Dynamic Interactions: Non-Integer-Order Heat-Mass Transfer in Magnetohydrodynamic Flow of Non-Newtonian Fluid over Inclined Plates
Abstract
1. Introduction
- The magnetic field is fixed with respect to the fluid (MFFRF).
- The magnetic field is fixed with respect to the plate (MFFRP).
- The investigation of heat-mass transfer for a class of Maxwell fluids (a sub-class of non-Newtonian fluids) with ABC-FoO over an inclined porous medium;
- The fluid dynamics are affected by the plate’s inclination and the magnetic field’s slanted angle. Furthermore, by adjusting the plate’s inclination and slanted angle, we may talk about the situations involving horizontal and vertical plates as well as coplanar and transverse magnetic field influences;
- The general functions of time determine the general plate motion, concentration and temperature distribution of the plate, and these are taken into consideration in our model;
- The LT method and Stehfest’s numerical inversion algorithm along with the undetermined coefficient method are utilized to solve the model with respective initial and boundary conditions;
- For the validation of our investigation, several results from the literature can be recovered from our general solutions by customizing the parameters and functions in our generalized results. Thus, the issue interconnected to comparable models is entirely resolved;
- Several cases for the general motion of the plate and generalized boundary conditions are discussed;
- A thorough parametric analysis is performed using graphical analysis, and useful conclusions are recorded that help to optimize various processes and the developments of innovative technologies.
2. Problem Statement
2.1. Formulation of Proposed Problem
2.2. The Fractional Analogue of the Model
3. Solution of Problem
3.1. Solution for Temperature Field
3.2. Solution for Concentration Field
3.3. Solution for Velocity Field
3.4. Calculation of Shear Stress
4. Validation of Obtained Results
5. Results and Discussion
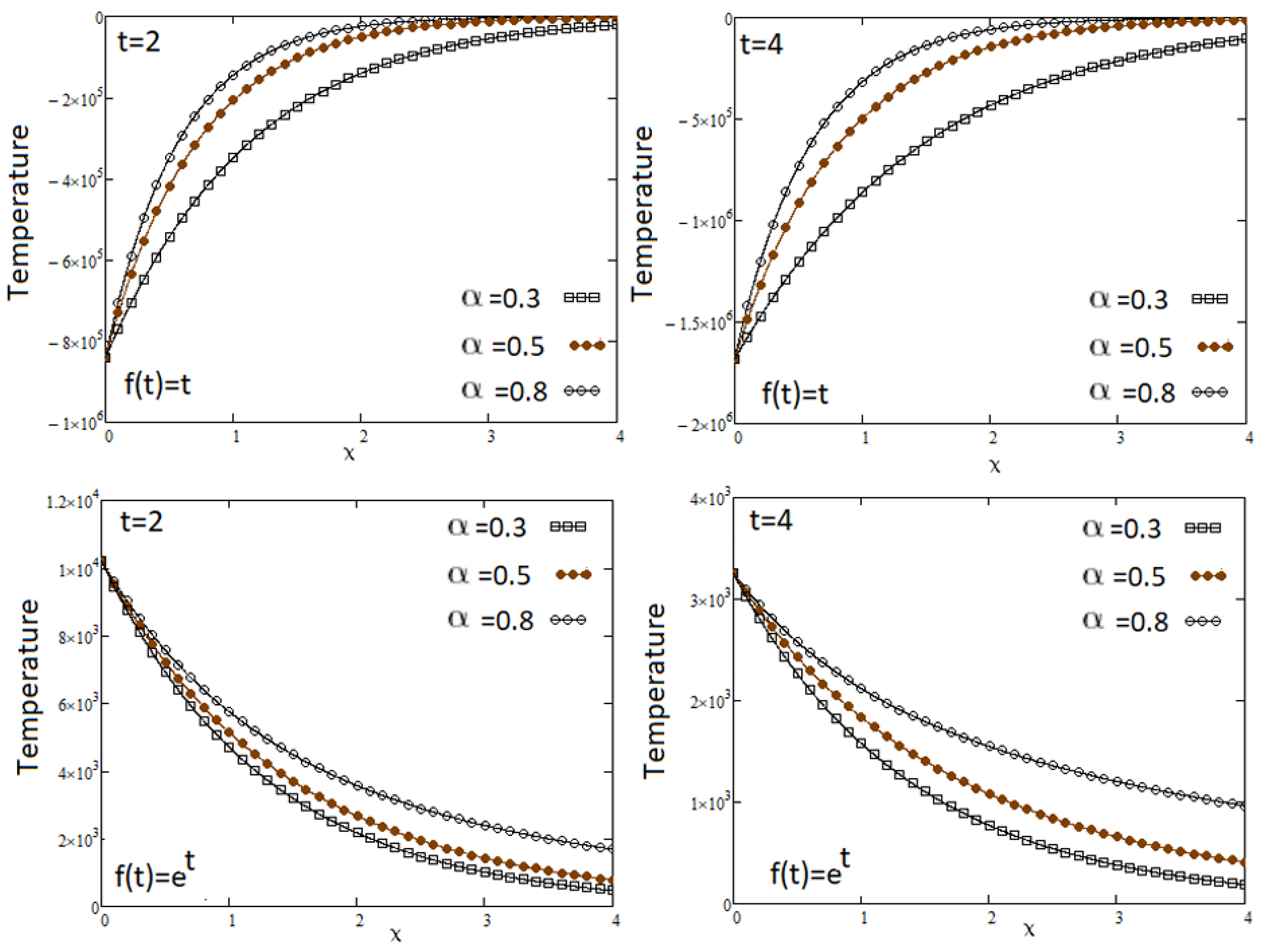
