Next Article in Journal
Manifestation of Superfluidity in Atom-Number-Imbalanced Two-Component Bose–Einstein Condensates
Previous Article in Journal
A Symmetrical Analysis of Decision Making: Introducing the Gaussian Negative Binomial Mixture with a Latent Class Choice Model
 
 
Font Type:
Arial Georgia Verdana
Font Size:
Aa Aa Aa
Line Spacing:
Column Width:
Background:
Article

Symmetry and Analysis of Fluid Queueing Systems Driven by Non-Truncated Erlangian Service Queues

by
Mahdy Shebl El-Paoumy
1 and
Taha Radwan
2,3,*
1
Department of Statistics, Faculty of Commerce, Al-Azhar University (Girls’ Branch), Cairo 11884, Egypt
2
Department of Management Information Systems, College of Business and Economics, Qassim University, Buraydah 51452, Saudi Arabia
3
Department of Mathematics and Statistics, Faculty of Management Technology and Information Systems, Port Said University, Port Said 42511, Egypt
*
Author to whom correspondence should be addressed.
Symmetry 2024, 16(7), 909; https://doi.org/10.3390/sym16070909
Submission received: 6 May 2024 / Revised: 26 June 2024 / Accepted: 9 July 2024 / Published: 16 July 2024
(This article belongs to the Section Mathematics)

Abstract

This paper investigates the behavior of a fluid queue driven by a non-truncated Erlangian service queue, focusing on the symmetrical properties within the system. This study determines the formulations of the steady-state distribution of both the buffer content and stationary state probabilities of a background queueing system. The efficient generating function technique is employed, utilizing a new generalization of the modified Bessel function of the second kind. Performance metrics such as mean buffer content and throughput are calculated, and server utilization is examined. The results contribute to the understanding of fluid queueing systems and offer insights into their performance in various applications, including telecommunications, manufacturing systems, healthcare operations, and ecological models, where symmetry plays a critical role in optimizing performance.

1. Introduction

The study of fluid queueing systems with limitless space is not only crucial for its relevance in modern applications but also for its theoretical significance in understanding complex systems. Symmetry plays a vital role in simplifying analyses and providing generalized solutions. These systems are not only found in communication networks and manufacturing systems but also in biological systems and ecological models, highlighting the broad spectrum of their applications. For example, in an ATM environment, this modeling approach has been found to be quite effective because all the information is transported using small fixed-sized cells that are statistically multiplexed, and the interarrival time between cells at the time of generation is constant for several contiguous cells. For further reading on the theoretical foundations and practical applications of fluid queues, readers are encouraged to explore the works [1,2,3,4,5].
Researchers have made significant strides in understanding fluid queues driven by endless queueing systems by employing various mathematical and analytical techniques. Sherif Ammar [6] is one such researcher who contributed by deriving closed-form formulae using modified Bessel functions for fluid queues driven by an M / M / 1 queue. Ammar’s work is particularly notable for its use of a spectral expansion technique to determine the distribution of the exact buffer occupancy, providing detailed insight into the behavior of such systems. El-Paoumy and Radwan discussed a fluid queue driven by a truncated queue with discouraged arrivals using the efficient matrix technique [7]. Darwiesh et al. [8] also made significant contributions by using a simple series form to determine the joint stationary distribution of the buffer occupancy for a fluid queue with an unlimited buffer capacity. Their work sheds light on the dynamics of fluid queues where the buffer is continuously filled and depleted by a fluid at constant rates. Additionally, Parthasarathy, Vijyashree, and Lenin [9] proposed innovative strategies for a fluid queue fed by an external source, adding to the repertoire of methodologies for analyzing such systems.
In a different direction, Mao and colleagues [10] explored a fluid model featuring single and multiple exponential vacations powered by a simple queue. Their study has broader implications for understanding the impact of system downtime and vacation periods on the overall performance of fluid queues. Viswanathan et al. [11] also made significant contributions by studying the buffer occupancy distribution in high-speed networks, showcasing the applicability of fluid queue models in modern networking contexts.
Furthermore, researchers have examined fluid queues fueled by birth–death processes, incorporating concepts such as holidays and natural calamities. Numerous researchers have contributed to this area of research, highlighting the diverse range of applications and methodologies within the study of fluid queues [12,13,14,15,16].
