Computational Analysis of the Comprehensive Lifetime Performance Index for Exponentiated Fréchet Lifetime Distribution Products with Multi-Components
Abstract
1. Introduction
2. The Lifetime Performance Index and the Maximum Likelihood Estimation
2.1. The Relationship between the Comprehensive Lifetime Performance Index and Individual Lifetime Performance Index
2.2. The Maximum Likelihood Estimators for the Life Performance Indices
3. The Testing Algorithm Procedure for the Comprehensive Lifetime Performance Index
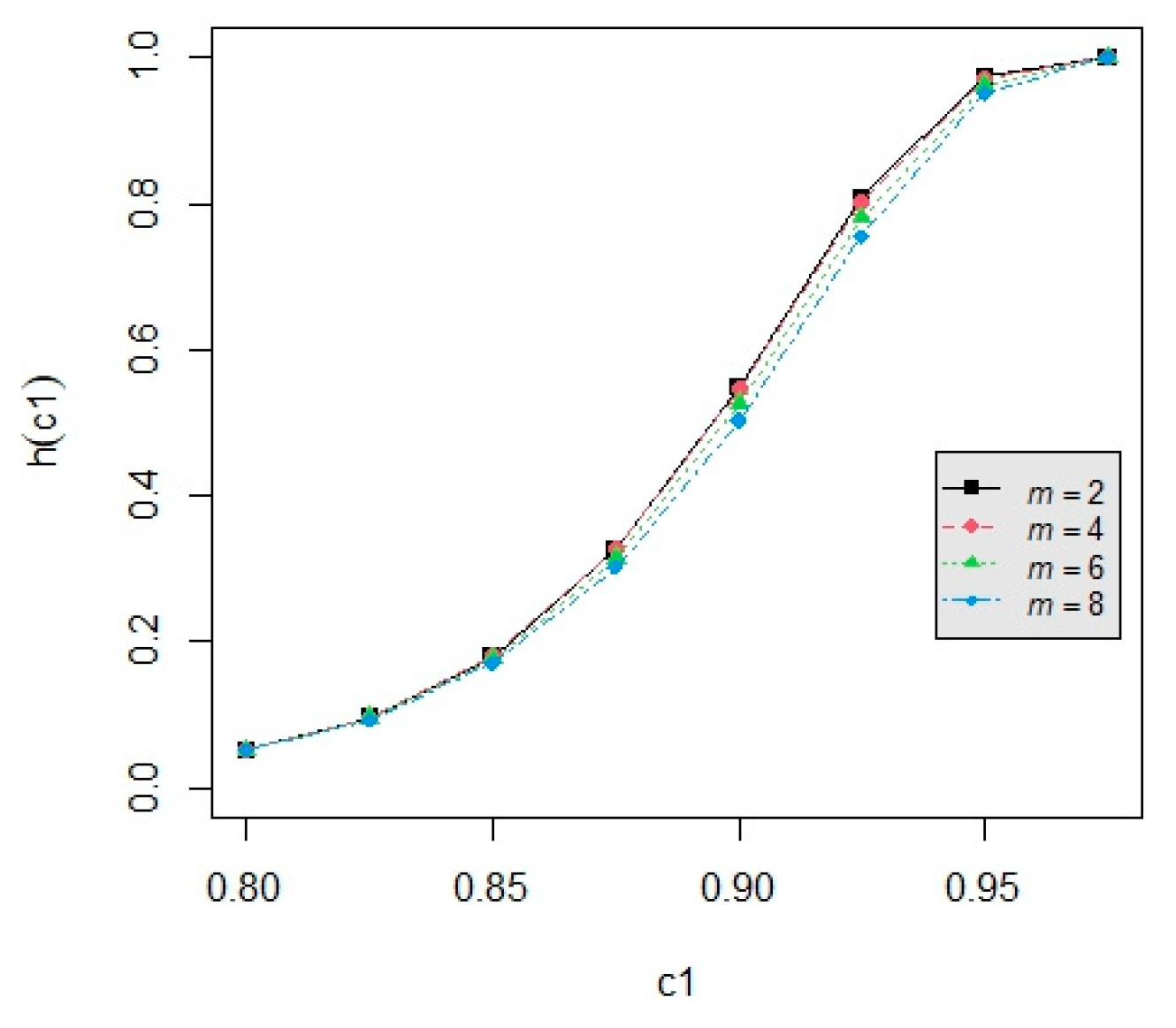
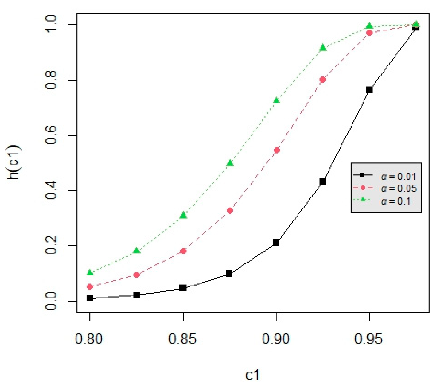
3.1. The Testing Procedure for the Comprehensive Lifetime Performance Index and Power Analysis
| Algorithm 1. The testing procedure for . |
| Step 1: For two components with specified lower limits L1 and L2, gather the progressive type I interval-censored samples at predetermined inspection times , using censoring schemes of from the exponentiated Fréchet distribution. Step 2: For a defined process yield Pr and the component count d, locate the appropriate values for CT (denoted as c0) and CL (denoted as ) from Table 1 to meet each component’s required level. Following this, we outline the testing hypothesis for some i vs. . Step 3: Quantify the test statistic . Step 4: For the specified significance level α, compute the critical value , where , α’=α1/d, and is defined in Equation (22). Step 5: Assess in relation to . If for all i, it can be concluded that the comprehensive lifetime performance index for products with d components produced in d production lines has surpassed the target level c0. Furthermore, the test power function of the testing procedure at the point of or in the alternative hypothesisis obtained as follows: |
3.2. Practical Example
4. Conclusions
Author Contributions
Funding
Data Availability Statement
Conflicts of Interest
Nomenclature
| the scale parameter for the exponentiated Fréchet lifetime distribution; | |
| the shape parameter for the exponentiated Fréchet lifetime distribution; | |
| the lifetime performance index for the ith component; | |
| the process yield for the ith component; | |
| the comprehensive lifetime performance index; | |
| the overall process yield. |
Appendix A
| c1 | ||||||||||
| m | n | p | 0.8 | 0.825 | 0.85 | 0.875 | 0.9 | 0.925 | 0.95 | 0.975 |
| 2 | 25 | 0.05 | 0.0100 | 0.0184 | 0.0355 | 0.0719 | 0.1513 | 0.3217 | 0.6400 | 0.9670 |
| 0.075 | 0.0100 | 0.0182 | 0.0348 | 0.0698 | 0.1459 | 0.3096 | 0.6213 | 0.9609 | ||
| 0.1 | 0.0100 | 0.0180 | 0.0341 | 0.0678 | 0.1406 | 0.2976 | 0.6021 | 0.9537 | ||
| 50 | 0.05 | 0.0100 | 0.0271 | 0.0736 | 0.1917 | 0.4405 | 0.7865 | 0.9840 | 1.0000 | |
| 0.075 | 0.0100 | 0.0267 | 0.0718 | 0.1859 | 0.4279 | 0.7729 | 0.9812 | 1.0000 | ||
| 0.1 | 0.0100 | 0.0263 | 0.0700 | 0.1801 | 0.4151 | 0.7587 | 0.9780 | 1.0000 | ||
| 75 | 0.05 | 0.0100 | 0.0358 | 0.1193 | 0.3347 | 0.6928 | 0.9559 | 0.9997 | 1.0000 | |
| 0.075 | 0.0100 | 0.0353 | 0.1161 | 0.3253 | 0.6791 | 0.9507 | 0.9996 | 1.0000 | ||
| 0.1 | 0.0100 | 0.0347 | 0.1130 | 0.3158 | 0.6651 | 0.9449 | 0.9995 | 1.0000 | ||
| 100 | 0.05 | 0.0100 | 0.0449 | 0.1705 | 0.4767 | 0.8502 | 0.9927 | 1.0000 | 1.0000 | |
| 0.075 | 0.0100 | 0.0441 | 0.1659 | 0.4649 | 0.8400 | 0.9914 | 1.0000 | 1.0000 | ||
| 0.1 | 0.0100 | 0.0433 | 0.1614 | 0.4530 | 0.8291 | 0.9898 | 1.0000 | 1.0000 | ||
| 4 | 25 | 0.05 | 0.0100 | 0.0191 | 0.0379 | 0.0775 | 0.1621 | 0.3376 | 0.6521 | 0.9672 |
| 0.075 | 0.0100 | 0.0186 | 0.0358 | 0.0716 | 0.1471 | 0.3049 | 0.6022 | 0.9490 | ||
| 0.1 | 0.0100 | 0.0181 | 0.0339 | 0.0661 | 0.1331 | 0.2739 | 0.5508 | 0.9236 | ||
| 50 | 0.05 | 0.0100 | 0.0282 | 0.0780 | 0.2020 | 0.4541 | 0.7922 | 0.9835 | 1.0000 | |
| 0.075 | 0.0100 | 0.0272 | 0.0729 | 0.1858 | 0.4198 | 0.7554 | 0.9750 | 1.0000 | ||
| 0.1 | 0.0100 | 0.0262 | 0.0681 | 0.1706 | 0.3864 | 0.7156 | 0.9632 | 1.0000 | ||
| 75 | 0.05 | 0.0100 | 0.0374 | 0.1256 | 0.3474 | 0.7020 | 0.9562 | 0.9996 | 1.0000 | |
| 0.075 | 0.0100 | 0.0357 | 0.1168 | 0.3215 | 0.6651 | 0.9412 | 0.9993 | 1.0000 | ||
| 0.1 | 0.0100 | 0.0342 | 0.1086 | 0.2967 | 0.6268 | 0.9225 | 0.9986 | 1.0000 | ||
| 100 | 0.05 | 0.0100 | 0.0468 | 0.1787 | 0.4897 | 0.8548 | 0.9925 | 1.0000 | 1.0000 | |
| 0.075 | 0.0100 | 0.0446 | 0.1659 | 0.4575 | 0.8267 | 0.9884 | 1.0000 | 1.0000 | ||
| 0.1 | 0.0100 | 0.0425 | 0.1538 | 0.4258 | 0.7954 | 0.9827 | 1.0000 | 1.0000 | ||
| 6 | 25 | 0.05 | 0.0100 | 0.0190 | 0.0371 | 0.0747 | 0.1539 | 0.3172 | 0.6176 | 0.9538 |
| 0.075 | 0.0100 | 0.0181 | 0.0340 | 0.0658 | 0.1316 | 0.2683 | 0.5371 | 0.9132 | ||
| 0.1 | 0.0100 | 0.0174 | 0.0312 | 0.0580 | 0.1122 | 0.2246 | 0.4569 | 0.8517 | ||
| 50 | 0.05 | 0.0100 | 0.0278 | 0.0755 | 0.1927 | 0.4319 | 0.7660 | 0.9769 | 1.0000 | |
| 0.075 | 0.0100 | 0.0262 | 0.0678 | 0.1684 | 0.3791 | 0.7034 | 0.9579 | 1.0000 | ||
| 0.1 | 0.0100 | 0.0247 | 0.0609 | 0.1468 | 0.3298 | 0.6356 | 0.9283 | 0.9997 | ||
