Abstract
Very recently, a straightforward method was proposed to understand galaxies and galactic clusters without using the very elusive dark matter concept. This method is called the -model. The main idea is to maintain the form of the usual physical laws, especially Newton’s laws of motion when gravity is weak, but only by applying a local scaling procedure for the related lengths, distances, and velocities. This local scaling appears as a correspondence principle in the -model. In this model, the fundamental physical constants remain universal, i.e., they are independent of a point in space and of time. The -model is Newtonian in its essence, but there is a relativistic extension that can easily be built. The aim of the present paper is to detail the mathematical formalism supporting it.
1. Introduction
The classical laws of physics (for instance, Newtonian dynamics) have been defined at the meter scale. This scale goes from the sub-micrometric dimension to the scale of the solar system. However, we know that at the scale of the nanoscopic world, these classical laws are no longer valid, and the quantum field theory has to be used. Let us note that the ratio between the radius of an atom and the base unit length (meter) is . Despite this statement, when we move in the opposite direction, i.e., toward the macrocosmic scale, physicists use the same physical laws as those that are valid at the meter scale with no changes, whereas the ratio between 1 meter and 1 parsec is . The model relies on the very simple suggestion that matter no longer behaves in the same manner when the characteristic dimension of the region under study is very large (of the order of 1 parsec or more). The perception of an observer must then necessarily change [1,2,3,4]. Our aim is also to reduce the modification when compared to the Newtonian laws at the minimal level. The main idea is that the environment of the observer modifies their perception, a bit like when an observed object is immersed in different media with various refractive indices (even though the analogy can strongly be misleading). Furthermore, the lengths and the velocities, which are measured differently, are scaled following the mean densities surrounding the observed object. Let us note that this relates only to apparent effects; the unit of length (for instance, the radius of a hydrogen atom) is obviously the same everywhere in the Universe. The scaling coefficient, labeled , is linked to the local mean density by a simple relationship, , assuming with the appropriate normalization [2,3]. In Section 2, some basic mathematical concepts are recalled; Section 3 develops the framework of the -model, and in Section 4, the -structure for Minkowski space is presented. Finally, in Section 5, a few illustrative applications to astrophysics are supplied. A few didactic figures have also been added.
2. Some Basic Structures for
2.1. Algebraic Structures
2.1.1. Affine and Vectorial Structure
When endowed with its usual vector space structure, the set of the real n-tuples will be noted by , and when endowed with its affine structure, it will be denoted simply by . The affine structure is a 1-transitive action of the additive group for :
When , we will sometimes write .
2.1.2. Euclidean Structures
The vector space is equipped with a Euclidean structure once a scalar product on has been selected. A scalar product is a definite positive bilinear symmetric form; in other words, it is an application:
It is linear in each variable and is symmetric and satisfies , with the cancellation happening only when .
This means that in some base of , the matrix representing the bilinear form , i.e., the matrix , where , is , which means that , which represents the Kronecker symbol.
If and , we then have
Such an base is an orthonormal base (with respect to the particular scalar product considered).
The application
is a norm on ; in other words, it fulfills the following conditions:
- Positivity ();
- Separation ();
- Homogeneity ();
- Subadditivity ().
For a scalar product, this is also associated in such a way to measure angles:
The linear transformations f of respect the scalar product ; in other words, this is such that
are called (vectorial) isometries. The set of vectorial isometries is a subgroup of the linear group , called the orthogonal group and is denoted by (it is not relevant to note the particular scalar product that one considers because the orthogonal groups of two different scalar products on are isomorphic).
When the vectorial space is equipped with a Euclidean structure, the affine space is endowed with a distance defined by
In other words, we have
- Symmetry ();
- Separation ();
- Triangle inequality ().
Furthermore, this distance will be compatible with the affine structure:
- Invariance by translation:
;
- Homogeneity:
.
The affine transformations with a linear part in are the (affine) isometries.
2.1.3. Minkowski Structure
A structure of Minkowski space on is the choice of some symmetric bilinear form, on with the signature ; this means that in some base of , the matrix associated with is . In other words, if and , we then have
It is common to refer to the vectors of a Minkowski space as “quadrivectors” and to as a Minkowski product.
According to the sign of , a quadrivector is
time-like when ;
light-like when , with the isotropy cone of ;
space-like when .
The linear transformations, f, of respect the Minkowski product, M; in other words, this is such that
are called Lorentz transformations. The Lorentz transformation is a subgroup of , called the Lorentz group, and is denoted by ; it is straightforward to see that the Lorentz transformation f respects quadrivector types.
When the space is equipped with a Minkowski structure, the points of the affine space are usually called events.
Two events, and , are time-oriented when the unique quadrivector is , such that is time-like (Figure 1).
Figure 1.
Minkowski space.
2.2. Topological Structure of
Having a topology on a set, E, is a way to give meaning to expressions such as “x and y are close” without having a way to measure the distance between x and y.
A standard way to do so is to select (for each point x of E) a set of parts of E, , called the set of the neighborhoods of x. The sets, , fulfilling the conditions expect the following:
† The set E must contain whatever is “close” to x: ;
† The point x is among what is close to x: ;
† If two sets contain whatever is close to x, then their intersection, too, must be
;
† If V contains whatever is close to x, and W contains V, W contains whatever is close to x:
if then ;
† If V contains whatever is close to x, then there exists W, which also contains whatever is close to x, such that V contains whatever is close to whatever points are in W:
.
Once a topology on E has been chosen, an open set of E is a part, O, of E, such that .
Different topologies can be defined on ; the typical one is defined using the distance, d, defined in (5). The set is the open ball, with a center at and a radius of r. A neighborhood of x is any subset of containing an open ball centered at x. We will also use this topology on when equipped with its Minkowski affine structure, even though, in that case, there is no distance directly linked to the topologic structure.
The notion of topology allows for a correct definition of some very useful “local” notions; in particular, the notion of continuity at a point for a function between two topological spaces and ; f is continuous at x when The affine orthogonal transformations (and the affine Lorentz transformations) are continuous on (and on ).
In the Minkowsi space, the set of light-like quadrivectors has two path-connected components (a part, C, of a topological space, E, is said to be path-connected when, for any points (a and b of C), there is a continuous application such that and ; in other words, a path in C with source a and goal b). A Lorentz transformation is orthochrone when the path-connected components are respected and antichrone when the components are exchanged.