In recent years, there has been a growing interest in the practical applications of fluid queueing models in various fields. For instance, Magalhães and Melo [17] provided significant insights into fluid approximations for Markovian queues with batch arrivals and phase-type services, offering valuable theoretical foundations. Similarly, Breuer and Baum [18] contributed to the understanding of queueing theory and matrix-analytic methods, which are essential for analyzing complex systems. He and Zhang [19] discussed Erlang loss models with Markov-modulated arrivals, which are relevant for our study of fluid models controlled by Erlangian arrivals. Additionally, Stanford and Zazanis [20] explored queueing models in healthcare, demonstrating the broad applicability of these models in real-world scenarios.
Recent advancements in the mathematical tools used for analyzing fluid queueing systems are also noteworthy. Blanc and Kim [21] provided a detailed steady-state analysis of fluid queueing systems with finite buffer space, while Nielsen and Nielsen [22] explored the moment-generating function of the waiting time distribution in the M/G/1 queue. These studies have enhanced our understanding of the theoretical underpinnings and practical implications of fluid queueing models.
Furthermore, Adan, Kulkarni, and Lee [23] offered a comprehensive survey of fluid and diffusion approximations for queues, highlighting potential methods and applications that could guide future research. Baccelli and Foss [24] discussed the fluid approximation of fluid queueing networks, providing insights that are crucial for understanding the behavior of such systems. These references collectively enrich the theoretical and practical frameworks of fluid queueing systems, offering a robust foundation for further exploration.
The practical applications of fluid queueing systems with Erlangian arrivals are particularly noteworthy. These models are essential in telecommunications for managing data traffic with varying arrival rates, as described by He and Zhang [19]. In healthcare operations, Stanford and Zazanis [20] showed how such models can optimize patient flow and reduce waiting times. Furthermore, Magalhães and Melo [17] discussed applications in manufacturing, where fluid queues can help in the analysis of production lines with batch processing. This model’s ability to handle varying arrival patterns and service times makes it distinct from standard models, which often assume simpler arrival and service processes.
Our fluid queue model driven by a non-truncated Erlangian service queue offers significant advantages in telecommunications, particularly in managing data traffic in ATM environments. Unlike standard models that often assume simpler arrival and service processes, our model can handle small fixed-sized cells transported using statistical multiplexing with constant interarrival times for several contiguous cells. This level of granularity and precision is crucial for optimizing bandwidth utilization and minimizing packet loss in high-speed networks.
In manufacturing, fluid queue models are essential for analyzing production lines with batch processing. Traditional models typically assume Poisson arrivals and exponential service times, which may not accurately reflect real-world scenarios, where service times follow an Erlangian distribution involving multiple stages. Our model accommodates these complexities, providing more accurate predictions of system performance, including throughput and mean buffer content, thus enabling better planning and resource allocation.
Fluid queueing models are increasingly applied in healthcare to optimize patient flow and reduce waiting times. Our model’s ability to handle Erlangian service times, as opposed to the exponential service times in standard models, allows for a more realistic representation of patient treatment processes, which often involve multiple stages. This leads to more accurate assessments of system performance and aids in improving patient care and resource management.
In ecological systems, fluid queue models can be used to represent the flow of resources or organisms within an environment. Our approach, which incorporates Erlangian service times, is particularly useful for modeling processes that involve multiple phases, such as the growth stages of a population. This provides a deeper understanding of the dynamics within the ecosystem and informs conservation and management strategies.
In this study, the authors focused on a fluid model controlled by a queue with Poisson arrivals and Erlangian service, which has practical implications for various real-world scenarios. The subsequent sections in this paper delve into the mathematical formulations and analytical solutions for the steady-state distribution of buffer occupancy, providing valuable insight into the performance metrics of the system. Through numerical illustrations and conclusions, this study aims to contribute to the broader understanding of fluid queueing systems and their applications in diverse fields.