| 75 | 0.05 | 0.0100 | 0.0366 | 0.1208 | 0.3314 | 0.6767 | 0.9450 | 0.9993 | 1.0000 | |
| 0.075 | 0.0100 | 0.0341 | 0.1076 | 0.2920 | 0.6164 | 0.9152 | 0.9981 | 1.0000 | ||
| 0.1 | 0.0100 | 0.0319 | 0.0958 | 0.2559 | 0.5547 | 0.8757 | 0.9952 | 1.0000 | ||
| 100 | 0.05 | 0.0100 | 0.0457 | 0.1714 | 0.4690 | 0.8349 | 0.9894 | 1.0000 | 1.0000 | |
| 0.075 | 0.0100 | 0.0423 | 0.1521 | 0.4189 | 0.7855 | 0.9800 | 0.9999 | 1.0000 | ||
| 0.1 | 0.0100 | 0.0392 | 0.1349 | 0.3713 | 0.7299 | 0.9647 | 0.9998 | 1.0000 | ||
| c1 | ||||||||||
| m | n | p | 0.8 | 0.825 | 0.85 | 0.875 | 0.9 | 0.925 | 0.95 | 0.975 |
| 2 | 25 | 0.05 | 0.0500 | 0.0887 | 0.1598 | 0.2859 | 0.4903 | 0.7555 | 0.9587 | 0.9999 |
| 0.075 | 0.0500 | 0.0881 | 0.1576 | 0.2808 | 0.4812 | 0.7452 | 0.9544 | 0.9998 | ||
| 0.1 | 0.0500 | 0.0874 | 0.1554 | 0.2757 | 0.4721 | 0.7344 | 0.9497 | 0.9998 | ||
| 50 | 0.05 | 0.0500 | 0.1172 | 0.2584 | 0.5021 | 0.7931 | 0.9697 | 0.9997 | 1.0000 | |
| 0.075 | 0.0500 | 0.1161 | 0.2543 | 0.4937 | 0.7842 | 0.9666 | 0.9996 | 1.0000 | ||
| 0.1 | 0.0500 | 0.1149 | 0.2502 | 0.4852 | 0.7749 | 0.9632 | 0.9995 | 1.0000 | ||
| 75 | 0.05 | 0.0500 | 0.1429 | 0.3501 | 0.6674 | 0.9248 | 0.9969 | 1.0000 | 1.0000 | |
| 0.075 | 0.0500 | 0.1413 | 0.3443 | 0.6582 | 0.9195 | 0.9964 | 1.0000 | 1.0000 | ||
| 0.1 | 0.0500 | 0.1397 | 0.3386 | 0.6488 | 0.9137 | 0.9958 | 1.0000 | 1.0000 | ||
| 100 | 0.05 | 0.0500 | 0.1673 | 0.4343 | 0.7841 | 0.9742 | 0.9997 | 1.0000 | 1.0000 | |
| 0.075 | 0.0500 | 0.1653 | 0.4273 | 0.7756 | 0.9716 | 0.9997 | 1.0000 | 1.0000 | ||
| 0.1 | 0.0500 | 0.1632 | 0.4202 | 0.7668 | 0.9687 | 0.9996 | 1.0000 | 1.0000 | ||
| 4 | 25 | 0.05 | 0.0500 | 0.0905 | 0.1643 | 0.2930 | 0.4969 | 0.7566 | 0.9566 | 0.9998 |
| 0.075 | 0.0500 | 0.0887 | 0.1582 | 0.2790 | 0.4725 | 0.7285 | 0.9439 | 0.9997 | ||
| 0.1 | 0.0500 | 0.0869 | 0.1523 | 0.2654 | 0.4483 | 0.6990 | 0.9286 | 0.9993 | ||
| 50 | 0.05 | 0.0500 | 0.1197 | 0.2646 | 0.5093 | 0.7952 | 0.9685 | 0.9996 | 1.0000 | |
| 0.075 | 0.0500 | 0.1165 | 0.2533 | 0.4865 | 0.7707 | 0.9594 | 0.9993 | 1.0000 | ||
| 0.1 | 0.0500 | 0.1134 | 0.2423 | 0.4640 | 0.7448 | 0.9482 | 0.9988 | 1.0000 | ||
| 75 | 0.05 | 0.0500 | 0.1461 | 0.3574 | 0.6733 | 0.9249 | 0.9966 | 1.0000 | 1.0000 | |
| 0.075 | 0.0500 | 0.1416 | 0.3417 | 0.6481 | 0.9098 | 0.9950 | 1.0000 | 1.0000 | ||
| 0.1 | 0.0500 | 0.1372 | 0.3263 | 0.6225 | 0.8927 | 0.9926 | 1.0000 | 1.0000 | ||
| 100 | 0.05 | 0.0500 | 0.1710 | 0.4422 | 0.7883 | 0.9739 | 0.9997 | 1.0000 | 1.0000 | |
| 0.075 | 0.0500 | 0.1653 | 0.4231 | 0.7650 | 0.9663 | 0.9994 | 1.0000 | 1.0000 | ||
| 0.1 | 0.0500 | 0.1597 | 0.4043 | 0.7406 | 0.9571 | 0.9990 | 1.0000 | 1.0000 | ||
| 6 | 25 | 0.05 | 0.0500 | 0.0897 | 0.1610 | 0.2844 | 0.4801 | 0.7353 | 0.9461 | 0.9997 |
| 0.075 | 0.0500 | 0.0868 | 0.1516 | 0.2629 | 0.4421 | 0.6889 | 0.9215 | 0.9991 | ||
| 0.1 | 0.0500 | 0.0841 | 0.1428 | 0.2429 | 0.4056 | 0.6405 | 0.8899 | 0.9976 | ||
| 50 | 0.05 | 0.0500 | 0.1180 | 0.2578 | 0.4940 | 0.7770 | 0.9611 | 0.9993 | 1.0000 | |
| 0.075 | 0.0500 | 0.1131 | 0.2404 | 0.4583 | 0.7361 | 0.9432 | 0.9984 | 1.0000 | ||
| 0.1 | 0.0500 | 0.1084 | 0.2241 | 0.4240 | 0.6929 | 0.9198 | 0.9965 | 1.0000 | ||
| 75 | 0.05 | 0.0500 | 0.1436 | 0.3476 | 0.6558 | 0.9134 | 0.9952 | 1.0000 | 1.0000 | |
| 0.075 | 0.0500 | 0.1367 | 0.3232 | 0.6153 | 0.8862 | 0.9913 | 1.0000 | 1.0000 | ||
| 0.1 | 0.0500 | 0.1302 | 0.3003 | 0.5747 | 0.8543 | 0.9849 | 0.9999 | 1.0000 | ||
| 100 | 0.05 | 0.0500 | 0.1678 | 0.4300 | 0.7718 | 0.9680 | 0.9995 | 1.0000 | 1.0000 | |
| 0.075 | 0.0500 | 0.1589 | 0.4002 | 0.7332 | 0.9533 | 0.9988 | 1.0000 | 1.0000 | ||
| 0.1 | 0.0500 | 0.1506 | 0.3717 | 0.6926 | 0.9341 | 0.9974 | 1.0000 | 1.0000 | ||
| c1 | ||||||||||
| m | n | p | 0.8 | 0.825 | 0.85 | 0.875 | 0.9 | 0.925 | 0.95 | 0.975 |
| 2 | 25 | 0.05 | 0.1000 | 0.1697 | 0.2855 | 0.4628 | 0.6918 | 0.9011 | 0.9927 | 1.0000 |
| 0.075 | 0.1000 | 0.1687 | 0.2825 | 0.4568 | 0.6839 | 0.8955 | 0.9917 | 1.0000 | ||
| 0.1 | 0.1000 | 0.1677 | 0.2794 | 0.4508 | 0.6758 | 0.8895 | 0.9906 | 1.0000 | ||
| 50 | 0.05 | 0.1000 | 0.2125 | 0.4109 | 0.6789 | 0.9065 | 0.9926 | 1.0000 | 1.0000 | |
| 0.075 | 0.1000 | 0.2108 | 0.4060 | 0.6715 | 0.9014 | 0.9917 | 1.0000 | 1.0000 | ||
| 0.1 | 0.1000 | 0.2091 | 0.4011 | 0.6639 | 0.8959 | 0.9907 | 1.0000 | 1.0000 | ||
| 75 | 0.05 | 0.1000 | 0.2490 | 0.5132 | 0.8111 | 0.9728 | 0.9995 | 1.0000 | 1.0000 | |
| 0.075 | 0.1000 | 0.2468 | 0.5071 | 0.8044 | 0.9705 | 0.9994 | 1.0000 | 1.0000 | ||
| 0.1 | 0.1000 | 0.2445 | 0.5009 | 0.7974 | 0.9680 | 0.9993 | 1.0000 | 1.0000 | ||
| 100 | 0.05 | 0.1000 | 0.2821 | 0.5981 | 0.8900 | 0.9923 | 1.0000 | 1.0000 | 1.0000 | |
| 0.075 | 0.1000 | 0.2793 | 0.5913 | 0.8847 | 0.9913 | 1.0000 | 1.0000 | 1.0000 | ||
| 0.1 | 0.1000 | 0.2766 | 0.5844 | 0.8790 | 0.9903 | 0.9999 | 1.0000 | 1.0000 | ||