2.3. Differentiable Structure of
is equipped with a scalar product and the associated norm defined in (2) and , with the distance defined in (5).
2.3.1. Differential of a Function: Tangent Vectors at a Point
An application is differentiable at whenever
where is continuous and linear from to (It is well-known that linear applications between two finite dimensional normed vector spaces are always continuous, so the condition of continuity of can be omitted in the definition.) and with such that and .
The linear application
is the differential at x of f.
The application
is the differential of f.
At first glance, the definition of the differentiability of f at point x suggests that the vectors are picked in the “same” space , independently of the point x we are looking at; however, this point of view would be barren if we wanted to go further.
Each point is associated with a copy of , called the tangent space to at x, and this is denoted by . Its elements are called tangent vectors to at x.
With those definitions in mind, the definition of differentiability becomes
where is linear, and with satisfies and .
We have to clarify the status of the differential application because its arrival set has become unclear.
Set
and
The set is the tangent bundle of ; it identifies with ; then, the projection p becomes the first projection of on . The tangent bundle also identifies with the affine space .
Now, let be an application differentiable at each point of . The application
is called the tangent application or differential application of f.
Furthermore, the projection
is a (trivial) “fiber bundle”; in this very simple case, this just means that p is differentiable on .
The bi-tangent space to at , identifies with the product vector space ; then,
and .
The process of differentiation can be repeated indefinitely, and applications admitting differentials at all orders are said to be of class . The set of functions from to of class is denoted by .
2.3.2. Tangent Vector Fields on
A vector field on is a section of the tangent fiber bundle, i.e., an application:
As the first factor of a tangent vector field is always known, in the sequels, we will note the tangent vector field by its second factor .
Let be the canonical base of ; the tangent vector field will be denoted by so that any tangent vector field on has a unique expression,
with having some functions from to .
The set of tangent vector fields of class is
We now clarify the notation :
The set is endowed with the structure of real algebra according to the following:
- Addition, defined by
;
- Multiplication by a real scalar, defined by
;
- Inner multiplication, defined by
.
The set is endowed with the structure of -modulus according to the following:
- Vector field addition, defined by
;
- Multiplication by a real scalar, defined by
;
- Multiplication by a function, defined by
.
A derivation of the real algebra is a linear application
satisfying
For , we have a corresponding derivation on where
Indeed, we have
and
can be seen as the directional derivative of f in the direction of at x.
The notations introduced previously for a tangent vector field are now clear:
If the expression of a tangent vector field is and
for , then
The Lie bracket of two tangent vector fields, and , is defined by
where we have
When endowed with this bracket, the vector space is Lie algebra.
2.3.3. Covariant Derivation
A covariant derivation on is an application:
satisfying
A covariant derivation, ∇, on is entirely defined by the family of tangent vector fields If
the functions are called the Christoffel symbols of ∇.
For and , we have
2.3.4. Flat Covariant Derivation
The flat covariant derivation ∇ is the covariant derivation for which all Christoffel symbols are null; in that case, we have
can be seen as the derivative of in the direction of .
2.3.5. Covariant Derivation along a Curve: Parallel Transport
Let
be a class function.
A tangent vector field of along is an application:
The set of tangent vector fields of class along is denoted by ; it is a -modulus.
The velocity is the tangent vector field along , defined by
where . Its value depends only on the differential structure of and .
Let ∇ be a covariant derivation on . There is exactly one operator (The usual notation can sometimes be tricky because the dependence on the curve is not noted.) on the -modulus of the tangent vector fields along , such that
and if is the restriction to of a tangent vector field on , then
For , we have
When is equipped with the flat covariant derivative (The application can be seen as a section of the trivial vector bundle over with fibers ; the covariant derivation along is then the flat covariant derivative of relative to the tangent field over .), the covariant derivative of with along is the tangent vector field along , defined by
A tangent vector field, , along is said to be parallel with respect to the covariant derivation ∇ whenever . The general results for differential equations ensure that a parallel tangent vector field along is determined by its value at one point of the trajectory of . For , the application is
where is parallel along , which is called the parallel transport along between time and .
When ∇ is the flat covariant derivation for any class curve , the parallel vector fields along are simply the constant vector fields.
2.3.6. Acceleration
Let be a class function.
The covariant derivative of the vector field along is the covariant acceleration of denoted by ; note that, unlike the velocity, depends on the choice of a covariant derivation on .
When a curve, , satisfies , it is called the geodesic curve of the covariant derivation ∇. For the flat covariant derivation, the geodesics are the parametrizations with the constant velocity of straight lines.
2.4. Riemannian Structures on
A Riemannian metric on is an application, G, that associates with each point of a scalar product on , with the condition that
The general expression of a Riemannian metric on is
where the coefficients are such that the matrix is symmetric definite positive and is defined on by
Let G be a Riemannian metric G and be a class application defined on some interval of , where the real
is the speed of at instant t with respect to the Riemannian metric G, also known as G-speed; the application
is a scalar field along .
The G-length of is
The G-kinetic energy of is
The G-length does not depend on the parametrization , but the G-kinetic energy does.
We can obtain a distance on by setting it for
Although is, in general, not associated with any norm on , the topology of induced by is always the usual topology of .
For , the G-angle, , of and is defined by
2.4.1. Levi-Civita Connection
Let G be a Riemannian metric on ; a covariant derivation, ∇, on is compatible with G when
For any Riemannian metric, G, on , there is exactly one torsion-free () covariant derivation compatible with G, which is called the Levi-Civita connection of G.
The Christoffel symbols of the Levi-Civita connection have the following expressions:
where is the inverse matrix of .
2.4.2. Some Riemannian Metrics
(1) The usual affine Euclidean structure of can be seen as a Riemannian structure on :
When is equipped with the metric , the Levi-Civita connection is the flat covariant derivation ∇ defined previously. The distance is the usual Euclidean distance, and the angle measurement is the usual angle measurement. The geodesics are the parametrizations of straight lines with constant velocities.
(2) For , we use
The Levi-Civita connection of is also the flat covariant derivation.
The associated distance is
The associated angles measurement satisfies
The application from to is for scaling.
The geodesics are straight lines parametrized with constant velocities.
