A Robust Filtered-x Least Mean Square Algorithm with Adjustable Parameters for Active Impulsive Noise Control
Abstract
1. Introduction
2. Traditional FxLMS Algorithm
3. Proposed Algorithms
3.1. FxLHT Algorithm
3.2. VFxLHT Algorithm
| Algorithm 1: Proposed VFxLHT algorithm. |
| Initializations: , , |
| Parameters: , , , , |
| Adaptive process: for i = 0, 1, 2, … end |
4. Performance Analysis
4.1. Stability Analysis
4.2. Analysis of Computational Complexity
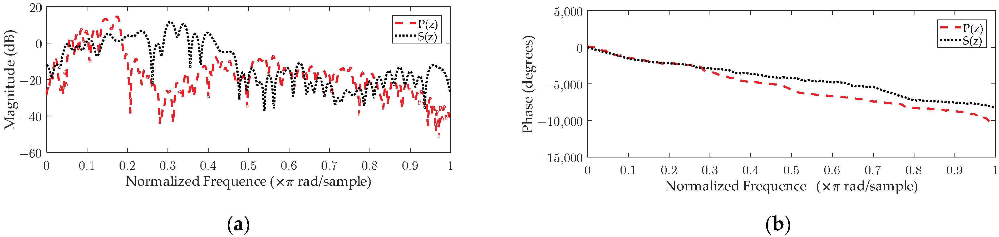
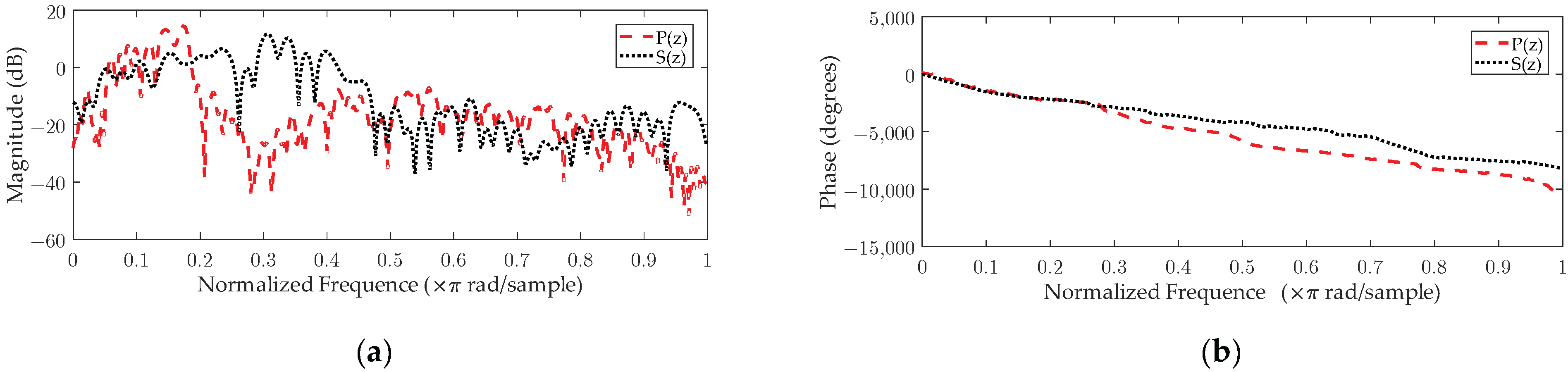
5. Simulation Experiments
5.1. Impulsive Noise Control
5.2. Sinusoidal Impulsive Noise Control
5.3. Verification of Tracking Capability
6. Conclusions
Author Contributions
Funding
Data Availability Statement
Conflicts of Interest
References
- Zhao, H.; Zeng, X.; He, Z.; Yu, S.; Chen, B. Improved functional link artificial neural network via convex combination for nonlinear active noise control. Appl. Soft Comput. 2016, 42, 351–359. [Google Scholar] [CrossRef]
- Bhattacharjee, S.S.; Kumar, K.; George, N.V. Nearest Kronecker product decomposition based generalized maximum correntropy and generalized hyperbolic secant robust adaptive filters. IEEE Signal Process. Lett. 2020, 27, 1525–1529. [Google Scholar] [CrossRef]
- Patel, V.; Bhattacharjee, S.S.; Christensen, M.G. Generalized soft-root-sign based robust sparsity-aware adaptive filters. IEEE Signal Process. Lett. 2023, 30, 200–204. [Google Scholar] [CrossRef]
- Lan, H.; Zhang, M.; Ser, W. A weight-constrained FxLMS algorithm for feedforward active noise control systems. IEEE Signal Process. Lett. 2002, 9, 1–4. [Google Scholar] [CrossRef]
- Akhtar, M.T.; Mitsuhashi, W. Improving performance of FxLMS algorithm for active noise control of impulsive noise. J. Sound Vib. 2009, 327, 3–5. [Google Scholar] [CrossRef]
- Akhtar, M.T.; Mitsuhashi, W. A modified normalized FxLMS algorithm for active control of impulsive noise. In Proceedings of the 2010 18th European Signal Processing Conference, Aalborg, Denmark, 23–27 August 2010; pp. 1–5. [Google Scholar]
- Wu, L.; He, H.; Qiu, X. An active impulsive noise control algorithm with logarithmic transformation. IEEE Trans. Audio Speech Lang. Process. 2011, 19, 1041–1044. [Google Scholar] [CrossRef]
- George, N.V.; Panda, G. A robust filtered-s LMS algorithm for nonlinear active noise control. Appl. Acoust. 2012, 73, 836–841. [Google Scholar] [CrossRef]
- Zhou, Y.; Zhang, Q.; Yin, Y. Active control of impulsive noise with symmetric α-stable distribution based on an improved step-size normalized adaptive algorithm. Mech. Syst. Signal Process. 2015, 56–57, 320–339. [Google Scholar] [CrossRef]
- Sun, G.; Li, M.T.; Lim, C. Enhanced filtered-x least mean M-estimate algorithm for active impulsive noise control. Appl. Acoust. 2015, 90, 31–41. [Google Scholar] [CrossRef]