| 4 | 25 | 0.05 | 0.1000 | 0.1718 | 0.2897 | 0.4671 | 0.6926 | 0.8982 | 0.9916 | 1.0000 |
| 0.075 | 0.1000 | 0.1690 | 0.2813 | 0.4510 | 0.6712 | 0.8823 | 0.9884 | 1.0000 | ||
| 0.1 | 0.1000 | 0.1661 | 0.2731 | 0.4351 | 0.6493 | 0.8648 | 0.9842 | 1.0000 | ||
| 50 | 0.05 | 0.1000 | 0.2154 | 0.4160 | 0.6819 | 0.9055 | 0.9919 | 1.0000 | 1.0000 | |
| 0.075 | 0.1000 | 0.2107 | 0.4026 | 0.6617 | 0.8910 | 0.9890 | 0.9999 | 1.0000 | ||
| 0.1 | 0.1000 | 0.2061 | 0.3894 | 0.6411 | 0.8751 | 0.9852 | 0.9999 | 1.0000 | ||
| 75 | 0.05 | 0.1000 | 0.2525 | 0.5187 | 0.8129 | 0.9720 | 0.9994 | 1.0000 | 1.0000 | |
| 0.075 | 0.1000 | 0.2463 | 0.5020 | 0.7943 | 0.9652 | 0.9990 | 1.0000 | 1.0000 | ||
| 0.1 | 0.1000 | 0.2402 | 0.4854 | 0.7748 | 0.9571 | 0.9985 | 1.0000 | 1.0000 | ||
| 100 | 0.05 | 0.1000 | 0.2861 | 0.6036 | 0.8910 | 0.9919 | 1.0000 | 1.0000 | 1.0000 | |
| 0.075 | 0.1000 | 0.2785 | 0.5851 | 0.8761 | 0.9891 | 0.9999 | 1.0000 | 1.0000 | ||
| 0.1 | 0.1000 | 0.2710 | 0.5665 | 0.8599 | 0.9855 | 0.9999 | 1.0000 | 1.0000 | ||
| 6 | 25 | 0.05 | 0.1000 | 0.1703 | 0.2846 | 0.4560 | 0.6762 | 0.8850 | 0.9887 | 1.0000 |
| 0.075 | 0.1000 | 0.1658 | 0.2715 | 0.4308 | 0.6418 | 0.8571 | 0.9818 | 1.0000 | ||
| 0.1 | 0.1000 | 0.1615 | 0.2592 | 0.4067 | 0.6072 | 0.8260 | 0.9719 | 0.9999 | ||
| 50 | 0.05 | 0.1000 | 0.2127 | 0.4073 | 0.6673 | 0.8939 | 0.9894 | 0.9999 | 1.0000 | |
| 0.075 | 0.1000 | 0.2054 | 0.3863 | 0.6348 | 0.8687 | 0.9832 | 0.9998 | 1.0000 | ||
| 0.1 | 0.1000 | 0.1985 | 0.3664 | 0.6022 | 0.8403 | 0.9745 | 0.9996 | 1.0000 | ||
| 75 | 0.05 | 0.1000 | 0.2488 | 0.5075 | 0.7992 | 0.9665 | 0.9991 | 1.0000 | 1.0000 | |
| 0.075 | 0.1000 | 0.2391 | 0.4813 | 0.7683 | 0.9536 | 0.9982 | 1.0000 | 1.0000 | ||
| 0.1 | 0.1000 | 0.2300 | 0.4559 | 0.7359 | 0.9373 | 0.9965 | 1.0000 | 1.0000 | ||
| 100 | 0.05 | 0.1000 | 0.2815 | 0.5910 | 0.8799 | 0.9896 | 0.9999 | 1.0000 | 1.0000 | |
| 0.075 | 0.1000 | 0.2697 | 0.5616 | 0.8542 | 0.9838 | 0.9998 | 1.0000 | 1.0000 | ||
| 0.1 | 0.1000 | 0.2584 | 0.5326 | 0.8259 | 0.9758 | 0.9995 | 1.0000 | 1.0000 | ||
| c1 | ||||||||||
| m | n | p | 0.8 | 0.825 | 0.85 | 0.875 | 0.9 | 0.925 | 0.95 | 0.975 |
| 2 | 25 | 0.05 | 0.0100 | 0.0209 | 0.0449 | 0.0983 | 0.2139 | 0.4415 | 0.7791 | 0.9916 |
| 0.075 | 0.0100 | 0.0207 | 0.0441 | 0.0957 | 0.2074 | 0.4289 | 0.7656 | 0.9899 | ||
| 0.1 | 0.0100 | 0.0205 | 0.0432 | 0.0931 | 0.2009 | 0.4162 | 0.7514 | 0.9880 | ||
| 50 | 0.05 | 0.0100 | 0.0305 | 0.0888 | 0.2339 | 0.5119 | 0.8385 | 0.9897 | 1.0000 | |
| 0.075 | 0.0100 | 0.0301 | 0.0867 | 0.2275 | 0.4998 | 0.8281 | 0.9881 | 1.0000 | ||
| 0.1 | 0.0100 | 0.0296 | 0.0847 | 0.2211 | 0.4874 | 0.8171 | 0.9862 | 1.0000 | ||
| 75 | 0.05 | 0.0100 | 0.0400 | 0.1389 | 0.3801 | 0.7354 | 0.9635 | 0.9997 | 1.0000 | |
| 0.075 | 0.0100 | 0.0394 | 0.1354 | 0.3706 | 0.7236 | 0.9595 | 0.9996 | 1.0000 | ||
| 0.1 | 0.0100 | 0.0387 | 0.1320 | 0.3610 | 0.7113 | 0.9551 | 0.9995 | 1.0000 | ||
| 100 | 0.05 | 0.0100 | 0.0497 | 0.1931 | 0.5162 | 0.8670 | 0.9926 | 1.0000 | 1.0000 | |
| 0.075 | 0.0100 | 0.0489 | 0.1882 | 0.5049 | 0.8583 | 0.9914 | 1.0000 | 1.0000 | ||
| 0.1 | 0.0100 | 0.0480 | 0.1833 | 0.4934 | 0.8491 | 0.9901 | 1.0000 | 1.0000 | ||
| 4 | 25 | 0.05 | 0.0100 | 0.0211 | 0.0453 | 0.0983 | 0.2112 | 0.4311 | 0.7625 | 0.9888 |
| 0.075 | 0.0100 | 0.0205 | 0.0430 | 0.0914 | 0.1941 | 0.3980 | 0.7245 | 0.9825 | ||
| 0.1 | 0.0100 | 0.0199 | 0.0408 | 0.0849 | 0.1781 | 0.3658 | 0.6838 | 0.9733 | ||
| 50 | 0.05 | 0.0100 | 0.0306 | 0.0888 | 0.2312 | 0.5020 | 0.8258 | 0.9870 | 1.0000 | |
| 0.075 | 0.0100 | 0.0295 | 0.0833 | 0.2144 | 0.4697 | 0.7960 | 0.9811 | 1.0000 | ||
| 0.1 | 0.0100 | 0.0285 | 0.0781 | 0.1985 | 0.4377 | 0.7634 | 0.9731 | 1.0000 | ||
| 75 | 0.05 | 0.0100 | 0.0402 | 0.1383 | 0.3746 | 0.7237 | 0.9579 | 0.9995 | 1.0000 | |
| 0.075 | 0.0100 | 0.0385 | 0.1291 | 0.3493 | 0.6910 | 0.9452 | 0.9991 | 1.0000 | ||
| 0.1 | 0.0100 | 0.0368 | 0.1205 | 0.3249 | 0.6569 | 0.9296 | 0.9984 | 1.0000 | ||
| 100 | 0.05 | 0.0100 | 0.0499 | 0.1917 | 0.5084 | 0.8575 | 0.9908 | 1.0000 | 1.0000 | |
| 0.075 | 0.0100 | 0.0475 | 0.1788 | 0.4781 | 0.8324 | 0.9867 | 1.0000 | 1.0000 | ||
| 0.1 | 0.0100 | 0.0453 | 0.1665 | 0.4481 | 0.8046 | 0.9811 | 0.9999 | 1.0000 | ||
| 6 | 25 | 0.05 | 0.0100 | 0.0207 | 0.0436 | 0.0929 | 0.1970 | 0.4020 | 0.7274 | 0.9826 |
| 0.075 | 0.0100 | 0.0198 | 0.0401 | 0.0827 | 0.1720 | 0.3518 | 0.6628 | 0.9669 | ||
| 0.1 | 0.0100 | 0.0190 | 0.0369 | 0.0737 | 0.1497 | 0.3052 | 0.5943 | 0.9414 | ||
| 50 | 0.05 | 0.0100 | 0.0298 | 0.0845 | 0.2173 | 0.4737 | 0.7983 | 0.9813 | 1.0000 | |
| 0.075 | 0.0100 | 0.0281 | 0.0764 | 0.1923 | 0.4235 | 0.7462 | 0.9676 | 1.0000 | ||
| 0.1 | 0.0100 | 0.0266 | 0.0690 | 0.1698 | 0.3757 | 0.6890 | 0.9471 | 0.9998 | ||
| 75 | 0.05 | 0.0100 | 0.0389 | 0.1309 | 0.3531 | 0.6944 | 0.9459 | 0.9991 | 1.0000 | |
| 0.075 | 0.0100 | 0.0363 | 0.1174 | 0.3148 | 0.6404 | 0.9203 | 0.9978 | 1.0000 | ||