For and , the parallel transport is trivial, and the parallel tangent vector fields are of the form , where are constants.
(3) For such that , we use
The Levi-Civita connection is not the flat covariant derivation anymore; a straightforward computation gives the expressions of the Christoffel symbols:
The geodesics are not straight lines anymore. The application from to is conformal.
2.5. Pseudo-Riemannian Structure on
A pseudo-Riemannian metric on is an application, G, where each point is associated with a Minkowski product on , with the condition that
The general expression of a pseudo-Riemannian metric on is
where the coefficients are such that the matrix is symmetric with signature .
Let be the coefficient of the matrix . The usual affine Minkowski structure of is a pseudo-Riemannian structure:
It will be practical to limit the summation to . With this convention, we have
As in the Riemannian case, for any pseudo-Riemannian structure on , the Levi-Civita connection is the unique, torsion-free covariant derivation satisfying
The Levi-Civita connection of is, once again, the flat covariant derivation.
For , later, we will consider the pseudo-Riemannian metric defined by
For this pseudo-Riemannian metric, the Levi-Civita connection is still the flat covariant derivation.
3. Framework for the -Model
3.1. -Structure on a Riemannian Metric
A κ-structure on or a Riemannian metric affected by a κ-effect is a couple where
is a fixed Riemannian metric on .
is an application of class from to with .
Then, when is a -structure on , we have
(1) On one hand, for two Riemannian metrics on , we have
where , is a metric conformal to G.
(2) On the other hand, for each point, is associated with the Riemannian metric , which is a rescaling of G.
A point in endowed with a -structure will be called a sitting observer.
We can think of this situation as the trivial bundle , where each constant section is equipped with the Riemannian metric , where the function is associated with each point a of for the constant section .
3.2. -Structure on the Euclidean Metric
Let us equip with a -structure and choose, once and for all, a global system of co-ordinates such that . The associated distance is the Euclidean distance, .
Each sitting observer, , is equipped via with the flat Riemannian metric , defined by
from which the distance on is deduced:
However, there should be no confusion between the collection of flat Riemannian metrics , which are rescalings of , and the nonflat Riemannian metric (Figure 2).
Figure 2.
Circles with same radii and centers in , and with .
Any information retrieved using the flat Riemannian metric on will be called an observation made by the sitting observer a.
The application is not an isometry but is, nevertheless, a scaling. The observations made by two sitting observers are linked; for example,
while
This means that two sitting observers will agree on angle measurements but not on length measurements. If they exchange their measurements, two sitting observers would disagree.
3.2.1. Speed Fields
Let be the Euclidean metric on affected by a -effect; let be a smooth curve and be its velocity.
† The Euclidean speed of is the scalar field along , defined by
† The a-speed of is the speed observed by a sitting observer at a; it is the scalar field along , defined by
The a-velocity of is the tangent vector field along , defined by
so that the a-speed at time t is .
† The κ-speed of at time t is the speed observed by the sitting observers coincident with ; it is the scalar field defined by
The -velocity of is the tangent vector field along , defined by
so that the -speed at time t is .
The relations between the different speeds are
and
A smooth curve is κ-uniform when its -speed is constant; in other words, when
or
3.2.2. -Uniform Straight Lines
Let and be two distinct points of . For any sitting observer, a, the parametrization
is the geodesic passing through at time 0 and at time 1 with constant a-speed .
Since is not a constant function, the smooth curve is not -uniform (unless is constant along it).
Nevertheless, we can reparametrize the support of in a -uniform way.
Consider , defined by
where
is some class function with
.
The -speed of c is .
The parametrization c is -uniform with constant -speed V if and only if
Then, so that the derivative never cancels. If c is to reach at some positive time, we have .
Let be the function defined by
as is a strictly positive function, K is a strictly increasing bi-objective function from to itself; let be its reciprocal.
The curve defined by
is -uniform with -speed V.
Indeed, its -speed is
3.2.3. Velocity Fields and Covariant Accelerations
Let be a smooth curve.
For a given sitting observer, a, is equipped with , the Levi-Civita connection is flat, and the solutions to the equation for the cancellation of the covariant derivation of the a-velocity
are the parametrizations with the constant a-speed of straight lines; these are the a-geodesics.
Two sitting observers (a and b) will agree that a given curve is a geodesic but will observe two different speeds.
A straightforward computation gives the equation for the cancellation of the flat covariant derivation of the -velocity
The flat covariant derivation is not the Levi-Civita of the metric , so Equation (60) is not the equation for the geodesics of . The solution curves are the parametrizations of straight lines with constant -speed.
This can be checked easily: Equation (60) admits one unique solution with the given initial conditions . By using an adapted frame, we can assume that and are colinear with .
We have seen that the -uniform parametrization of the straight line is such that and -speed 1 is
where is the reciprocal of the function K defined by
The velocity of is
and then
from where, again, we find Equation (60).
3.2.4. Laser Distance
Let be two distinct points of and . Consider
we have
and as is the Euclidean-unit tangent vector , the -speed is .
The laser distance is defined by the -length of between and , which is
This laser distance can also be obtained by using the -uniform parametrization of , with -speed equal to 1.
where with .
is the “distance” obtained by compiling the observations (of the speed) made by sitting observers along the straight line segment (which is not a -geodesic).
In general, the application is not a distance because it fails to satisfy the triangle inequality; however, nevertheless,
the positivity ;
the separation ;
and the symmetry
are satisfied.
3.2.5. Circular Motions
Let be a parametrization of class of some Euclidean circle of ; in a well-chosen orthonormal co-ordinate system , we have
with and of some class function.
For , let us define the tangent vector fields:
For a sitting observer, a, the apparent radius is , and the a-velocity at time t is
whereas the -velocity at time t is given by
The (covariant) a-acceleration of is
The (covariant) -acceleration of is
3.2.6. a-Uniform and -Uniform Circular Motions
When a circular motion, , is a-uniform, in other words, when the a-speed for a sitting observer a is a constant, the expression of has the form , with and as some constants. By changing the origin of time, we may assume that , and by changing the orientation, we may assume that .
Then,
(in polar co-ordinates ).
For any sitting observer , the motion will also be circular a-uniform with the angular speed but with an apparent radius of the trajectory as .
