Bénard–Marangoni Convection in an Open Cavity with Liquids at Low Prandtl Numbers
Abstract
1. Introduction
2. Numerical Procedure
2.1. Basic Assumptions and Governing Equations
2.2. The Numerical Method
3. Results and Discussion
3.1. Conductive State
3.2. Critical Bifurcation
3.3. Supercritical Bifurcation
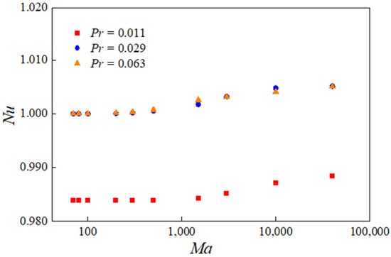
3.4. Heat and Mass Transfer
4. Conclusions
- For small Ma, the liquid metal in the cavity is conduction by conduction, and there is no convection.
- For Ma~Mac, the symmetry of flow is broken down, Bénard–Marangoni convection occurs and the hexagonal cells may be found on the surface. The critical Marangoni number agrees with that of fluids at Pr > 1. In the hexagonal cells in this study, the centers of the cells are cooler than the outer regions, which are different with the cells of fluid at Pr > 1. This phenomenon agrees with the prediction of Rosenblat [17].
- For Ma >> Mac, supercritical bifurcations may occur and are described by a supercritical number as Ma increases further. When the supercritical number is increased, the pattern of cells losses symmetry and becomes complex, the sizes of cells on the top surface decrease. Seen from the flow in the middle slice of the fluid at x = 0, the higher the supercritical number is, the thinner thermal boundary layers are, and the more intensive of the velocity columns are, indicating a stronger convection with higher Marangoni number.
- Heat and mass transfer in the transition route are quantified. The area-weighted mean velocity magnitude at the top boundary follows a scaling of um~Ma Pr−2/3, which is a new scaling, which means the mass transfer may be enhanced by high Marangoni numbers and low Prandtl numbers. The Nusselt number is approximately constant for Ma ≤ 400 but increases slowly for Ma > 400, indicating that the heat transfer may be enhanced by increasing the Marangoni number.
Author Contributions
Funding
Data Availability Statement
Acknowledgments
Conflicts of Interest
Nomenclature
| Bi | Biot number |
| H | Height of cuboid pool, m |
| h | Surface heat transfer coefficient |
| L | Length of cuboid pool, m |
| Ma | Marangoni number, α(θb − θs)H/ρνκ |
| Mac | Critical Marangoni number |
| Nu | Nusselt number |
| Pr | Prandtl number, ν/κ |
| p* | Dimensional pressure, kg m−1 s−2 |
| p | Dimensionless pressure |
| S | Dimensionless area of the bottom boundary |
| T | Temperature |
| t* | Dimensional time, s |
| t | Dimensionless time |
| um | Velocity magnitude of the fluid in the cavity, (u2 + v2 + w2)1/2 |
| (um)max | Maximum velocity magnitude of the fluid |
| (um)min | Minimum velocity magnitude of the fluid |
| u, v, w | x-, y- and z-velocity |
| W | Width of cuboid pool, m |
| x*, y*, z* | Dimensional coordinates, m |
| x, y, z | Dimensionless coordinates |
| α | Temperature coefficient of surface tension |
| ε | Supercritical number |
| θ | Dimensional temperature, K |
| θs | Dimensional temperature of the top boundary, K |
| θb | Dimensional temperature of the heating bottom boundary, K |
| θ0 | Dimensional temperature of the air, K |
| θmax | Maximum temperature on the top surface, K |
| θmin | Minimum temperature on the top surface, K |
| κ | Thermal diffusivity, m2 s−1 |
| λ | Thermal conductivity of working fluid |
| ν | Kinematic viscosity, m2 s−1 |
| ρ | Density, kg m−3 |
References
- Chen, S.; Zhang, Z.; Zhang, Y.; Sha, Y. A three-dimensional multiphase numerical model for the influence of Marangoni convection on Marangoni self-driven object. Phys. Fluids 2022, 34, 043308. [Google Scholar] [CrossRef]
- Wissink, J.G.; Herlina, H. Surface-temperature-induced Marangoni effects on developing buoyancy-driven flow. J. Fluid Mech. 2023, 962, A23. [Google Scholar] [CrossRef]