5.1. Dimensionless Temperature Profiles
- (a)
- Influence of fractional-order parameter
- (b)
- Influence of effective Prandtl number
5.2. Dimensionless Concentration Profiles
- (a)
- Influence of chemical reaction parameter
- (b)
- Influence of fractional-order parameter
- (c)
- Influence of Schmidt number
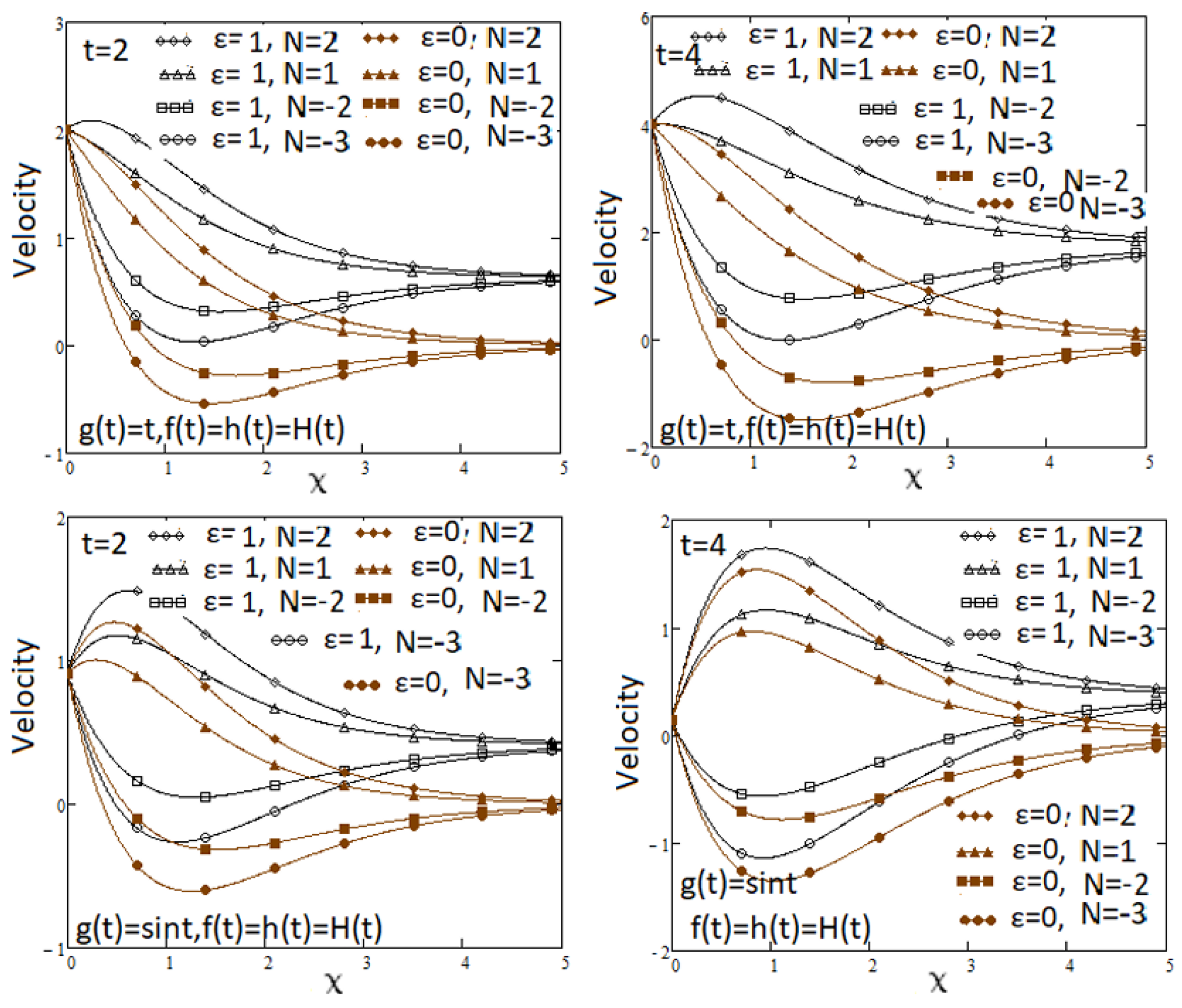
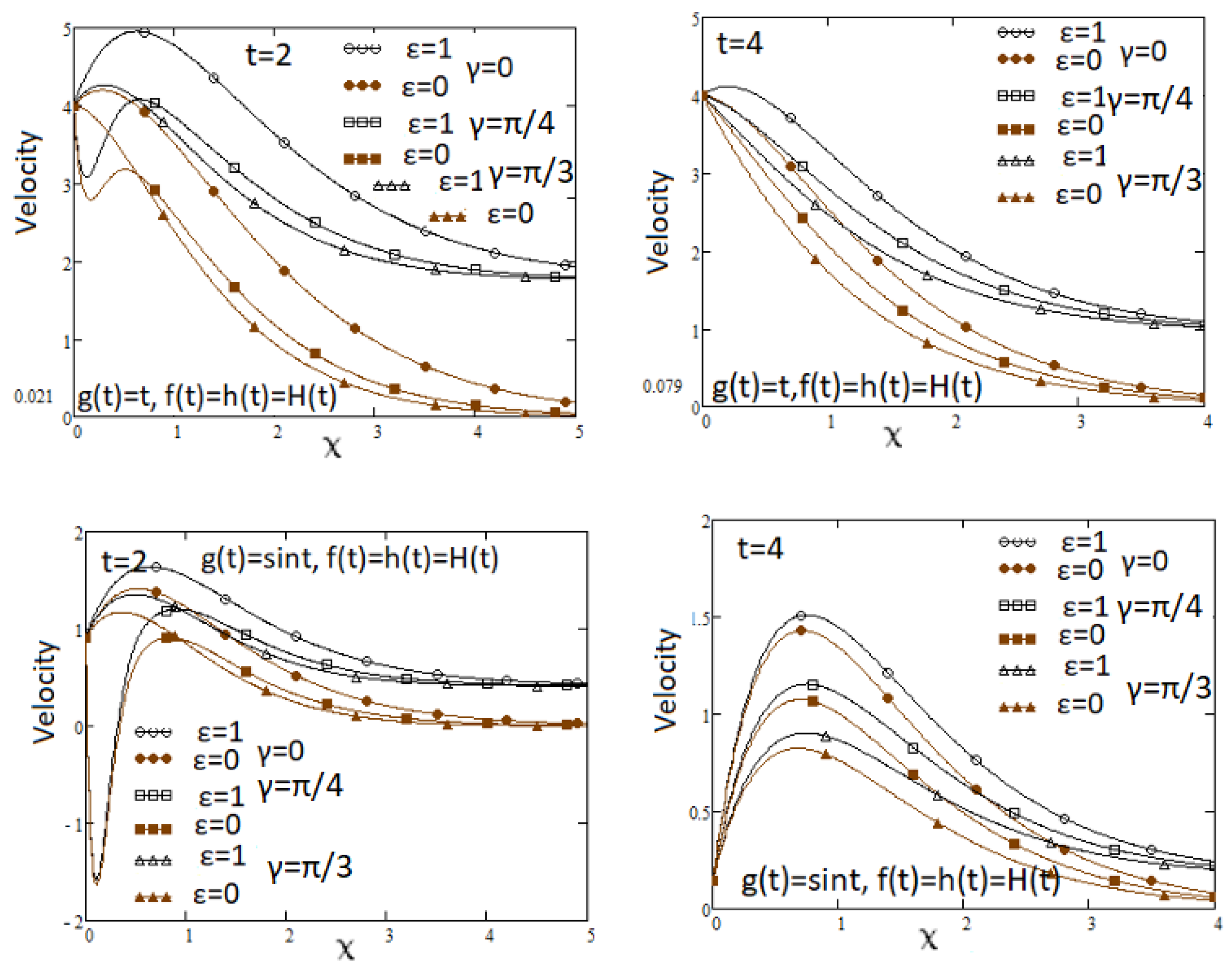
5.3. Dimensionless Velocity Profiles
- (a)
- Influence of chemical reaction parameter
- (b)
- Influence of bouncy force parameter
- (c)
- Influence of angle of inclination of plate
- (d)
- Influence of porosity parameter
- (e)
- Influence of Schmidt number
- (f)
- Influence of slanted angle of magnetic field
- (g)
- Influence of fractional-order parameter
- (h)
- Influence of effective Prandtl number
- (i)
- Influence of relaxation parameter
6. Conclusions
- The velocity of the fluid is higher when the magnetic field is stationary with respect to the plate than when it is stationary with respect to the fluid.