The a-speed and the -speed give
The derivative of the -speed is
where g is defined by
Of course, if happens to have radial symmetry, in other words, if , the motion is also -uniform.
3.3. -Structure on a Minkowski Metric
Let us equip with the Minkowski metric . We chose, once and for all, a global system of co-ordinates such that the expression of the pseudo-metric is
Then,
The choice of the global co-ordinates system provides a trivial foliation of , for which the leaves are the equivalence classes of the relation when . Each leaf of that foliation will be called a sitting observer relative to the chosen global co-ordinate system. A unique sitting observer is associated with each point a in .
Changing the choice of the co-ordinate system will, of course, change the sitting observers.
A Minkowski metric affected with a -effect is a couple , where
is a global co-ordinates system, such as , which has the expression
with is a class function.
When is a Minkowski metric affected by a -effect, we have, on the one hand, two pseudo-metrics on :
· The Minkowski metric defined in (71).
· The nonflat pseudo-metric defined by
Figure 3.
Deformation of the “future-cone” at e, with the “space component”, , is represented in dimension 1.
Any information retrieved using the pseudo-metric on is an observation made by a sitting observer, . For example, let e and be two events; if is the unique quadrivector such that is the sitting observer, will interpret e and separated by a time-like gap when . Another sitting observer may interpret e and separated by a space-like gap.
3.3.1. Quadrivelocities
Let
be a smooth worldline expressed in the co-ordinates system , where the triplet will be denoted by . The associated sitting observer is .
The quadrivelocity at proper time is
where the dot is the derivation with respect to the proper time , and the summation is on indexes .
The quadrivelocity observed by a sitting observer , the -quadrivelocity, is defined by
so that
The quadrivelocity observed by a family of sitting observers, , is the κ-quadrivelocity
so that
We have
If we put
we obtain the equivalence
When , we say that is a Minkowski-particle worldline.
Let be a sitting observer so that we have
We obtain the equivalence
When , we say that is a -particle worldline.
We also have
we obtain the equivalence
When we say that is a -particle worldline.
Let us put
For two sitting observers, and , we have
and
Any of the Minkowskian metrics is flat, so their Levi-Civita connections are all equal to the trivial covariant derivative. Therefore, we have
For any metric , the geodesic worldlines are , where the co-ordinate functions are affine functions.
3.3.2. Changing Co-Ordinate Systems
Without the κ-effect:
The choice of a “reference frame” , where is an event and is a base of such that for and , two tangent vectors are at O, we have
which determines a global system of coordinates on . For example, we can choose for .
Consider , with as a geodesic worldline. If we adjust a base of so that the global co-ordinate system generated by the frame fulfills the following conditions:
(1) The co-ordinate functions of a geodesic worldline are affine functions;
(2) If has co-ordinates satisfying
its co-ordinates satisfy
We obtain
where
Then, if e has the co-ordinates in , its co-ordinates in are
This is the -boost.
With the κ-effect:
Let be an event and be the associated sitting observer. We can choose a base of such that for and , two tangent vectors have
Such a base is, for example, given by and . Let be the frame ;
As previously shown, if we consider an inertial observer, , passing by a point of at , adjusting the co-ordinates system will give
where
We obtain the --boost.
3.3.3. Observation of a Far-Away Geodesic Worldline
Let be a geodesic worldline.
Each sitting observer, , interprets as a geodesic worldline. The support of is rectilinear, and the quadrivelocity, , is a constant vector field, , along .
Let be a reparametrization of this geodesic worldline in such a way that there exists a strictly positive constant ; then, we have
The support is still rectilinear, but the quadrivelocity field is no longer constant; nevertheless, the -quadrivelocity is constant.
As is a reparametrization of the geodesic worldline , there exists a function, , such that we have
so we have
so Equation (94) reformulates into
which can be fulfilled only when
For the worldline , we also obtain
Let us remark that
To a distant sitting observer, , the worldline appears to be rectilinear, even though it is not a a-geodesic worldline. For example, this means that if along a geodesic worldline, , the function is decreasing, we may obtain a reparametrization of such that is constant while is not. It is then possible that a distant sitting observer, a, observes the -quadrivelocity of -particle worldline as being time-like on some portion of the trajectory and space-like on some other portion.
4. Applications
Let us specify that these applications are only given here for illustrative purposes. Concrete and much more complex situations in the case of spiral galaxies and galactic clusters have been discussed elsewhere [2,3,4].
We need to clarify “where” the objects we will be considering are and “where” the observers actually are. A -structure is conceived as the trivial bundle , where each constant section, , is equipped with the metric , and the base space is equipped with the metric . Each leaf, , of the bundle is accessible to a sitting observer, a, such that ; those sitting observers are subject to an illusion (associated with the surrounding density). The real space is the base space where the objects are, but no real observer can see the geometry of that space per se. Rather, these observers see the base through the magnifying glass provided by both their own environment and that of the perceived object. Any potential observer in the base space accessing would be a “shadow observer”.
4.1. What a Sitting Observer Sees: Size and Measurement
Let a and b be two sitting observers. As the Levi-Civita connections of and are both equal to the trivial covariant derivation, a and b will agree on which tangent vector fields along a smooth curve joining them are parallel (the constant vector fields). Assume that , and let and be two constant tangent vector fields along such that (Figure 4)
we have
Figure 4.
Discrepancy in size measurement: , and .
Practically, this means that two different sitting observers each holding a stick, could agree in saying that the two sticks have the same length when they exchange their observations of their own stick; however, if one of the observers uses their own measurement system to measure both sticks, they would say that the two sticks have different lengths.
This can be illustrated in the following Figure 5, where two sitting observers compare the radii of their own unit ball; a sees the unit ball held by b as bigger than their own.
Figure 5.
Discrepancy in size measurement for a disk.
Another illustrative point of view appears very interesting. Here, we assume that there is no gravity. The base is equipped with a Euclidean metric. Consider a free particle emitted at some instant from point a (Figure 6). When arriving at b, the particle emits a photon in the direction of observer A. Then, observer A sees the particle at position b’. They measure the spectroscopic velocity (shown in orange). Likewise, observer B sees the particle starting from a at position a’ and measures the spectroscopic velocity .
Figure 6.