| 0.1 | 0.0100 | 0.0340 | 0.1052 | 0.2793 | 0.5846 | 0.8872 | 0.9951 | 1.0000 | ||
| 100 | 0.05 | 0.0100 | 0.0481 | 0.1812 | 0.4823 | 0.8347 | 0.9869 | 1.0000 | 1.0000 | |
| 0.075 | 0.0100 | 0.0446 | 0.1619 | 0.4351 | 0.7902 | 0.9774 | 0.9999 | 1.0000 | ||
| 0.1 | 0.0100 | 0.0414 | 0.1446 | 0.3899 | 0.7404 | 0.9629 | 0.9996 | 1.0000 | ||
| c1 | ||||||||||
| m | n | p | 0.8 | 0.825 | 0.85 | 0.875 | 0.9 | 0.925 | 0.95 | 0.975 |
| 2 | 25 | 0.05 | 0.0500 | 0.0959 | 0.1817 | 0.3312 | 0.5575 | 0.8149 | 0.9753 | 1.0000 |
| 0.075 | 0.0500 | 0.0952 | 0.1793 | 0.3259 | 0.5490 | 0.8068 | 0.9728 | 0.9999 | ||
| 0.1 | 0.0500 | 0.0945 | 0.1769 | 0.3205 | 0.5404 | 0.7984 | 0.9701 | 0.9999 | ||
| 50 | 0.05 | 0.0500 | 0.1253 | 0.2825 | 0.5395 | 0.8194 | 0.9740 | 0.9997 | 1.0000 | |
| 0.075 | 0.0500 | 0.1241 | 0.2783 | 0.5315 | 0.8118 | 0.9715 | 0.9996 | 1.0000 | ||
| 0.1 | 0.0500 | 0.1228 | 0.2740 | 0.5235 | 0.8038 | 0.9689 | 0.9995 | 1.0000 | ||
| 75 | 0.05 | 0.0500 | 0.1515 | 0.3729 | 0.6901 | 0.9294 | 0.9965 | 1.0000 | 1.0000 | |
| 0.075 | 0.0500 | 0.1498 | 0.3672 | 0.6817 | 0.9247 | 0.9960 | 1.0000 | 1.0000 | ||
| 0.1 | 0.0500 | 0.1482 | 0.3615 | 0.6730 | 0.9198 | 0.9954 | 1.0000 | 1.0000 | ||
| 100 | 0.05 | 0.0500 | 0.1761 | 0.4540 | 0.7942 | 0.9728 | 0.9995 | 1.0000 | 1.0000 | |
| 0.075 | 0.0500 | 0.1740 | 0.4472 | 0.7865 | 0.9703 | 0.9994 | 1.0000 | 1.0000 | ||
| 0.1 | 0.0500 | 0.1719 | 0.4403 | 0.7785 | 0.9677 | 0.9993 | 1.0000 | 1.0000 | ||
| 4 | 25 | 0.05 | 0.0500 | 0.0959 | 0.1808 | 0.3270 | 0.5474 | 0.8020 | 0.9702 | 0.9999 |
| 0.075 | 0.0500 | 0.0940 | 0.1744 | 0.3130 | 0.5248 | 0.7794 | 0.9622 | 0.9999 | ||
| 0.1 | 0.0500 | 0.0921 | 0.1683 | 0.2993 | 0.5022 | 0.7555 | 0.9524 | 0.9997 | ||
| 50 | 0.05 | 0.0500 | 0.1251 | 0.2802 | 0.5319 | 0.8090 | 0.9696 | 0.9995 | 1.0000 | |
| 0.075 | 0.0500 | 0.1219 | 0.2689 | 0.5106 | 0.7877 | 0.9618 | 0.9992 | 1.0000 | ||
| 0.1 | 0.0500 | 0.1187 | 0.2580 | 0.4893 | 0.7650 | 0.9525 | 0.9987 | 1.0000 | ||
| 75 | 0.05 | 0.0500 | 0.1512 | 0.3694 | 0.6814 | 0.9227 | 0.9955 | 1.0000 | 1.0000 | |
| 0.075 | 0.0500 | 0.1467 | 0.3541 | 0.6584 | 0.9089 | 0.9937 | 1.0000 | 1.0000 | ||
| 0.1 | 0.0500 | 0.1423 | 0.3393 | 0.6348 | 0.8935 | 0.9912 | 1.0000 | 1.0000 | ||
| 100 | 0.05 | 0.0500 | 0.1756 | 0.4494 | 0.7860 | 0.9691 | 0.9993 | 1.0000 | 1.0000 | |
| 0.075 | 0.0500 | 0.1699 | 0.4312 | 0.7645 | 0.9615 | 0.9990 | 1.0000 | 1.0000 | ||
| 0.1 | 0.0500 | 0.1644 | 0.4133 | 0.7420 | 0.9525 | 0.9984 | 1.0000 | 1.0000 | ||
| 6 | 25 | 0.05 | 0.0500 | 0.0944 | 0.1755 | 0.3147 | 0.5265 | 0.7800 | 0.9620 | 0.9998 |
| 0.075 | 0.0500 | 0.0915 | 0.1660 | 0.2933 | 0.4910 | 0.7419 | 0.9458 | 0.9996 | ||
| 0.1 | 0.0500 | 0.0887 | 0.1570 | 0.2732 | 0.4565 | 0.7016 | 0.9250 | 0.9990 | ||
| 50 | 0.05 | 0.0500 | 0.1225 | 0.2707 | 0.5128 | 0.7889 | 0.9618 | 0.9992 | 1.0000 | |
| 0.075 | 0.0500 | 0.1176 | 0.2536 | 0.4794 | 0.7529 | 0.9465 | 0.9982 | 1.0000 | ||
| 0.1 | 0.0500 | 0.1129 | 0.2375 | 0.4471 | 0.7148 | 0.9271 | 0.9966 | 1.0000 | ||
| 75 | 0.05 | 0.0500 | 0.1475 | 0.3563 | 0.6606 | 0.9096 | 0.9937 | 1.0000 | 1.0000 | |
| 0.075 | 0.0500 | 0.1407 | 0.3330 | 0.6234 | 0.8847 | 0.9894 | 0.9999 | 1.0000 | ||
| 0.1 | 0.0500 | 0.1342 | 0.3109 | 0.5860 | 0.8560 | 0.9830 | 0.9999 | 1.0000 | ||
| 100 | 0.05 | 0.0500 | 0.1710 | 0.4338 | 0.7665 | 0.9619 | 0.9990 | 1.0000 | 1.0000 | |
| 0.075 | 0.0500 | 0.1623 | 0.4055 | 0.7307 | 0.9471 | 0.9979 | 1.0000 | 1.0000 | ||
| 0.1 | 0.0500 | 0.1542 | 0.3785 | 0.6934 | 0.9285 | 0.9961 | 1.0000 | 1.0000 | ||
| c1 | ||||||||||
| m | n | p | 0.8 | 0.825 | 0.85 | 0.875 | 0.9 | 0.925 | 0.95 | 0.975 |
| 2 | 25 | 0.05 | 0.1000 | 0.1793 | 0.3106 | 0.5041 | 0.7354 | 0.9235 | 0.9950 | 1.0000 |
| 0.075 | 0.1000 | 0.1783 | 0.3075 | 0.4984 | 0.7286 | 0.9193 | 0.9944 | 1.0000 | ||
| 0.1 | 0.1000 | 0.1772 | 0.3044 | 0.4926 | 0.7216 | 0.9149 | 0.9937 | 1.0000 | ||
| 50 | 0.05 | 0.1000 | 0.2222 | 0.4328 | 0.7015 | 0.9144 | 0.9926 | 1.0000 | 1.0000 | |
| 0.075 | 0.1000 | 0.2205 | 0.4280 | 0.6947 | 0.9100 | 0.9918 | 1.0000 | 1.0000 | ||
| 0.1 | 0.1000 | 0.2187 | 0.4232 | 0.6878 | 0.9054 | 0.9909 | 0.9999 | 1.0000 | ||
| 75 | 0.05 | 0.1000 | 0.2584 | 0.5300 | 0.8192 | 0.9717 | 0.9992 | 1.0000 | 1.0000 | |
| 0.075 | 0.1000 | 0.2561 | 0.5241 | 0.8131 | 0.9696 | 0.9991 | 1.0000 | 1.0000 | ||
| 0.1 | 0.1000 | 0.2538 | 0.5182 | 0.8067 | 0.9672 | 0.9990 | 1.0000 | 1.0000 | ||
| 100 | 0.05 | 0.1000 | 0.2909 | 0.6094 | 0.8900 | 0.9905 | 0.9999 | 1.0000 | 1.0000 | |
| 0.075 | 0.1000 | 0.2881 | 0.6029 | 0.8850 | 0.9895 | 0.9999 | 1.0000 | 1.0000 | ||
| 0.1 | 0.1000 | 0.2853 | 0.5964 | 0.8798 | 0.9885 | 0.9999 | 1.0000 | 1.0000 | ||
| 4 | 25 | 0.05 | 0.1000 | 0.1789 | 0.3081 | 0.4972 | 0.7245 | 0.9150 | 0.9935 | 1.0000 |
| 0.075 | 0.1000 | 0.1760 | 0.2998 | 0.4820 | 0.7058 | 0.9026 | 0.9913 | 1.0000 | ||
| 0.1 | 0.1000 | 0.1732 | 0.2917 | 0.4669 | 0.6866 | 0.8890 | 0.9885 | 1.0000 | ||