2. Model Description

Assume that there is a fluid model driven by a single-server queueing process with Poisson arrival and Erlang-distributed service involving k stages of service. The model is formulated based on an infinite buffer, where the flow of fluid is controlled by the state of the background queueing system. The symmetrical nature of the Erlang distribution, with its multiple stages of service, is key in simplifying the analysis and deriving the steady-state distribution of the buffer content. The background queueing system is represented by the triple { N t ,   I t ,   U t ,   t     0 } , where values in the state space are ω = 0 n ,   r n = 1 ,   2 ,     r = 1 ,   2 ,   . . . ,   k } . Here,
  • N ( t ) refers to the number of customers in the system at time t;
  • I ( t ) denotes the stage of the customer undergoing service at time t;
  • U ( t ) represents the content of the buffer (i.e., the amount of fluid in the buffer) at time t.
Theorem 1.
Stability for Queueing Systems
A queueing system is stable if the arrival rate is less than the service rate, ensuring that the system will not grow indefinitely over time (Gross et al. [25]).
Let  λ n    and  μ n  depict the average arrival rate and service rate, respectively, when there is a queue. Arrivals are assumed to follow a Poisson distribution, while service times are Erlangian. The service discipline is first in first out (FIFO), ensuring that the customer who has been waiting the longest is the next to be served.
Theorem 2.
Poisson Processes
The Poisson process is a type of stochastic process that models random events occurring independently over time, characterized by the exponential interarrival times (Kingman [26]).
Theorem 3.
Erlang Distributions
Erlang distributions are used to model the time between events in a Poisson process and are particularly useful in modeling the service times in multistage processes (Tijms [27]).
When the system is in state n, the buffer content changes at the net input rate  σ j = σ , where the input rate is equal to the output rate and can be positive or negative. For example, if the buffer is empty and the Markov process is in a state with  σ 0 < 0 , the buffer remains empty. We assume  μ 0 = 0  and  μ n = λ n = 0  if  j ω   .
Theorem 4.
Markov Process
A Markov process describes a sequence of possible events where the probability of each event depends only on the state attained in the previous event (Norris [28]).
The 3-dimensional process  { N ( t ) ,   I ( t ) ,   U ( t ) ,   t     0 }  forms a Markov process with a unique stationary distribution under a suitable stability condition ( d < 0 ). The time change in the buffer content  U ( t )  is described by the following differential equation:
d U ( t ) d t = 0 ,               i f   U ( t ) = 0 , a n d   N ( t ) = 0 ,     σ 0 ,         i f   U ( t ) > 0 , a n d   N ( t ) = 0 , σ ,               i f   U ( t ) > 0 , a n d   N ( t ) > 0 .
The limit distribution for  U ( t )  exists as  t     , and the stationary net input rate must be negative; that is,
d = σ 0   π 0 + σ j = 1   r = 1 k π j , r = σ 0 π 0 + σ ( 1 π 0 ) < 0 ,
where  π 0 = 1 ρ ,  ρ = λ μ .
Therefore,  d = σ 0 ( σ 0 σ ) ρ , where  π n , r ,   ( n , r ) ω \ { 0 }  are stationary probabilities corresponding to the background processes of birth and death. We assume that the above stability conditions are met.
Theorem 5.
Kolmogorov Forward Equations
The Kolmogorov forward equations (or differential Chapman–Kolmogorov equations) describe the time evolution of the probability distribution of a Markov process (Gardiner [29]).
Let
H n , r ( t , x ) P r N ( t ) = n , I ( t ) ,     U ( t ) x , ( n , r ) ω \ { 0 } ,         t ,   x 0 ,
and
H 0 ( x ) l i m t P r N ( t ) = 0 ,     U ( t ) x ,                 x 0
The Kolmogorov forward equations for the Markov process { N ( t ) ,   I ( t ) ,   U ( t ) } are represented as follows:
H 0 ( t , x ) t = σ 0 H 0 ( t , x ) x λ H 0 ( t , x ) + k μ H 1,1 ( t , x ) ,
H 1 , r ( t , x ) t = σ H 1 , r ( t , x ) x λ + k μ H 1 , r ( t , x ) + k μ H 1 , r + 1 ( t , x ) , r = 1,2 , . . . k 1
H 1 , k ( t , x ) t = σ H 1 , k ( t , x ) x λ + k μ H 1 , k ( t , x ) + k μ H 2,1 ( t , x ) ,     n = 1 , r = k
H n , r ( t , x ) t = σ H n , r ( t , x ) x λ + k μ H n , r ( t , x ) + λ H n 1 , r ( t , x ) + k μ H n , r + 1 ( t , x ) ;   n > 1 ,   1 r < k
H n , k ( t , x ) t = σ H n , k ( t , x ) x λ + k μ H n , k ( t , x ) + λ H n 1 , k ( t , x ) + k μ H n + 1,1 ( t , x ) ; n > 1 , 1 r < k
Assume that the process is in an equilibrium state ( H n , r t , x ) / ( t ) 0 , and H n , r ( t , x ) H n , r ( x ) . Hence, the above system in Equations (5)–(7) is reduced to a set of ordinary differential equations (ODEs):
d H 0 ( x ) d x = λ σ 0 H 0 ( x ) + k μ σ 0 H 1,1 ( x ) ,
d H 1 , r ( x ) d x = λ + k μ σ H 1 , r ( x ) + k μ σ H 1 , r + 1 ( x ) ,     r = 1,2 , . . . k 1
d H 1 , k ( x ) d x = λ + k μ σ H 1 , k ( x ) + k μ σ H 2,1 ( x ) , n = 1 , r = k
d H n , r x d x = λ + k μ σ H n , r x + k μ σ H n , r + 1 x + λ σ H n 1 , r ( x ) ;     n > 1 ,     r = 1,2 , . . . , k 1
d H n , k ( x ) d x = λ + k μ σ H n , k ( x ) + λ σ H n 1 , k ( x ) + k μ σ H n + 1,1 ( x ) ;     n > 1 ,                 r = k
The buffer cannot remain empty because the buffer content increases with the net input rate of fluid flow into the buffer. Therefore, the solution to the above ODEs in Equations (10)–(14) must satisfy the boundary conditions as follows:
H n , r ( 0 ) = 0 ,                   ( n , r ) ω \ { 0 }   ,
and
P r { C = 0 } = H 0 ( 0 ) = a ,   for   some   constant   a     ( 0 < a < 1 )
The stationary probability of the empty fluid queue is expressed as follows:
a = d σ 0 = σ 0 π 0 + n = 1 r = 1 k σ π n , r σ 0 = σ 0 π 0 + σ ( 1 π 0 ) σ 0 .
Moreover, the following relation should also be satisfied:
H n , r ( ) l i m x H n , r ( x ) = π n , r ,               ( n , r ) ω .