Two observers (A and B) separated by a very large distance of ≫1 pc. Very close to each of them, a universal “atom” that is small in size, ∼ 10 AU, is represented. The dashed straight line ab’ (respectively, a’b) is a geodesic of the sheet of observer A (respectively, B) equipped with (respectively, ). Let us note that the norm of vector is a constant in the base, but this norm varies by in the respective sheets of the observers. On the other hand, the curve ab" displayed in blue is a geodesic of the bundle equipped with the variable (Let the action for a free particle be By applying Hamilton’s principle, we find the geodesic equation (curve displayed in blue in Figure 6). ).
-aberration
In Figure 6, a linear variation of as a function of is assumed. Then, the image of the straight line ab taken in the base (the real trajectory of the particle, P) is represented by a multiplet of parallel straight lines ab’, a’b, …, with each of these lines being attached to a real observer. Let us note that the real trajectory of the particle, P, in the base space, does not seem to be parallel to the corresponding multiplet of its images in the bundle. In fact, there is no reason why this should be so. The base space is linked to the bundle by a projection, which can diversely tilt by any small portion of a trajectory, even though this tilt is fictitious. Moreover, the base space is not accessible to the real observers present in the bundle. Then, an unreflected comparison of a vector in the base to the “same” vector in the bundle makes no sense regarding its apparent direction. In the base, the vector (denoted by ) is constant for a free particle, whereas in the bundle, it is that is a constant vector. In the sheet of observer A, we have the radial (spectroscopic) and (apparent) tangential components of the velocity, respectively, as seen by this observer ( = 10 AU)
the dot over denotes the Lagrangian time derivative of . We can verify that if , then the tangential velocity cancels out.
Overlapping images.
Let a be a sitting observer, be a straight line passing through a, and be two planes orthogonal to , B be a disk, and C be a small, concentric, flattened annulus, both in and centered at . Assume that , where is the radius of B and is the thickness of C; for example, and is a few meters.
The points of B are all affected by a coefficient, , and the points of C are all affected by the coefficient .
We have . Let and , where we have and . Photons are emitted by b and c in the direction of a, but, of course, each emitter estimates the direction of a using its own tools; the ratio induces a magnification of the image received by a on a screen in the plane , as shown in Figure 7.
Figure 7.
(a) Images obtained without the -effect; the annulus is represented in yellow; the central disk is represented in red. (b) Images obtained using the -effect; the emitter in the annulus sees observer a three times closer. The gap in the image is a consequence of discontinuity at the border between the annulus and the central disk. (c) Images obtained with -effect; the emitter in the central disk sees a three times closer. The image of the central disk overlaps the image of the annulus; the overlapping region is colored orange.
In order to illustrate this phenomenon, let us consider three cases; in the first case (Figure 7a), ; in the second case (Figure 7b), we assume that (3 in Figure 7b); in the third case (Figure 7c), we assume ( in Figure 7c)
If for , there is no -effect, observer a perceives an image with no magnification, as shown in Figure 7a. The second case is represented in Figure 7b; it shows the modification of the image received by a, where the image of the flattened annulus is stretched. The third case is represented in Figure 7c, where the image of the central disk is stretched and overlaps the image of the flattened annulus (We considered the use of a noncontinuous function for a better visualization of the overlapping aspects, but if we had considered a continuous function , we would have found a “smooth” overlapping with three layers).
4.2. The Circular Motion of a Test Mass around a Motionless Mass M
4.2.1. Without the -Effect
Without the -effect, in other words, for any observer considering endowed with the Euclidean metric , the motion is the usual Newtonian motion.
Let us consider the elementary situation of a very massive point of mass, M, located at the origin O of some co-ordinates and surrounded by a spherical gas cloud that is very weak in density with radial symmetry. When limited to an examination of the circular motion, , of a test mass, , around this point, the dynamic equation is (assuming the gravitational constant )
where is the radial unit vector at and R is the constant distance from to O and .
It is a very simple affair to show that the Newtonian speed is that which would be measured by a fictitious observer using the metric . We find the trivial result
The index 0 indicates that this is what is measured by the fictitious observer. In the -model framework, the Newtonian speed , as defined above (103), is fictitious; it cannot be measured by any real sitting observer (Figure 8).
Figure 8.
Circular Newtonian motion.
4.2.2. With -Effect
Consider a local sitting observer, , situated on the trajectory of the test mass, they see the whole space endowed with the metric ; but, of course, this observer does not have access to either or . As the -effect affects the distances but does not affect the masses, the apparent radius of the trajectory is , while the mass M remains unchanged. By applying Newtonian dynamics with this modified metric, sitting observer a measures the speed:
where is the Newtonian velocity calculated (but not measured) by a terrestrial observer, .
We are aware that in astrophysics, the radial velocity (the velocity component directed along the line of sight) is measured by spectroscopy, while the component of the velocity projected on the sky plane is deduced from the measurement of the proper motions. Thus, within the -model framework, a clear distinction must be made between these two components. We will call the spectroscopic velocity the (radial) velocity measured by any observer. This velocity is independent of the sitting observer and is defined by
where is the projection angle along the line of sight.