| 50 | 0.05 | 0.1000 | 0.2214 | 0.4288 | 0.6931 | 0.9071 | 0.9908 | 0.9999 | 1.0000 | |
| 0.075 | 0.1000 | 0.2168 | 0.4159 | 0.6746 | 0.8943 | 0.9881 | 0.9999 | 1.0000 | ||
| 0.1 | 0.1000 | 0.2123 | 0.4033 | 0.6558 | 0.8803 | 0.9846 | 0.9998 | 1.0000 | ||
| 75 | 0.05 | 0.1000 | 0.2573 | 0.5249 | 0.8114 | 0.9681 | 0.9990 | 1.0000 | 1.0000 | |
| 0.075 | 0.1000 | 0.2512 | 0.5091 | 0.7943 | 0.9614 | 0.9985 | 1.0000 | 1.0000 | ||
| 0.1 | 0.1000 | 0.2453 | 0.4935 | 0.7764 | 0.9536 | 0.9978 | 1.0000 | 1.0000 | ||
| 100 | 0.05 | 0.1000 | 0.2896 | 0.6037 | 0.8836 | 0.9888 | 0.9999 | 1.0000 | 1.0000 | |
| 0.075 | 0.1000 | 0.2822 | 0.5863 | 0.8694 | 0.9856 | 0.9998 | 1.0000 | 1.0000 | ||
| 0.1 | 0.1000 | 0.2749 | 0.5688 | 0.8542 | 0.9817 | 0.9997 | 1.0000 | 1.0000 | ||
| 6 | 25 | 0.05 | 0.1000 | 0.1765 | 0.3008 | 0.4831 | 0.7062 | 0.9022 | 0.9911 | 1.0000 |
| 0.075 | 0.1000 | 0.1721 | 0.2881 | 0.4594 | 0.6760 | 0.8803 | 0.9864 | 1.0000 | ||
| 0.1 | 0.1000 | 0.1678 | 0.2760 | 0.4365 | 0.6453 | 0.8557 | 0.9797 | 1.0000 | ||
| 50 | 0.05 | 0.1000 | 0.2176 | 0.4174 | 0.6758 | 0.8945 | 0.9880 | 0.9999 | 1.0000 | |
| 0.075 | 0.1000 | 0.2105 | 0.3975 | 0.6461 | 0.8721 | 0.9822 | 0.9998 | 1.0000 | ||
| 0.1 | 0.1000 | 0.2037 | 0.3784 | 0.6163 | 0.8471 | 0.9743 | 0.9995 | 1.0000 | ||
| 75 | 0.05 | 0.1000 | 0.2522 | 0.5109 | 0.7954 | 0.9615 | 0.9984 | 1.0000 | 1.0000 | |
| 0.075 | 0.1000 | 0.2429 | 0.4863 | 0.7670 | 0.9488 | 0.9972 | 1.0000 | 1.0000 | ||
| 0.1 | 0.1000 | 0.2340 | 0.4624 | 0.7372 | 0.9333 | 0.9953 | 1.0000 | 1.0000 | ||
| 100 | 0.05 | 0.1000 | 0.2834 | 0.5883 | 0.8704 | 0.9857 | 0.9998 | 1.0000 | 1.0000 | |
| 0.075 | 0.1000 | 0.2720 | 0.5607 | 0.8460 | 0.9792 | 0.9996 | 1.0000 | 1.0000 | ||
| 0.1 | 0.1000 | 0.2611 | 0.5336 | 0.8195 | 0.9706 | 0.9991 | 1.0000 | 1.0000 | ||
| c1 | ||||||||||
| m | n | p | 0.8 | 0.825 | 0.85 | 0.875 | 0.9 | 0.925 | 0.95 | 0.975 |
| 2 | 25 | 0.05 | 0.0100 | 0.0224 | 0.0509 | 0.1154 | 0.2530 | 0.5077 | 0.8361 | 0.9961 |
| 0.075 | 0.0100 | 0.0222 | 0.0500 | 0.1125 | 0.2461 | 0.4957 | 0.8259 | 0.9953 | ||
| 0.1 | 0.0100 | 0.0220 | 0.0490 | 0.1096 | 0.2393 | 0.4836 | 0.8151 | 0.9945 | ||
| 50 | 0.05 | 0.0100 | 0.0323 | 0.0968 | 0.2549 | 0.5427 | 0.8560 | 0.9910 | 1.0000 | |
| 0.075 | 0.0100 | 0.0319 | 0.0947 | 0.2484 | 0.5313 | 0.8472 | 0.9897 | 1.0000 | ||
| 0.1 | 0.0100 | 0.0314 | 0.0925 | 0.2419 | 0.5197 | 0.8378 | 0.9882 | 1.0000 | ||
| 75 | 0.05 | 0.0100 | 0.0420 | 0.1477 | 0.3974 | 0.7468 | 0.9637 | 0.9996 | 1.0000 | |
| 0.075 | 0.0100 | 0.0413 | 0.1442 | 0.3882 | 0.7360 | 0.9601 | 0.9995 | 1.0000 | ||
| 0.1 | 0.0100 | 0.0407 | 0.1407 | 0.3788 | 0.7248 | 0.9561 | 0.9994 | 1.0000 | ||
| 100 | 0.05 | 0.0100 | 0.0518 | 0.2015 | 0.5264 | 0.8667 | 0.9913 | 1.0000 | 1.0000 | |
| 0.075 | 0.0100 | 0.0510 | 0.1966 | 0.5156 | 0.8586 | 0.9901 | 1.0000 | 1.0000 | ||
| 0.1 | 0.0100 | 0.0501 | 0.1917 | 0.5047 | 0.8501 | 0.9887 | 1.0000 | 1.0000 | ||
| 4 | 25 | 0.05 | 0.0100 | 0.0223 | 0.0501 | 0.1120 | 0.2430 | 0.4866 | 0.8146 | 0.9941 |
| 0.075 | 0.0100 | 0.0217 | 0.0476 | 0.1047 | 0.2254 | 0.4551 | 0.7845 | 0.9910 | ||
| 0.1 | 0.0100 | 0.0211 | 0.0453 | 0.0978 | 0.2087 | 0.4241 | 0.7518 | 0.9865 | ||
| 50 | 0.05 | 0.0100 | 0.0320 | 0.0945 | 0.2460 | 0.5237 | 0.8383 | 0.9879 | 1.0000 | |
| 0.075 | 0.0100 | 0.0308 | 0.0890 | 0.2294 | 0.4933 | 0.8122 | 0.9829 | 1.0000 | ||
| 0.1 | 0.0100 | 0.0297 | 0.0837 | 0.2135 | 0.4631 | 0.7837 | 0.9764 | 1.0000 | ||
| 75 | 0.05 | 0.0100 | 0.0414 | 0.1436 | 0.3839 | 0.7277 | 0.9560 | 0.9993 | 1.0000 | |
| 0.075 | 0.0100 | 0.0397 | 0.1346 | 0.3598 | 0.6976 | 0.9441 | 0.9989 | 1.0000 | ||
| 0.1 | 0.0100 | 0.0381 | 0.1260 | 0.3363 | 0.6660 | 0.9298 | 0.9981 | 1.0000 | ||
| 100 | 0.05 | 0.0100 | 0.0510 | 0.1956 | 0.5101 | 0.8519 | 0.9886 | 1.0000 | 1.0000 | |
| 0.075 | 0.0100 | 0.0487 | 0.1830 | 0.4815 | 0.8281 | 0.9842 | 0.9999 | 1.0000 | ||
| 0.1 | 0.0100 | 0.0465 | 0.1710 | 0.4531 | 0.8020 | 0.9784 | 0.9999 | 1.0000 | ||
| 6 | 25 | 0.05 | 0.0100 | 0.0218 | 0.0479 | 0.1052 | 0.2261 | 0.4552 | 0.7835 | 0.9907 |
| 0.075 | 0.0100 | 0.0209 | 0.0443 | 0.0945 | 0.2002 | 0.4068 | 0.7310 | 0.9827 | ||
| 0.1 | 0.0100 | 0.0200 | 0.0409 | 0.0849 | 0.1768 | 0.3607 | 0.6738 | 0.9696 | ||
| 50 | 0.05 | 0.0100 | 0.0310 | 0.0895 | 0.2302 | 0.4938 | 0.8116 | 0.9826 | 1.0000 | |
| 0.075 | 0.0100 | 0.0293 | 0.0812 | 0.2056 | 0.4465 | 0.7658 | 0.9713 | 1.0000 | ||
| 0.1 | 0.0100 | 0.0277 | 0.0738 | 0.1831 | 0.4009 | 0.7152 | 0.9549 | 0.9999 | ||
| 75 | 0.05 | 0.0100 | 0.0399 | 0.1353 | 0.3608 | 0.6977 | 0.9436 | 0.9988 | 1.0000 | |
| 0.075 | 0.0100 | 0.0374 | 0.1219 | 0.3241 | 0.6477 | 0.9199 | 0.9974 | 1.0000 | ||
| 0.1 | 0.0100 | 0.0351 | 0.1099 | 0.2899 | 0.5960 | 0.8898 | 0.9948 | 1.0000 | ||
| 100 | 0.05 | 0.0100 | 0.0490 | 0.1839 | 0.4825 | 0.8280 | 0.9840 | 0.9999 | 1.0000 | |
| 0.075 | 0.0100 | 0.0455 | 0.1653 | 0.4379 | 0.7861 | 0.9740 | 0.9998 | 1.0000 | ||