3. Stationary Solution of a Fluid Queue Driven by M/Ek/1 Queue

In this section, we investigate the fluid model discussed in the previous section when it has a background process represented by an M / E k / 1 queue with mean arrival and service rates λ and k μ , respectively.
Let G ( z , x ) denote the moment-generating function of H n , r ( x ) and G ^ z , s the Laplace–Stieltjes transform of H n , r ( x ) .
Definition 1. 
Moment-Generating Function
The moment-generating function (MGF) of a random variable  X  is defined as  M X ( t ) = E [ e t X ] , where  E [ ]  denotes the expected value. The MGF provides a way to encode all the moments of a random variable into a single function (Florescu & Tudor [30]).
Definition 2.
Laplace–Stieltjes Transform
The Laplace–Stieltjes transform (LST) of a random variable  X  with cumulative distribution function  F ( x )  is defined as  L F = 0 e s X d F x .  The LST generalizes the Laplace transform to functions of cumulative distributions (Schiff [31]).
We have the following:
G ( z , x ) = σ 0 σ   H 0 ( x ) + n = 1 r = 1 k z k ( n 1 ) + r   H n , r ( x ) ,
 with  G ( z , 0 ) = σ 0   a σ .
G ^ z , s = e s x G ( z , x ) d x .
Multiplying Equation (10) through Equation (14) for each queue by the corresponding power of z and summing over all integer values of n, we obtain the following differential equation:
G ( z , x ) x = 1 σ ( λ + μ ) + μ z 1 + λ z k G z , x   + 1 σ μ σ 0 σ 1 z 1 1 σ 0 σ 1 z k H 0 x .
The solution to Equation (19) can be expressed as follows:
G ( z , x ) = a σ 0 σ   e x p 1 σ ( λ + μ ) x   . e x p   1 σ ( λ   z k + μ   z 1 ) x + k μ   σ 0 σ 2 ( 1 z 1 ) 0 x e x p 1 σ ( λ + μ ) ( x ζ ) .   e x p 1 σ ( λ z k + μ   z 1 ) ( x ζ )   H 0 ( ζ )   d ζ λ σ 1 σ 0 σ 1 z k 0 x e x p 1 σ λ + μ x ζ .   e x p 1 σ λ z k + μ   z 1 x ζ H 0 ζ d ζ .
The function e x p 1 r ( λ   z k + μ z 1 ) x embedded in the solution for the generating function (20) can be written as follows:
e x p 1 σ ( λ z k + μ z 1 ) x = n = r = 1 k ( β z ) k ( n 1 ) + r I ~ n k , r ( α x )
with α = 2 λ σ k μ σ k 1 k + 1 and β = λ k μ 1 k + 1 .
Here, the generalization of the second type of modified Bessel function is given by
I ~ n k , r ( x ) = ( x 2 ) n + k r   i = 0 ( x 2 ) i ( k + 1 ) ( k ( i + 1 ) r ) !   Γ ( n + i + 1 ) .
Replacing the expression for e x p 1 r ( λ   z k + μ   z 1 ) x in the solution for the generating function and comparing the coefficients of z on both sides, we obtain the following expressions for H n , r ( x ) :
For n 1 ,   r = 1,2 , . . . , k 1
H n , r ( x ) = a σ 0 σ   e x p 1 σ ( λ + μ ) x   .   ( β ) k ( n 1 ) + r   I ~ n k , r ( α x ) + k μ   σ 0 σ 2 ( β ) k ( n 1 ) + r 0 x e x p 1 σ ( λ + μ ) ( x ζ ) .     I ~ n k , r ( α ζ ) F H 0 ( x ζ ) d ζ k μ   σ 0 σ 2 ( β ) k ( n 1 ) + r + 1 0 x e x p 1 σ ( λ + μ ) ( x ζ ) .     I ~ n k , r + 1 ( α ζ ) H 0 ( x ζ ) d ζ + λ σ ( 1 σ 0 σ ) ( β ) k ( n 2 ) + r 0 x e x p 1 σ ( λ + μ ) ( x ζ ) .     I ~ n 1 k , r ( α ζ ) H 0 ( x ζ ) d ζ λ σ ( 1 σ 0 σ ) ( β ) k ( n 1 ) + r 0 x e x p 1 σ ( λ + μ ) ( x ζ ) .     I ~ n k , r ( α ζ ) H 0 ( x ζ ) d ζ
For n 1 ,   r = k ,
H n , k ( x ) = a σ 0 σ   e x p 1 σ ( λ + μ ) x   .   ( β ) k n   I ~ n k , k ( α x ) + k μ   σ 0 σ 2 ( β ) k n 0 x e x p 1 σ ( λ + μ ) ( x ζ ) .     I ~ n + 1 k , k ( α ζ ) H 0 ( x ζ ) d ζ k μ   σ 0 σ 2 ( β ) k n + 1 0 x e x p 1 σ ( λ + μ ) ( x ζ ) .     I ~ n + 1 k , 1 ( α ζ ) H 0 ( x ζ ) d ζ + λ σ ( 1 σ 0 σ ) ( β ) k n 1 0 x e x p 1 σ ( λ + μ ) ( x ζ ) .     I ~ n 1 k , k ( α ζ ) H 0 ( x ζ ) d ζ λ σ ( 1 σ 0 σ ) ( β ) k n 0 x e x p 1 σ ( λ + μ ) ( x ζ ) .     I ~ n k , k ( α ζ ) H 0 ( x ζ ) d ζ .
Laplace-transforming Equation (19) with respect to x simplifies to the following result:
G ^ ( z , s ) = z a σ 0 + k μ σ 0 σ ( 1 z 1 ) λ ( 1 σ 0 σ ) ( 1 z k ) H ^ 0 ( s ) λ σ z k + 1 + ( s + λ + k μ σ ) z k μ σ
Note that the denominator in Equation (24) is a polynomial of degree k + 1 in z, so the root is k + 1. However, according to Rouch’s theorem, there is only one zero within the unit circle (say z 0 ( s ) ).
As z 0 ( s ) should also satisfy the numerator of G ^ ( z , s ) , it follows that
H ^ 0 ( s ) = a   σ 0 k μ   σ 0 σ ( z 0 1 ( s ) 1 ) λ ( σ 0 σ 1 ) ( 1 z 0 k + 1 ( s ) )
After some simplifications, Equation (25) leads to the following:
H ^ 0 ( s ) = a   σ k μ n = 0 i = 0 n z 0 i + 1 ( s )     g n i ( s ) ,
and
  g ( s ) = λ ( σ 0 σ )     k μ   σ 0 l = 1 k [ z 0 ( s ) ] l
With an inversion of Equation (24), we obtain
H 0 ( x ) = a σ k μ n = 0 i = 0 n [ z 0 ( x ) ] ( i + 1 ) [ g ( x ) ] ( n i ) ,
and
g ( x ) = λ ( σ 0 σ ) k μ σ 0 l = 1 k [ z 0 ( x ) ] l .
Here, n denotes the n-fold convolution.
The proposed method by Luchak [32,33] can be used for the calculation of the inverse Laplace transform.
[ z 0 ( x ) ] ν = L 1 [ z 0 ( s ) ] ν = k μ   ν τ τ ν ν ! + n = 1 θ n n !   τ n ( k + 1 ) ν ( n k + ν ) !   e ( 1 + θ ) τ
where τ = k μ x σ and θ = λ k μ .
Therefore, the closed-form expressions for H n , r ( x ) of both models as given by Equations (21) and (22) are obtained analytically. Therefore, the stationary distribution of the buffer content is given as follows:
H ( x ) = l i m t P r ( U ( t ) x ) = H 0 ( x ) + n = 1 r = 1 k H n , r ( x ) H ( x ) = a   σ 0 σ + ( 1 σ 0 σ   ) H 0 ( x ) .
Furthermore, all joint steady-state probabilities are explicitly determined by a new generalization of the modified Bessel function of the second kind.