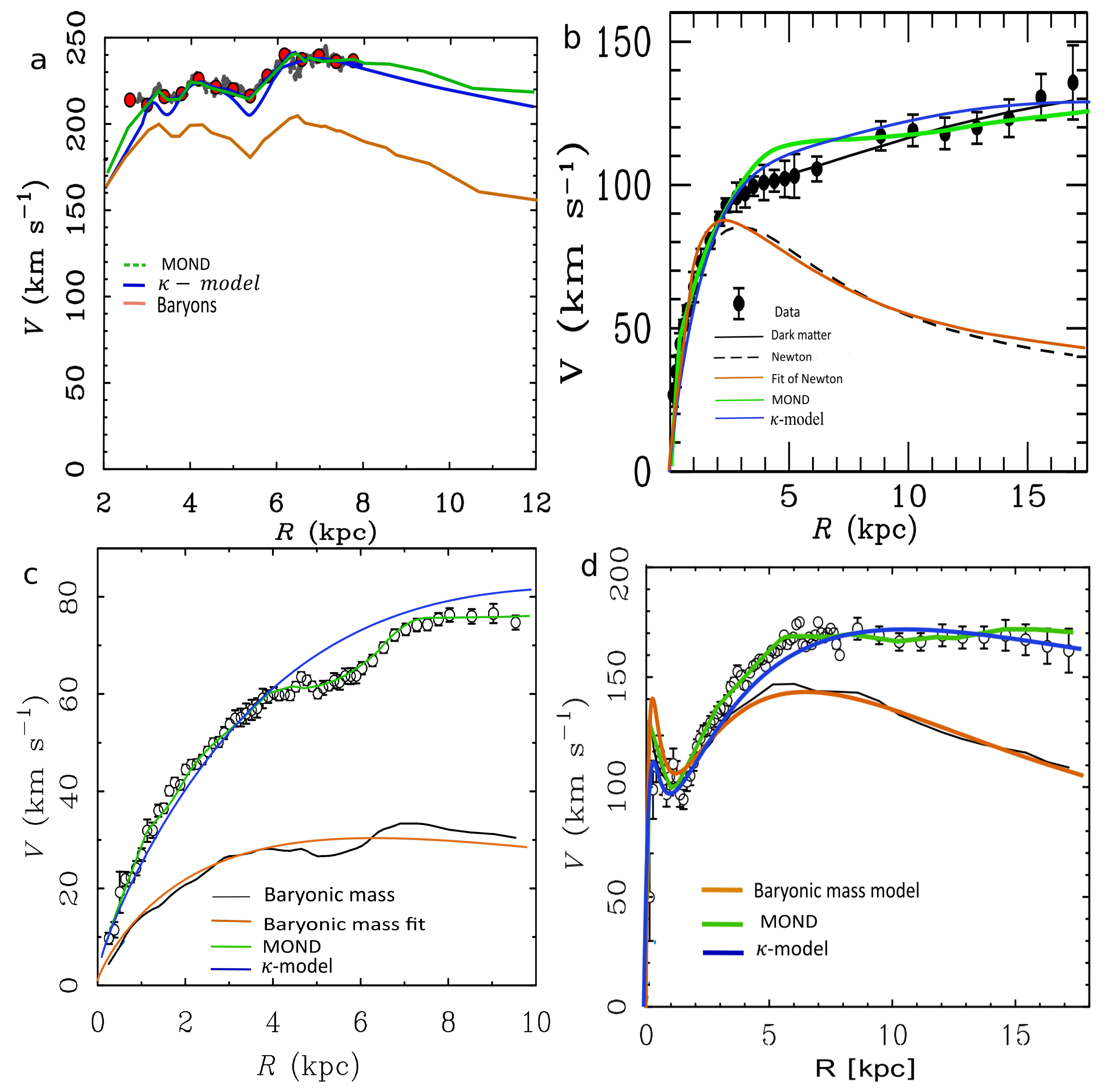
It is very commonly observed in the outskirts of the spiral galaxies that the density is , where r is the distance to the center of a galaxy, as measured by a terrestrial observer, i.e., . If we assume that (The detailed relationship is , where denotes the maximal density in the galaxy (galaxy center). Here, we assume that and the density are normalized to this value), we obtain for . In this case, we can conclude that becomes constant and, by consequence, becomes constant as well. In other words, the observed flatness of the rotational curves of the spiral galaxies is correlated with the variation of the density in the disk as a decreasing exponential function of the radius r. A few concrete examples are given in Figure 9.
Figure 9.
Galaxy rotation velocity profiles. (a) The Milky Way in the vicinity of the Sun; (b) M33; (c) NGC 1560; (d) NGC6946. For more details, see [2].
In contrast, the tangential velocity measured by a terrestrial observer is
4.3. An Analysis of the Spiral Substructure
Spiral galaxies are dominant in the Universe. It is, therefore, most interesting to understand the link existing between the observation of a tight spiral substructure, as it would be seen by a fictitious Newtonian observer (i.e., one located in Euclidean space without the -effect), compared to the point of view of a sitting observer affected by the -effect. If the -effect is now taken into account (each real observer lives in the bundle and not in the base, which is an unreachable place for them), in a spiral galaxy, the density varies, as and .
Without the -effect, the equation supporting the spiral substructure is that of a tight logarithmic spiral of a maximal extension equal to the unit
With the -effect, the equation becomes
or
For any sitting observer, a,
While a hypothetical Newtonian observer would see a tightly coiled spiral, any sitting observer would see a grand design spiral (Figure 10 and Figure 11). Two distinct sitting observers, a and b, see the same grand design spiral, but it differs according to a homothety ratio .
Figure 10.
A model example: A well-developed conservative spiral substructure seen in the bundle, as opposed to its counterpart existing in the base (a tightly coiled spiral).
Figure 11.
A conservative grand design spiral produced by a numerical simulation in the -model framework (for more details, see [2]). The elapsed time is given in the unit of 100 Myr. The Newtonian equivalent would be a much tighter spiral with a larger number of turns.
A side-on galaxy
If we assume (for simplicity) that a terrestrial observer measures a constant thickness for a disk galaxy, then (Figure 12)
Figure 12.
A side-on galaxy, as seen by a terrestrial observer (a) in contrast to its compact counterpart existing in the base (b). In this illustrative example, the terrestrial observer measures the density .
In addition, we have
Then, the local thickness is
Without the -effect, a side-on galaxy—seen as a very extended flat disk with a constant thickness by a terrestrial observer—would appear as a much more compact object (for .
4.4. Galaxy Clusters
The application of the -model to galaxy clusters is examined in [3]. We have shown that the -model can greatly reduce the major of dark matter content in the galaxy clusters. The current dark matter:baryons mass ratio amounts to approximately 10 in the outskirts of these objects, and the -model can strongly reduce this ratio to within a much more acceptable range of between 0 and 1. The fits are not optimal in the inner regions of the galaxy clusters, but by lowering the gas temperature in these regions, the problem can also be easily solved. An example is the well-studied COMA cluster (Figure 13).
Figure 13.
The short dashed blue curve is the Newtonian dynamic mass; the dashed-dotted cyan curve is the MOND dynamic mass. The dynamic mass for the -model is displayed as the amber curve (dynamic mass with a constant temperature T = 8.38 keV) and green curve (assuming a non-isothermal temperature profile). The long, red dashed curve is the ICM (intracluster medium) gas mass derived from X-ray observations (for more details, see [3]).