- As the buoyancy forces ratio parameter N increases, the fluid’s velocity also increases.
- Velocity, temperature as well as concentration profiles increase with the increase in non-integer parameter .
- The velocity components related to mechanical, thermal and concentration effects are all significant and must be taken into account.
- When inclination angle and porosity parameter increase, the fluid’s velocity decreases.
- The fluid’s motion is retarded by an increase in the chemical reaction parameter, Schmidt number, the magnetic field’s slant angle and the relaxation time parameter.
- The slant angle of the magnetic field and the strength of the magnetic parameter and inclination of the plate could both be used to control the fluid’s motion.
7. Future Directions
Author Contributions
Funding
Data Availability Statement
Acknowledgments
Conflicts of Interest
References
- Nakayama, Y. Introduction to Fluid Mechanics; Yokendo Co., Ltd.: Tokyo, Japan, 1998. [Google Scholar]
- Huilgol, R.R.; Phan-Thein, N. Fluid Mechanics of Viscoelasticity, General Prin Ciples, Constitutive Modeling, Analytical and Numerical Techniques; Elsevier: Amsterdam, The Netherlands, 1997. [Google Scholar]
- Macosko, C.W. Rheology: Principles, Measurements and Applications; VCH Publishers Inc.: New York, NY, USA, 1994. [Google Scholar]
- Malkin, A.Y. Rheology Fundamentals; ChemTec. Publishing: Toronto, ON, Canada, 1994. [Google Scholar]
- Oldroyd, J.G. On the formulation of rheological equations of state. Proc. R. Soc. Lond. Ser. A Math. Phys. Sci. 1950, 200, 523–541. [Google Scholar]
- Roberts, P.H. An Introduction by Magneto-Hydrodynamics; American Elsevier Publishing Co.: New Castle, DE, USA, 1967. [Google Scholar]
- Alfven, H. Existence of electromagnetic-hydrodynamic waves. Nature 1942, 150, 405–406. [Google Scholar] [CrossRef]
- Stuart, J.T. On the stability of viscous flow between parallel planes in the presence of a Co-planar magnetic field. Proc. R. Soc. Lond. 1954, 221, 189–206. [Google Scholar]
- Hartmann, J. Theory of the laminar flow of an electrically conductive liquid in a homogeneous magnetic field. Fys. Med. 1937, 15, 1–27. [Google Scholar]
- Hartmann, J.; Lazarus, F. Experimental investigations on the flow of mercury in a homogeneous magnetic field. Mat. Fys. Medd. K. Dan. Vidensk. Selsk. 1937, 15, 1–46. [Google Scholar]
- Lock, R.C. Stability of the flow of an electrically conducting fluid between parallel planes under a transverse magnetic field. Proc. R. Soc. Lond. Ser. A 1955, 233, 105–125. [Google Scholar]
- Rossow, V.J. On Flow of Electrically Conducting Fluids over a Flat Plate in the Presence of a Transverse Magnetic Field; Report 1358; National Advisory Committee for Aeronautics: Washington, DC, USA, 1957. [Google Scholar]
- Sajad, S.; Nori, A.; Hosseinzadeh, K.; Ganji, D.D. Hydrothermal analysis of MHD squeezing mixture fluid suspended by hybrid nanoparticles between two parallel plates. Case Stud. Therm. Eng. 2020, 21, 100650. [Google Scholar]
- Mills, A.F. Heat and Mass Transfer; CRC Press: Boca Raton, FL, USA, 1995. [Google Scholar]
- Mebarek-Oudina, F.; Redouane, F.; Rajashekhar, C. Convection heat trans fer of MgO-Ag/water magneto-hybrid nanoliquid flow into a special porous enclosure. Alger. J. Renew. Energy Sustain. Dev. 2020, 2, 84–95. [Google Scholar]