4. Some Performance Measures of Fluid Models

Some critical performance measures are discussed in this section. The following provides the formulation for these measures.

4.1. Server Utilization

The probability that a buffer is nonempty is given by
Utilization = 1 ( H 0 ( 0 ) + n = 1 r = 1 k H n . r ( 0 ) ) = 1 H 0 ( 0 ) ,
or
Utilization = 1 a ,   0 < a < 1 ,
where
a = d σ 0 = ( σ 0 σ ) ( 1 ρ ) + σ σ 0 .
Thus, the equilibrium condition of the fluid queue is
ρ < 1 ,   d < 0   and   0 < a < 1 .

4.2. Expected Buffer Content

The expected buffer content ( U ) can be written as
E ( U ) = 0 1 H ( x )   d x = 0 1 a   σ 0 σ ( 1 σ 0 σ ) H 0 ( x )   d x .

4.3. The Throughput, TFluid

A fluid commodity’s throughput in a fluid queue is determined by
T Fluid = Output   rate × P ( U > 0 ) = σ 0 ( 1 H ( 0 ) ) = σ 0 { 1 a   σ 0 σ ( 1 σ 0 σ ) H 0 ( 0 ) } = σ 0 ( 1 a ) .

5. Numerical Example and Observations

For k = 2 in the above equations, we obtain the following:
H ( x ) = a   σ 0 σ + ( 1 σ 0 σ   ) H 0 ( x ) E ( U ) = 0 1 H ( x )   d x = 0 1 a   σ 0 σ ( 1 σ 0 σ ) H 0 ( x )   d x .
H 0 ( x ) = a   σ k μ n = 0 i = 0 n [ z 0 ( x ) ] ( i + 1 )     [ g ( x ) ] ( n i )
with   g ( x ) = λ ( σ 0 σ )     k μ   σ 0 l = 1 2 [ z 0 ( x ) ] l ,
z 0 ( x ) = k μ σ   e ( λ + k μ σ ) x + n = 1 λ n ( k μ ) n n ! ( 2 n + 1 ) !   ( k μ σ ) 3 n + 1 x 3 n   e ( λ + k μ σ ) x
and
  g ( x ) = λ ( σ 0 σ )     k μ   σ 0 l = 1 k [ z 0 ( x ) ] l ,
a = ( σ 0 σ ) ( μ 2 λ ) + σ k μ k μ   σ 0 .
It is easy to show that for k = 2 we obtain the results for the M / E 2 / 1 model in Vijayashree and Anjuka [34].
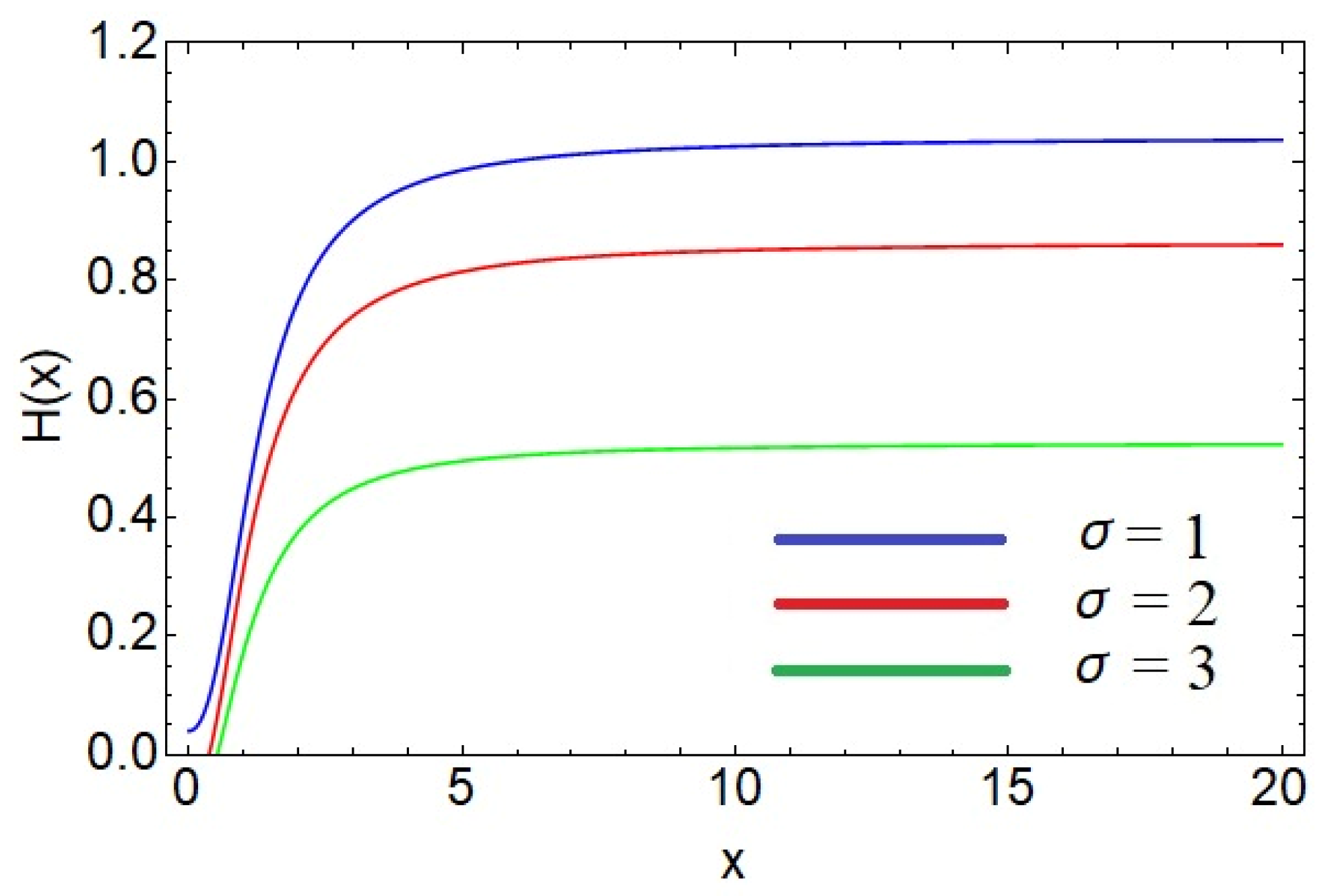
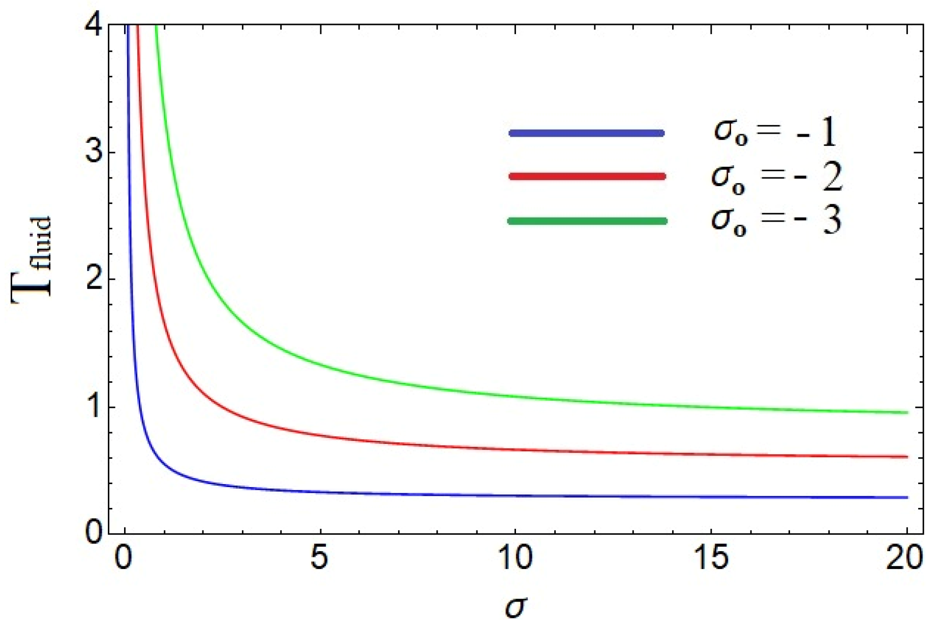
For various values of the parameters, the variations in the stationary distribution H(x) of the buffer content x and the expected buffer content are shown. Figure 1 depicts the distribution of buffer content as a function of buffer size x for λ = 1 ,   μ = 4.5 ,   k = 2 , and σ 0 = 4 for different values of σ . Figure 2 presents the corresponding behavior of the expected buffer content against μ ( μ > 2 ) for the same set of parameter values. Figure 3 depicts the curve for TFluid as a function of μ ( μ > 2 ) by taking σ0 = −3, −2, and −1.

6. Conclusions

In this work, a fluid queue model driven by an M / E k / 1 queue was investigated with discouraged arrivals. The symmetrical properties inherent in the Erlang distribution and the queueing process are crucial in simplifying the analysis. Using the computable generating function method, the steady-state distribution of buffer occupancy was derived in terms of a new generalization of the modified Bessel function of the second kind. As shown in Figure 1, H(x) is an increasing function; as