4.5. The Bullet Cluster
The Bullet Cluster (1E 0657-56) consists of two colliding clusters of galaxies, where a clear separation appears between the stars (compact matter) and the hot gas (diffuse matter). It is a relatively rare situation, even though other cases exhibiting very similar properties are also known (for instance, MACS J0025.4-1222). The Bullet Cluster is claimed to provide strong evidence for the existence of dark matter and, on the other hand, seems to severely challenge MOND. Yet, the -model validates the test when a comparison is made between the gravitational lensing diagrams coming from both the dark matter and -model paradigms (Figure 14).
Figure 14.
A comparison between the gravitational lensing diagrams resulting from the application of both dark matter and -model paradigms in the case of the Bullet Cluster (for more details, see [3]).
4.6. Translation of an Extended Object and the -Effect
We have assumed that the coefficient is linked to the average mass density, , via the relationship
where the index ᴇ designates the values associated with any baseline observer (for instance, the terrestrial observer). The way we carry out this averaging operation at a given point may depend on what we are observing. If we observe the inner motion of a little part of a galaxy, the observed zone must be affected by a coefficient deduced from an averaging of on a “small” ball, , with a radius of 1 pc; now, if we observe a galaxy as a whole, taken to be in a galaxy cluster, we need to affect this galaxy with a coefficient deduced from an average of on a ball, , containing the whole galaxy, with a radius of 1 Mpc.
Figure 15.
Averaging over a ball surrounding a star or a galaxy.
Figure 16.
Stacking of balls covering a galaxy or a galaxy cluster.
The convolution with any quantity gives the mean value of this quantity. For instance, for the mean mass density
The simultaneous consideration of both the inner motions in a galaxy and the global motion of a galaxy, as a whole in a galaxy cluster, will necessitate the consideration of two values of .
A sitting observer in the observed galaxy corresponds to the selection of two sheets in the bundle or two different ways of measuring distances: and .
As previously shown, whether they are associated with the internal motions in a galaxy or with the global movement of a galaxy, spectroscopic velocities are universally accessible, meaning they can, therefore, slide along a fiber without changing.
Let us consider a galaxy moving in a cluster and two small regions (I and J) of that galaxy moving into that galaxy (Figure 17).
Figure 17.
Point of view of different observers.
With no κ-effect:
The velocities of I and J decompose into the sums
With the κ-effect inside the galaxy:
At I, the coefficients are for translational movement and for internal movements. An observer traveling with the galaxy coinciding with I only perceives the internal movements, i.e., at I, that observer measures . The fixed observer measures the speed of the observer , which is . Finally, the observer transmits the internal velocity of I to . The observer then makes the sum to obtain the speed
At J, the coefficients are for the translation motion and for the inner motions. The fixed observer, , measures the speed
With the κ-effect outside the galaxy:
For a sitting observer, a, outside of the galaxy, the coefficient is locally computed, . By canceling the translation velocity of the galaxy, this observer only perceives the internal motions, respectively, at I and at J. The fixed observer, , measures the speed of observer , which is obviously unique, i.e., . On the other hand, observer transmits the values of the internal velocities of I and J to . Observer then makes the respective sums
at I:
and at J:
4.7. The Relativistic Extension
In the world of galaxies and galaxy clusters, as both gravity and velocities are weak, a relativistic extension may not appear very useful. However, this extension is needed at the cosmological level.
In general relativity, the background, i.e., , is equipped with a pseudo-Riemannian metric. In some local co-ordinate systems, , the expression of the metric at point has the form
where are some functions of with and for .
Hence, the background is equipped with a pseudo-distance. An ideal observer having access to this pseudo-metric would use this metric for the measurement of the space–time interval between two events, and ; in other words, the pseudo-length of the -geodesic segment joining to .
For distinct, the Christoffel symbols are
For and distinct (with no summation over i),
In the -model, each sitting observer, a, associates with the background of a modified pseudo-metric. The modification is a rescaling of the spatial co-ordinates of tangent quadrivectors with no change in time co-ordinates. Then, the general form of the modified pseudo-metric is
Each current sitting observer, a, is provided with a value for .
The modification of the pseudo-metric induces a modification of the Christoffel symbols. If we note for the coefficients of the modified metric , we have
then,
the Christoffel symbols of the modified metric and the initial metric are linked
This means that the supports of geodesic curves may differ from one observer to another.
The full background is also equipped with a modified pseudo-metric.
If we note for the coefficients of the modified metric , we have
then,
the Christoffel symbols of this modified metric and the initial metric are linked (with no summation over i)
The geodesics of this pseudo-metric are not geodesics for any metric used by sitting observers.
4.7.1. Without Gravity
Without gravity, the metric is Minkowskian, and we have
In this special case, the -effect does not affect the Christoffel symbols, and the geodesic equation was considered in Section 3.3.3.
4.7.2. With Weak Gravity
Without the -effect
In the case of weak gravitational fields, the metric coefficients are slightly modified
With functions of the position and , we then have .
Furthermore, if we assume that the weak gravitation field is stationary, we have
In this situation, for distinct, the Christoffel symbols are
For and distinct (with no summation over i),
If is a geodesic, we have
where .
For the first component, we obtain
In the case of low velocities, i.e., , the spatial components of the geodesic equation reduce to
For .
With the -effect
The metric coefficients are changed to for . With the same hypothesis of weak stationary gravity and low speed, the geodesic equation simplifies (for Equation (117), see Equation (60)):
for with . By using the variable , for ,
and
Eventually, Equation (118) becomes
We use the Schwarzschild metric (with the attractive mass M situated at the origin of the co-ordinates and very far from the singularity). Then, we have .
For any sitting observer, a, equipped with their own co-ordinates and located along the trajectory of the test mass, the motion equation is ( with the speed of light, )
where the right side of this equation can be compared to Equation (60). More specifically, for a terrestrial observer equipped with usual co-ordinates (),
The motions perceived by two sitting observers are homothetic to each other. All observers are equivalent, and there is no privileged observer.
Gravitational Tide
Let A and be two particles submitted to the gravitational action of a massive particle of mass M and located at the origin of co-ordinates. The two particles are assumed to be very close to each other. Let and be their respective position vectors. By putting , the relative motion is given by the following equation:
Let us note that when , the self-interaction is strengthened.