- Das, S.S.; Satapathy, A.; Das, J.K.; Panda, J.P. Mass transfer effects on MHD flow and heat transfer past a vertical porous plate through a porous medium under oscillatory suction and heat source. Int. J. Heat Mass Transf. 2009, 25, 5962–5969. [Google Scholar] [CrossRef]
- Abo-Dahab, S.M.; Abdelhafez, M.A.; Mebarek-Oudina, F.; Bilal, S.M. MHD Casson nanofluid flow over nonlinearly heated porous medium in pres ence of extending surface effect with suction/injection. Indian J. Phy. 2021, 95, 2703–2717. [Google Scholar] [CrossRef]
- Narahari, M.; Debnath, L. Unsteady magnetohydrodynamic free convection flow past an accelerated vertical plate with constant heat flux and heat generation or absorptio. Z. Angew. Math. Mech. 2013, 93, 38–49. [Google Scholar] [CrossRef]
- Shah, N.A.; Zafar, A.A.; Akhtar, S. General solution for MHD-free convection flow over a vertical plate with ramped wall temperature and chemical reaction. Arab. J. Math. 2018, 7, 49–60. [Google Scholar] [CrossRef]
- Shah, N.A.; Zafar, A.A.; Fetecau, C.; Naseem, A. Effects of exponential heating on double-diffuse free convection flows on a moving vertical plate. Math. Rep. 2022, 24, 481–503. [Google Scholar]
- Ahmad, N. Soret and radiation effects on transient MHD free convection from an impulsively started infinite vertical plate. J. Heat Transf. 2012, 134, 062701. [Google Scholar] [CrossRef]
- Bird, B.B.; Armstrong, R.C. Dynamics of Polymeric Liquids: Volume 1, Fluid Mechanics; Wiley: New York, NY, USA, 1987. [Google Scholar]
- Bohme, G. Non-Newtonian Fluid Mechanics; North-Holland: New York, NY, USA, 1987. [Google Scholar]
- Joseph, D.D. Fluid Dynamics of Visco Elastic Liquids; Springer: New York, NY, USA, 1990. [Google Scholar]
- Ikoku, C.U.; Ramey, H.J., Jr. Transient flow of non-Newtonian power-law fluids in porous media. Soc. Pet. Eng. 1979, 19, 164–174. [Google Scholar] [CrossRef]
- Van Pollen, H.K.; Jargon, J.R. Steady-state and unsteady-state flow of non Newtonian fluids through porous media. Soc. Pet. Eng. 1969, 246, 80–88. [Google Scholar] [CrossRef]
- Podlubny, I. Fractional Differential Equations; Academic Press: San Diego, CA, USA, 1999. [Google Scholar]
- Mainardi, F. Fractional Calculus and Waves in Viscoelasticity: An Introduction to Mathematical Models; Imperial College Press: London, UK, 2010. [Google Scholar]
- Atangana, A.; Baleanu, D. New fractional derivatives with nonlocal and non singular kernel theory and application to heat transfer model. Therm. Sci. 2016, 20, 763–769. [Google Scholar] [CrossRef]
- Atangana, A.; Koca, I. Chaos in a simple nonlinear system with Atangana Baleanu derivatives with fractional order. Chaos Solitons Frac. 2016, 89, 447–454. [Google Scholar] [CrossRef]
- Atangana, A.; Koca, I. On the new fractional derivative and application to nonlinear Baggs and Freedman model. J. Nonlinear Sci. Appl. 2016, 5, 2467–2480. [Google Scholar] [CrossRef]
- Aguilar, J.F.; Atangana, A. Fractional derivatives with the power law and the Mittag-Leffler kernel applied to the nonlinear Baggs-Freedman model. Fractal Fract. 2018, 2, 10. [Google Scholar] [CrossRef]
- Hilfer, R. Threefold introduction to fractional derivatives. In Anomalous Transport; Wiley Co. KGA: Hoboken, NJ, USA, 2008. [Google Scholar]