- Wang, H.; Liu, D.; Zheng, C.; Zhao, J.; Chang, J.; Hu, L.; Liao, H.; Geng, D.; Xie, W.; Wei, B. Spiral eutectic growth dynamics facilitated by space Marangoni convection and liquid surface wave. Phys. Fluids 2024, 36, 047137. [Google Scholar] [CrossRef]
- Bénard, H. Les tourbillons cellulaires dans une nappe liquide. Rev. Gén. Sci. Pures Appl. 1900, 11, 1261–1271, 1309–1328. [Google Scholar]
- Block, M.J. Surface tension as the cause of Bénard cells and surface deformation in a liquid film. Nature 1956, 178, 650–651. [Google Scholar] [CrossRef]
- Pearson, J.R.A. On convection cells induced by surface tension. J. Fluid Mech. 1958, 4, 489–500. [Google Scholar] [CrossRef]
- Nield, D.A. Surface tension and buoyancy effects in cellular convection. J. Fluid Mech. 1964, 19, 341–352. [Google Scholar] [CrossRef]
- Scriven, L.E.; Sternling, C.V. On cellular convection driven by surface-tension gradients: Effects of mean surface tension and surface viscosity. J. Fluid Mech. 1964, 19, 321–340. [Google Scholar] [CrossRef]
- Zhao, Y.; Wu, D.; Duan, L.; Wang, J.; Li, J.; Duan, L.; Kang, Q. Turbulence structure of the Rayleigh–Bénard convection using liquid CO2 as working fluid. Phys. Fluids 2024, 36, 015132. [Google Scholar] [CrossRef]
- Wu, D.; Duan, L.; Kang, Q. Defects of Bénard cell on a propagating front. Phys. Fluids 2020, 32, 024107. [Google Scholar] [CrossRef]
- Jeyabalan, S.R.; Chertovskih, R.; Gama, S.; Zheligovsky, V. Nonlinear Large-Scale Perturbations of Steady Thermal Convective Dynamo Regimes in a Plane Layer of Electrically Conducting Fluid Rotating about the Vertical Axis. Mathematics 2022, 10, 2957. [Google Scholar] [CrossRef]
- Ma, X.; Huang, Y.; Huang, Y.; Liu, Z.; Li, Z.; Floryan, J.M. Experiments on Marangoni spreading–evidence of a new type of interfacial instability. J. Fluid Mech. 2023, 958, A33. [Google Scholar] [CrossRef]
- Koschmieder, E.L.; Biggerstaff, M.I. Onset of surface-tension-driven Bénard convection. J. Fluid Mech. 1986, 167, 49–64. [Google Scholar] [CrossRef]
- Schatz, M.F.; VanHook, S.J.; McCormick, W.D.; Swift, J.B.; Swinney, H.L. Onset of Surface-Tension-Driven Bénard Convection. Phys. Rev. Lett. 1995, 75, 1938–1941. [Google Scholar] [CrossRef] [PubMed]
- Nitschke, K.; Thess, A. Secondary instability in surface-tension-driven Bénard convection. Phys. Rev. E 1995, 52, R5772–R5775. [Google Scholar] [CrossRef] [PubMed]
- Koschmieder, E.L.; Switzer, D.W. The wavenumbers of supercritical surface-tension-driven Bénard convection. J. Fluid Mech. 1992, 240, 533–548. [Google Scholar] [CrossRef]
- Rosenblat, S.; Davis, S.H.; Homsy, G.M. Nonlinear Marangoni convection in bounded layers. Part 1. Circular cylindrical containers. J. Fluid Mech. 1982, 120, 91–122. [Google Scholar] [CrossRef]
- Ginde, R.M.; Gill, W.N.; Verhoeven, J.D. An experimental study of Reyleigh-Benard convection in liquid Tin. Chem. Eng. Commun. 1989, 82, 223–228. [Google Scholar] [CrossRef]
- Boeck, T.; Thess, A. Turbulent Bénard-Marangoni Convection: Results of Two-Dimensional Simulations. Phys. Rev. Lett. 1998, 80, 1216–1219. [Google Scholar] [CrossRef]
- Boeck, T.; Thess, A. Bénard–Marangoni convection at low Prandtl number. J. Fluid Mech. 1999, 399, 251–275. [Google Scholar] [CrossRef]
- Boeck, T. Bénard–Marangoni convection at large Marangoni numbers: Results of numerical simulations. Adv. Space Res. 2005, 36, 4–10. [Google Scholar] [CrossRef]
- Boeck, T.; Thess, A. Inertial Bénard–Marangoni convection. J. Fluid Mech. 1997, 350, 149–175. [Google Scholar] [CrossRef]