the waiting space limit increases, the distribution of the buffer content decreases σ . For the cumulative distribution function of buffer occupancy, it was observed that there is a positive mass at x 0 and H ( x ) converges to 1 as x tends to infinity. Therefore, this means that the buffer occupancy has a mixed distribution, and Figure 2 shows the mean of the stationary buffer content with service rate μ . Also, Figure 3 shows the TFluid with the net input rate σ . Finally, some performance metrics such as server utilization, mean buffer content, and fluid commodity throughput in the fluid queue were obtained.

Future Research Directions

To further advance the study of fluid queueing systems driven by M / E k / 1 queues, we plan to explore several avenues of research.
  • Generalization to Multiclass Systems
We aim to extend the current model to multiclass queueing systems, where different classes of customers have distinct arrival and service processes. This would involve analyzing how the presence of multiple customer classes affects the fluid buffer dynamics and deriving the corresponding performance metrics.
2.
Incorporation of Priority Schemes
This involves investigating the impact of various priority schemes on the performance of fluid queues. By incorporating priority disciplines, such as preemptive and non-preemptive priorities, we can better understand how different scheduling policies influence the buffer content and system stability.
3.
Transient Analysis
We aim to develop a comprehensive transient analysis of the fluid queue. While our current work focuses on steady-state behavior, examining transient behavior will provide insights into the system’s performance during non-equilibrium states, particularly during periods of high variability in arrival and service rates.
4.
Impact of Network Topologies
We would like to extend the analysis to more complex network topologies, where multiple fluid queues are interconnected. Studying the interactions between different queues and their collective impact on overall system performance will be critical for applications in large-scale networked systems.
5.
Numerical and Simulation Studies
We will implement extensive numerical and simulation studies to validate our theoretical findings. These studies will help verify the accuracy of our models under various scenarios and provide practical insights into the behavior of fluid queues in real-world settings.
6.
Optimal Control Policies
We will explore optimal control policies for fluid queueing systems, including the dynamic adjustment of service rates and buffer management strategies to optimize performance metrics such as average delay, buffer occupancy, and system throughput.