| 0.1 | 0.0100 | 0.0424 | 0.1483 | 0.3952 | 0.7396 | 0.9597 | 0.9994 | 1.0000 | ||
| c1 | ||||||||||
| m | n | p | 0.8 | 0.825 | 0.85 | 0.875 | 0.9 | 0.925 | 0.95 | 0.975 |
| 2 | 25 | 0.05 | 0.0500 | 0.0998 | 0.1938 | 0.3555 | 0.5906 | 0.8400 | 0.9808 | 1.0000 |
| 0.075 | 0.0500 | 0.0991 | 0.1914 | 0.3503 | 0.5828 | 0.8333 | 0.9790 | 1.0000 | ||
| 0.1 | 0.0500 | 0.0984 | 0.1890 | 0.3450 | 0.5748 | 0.8262 | 0.9770 | 1.0000 | ||
| 50 | 0.05 | 0.0500 | 0.1290 | 0.2929 | 0.5535 | 0.8266 | 0.9741 | 0.9996 | 1.0000 | |
| 0.075 | 0.0500 | 0.1278 | 0.2888 | 0.5460 | 0.8197 | 0.9719 | 0.9995 | 1.0000 | ||
| 0.1 | 0.0500 | 0.1266 | 0.2846 | 0.5383 | 0.8126 | 0.9696 | 0.9994 | 1.0000 | ||
| 75 | 0.05 | 0.0500 | 0.1548 | 0.3801 | 0.6938 | 0.9271 | 0.9957 | 1.0000 | 1.0000 | |
| 0.075 | 0.0500 | 0.1532 | 0.3746 | 0.6858 | 0.9227 | 0.9951 | 1.0000 | 1.0000 | ||
| 0.1 | 0.0500 | 0.1515 | 0.3690 | 0.6777 | 0.9180 | 0.9945 | 1.0000 | 1.0000 | ||
| 100 | 0.05 | 0.0500 | 0.1789 | 0.4574 | 0.7910 | 0.9691 | 0.9993 | 1.0000 | 1.0000 | |
| 0.075 | 0.0500 | 0.1768 | 0.4508 | 0.7837 | 0.9666 | 0.9991 | 1.0000 | 1.0000 | ||
| 0.1 | 0.0500 | 0.1747 | 0.4442 | 0.7761 | 0.9640 | 0.9990 | 1.0000 | 1.0000 | ||
| 4 | 25 | 0.05 | 0.0500 | 0.0990 | 0.1903 | 0.3464 | 0.5745 | 0.8240 | 0.9758 | 0.9999 |
| 0.075 | 0.0500 | 0.0971 | 0.1841 | 0.3327 | 0.5535 | 0.8047 | 0.9697 | 0.9999 | ||
| 0.1 | 0.0500 | 0.0953 | 0.1780 | 0.3194 | 0.5325 | 0.7842 | 0.9624 | 0.9998 | ||
| 50 | 0.05 | 0.0500 | 0.1276 | 0.2868 | 0.5401 | 0.8122 | 0.9687 | 0.9994 | 1.0000 | |
| 0.075 | 0.0500 | 0.1244 | 0.2759 | 0.5200 | 0.7926 | 0.9615 | 0.9990 | 1.0000 | ||
| 0.1 | 0.0500 | 0.1213 | 0.2654 | 0.5000 | 0.7720 | 0.9531 | 0.9985 | 1.0000 | ||
| 75 | 0.05 | 0.0500 | 0.1528 | 0.3718 | 0.6795 | 0.9177 | 0.9943 | 1.0000 | 1.0000 | |
| 0.075 | 0.0500 | 0.1485 | 0.3573 | 0.6579 | 0.9045 | 0.9922 | 1.0000 | 1.0000 | ||
| 0.1 | 0.0500 | 0.1442 | 0.3431 | 0.6358 | 0.8899 | 0.9896 | 0.9999 | 1.0000 | ||
| 100 | 0.05 | 0.0500 | 0.1764 | 0.4475 | 0.7777 | 0.9638 | 0.9989 | 1.0000 | 1.0000 | |
| 0.075 | 0.0500 | 0.1709 | 0.4302 | 0.7573 | 0.9559 | 0.9984 | 1.0000 | 1.0000 | ||
| 0.1 | 0.0500 | 0.1655 | 0.4132 | 0.7360 | 0.9467 | 0.9976 | 1.0000 | 1.0000 | ||
| 6 | 25 | 0.05 | 0.0500 | 0.0973 | 0.1843 | 0.3328 | 0.5528 | 0.8032 | 0.9690 | 0.9999 |
| 0.075 | 0.0500 | 0.0944 | 0.1748 | 0.3120 | 0.5199 | 0.7705 | 0.9568 | 0.9998 | ||
| 0.1 | 0.0500 | 0.0916 | 0.1659 | 0.2923 | 0.4875 | 0.7357 | 0.9413 | 0.9994 | ||
| 50 | 0.05 | 0.0500 | 0.1246 | 0.2763 | 0.5200 | 0.7919 | 0.9609 | 0.9990 | 1.0000 | |
| 0.075 | 0.0500 | 0.1198 | 0.2598 | 0.4887 | 0.7590 | 0.9469 | 0.9981 | 1.0000 | ||
| 0.1 | 0.0500 | 0.1152 | 0.2443 | 0.4581 | 0.7242 | 0.9296 | 0.9965 | 1.0000 | ||
| 75 | 0.05 | 0.0500 | 0.1488 | 0.3578 | 0.6578 | 0.9040 | 0.9920 | 1.0000 | 1.0000 | |
| 0.075 | 0.0500 | 0.1421 | 0.3356 | 0.6230 | 0.8803 | 0.9875 | 0.9999 | 1.0000 | ||
| 0.1 | 0.0500 | 0.1359 | 0.3145 | 0.5879 | 0.8533 | 0.9810 | 0.9998 | 1.0000 | ||
| 100 | 0.05 | 0.0500 | 0.1713 | 0.4308 | 0.7572 | 0.9556 | 0.9983 | 1.0000 | 1.0000 | |
| 0.075 | 0.0500 | 0.1629 | 0.4041 | 0.7233 | 0.9405 | 0.9970 | 1.0000 | 1.0000 | ||
| 0.1 | 0.0500 | 0.1551 | 0.3785 | 0.6881 | 0.9220 | 0.9948 | 1.0000 | 1.0000 | ||
| c1 | ||||||||||
| m | n | p | 0.8 | 0.825 | 0.85 | 0.875 | 0.9 | 0.925 | 0.95 | 0.975 |
| 2 | 25 | 0.05 | 0.1000 | 0.1844 | 0.3236 | 0.5243 | 0.7547 | 0.9320 | 0.9957 | 1.0000 |
| 0.075 | 0.1000 | 0.1833 | 0.3205 | 0.5189 | 0.7486 | 0.9285 | 0.9952 | 1.0000 | ||
| 0.1 | 0.1000 | 0.1822 | 0.3174 | 0.5134 | 0.7423 | 0.9249 | 0.9947 | 1.0000 | ||
| 50 | 0.05 | 0.1000 | 0.2262 | 0.4409 | 0.7076 | 0.9146 | 0.9918 | 0.9999 | 1.0000 | |
| 0.075 | 0.1000 | 0.2245 | 0.4362 | 0.7013 | 0.9106 | 0.9911 | 0.9999 | 1.0000 | ||
| 0.1 | 0.1000 | 0.2228 | 0.4315 | 0.6948 | 0.9063 | 0.9902 | 0.9999 | 1.0000 | ||
| 75 | 0.05 | 0.1000 | 0.2613 | 0.5329 | 0.8169 | 0.9687 | 0.9989 | 1.0000 | 1.0000 | |
| 0.075 | 0.1000 | 0.2591 | 0.5273 | 0.8111 | 0.9666 | 0.9987 | 1.0000 | 1.0000 | ||
| 0.1 | 0.1000 | 0.2568 | 0.5217 | 0.8051 | 0.9643 | 0.9986 | 1.0000 | 1.0000 | ||
| 100 | 0.05 | 0.1000 | 0.2926 | 0.6080 | 0.8840 | 0.9882 | 0.9998 | 1.0000 | 1.0000 | |
| 0.075 | 0.1000 | 0.2900 | 0.6018 | 0.8792 | 0.9871 | 0.9998 | 1.0000 | 1.0000 | ||
| 0.1 | 0.1000 | 0.2872 | 0.5956 | 0.8741 | 0.9859 | 0.9998 | 1.0000 | 1.0000 | ||
| 4 | 25 | 0.05 | 0.1000 | 0.1828 | 0.3181 | 0.5131 | 0.7402 | 0.9225 | 0.9942 | 1.0000 |
| 0.075 | 0.1000 | 0.1800 | 0.3101 | 0.4988 | 0.7234 | 0.9120 | 0.9925 | 1.0000 | ||
| 0.1 | 0.1000 | 0.1772 | 0.3022 | 0.4845 | 0.7061 | 0.9005 | 0.9903 | 1.0000 | ||
| 50 | 0.05 | 0.1000 | 0.2238 | 0.4330 | 0.6949 | 0.9051 | 0.9897 | 0.9999 | 1.0000 | |
| 0.075 | 0.1000 | 0.2194 | 0.4207 | 0.6777 | 0.8932 | 0.9869 | 0.9999 | 1.0000 | ||
| 0.1 | 0.1000 | 0.2150 | 0.4087 | 0.6602 | 0.8803 | 0.9836 | 0.9998 | 1.0000 | ||