- Awwad, F.A.; Ismail, E.A.A.; Gul, T. Heat and Mass Transfer Gravity Driven Fluid Flow over a Symmetrically-Vertical Plane through Neural Networks. Symmetry 2023, 15, 1288. [Google Scholar] [CrossRef]
- Wang, S.; Niu, S.; Li, X.; He, G. An Experimental Study of the Effects of Asymmetric Pitching Motion on the Hydrodynamic Propulsion of a Flapping Fin. Symmetry 2024, 16, 302. [Google Scholar] [CrossRef]
- Ye, Z.; Chen, Y.; Yang, C.; Wu, D.; Wang, J.; Hu, L.; Duan, L.; Kang, Q. The Mechanism of Droplet Thermocapillary Migration Coupled with Multi-Physical Fields. Symmetry 2023, 15, 2069. [Google Scholar] [CrossRef]
- Chen, E.; Xu, F. Transient Marangoni convection induced by an isothermal sidewall of a rectangular liquid pool. J. Fluid Mech. 2021, 928, A6. [Google Scholar] [CrossRef]
- Villers, D.; Platten, J.K. Influence of interfacial tension gradients on thermal convection in two superposed immiscible liquid layers. Appl. Sci. Res. 1990, 47, 177–191. [Google Scholar] [CrossRef]
- Guo, Z.; Li, J.; Li, K.; Zhao, J.; Hu, W. Dependency of transition in thermocapillary convection on volume ratio in annular pools of large-Pr fluid in microgravity. Int. J. Heat Mass Transf. 2023, 208, 124059. [Google Scholar] [CrossRef]
- Meng, X.; Chen, E.; Xu, F. Thermocapillary convection in a cuboid pool with a sidewall of different temperature sections. Int. Commun. Heat Mass Transf. 2024, 155, 107549. [Google Scholar] [CrossRef]
- Li, Y.-R.; Imaishi, N.; Azami, T.; Hibiya, T. Three-dimensional oscillatory flow in a thin annular pool of silicon melt. J. Cryst. Growth 2004, 260, 28–42. [Google Scholar] [CrossRef]
- Liu, T.; Sen, P.; Kim, C.-J. Characterization of nontoxic liquid-metal alloy Galinstan for applications in microdevices. J. Microelectromech. Syst. 2012, 21, 443–450. [Google Scholar] [CrossRef]
- Gao, Y.; Wang, L.; Li, H.; Liu, J. Liquid metal as energy transportation medium or coolant under harsh environment with temperature below zero centigrade. Front. Energy 2013, 8, 49–61. [Google Scholar] [CrossRef]
- Rosenblat, S.; Homsy, G.M.; Davis, S.H. Nonlinear Marangoni convection in bounded layers. Part 2. Rectangular cylindrical containers. J. Fluid Mech. 1982, 120, 123–138. [Google Scholar] [CrossRef]
- Bragard, J.; Lebon, G. Non-Linear Marangoni Convection in a Layer of Finite Depth. Europhys. Lett. 1993, 21, 831. [Google Scholar] [CrossRef]









Disclaimer/Publisher’s Note: The statements, opinions and data contained in all publications are solely those of the individual author(s) and contributor(s) and not of MDPI and/or the editor(s). MDPI and/or the editor(s) disclaim responsibility for any injury to people or property resulting from any ideas, methods, instructions or products referred to in the content. |
© 2024 by the authors. Licensee MDPI, Basel, Switzerland. This article is an open access article distributed under the terms and conditions of the Creative Commons Attribution (CC BY) license (https://creativecommons.org/licenses/by/4.0/).
Share and Cite
Jiang, H.; Liao, W.; Chen, E. Bénard–Marangoni Convection in an Open Cavity with Liquids at Low Prandtl Numbers. Symmetry 2024, 16, 844. https://doi.org/10.3390/sym16070844
Jiang H, Liao W, Chen E. Bénard–Marangoni Convection in an Open Cavity with Liquids at Low Prandtl Numbers. Symmetry. 2024; 16(7):844. https://doi.org/10.3390/sym16070844
Chicago/Turabian StyleJiang, Hao, Wang Liao, and Enhui Chen. 2024. "Bénard–Marangoni Convection in an Open Cavity with Liquids at Low Prandtl Numbers" Symmetry 16, no. 7: 844. https://doi.org/10.3390/sym16070844
APA StyleJiang, H., Liao, W., & Chen, E. (2024). Bénard–Marangoni Convection in an Open Cavity with Liquids at Low Prandtl Numbers. Symmetry, 16(7), 844. https://doi.org/10.3390/sym16070844