- Kar, A.; Shoba, S.; Burra, S.; Goel, P.; Kumar, S.; Vasundhara, V.; Sooraksa, P. Adaptive tap-length based sub-band mean M-estimate filtering for active noise cancellation. Circuits Syst. Signal Process. 2024, 1–21. [Google Scholar] [CrossRef]
- Tan, L.; Jiang, J. Active control of impulsive noise using a nonlinear companding function. Mech. Syst. Signal Process. 2015, 58–59, 29–40. [Google Scholar] [CrossRef]
- Akhtar, M.T. Binormalized data-reusing adaptive filtering algorithm for active control of impulsive sources. Digit. Signal Process. 2016, 49, 56–64. [Google Scholar] [CrossRef]
- Kurian, N.C.; Patel, K.; George, N.V. Robust active noise control: An information theoretic learning approach. Appl. Acoust. 2017, 117, 180–184. [Google Scholar] [CrossRef]
- Zeb, A.; Mirza, A.; Khan, Q.U.; Sheikh, S.A. Improving performance of FxRLS algorithm for active noise control of impulsive noise. Appl. Acoust. 2017, 116, 364–374. [Google Scholar] [CrossRef]
- Song, P.; Zhao, H. Filtered-x generalized mixed norm (FXGMN) algorithm for active noise control. Mech. Syst. Signal Process. 2018, 107, 93–104. [Google Scholar] [CrossRef]
- Zhu, Y.; Zhao, H.; Zeng, X.; Chen, B. Robust generalized maximum correntropy criterion algorithms for active noise control. IEEE/ACM Trans. Audio Speech Lang. Process. 2020, 28, 1282–1292. [Google Scholar] [CrossRef]
- Kumar, K.; Bhattacharjee, S.S.; George, N.V. Modified Champernowne function based robust and sparsity-aware adaptive filters. IEEE Trans. Circuits Syst. II Express Briefs 2020, 68, 2202–2206. [Google Scholar] [CrossRef]
- Mirza, A.; Zeb, A.; Umair, M.Y.; Ilyas, D.; Sheikh, S.A. Less complex solutions for active noise control of impulsive noise. Analog Integr. Circuits Signal Process. 2020, 102, 507–521. [Google Scholar] [CrossRef]
- Gu, F.; Chen, S.; Zhou, Z.; Jiang, Y. An enhanced normalized step-size algorithm based on adjustable nonlinear transformation function for active control of impulsive noise. Appl. Acoust. 2021, 176, 107853. [Google Scholar] [CrossRef]
- Cheng, Y.; Li, C.; Chen, S.; Zhou, Z. An enhanced impulse noise control algorithm using a novel nonlinear function. Circuits Syst. Signal Process. 2023, 42, 6524–6543. [Google Scholar] [CrossRef]
- Mirza, A.; Afzal, F.; Zeb, A.; Wakeel, A.; Qureshi, W.S.; Akgul, A. New FxLMAT-based algorithms for active control of impulsive noise. IEEE Access 2023, 11, 81279–81288. [Google Scholar] [CrossRef]
- Li, C.; Jin, G.; Liu, H.; Li, J. Active impulsive noise control algorithm based on adjustable hyperbolic tangent function. Circuits Syst. Signal Process. 2023, 42, 5559–5578. [Google Scholar] [CrossRef]
- Kranthi, R.; Kar, A.; Christensen, M.G. A family of Swish diffusion strategy based adaptive algorithms for distributed active noise control. IEEE Open J. Signal Process. 2024, 5, 503–519. [Google Scholar] [CrossRef]