| 75 | 0.05 | 0.1000 | 0.2582 | 0.5235 | 0.8054 | 0.9637 | 0.9985 | 1.0000 | 1.0000 | |
| 0.075 | 0.1000 | 0.2524 | 0.5086 | 0.7892 | 0.9569 | 0.9978 | 1.0000 | 1.0000 | ||
| 0.1 | 0.1000 | 0.2467 | 0.4938 | 0.7723 | 0.9492 | 0.9970 | 1.0000 | 1.0000 | ||
| 100 | 0.05 | 0.1000 | 0.2890 | 0.5977 | 0.8744 | 0.9856 | 0.9998 | 1.0000 | 1.0000 | |
| 0.075 | 0.1000 | 0.2819 | 0.5812 | 0.8606 | 0.9821 | 0.9996 | 1.0000 | 1.0000 | ||
| 0.1 | 0.1000 | 0.2749 | 0.5647 | 0.8459 | 0.9778 | 0.9994 | 1.0000 | 1.0000 | ||
| 6 | 25 | 0.05 | 0.1000 | 0.1801 | 0.3101 | 0.4982 | 0.7221 | 0.9108 | 0.9922 | 1.0000 |
| 0.075 | 0.1000 | 0.1757 | 0.2978 | 0.4759 | 0.6948 | 0.8921 | 0.9885 | 1.0000 | ||
| 0.1 | 0.1000 | 0.1716 | 0.2861 | 0.4543 | 0.6671 | 0.8714 | 0.9834 | 1.0000 | ||
| 50 | 0.05 | 0.1000 | 0.2196 | 0.4208 | 0.6772 | 0.8924 | 0.9866 | 0.9998 | 1.0000 | |
| 0.075 | 0.1000 | 0.2127 | 0.4019 | 0.6495 | 0.8716 | 0.9809 | 0.9997 | 1.0000 | ||
| 0.1 | 0.1000 | 0.2062 | 0.3838 | 0.6218 | 0.8487 | 0.9736 | 0.9994 | 1.0000 | ||
| 75 | 0.05 | 0.1000 | 0.2527 | 0.5088 | 0.7888 | 0.9565 | 0.9978 | 1.0000 | 1.0000 | |
| 0.075 | 0.1000 | 0.2437 | 0.4855 | 0.7619 | 0.9438 | 0.9963 | 1.0000 | 1.0000 | ||
| 0.1 | 0.1000 | 0.2352 | 0.4629 | 0.7340 | 0.9288 | 0.9941 | 1.0000 | 1.0000 | ||
| 100 | 0.05 | 0.1000 | 0.2823 | 0.5815 | 0.8603 | 0.9819 | 0.9996 | 1.0000 | 1.0000 | |
| 0.075 | 0.1000 | 0.2714 | 0.5554 | 0.8367 | 0.9748 | 0.9992 | 1.0000 | 1.0000 | ||
| 0.1 | 0.1000 | 0.2610 | 0.5298 | 0.8113 | 0.9657 | 0.9986 | 1.0000 | 1.0000 | ||
References
- Juran, J.M. Juran’s Quality Control Handbook, 3rd ed.; McGraw-Hill: New York, NY, USA, 1974. [Google Scholar]
- Kane, V.E. Process capability indices. J. Qual. Technol. 1986, 18, 41–52. [Google Scholar] [CrossRef]
- Hsiang, T.C.; Taguchi, G. A tutorial on quality control and assurance—The Taguchi methods. In Joint Meetings of the American Statistical Association; InASA Annual Meeting LA: Las Vegas, NV, USA, 1985; p. 188. [Google Scholar]
- Pearn, W.L.; Kotz, S.; Johnson, N.L. Distributional and inferential properties of process capability indices. J. Qual. Technol. 1992, 24, 216–231. [Google Scholar] [CrossRef]
- Montgomery, D.C. Introduction to Statistical Quality Control; John Wiley and Sons Inc.: New York, NY, USA, 1985. [Google Scholar]
- Tong, L.I.; Chen, K.S.; Chen, H.T. Statistical testing for assessing the performance of lifetime index of electronic components with exponential distribution. Int. J. Qual. Reliab. Manag. 2002, 19, 812–824. [Google Scholar] [CrossRef]
- Balakrishnan, N. Progressive censoring methodology: An appraisal. Test 2007, 16, 211–259. [Google Scholar] [CrossRef]
- Aggarwala, R. Progressive interval censoring: Some mathematical results with applications to inference. Commun. Stat. Theory Methods 2001, 30, 1921–1935. [Google Scholar] [CrossRef]
- Balakrishnan, N.; Aggarwala, R. Progressive Censoring: Theory, Methods and Applications; Birkhäuser: Boston, MA, USA, 2000. [Google Scholar]
- Wu, J.W.; Lee, W.C.; Lin, L.S.; Hong, M.L. Bayesian test of lifetime performance index for exponential products based on the progressively type II right censored sample. J. Quant. Manag. 2011, 8, 57–77. [Google Scholar]
- Sanjel, D.; Balakrishnan, N. A Laguerre polynomial approximation for a goodness-of-fit test for exponential distribution based on progressively censored data. J. Stat. Comput. Simul. 2008, 78, 503–513. [Google Scholar] [CrossRef]
- Lee, W.C.; Wu, J.W.; Hong, C.W. Assessing the lifetime performance index of products with the exponential distribution under progressively type II right censored samples. J. Comput. Appl. Math. 2009, 231, 648–656. [Google Scholar] [CrossRef]
- Wu, S.F.; Lin, M.J. Computational testing algorithmic procedure of assessment for lifetime performance index of products with weibull distribution under progressive type I interval censoring. J. Comput. Appl. Math. 2017, 311, 364–374. [Google Scholar] [CrossRef]
- Wu, S.F.; Chen, Z.C.; Chang, W.J.; Chang, C.W.; Lin, C. A hypothesis testing procedure for the evaluation on the lifetime performance index of products with Burr XII distribution under progressive type I interval censoring. Commun. Stat. Simul. Comput. 2018, 47, 2670–2683. [Google Scholar] [CrossRef]
- Wu, S.F.; Chang, W.T. The evaluation on the process capability index CL for exponentiated Frech’et lifetime product under progressive type I interval censoring. Symmetry 2021, 13, 1032. [Google Scholar] [CrossRef]
- Wu, S.F.; Chiang, K.Y. Assessment of the overall lifetime performance index of Weibull products in multiple production lines. Mathematics 2024, 12, 514. [Google Scholar] [CrossRef]
- Wu, S.F.; Kuo, P.H.; Deng, W.S. The computational testing procedure for the comprehensive lifetime performance index of Burr XII products in multiple production lines. Mathematics 2024, 12, 584. [Google Scholar] [CrossRef]