Two “paradoxes” that emerge from the motion of free particles
For a free motion, the equation is
or
i. A free particle (not submitted to any force) may exhibit an (apparent) auto-accelerated (or auto-decelerated) motion for a terrestrial observer. This result seems to be inconsistent with the first law of Newton. In fact, the motion perceived by a terrestrial observer is fictitious. This motion is the image of a real motion taking place in the base. In the base, the first law of Newton is obviously respected.
ii. Let two free particles, A and , that are sufficiently close to each other share the same when moving along parallel straight lines in the base. Paradoxically enough, for a terrestrial observer, these particles can now appear to move toward and away from each other (Figure 18), following the sign of .
Figure 18.
Apparent variation of a disk of constant size, as seen from the point of view of a terrestrial observer. The real size is the disk shown in gray.
In other words, the trajectories of these particles no longer appear as two absolutely continuous parallel lines. Rather, each of these lines appears as a kind of “Devil’s Staircase”. The relative motion of these two particles reflects the apparent variation in the size of any astronomical object (a planetary system in a galaxy or a galaxy in a galaxy cluster), represented by a gray disk in Figure 18. The variation represented in the latter figure has been artificially magnified. In reality, such a variation is very slow and cannot be detected on the scale of a few hundred millennia. In the base, the velocity (denoted by in Figure 18), as measured by a fictitious observer, obeys the equation (free particle)
and , whereas in the bundle, the velocity (measured by a local observer) obeys the equation
and in this case, . If Figure 18 displays the projection of a moving disk on the sky plane, for instance, as seen by a terrestrial observer E, then the measured velocity is . For them, the size of the disk (shown in orange) increases in the first phase and then decreases in the second phase. Likewise, the velocity of the disk varies as (increasing in the first phase and decreasing in the second phase). In fact, the motion perceived by the terrestrial observer is fictitious; the real velocity is constant (free particle).
5. Conclusions
In this paper, we have presented the formalism of the -model. The basic hypotheses of this new paradigm are reasonably simple, and the -model exhibits some common points with the MOND theory [5,6]. Thus, at least in its original form, MOND, which relies on a unique universal parameter, , also constitutes a straightforward way to predictively generate the rotational curves of individual galaxies. Unfortunately, some issues persist for MOND at the scale of galactic clusters, even though some solutions have been proposed to circumvent the problem [7]. The -model has the same level of efficiency as MOND in fairly predicting the profiles of the rotational curves of individual spiral galaxies [4]; moreover, it can also help to understand the physics of galactic clusters [3]. Other interesting ways have also been suggested to circumvent the dark matter conundrum [8,9,10,11,12]. We have already noticed that the latter theories share some common points with the -model [4]. Finally, we can report that, in parallel, a study focusing on the cosmological implications of the -model is in progress.
Author Contributions
Conceptualization, G.P.; methodology, G.P. and L.P.; software, G.P.; validation, G.P. and L.P.; formal analysis, G.P. and L.P.; investigation, G.P. and L.P.; resources, G.P. and L.P.; data curation, G.P.; writing—original draft preparation, G.P. and L.P.; writing—review and editing, G.P. and L.P.; visualization, G.P. and L.P.; supervision, G.P.; project administration, G.P. All authors have read and agreed to the published version of the manuscript.
Funding
This research received no external funding.
Data Availability Statement
The authors confirm that the data supporting the findings of this study are available within the article and the reference list.
Acknowledgments
The authors wish to thank the anonymous reviewers for useful comments and suggestions.
Conflicts of Interest
The authors declare no conflicts of interest.
References
- Pascoli, G.; Pernas, L. Some Considerations about a Potential Application of the Abstract Concept of Asymmetric Distance in the Field of Astrophysics. 2020. Available online: https://hal.science/hal-02530737/ (accessed on 1 May 2024).
- Pascoli, G. The κ-model, a minimal model alternative to dark matter: Application to the galactic rotation problem. Astrophys. Space Sci. 2022, 367, 62. [Google Scholar] [CrossRef]
- Pascoli, G. A comparative study of MOND and MOG theories versus the κ-model: An application to galaxy clusters. Can. J. Phys. 2023, 101, 11. [Google Scholar] [CrossRef]
- Pascoli, G. The κ-Model under the Test of the SPARC Database. Universe 2024, 10, 151. [Google Scholar] [CrossRef]
- Milgrom, M. A modification of the Newtonian dynamics as a possible alternative to the hidden mass hypothesis. Astrophys. J. 1983, 270, 365. [Google Scholar] [CrossRef]
- Milgrom, M. MOND vs. dark matter in light of historical parallels. Stud. Hist. Philos. Mod. Phys. 2020, 7, 170. [Google Scholar] [CrossRef]
- Hodson, A.O.; Zhao, H. Generalizing MOND to explain the missing mass in galaxy clusters. Astron. Astrophys. 2017, 598, A127. [Google Scholar] [CrossRef]
- Varieschi, G.U. Applications of Fractional Calculus to Newtonian Mechanics. J. Appl. Math. Phys. 2018, 06, 1247–1257. [Google Scholar] [CrossRef]
- Varieschi, G.U. Newtonian Fractional-Dimension Gravity and MOND. Found. Phys. 2020, 50, 1608–1644. [Google Scholar] [CrossRef]
- Cesare, V.; Diaferio, A.; Matsakos, T.; Angus, G. Dynamics of DiskMass Survey galaxies in refracted gravity. Astron. Astrophys. 2020, 637, A70. [Google Scholar] [CrossRef]
- Varieschi, G.U. Relativistic Fractional-Dimension Gravity. Universe 2021, 10, 387. [Google Scholar] [CrossRef]
- Varieschi, G.U. Newtonian fractional-dimension gravity and disk galaxies. Eur. Phys. J. Plus 2021, 136, 183. [Google Scholar] [CrossRef]
Disclaimer/Publisher’s Note: The statements, opinions and data contained in all publications are solely those of the individual author(s) and contributor(s) and not of MDPI and/or the editor(s). MDPI and/or the editor(s) disclaim responsibility for any injury to people or property resulting from any ideas, methods, instructions or products referred to in the content. |
© 2024 by the authors. Licensee MDPI, Basel, Switzerland. This article is an open access article distributed under the terms and conditions of the Creative Commons Attribution (CC BY) license (https://creativecommons.org/licenses/by/4.0/).

















