brozek, J., Hanschel, A., Eds.; National Academy of Sciences: Washington, DC, USA, 1961; pp. 223–244. [Google Scholar]
- Sloan, A.W. Estimation of body fat in young men. J. Appl. Physiol. 1967, 23, 311–315. [Google Scholar] [CrossRef] [PubMed]
- Wilmore, J.H.; Behnke, A.R. An anthropometric estimation of body density and lean body weight in young men. J. Appl. Physiol. 1969, 27, 25–31. [Google Scholar] [CrossRef] [PubMed]
- Civar, S.; Ozer, K.; Aktop, A.; Tercan, E.; Ayçeman, N. Validity of leg-to-leg bioelectrical impedance measurement in higly active males. Biol. Sport 2003, 20, 209–219. [Google Scholar] [CrossRef]
- Ball, S.D.; Altena, T.S.; Swan, P.D. Comparison of anthropometry to DXA: A new prediction equation for men. Eur. J. Clin. Nutr. 2004, 58, 1525–1531. [Google Scholar] [CrossRef]
- Leahy, S.; O’Neill, C.; Sohun, R.; Toomey, C.; Jakeman, P. Generalised equations for the prediction of percentage body fat by anthropometry in adult men and women aged 18–81 years. Br. J. Nutr. 2013, 109, 678–685. [Google Scholar] [CrossRef]
- Heyward, V.H.; Wagner, D.R. Applied Body Composition Assessment; Human Kinetics: Champaign, IL, USA, 2004. [Google Scholar]
- Bland, J.M.; Altman, D.G. Measuring agreement in method comparison studies. Stat. Methods Med. Res. 1999, 8, 135–160. [Google Scholar] [CrossRef] [PubMed]
- Bland, M.J.; Altman, D.G. Statistical methods for assessing agreement between two methods of clinical measurement. Lancet 1986, 327, 307–310. [Google Scholar] [CrossRef]
- Lin, L.I. A concordance correlation coefficient to evaluate reproducibility. Biometrics 1989, 45, 255–268. [Google Scholar] [CrossRef] [PubMed]
- Matthew, R. f_CCC, GitHub. 2024. Available online: https://github.com/robertpetermatthew/f_CCC (accessed on 9 April 2024).
- Muntean, P.; Neagu, M.; Amaricai, E.; Haragus, H.G.; Onofrei, R.R.; Neagu, A. Using A-Mode Ultrasound to Assess the Body Composition of Soccer Players: A Comparative Study of Prediction Formulas. Diagnostics 2023, 13, 690. [Google Scholar] [CrossRef]
- Fields, D.A.; Gunatilake, R.; Kalaitzoglou, E. Air displacement plethysmography: Cradle to grave. Nutr. Clin. Pract. 2015, 30, 219–226. [Google Scholar] [CrossRef] [PubMed]
- Fields, D.A.; Goran, M.I.; McCrory, M.A. Body-composition assessment via air-displacement plethysmography in adults and children: A review. Am. J. Clin. Nutr. 2002, 75, 453–467. [Google Scholar] [CrossRef]
- Blue, M.N.M.; Hirsch, K.R.; Brewer, G.J.; Cabre, H.E.; Gould, L.M.; Tinsley, G.M.; Ng, B.K.; Ryan, E.D.; Padua, D.; Smith-Ryan, A.E. The validation of contemporary body composition methods in various races and ethnicities. Br. J. Nutr. 2022, 128, 2387–2397. [Google Scholar] [CrossRef]
- Collins, A.L.; McCarthy, H.D. Evaluation of factors determining the precision of body composition measurements by air displacement plethysmography. Eur. J. Clin. Nutr. 2003, 57, 770–776. [Google Scholar] [CrossRef]
- McCrory, M.A.; Mole, P.A.; Gomez, T.D.; Dewey, K.G.; Bernauer, E.M. Body composition by air-displacement plethysmography by using predicted and measured thoracic gas volumes. J. Appl. Physiol. 1998, 84, 1475–1479. [Google Scholar] [CrossRef]
- Otterstetter, R.; Johnson, K.E.; Kiger, D.L.; Agnor, S.E.; Kappler, R.M.; Reinking, M.; Tessmer, K. Comparison of air-displacement plethysmography results using predicted and measured lung volumes over a protracted period of time. Clin. Physiol. Funct. Imaging 2015, 35, 328–331. [Google Scholar] [CrossRef]
- Wagner, D.R. Predicted versus measured thoracic gas volumes of collegiate athletes made by the BOD POD air displacement plethysmography system. Appl. Physiol. Nutr. Metab. 2015, 40, 1075–1077. [Google Scholar] [CrossRef]
Disclaimer/Publisher’s Note: The statements, opinions and data contained in all publications are solely those of the individual author(s) and contributor(s) and not of MDPI and/or the editor(s). MDPI and/or the editor(s) disclaim responsibility for any injury to people or property resulting from any ideas, methods, instructions or products referred to in the content. |
© 2024 by the authors. Licensee MDPI, Basel, Switzerland. This article is an open access article distributed under the terms and conditions of the Creative Commons Attribution (CC BY) license (https://creativecommons.org/licenses/by/4.0/).