- Rytgaard, H.C.W.; Van der Laan, M. Targeted maximum likelihood estimation for causal inference in survival and competing risks analysis. Lifetime Data Anal. 2024, 30, 4–33. [Google Scholar] [CrossRef]
- Luca, B.; Fulvia, P.; Francesco, B. Maximum likelihood estimation for discrete latent variable models via evolutionary algorithms. Stat. Comput. 2024, 34, 62. [Google Scholar]
- Goldengorin, B.; Golovnya, N.; Kudinov, O.; Volkova, E. Reliability: Measurement, Theory, and Practice. Qual. Reliab. Eng. Int. 2020, 36, 505–506. [Google Scholar]
- Zhuang, L.; Xu, A.; Wang, Y.; Tang, Y. Remaining useful life prediction for two-phase degradation model based on reparameterized inverse Gaussian process. Eur. J. Oper. Res. 2024. [Google Scholar] [CrossRef]
- Xu, A.; Wang, B.; Zhu, D.; Pang, J.; Lian, X. Bayesian reliability assessment of permanent magnet brake under small sample size. IEEE Trans. Reliab. 2024. [Google Scholar] [CrossRef]
- Pedro, L.R.; Francisco, L.; Eduardo, R.; Sanku, D. The Fréchet distribution: Estimation and application—An overview. J. Stat. Manag. Syst. 2020, 23, 549–578. [Google Scholar]
- Tabassum, N.S.; Muhammad, A.; Navid, F. On Estimation of the Fr´echet Distribution with Known Shape under Different Sample Schemes. Int. J. Intell. Technol. Appl. Stat. 2014, 7, 353–368. [Google Scholar]
- Casella, G.; Berger, R.L. Statistical Inference, 2nd ed.; Duxbury Press: Pacific Grove, CA, USA, 2002. [Google Scholar]
- Lawless, J.F. Statistical Models and Methods for Lifetime Data, 2nd ed.; John Wiley and Sons: New York, NY, USA, 2003. [Google Scholar]
- Gail, M.H.; Gastwirth, J.L. A scale-free goodness of fit test for the exponential distribution based on the Gini Statistic. J. R. Stat. Soc. B 1978, 40, 350–357. [Google Scholar] [CrossRef]
- Aarset, M.V. How to identify a bathtub hazard rate. IEEE Trans. Reliab. 1987, 36, 106–110. [Google Scholar] [CrossRef]









| Pr | ||||||||
| 0.6873 | 0.7047 | 0.7225 | 0.7408 | 0.7596 | 0.7788 | 0.7985 | 0.8187 | |
| CT | ||||||||
| d | 0.6250 | 0.6500 | 0.6750 | 0.7000 | 0.7250 | 0.7500 | 0.7750 | 0.8000 |
| 2 | 0.8125 | 0.8250 | 0.8375 | 0.8500 | 0.8625 | 0.8750 | 0.8875 | 0.9000 |
| 3 | 0.8750 | 0.8833 | 0.8917 | 0.9000 | 0.9083 | 0.9167 | 0.9250 | 0.9333 |
| 4 | 0.9063 | 0.9125 | 0.9188 | 0.9250 | 0.9313 | 0.9375 | 0.9438 | 0.9500 |
| 5 | 0.9250 | 0.9300 | 0.9350 | 0.9400 | 0.9450 | 0.9500 | 0.9550 | 0.9600 |
| 6 | 0.9375 | 0.9417 | 0.9458 | 0.9500 | 0.9542 | 0.9583 | 0.9625 | 0.9667 |
| 7 | 0.9464 | 0.9500 | 0.9536 | 0.9571 | 0.9607 | 0.9643 | 0.9679 | 0.9714 |
| Pr | ||||||||
| 0.8395 | 0.8607 | 0.8825 | 0.9048 | 0.9277 | 0.9512 | 0.9753 | 1.0000 | |
| CT | ||||||||
| d | 0.8250 | 0.8500 | 0.8750 | 0.9000 | 0.9250 | 0.9500 | 0.9750 | 1.0000 |
| 2 | 0.9125 | 0.9250 | 0.9375 | 0.9500 | 0.9625 | 0.9750 | 0.9875 | 1.0000 |
| 3 | 0.9417 | 0.9500 | 0.9583 | 0.9667 | 0.9750 | 0.9833 | 0.9917 | 1.0000 |
| 4 | 0.9563 | 0.9625 | 0.9688 | 0.9750 | 0.9813 | 0.9875 | 0.9938 | 1.0000 |
| 5 | 0.9650 | 0.9700 | 0.9750 | 0.9800 | 0.9850 | 0.9900 | 0.9950 | 1.0000 |
| 6 | 0.9708 | 0.9750 | 0.9792 | 0.9833 | 0.9875 | 0.9917 | 0.9958 | 1.0000 |
| 7 | 0.9750 | 0.9786 | 0.9821 | 0.9857 | 0.9893 | 0.9929 | 0.9964 | 1.0000 |
Disclaimer/Publisher’s Note: The statements, opinions and data contained in all publications are solely those of the individual author(s) and contributor(s) and not of MDPI and/or the editor(s). MDPI and/or the editor(s) disclaim responsibility for any injury to people or property resulting from any ideas, methods, instructions or products referred to in the content. |
© 2024 by the authors. Licensee MDPI, Basel, Switzerland. This article is an open access article distributed under the terms and conditions of the Creative Commons Attribution (CC BY) license (https://creativecommons.org/licenses/by/4.0/).
Share and Cite
Wu, S.-F.; Yeh, H.-C. Computational Analysis of the Comprehensive Lifetime Performance Index for Exponentiated Fréchet Lifetime Distribution Products with Multi-Components. Symmetry 2024, 16, 1060. https://doi.org/10.3390/sym16081060
Wu S-F, Yeh H-C. Computational Analysis of the Comprehensive Lifetime Performance Index for Exponentiated Fréchet Lifetime Distribution Products with Multi-Components. Symmetry. 2024; 16(8):1060. https://doi.org/10.3390/sym16081060
Chicago/Turabian StyleWu, Shu-Fei, and Hsueh-Chien Yeh. 2024. "Computational Analysis of the Comprehensive Lifetime Performance Index for Exponentiated Fréchet Lifetime Distribution Products with Multi-Components" Symmetry 16, no. 8: 1060. https://doi.org/10.3390/sym16081060
APA StyleWu, S.-F., & Yeh, H.-C. (2024). Computational Analysis of the Comprehensive Lifetime Performance Index for Exponentiated Fréchet Lifetime Distribution Products with Multi-Components. Symmetry, 16(8), 1060. https://doi.org/10.3390/sym16081060