Author Contributions

Conceptualization, M.S.E.-P. and T.R.; Methodology, M.S.E.-P. and T.R.; Software, M.S.E.-P. and T.R.; Validation, M.S.E.-P. and T.R.; Formal analysis, M.S.E.-P. and T.R.; Investigation, M.S.E.-P. and T.R.; Resources, M.S.E.-P. and T.R.; Data curation, M.S.E.-P. and T.R.; Writing—original draft, M.S.E.-P. and T.R.; Writing—review & editing, M.S.E.-P. and T.R.; Visualization, M.S.E.-P. and T.R.; Supervision, M.S.E.-P. and T.R.; Project administration, M.S.E.-P. and T.R.; Funding acquisition, T.R. All authors have read and agreed to the published version of the manuscript.

Funding

The researchers would like to thank the Deanship of Graduate Studies and Scientific Research at Qassim University for financial support (QU-APC-2024-9/1).

Data Availability Statement

Data are contained within the article.

Acknowledgments

The Researchers would like to thank the Deanship of Graduate Studies and Scientific Research at Qassim University for financial support (QU-APC-2024-9/1).

Conflicts of Interest

The authors declare no conflicts of interest.

References

  1. Adan, I.; Resing, J. Simple analysis of a fluid queue driven by an M/M/1 queue. Queueing Syst. 1996, 22, 171–174. [Google Scholar] [CrossRef]
  2. Anick, D.; Mitra, D.; Sondhi, M.M. Stochastic theory of a data-handling system with multiple sources. Bell Syst. Tech. J. 1982, 61, 1871–1894. [Google Scholar] [CrossRef]
  3. Barbot, N.; Sericola, B. Stationary Solution to the Fluid Queue Fed by an M/M/1 Queue. J. Appl. Probab. 2002, 39, 359–369. [Google Scholar] [CrossRef][Green Version]
  4. Kulkarni, V.G. Fluid models for single buffer systems. In Frontiers in Queueing: Models and Applications in Science and Engineering; Dhashalow, J., Ed.; CRC Press: Boca Raton, FL, USA, 1997; pp. 321–338. [Google Scholar]
  5. Mitra, D. Stochastic theory of a fluid model of producers and consumers coupled by a buffer. Adv. Appl. Probab. 1988, 20, 646–676. [Google Scholar] [CrossRef]
  6. Ammar, S.I.; Samanta, S.K.; Kilany, N.M.; Jiang, T. Analysis of Stationary Fluid Queue Driven by State-Dependent Birth-Death Process Subject to Catastrophes. Sci. Iran. 2022. [Google Scholar] [CrossRef]
  7. El-paoumy, M.S.; Radwan, T. A matrix approach for stationary analysis fluid model driven by an M/M/1/N queue with discouraged arrivals. J. Egypt. Math. Soc. 2020, 28, 14. [Google Scholar] [CrossRef]
  8. Darwiesh, A.; Tarabia, A.; El-Baz, A. A New Analysis of a Fluid Queue Driven By M/M/1 Queue. J. Stat. Appl. Pro. 2022, 10, 865–869. [Google Scholar]
  9. Parthasarathy, P.R.; Vijayashree, K.V.; Lenin, R.B. An M/M/1 driven fluid queue–continued fraction approach. Queueing Syst. 2002, 42, 189–199. [Google Scholar] [CrossRef]
  10. Mao, B.; Wang, F.; Tian, N. Fluid model driven by an M/M/1 queue with multiple exponential vacations. In Proceedings of the 2nd International Conference on Advanced Computer Control (ICACC), Shenyang, China, 27–29 March 2010; Volume 3, pp. 112–115. [Google Scholar]
  11. Viswanathan, A.; Vandana, G.; Dharmaraja, S. A fluid queue modulated by two independent birth-death processes. Comput. Math. Appl. 2010, 60, 2433–2444. [Google Scholar]
  12. Ammar, S.I. Analysis of an M/M/1 driven fluid queue with multiple exponential vacations. Appl. Math. Comput. 2014, 227, 227–334. [Google Scholar] [CrossRef]
  13. Madhu, J.; Anshul, K. Effect of disaster and balking on M/M/1 driven fluid queue with working vacation. Int. J. Math. Oper. Res. 2022, 23, 359–371. [Google Scholar]
  14. Vijayalakshmi, T.; Thangaraj, V. Transient analysis of a fluid queue driven by a chain sequenced birth and death process with catastrophes. Int. J. Math. Oper. Res. 2016, 8, 164–184. [Google Scholar] [CrossRef]
  15. Guillemin, F.; Sericola, B. Volume and duration of losses in finite buffer fluid queues. J. Appl. Probab. 2015, 52, 826–840. [Google Scholar] [CrossRef]
  16. Sericola, B. Markov Chains: Theory, Algorithms and Applications; ISTE Series; Wiley: Hoboken, NJ, USA, 2013. [Google Scholar]
  17. Magalhães, M.C.; Melo, P. Fluid approximations for a Markovian queue with batch arrivals and phase-type services. J. Appl. Probab. 2019, 56, 463–481. [Google Scholar]
  18. Breuer, L.; Baum, D. An Introduction to Queueing Theory and Matrix-Analytic Methods; Springer: Berlin/Heidelberg, Germany, 2016. [Google Scholar]
  19. He, Q.M.; Zhang, H. On Erlang loss models with Markov modulated arrivals. Oper. Res. Lett. 2008, 36, 707–712. [Google Scholar]