- Zhu, Y.; Zhao, H.; Song, P. Fractional-order ascent maximum mixture correntropy criterion for FLANNs based multi-channel nonlinear active noise control. J. Sound Vib. 2023, 559, 117779. [Google Scholar] [CrossRef]
- Song, P.; Zhao, H. Filtered-x least mean square/fourth (FXLMS/F) algorithm for active noise control. Mech. Syst. Signal Process. 2019, 120, 69–82. [Google Scholar] [CrossRef]
- Padhi, T.; Chandra, M.; Kar, A. Performance evaluation of hybrid active noise control system with online secondary path modeling. Appl. Acoust. 2018, 133, 215–226. [Google Scholar] [CrossRef]
- Padhi, T.; Chandra, M.; Kar, A.; Swamy, M.N.S. Design and analysis of an improved hybrid active noise control system. Appl. Acoust. 2017, 127, 260–269. [Google Scholar] [CrossRef]
- Padhi, T.; Chandra, M.; Kar, A.; Swamy, M.N.S. A new hybrid active noise control system with convex combination of time and frequency domain filtered-x LMS algorithms. Circuits Syst. Signal Process. 2018, 37, 3275–3294. [Google Scholar] [CrossRef]
- Padhi, T.; Chandra, M.; Kar, A.; Swamy, M.N.S. A new adaptive control strategy for hybrid narrowband active noise control systems in a multi-noise environment. Appl. Acoust. 2019, 146, 355–367. [Google Scholar] [CrossRef]











| Algorithms | Multiplications/Divisions | Additions/Subtractions |
|---|---|---|
| FxLMS | ||
| FxMCC | ||
| Swish-FxSA | ||
| FxtanhLMS | ||
| FxLHT | ||
| VFxLHT |
Disclaimer/Publisher’s Note: The statements, opinions and data contained in all publications are solely those of the individual author(s) and contributor(s) and not of MDPI and/or the editor(s). MDPI and/or the editor(s) disclaim responsibility for any injury to people or property resulting from any ideas, methods, instructions or products referred to in the content. |
© 2024 by the authors. Licensee MDPI, Basel, Switzerland. This article is an open access article distributed under the terms and conditions of the Creative Commons Attribution (CC BY) license (https://creativecommons.org/licenses/by/4.0/).
Share and Cite
Song, P.; Yan, K.; Luo, L. A Robust Filtered-x Least Mean Square Algorithm with Adjustable Parameters for Active Impulsive Noise Control. Symmetry 2024, 16, 1031. https://doi.org/10.3390/sym16081031
Song P, Yan K, Luo L. A Robust Filtered-x Least Mean Square Algorithm with Adjustable Parameters for Active Impulsive Noise Control. Symmetry. 2024; 16(8):1031. https://doi.org/10.3390/sym16081031
Chicago/Turabian StyleSong, Pucha, Kang Yan, and Li Luo. 2024. "A Robust Filtered-x Least Mean Square Algorithm with Adjustable Parameters for Active Impulsive Noise Control" Symmetry 16, no. 8: 1031. https://doi.org/10.3390/sym16081031
APA StyleSong, P., Yan, K., & Luo, L. (2024). A Robust Filtered-x Least Mean Square Algorithm with Adjustable Parameters for Active Impulsive Noise Control. Symmetry, 16(8), 1031. https://doi.org/10.3390/sym16081031