  20. Stanford, D.A.; Zazanis, M.A. Queueing models in health care. Oper. Res. Health Care 2020, 25, 100258. [Google Scholar]
  21. Blanc, J.P.C.; Kim, J. Steady-state analysis of fluid queueing systems with finite buffer space. Stoch. Models 2019, 35, 381–407. [Google Scholar]
  22. Nielsen, B.F.; Nielsen, B. The moment generating function of the waiting time distribution in the M/G/1 queue. Queueing Syst. 2018, 89, 45–59. [Google Scholar]
  23. Adan, I.; Kulkarni, V.G.; Lee, J. A survey of fluid and diffusion approximations for queues: Theorems, methods and applications. Queueing Syst. 2019, 91, 349–386. [Google Scholar]
  24. Baccelli, F.; Foss, S. On the fluid approximation of fluid queueing networks. Perform. Eval. Rev. 2018, 46, 60–71. [Google Scholar]
  25. Gross, D.; Shortle, J.F.; Thompson, J.M.; Harris, C.M. Fundamentals of Queueing Theory, 4th ed.; Wiley: Hoboken, NJ, USA, 2008. [Google Scholar]
  26. Kingman, J.F.C. Poisson Processes; Oxford University Press: Oxford, UK, 1993. [Google Scholar]
  27. Tijms, H.C. A First Course in Stochastic Models; Wiley: Hoboken, NJ, USA, 2003. [Google Scholar]
  28. Norris, J.R. Markov Chains; Cambridge University Press: Cambridge, UK, 1997. [Google Scholar]
  29. Gardiner, C.W. Handbook of Stochastic Methods: For Physics, Chemistry and the Natural Sciences; Springer: Berlin/Heidelberg, Germany, 2004. [Google Scholar]
  30. Florescu, I.; Tudor, C.A. Handbook of Probability; Wiley: Hoboken, NJ, USA, 2013. [Google Scholar]
  31. Schiff, J.L. The Laplace Transform: Theory and Applications; Springer: Berlin/Heidelberg, Germany, 1999. [Google Scholar]
  32. Luchak, G. The solution of the single-channel queueing equations characterized by a time-dependent Poisson-distributed arrival rate and a general class of holding times. Oper. Res. 1956, 4, 711–732. [Google Scholar] [CrossRef]
  33. Luchak, G. The continuous time solution of the equations of the single channel queue with a general class of service-time distributions by the method of generating functions. J. R. Stat. Soc. Ser. B 1958, 20, 176–181. [Google Scholar] [CrossRef]
  34. Vijayashree, K.V.; Anjuka, A. Fluid queue driven by an M/E2/1 queueing model. In Computational Intelligence, Cyber Security and Computational Models: Proceedings of ICC3 2015; Springer: Singapore, 2016; pp. 493–504. [Google Scholar]
Figure 1. The variations in the buffer content distribution H ( x ) vs. the buffer size x for different values of σ .
Figure 1. The variations in the buffer content distribution H ( x ) vs. the buffer size x for different values of σ .
Symmetry 16 00909 g001
Figure 2. The variations in the expected buffer content E ( U ) against μ .
Figure 2. The variations in the expected buffer content E ( U ) against μ .
Symmetry 16 00909 g002
Figure 3. The variations in throughput of the fluid commodity in the fluid queue (TFluid) against σ .
Figure 3. The variations in throughput of the fluid commodity in the fluid queue (TFluid) against σ .
Symmetry 16 00909 g003
Disclaimer/Publisher’s Note: The statements, opinions and data contained in all publications are solely those of the individual author(s) and contributor(s) and not of MDPI and/or the editor(s). MDPI and/or the editor(s) disclaim responsibility for any injury to people or property resulting from any ideas, methods, instructions or products referred to in the content.

Share and Cite

MDPI and ACS Style

El-Paoumy, M.S.; Radwan, T. Symmetry and Analysis of Fluid Queueing Systems Driven by Non-Truncated Erlangian Service Queues. Symmetry 2024, 16, 909. https://doi.org/10.3390/sym16070909

AMA Style

El-Paoumy MS, Radwan T. Symmetry and Analysis of Fluid Queueing Systems Driven by Non-Truncated Erlangian Service Queues. Symmetry. 2024; 16(7):909. https://doi.org/10.3390/sym16070909

Chicago/Turabian Style

El-Paoumy, Mahdy Shebl, and Taha Radwan. 2024. "Symmetry and Analysis of Fluid Queueing Systems Driven by Non-Truncated Erlangian Service Queues" Symmetry 16, no. 7: 909. https://doi.org/10.3390/sym16070909

APA Style

El-Paoumy, M. S., & Radwan, T. (2024). Symmetry and Analysis of Fluid Queueing Systems Driven by Non-Truncated Erlangian Service Queues. Symmetry, 16(7), 909. https://doi.org/10.3390/sym16070909

Note that from the first issue of 2016, this journal uses article numbers instead of page numbers. See further details here.

Article Metrics

Back to TopTop