- Machado, J.A.T. System modeling and control through fractional order algorithms. Nonlinear Dyn. Chaos Control. Their Appl. Eng. Sci. 2002, 4, 99–116. [Google Scholar]
- Ozaktas, H.M.; Arikan, O.; Kutay, M.A.; Bozdagi, G. Digital computation of the fractional Fourier transform. IEEE Trans. Signal Process. 1996, 44, 2141–2150. [Google Scholar] [CrossRef]
- Kulish, V.; Luis Lage, J. Application of fractional calculus to fluid mechanics. J. Fluids Eng. 2002, 124, 803–806. [Google Scholar] [CrossRef]
- Fetecau, C.; Zafar, A.A.; Vieru, D.; Awrejcewicz, J. Hydromagnetic flow over a moving plate of second-grade fluids with time-fractional derivatives having non-singular kernel. Chaos Solitons Fract. 2020, 130, 109454. [Google Scholar] [CrossRef]
- Bagley, R.L.; Torvik, P.J. A theoretical basis for the application of frac tional calculus to viscoelasticity. J. Rheol. 1983, 27, 201–210. [Google Scholar] [CrossRef]
- Germnat, A. On fractional differentials. London Edinburgh, Dublin Philosophical Mag. J. Sci. 1938, 25, 540–549. [Google Scholar]
- Mainardi, F.; Spada, G. Creep, relaxation and viscosity properties for basic fractional models in rheology. Eur. Phy. J. Spec. Top. 2011, 193, 133–160. [Google Scholar] [CrossRef]
- Riaz, M.B.; Atangana, A.; Iftikhar, N. Heat and mass transfer in Maxwell fluid in view of local and non-local differential operators. J. Therm. Anal. Calorim. 2020, 143, 4313–4329. [Google Scholar] [CrossRef]
- Vieru, D.; Fetecau, C.; Fetecau, C. Flow of a viscoelastic fluid with fractional Maxwell model between two side walls perpendicular to a plate. Appl.Math. Comput. 2008, 200, 459–464. [Google Scholar] [CrossRef]
- Ali, F.; Ali, F.; Sheikh, N.A.; Khan, I.; Nisar, K.S. Caputo-Fabrizio fractional derivatives modeling of transient MHD Brinkman nano liquid: Applications in food technology. Chaos Solitons Fract. 2019, 139, 109489. [Google Scholar]
- Tahir, M.; Imran, M.A.; Raza, N.; Abdullah, M.; Aleem, M. Wall slip and non integer order derivative effects on the heat transfer flow of Maxwell fluid over an oscillating vertical plate with new definition of fractional Caputo-Fabrizio derivatives. Results Phys. 2017, 7, 1887–1898. [Google Scholar] [CrossRef]
- Khan, I.; Shah, N.A.; Mahsud, Y.; Vieru, D. Heat transfer analysis in a Maxwell fluid over an oscillating vertical plate using fractional Caputo-Fabrizio deriva tives. Eur. Phys. J. Plus 2017, 132, 194. [Google Scholar] [CrossRef]
- Nadeem, S.; Haq, R.U.; Khan, Z.H. Numerical study of MHD boundary layer flow of a Maxwell fluid past a stretching sheet in the presence of nanoparticles. J. Taiwan Inst. Chem. Eng. 2014, 45, 121–126. [Google Scholar] [CrossRef]
- Zhao, J.H.; Zheng, L.C.; Zhang, X.X.; Liu, F.W. Unsteady boundary layer natural convection heat transfer of Maxwell viscoelastic fluid over a vertical plate. Int. J. Heat Mass Transf. 2016, 97, 760–766. [Google Scholar] [CrossRef]
- Stehfest, H. Algorithm 368: Numerical Inversion of Laplace Transform. Commun. ACM 1970, 13, 47–49. [Google Scholar] [CrossRef]
- Debnath, L.; Bhatta, D. Integral Transforms and Their Applications, 2nd ed.; Chapman and Hall/CRC: Boca Raton, FL, USA, 2007. [Google Scholar]
- Zafar, A.A.; Awrejcewicz, J.; Kudra, G.; Shah, N.A.; Yook, S.J. Magneto-free-convection flow of a rate type fluid over an inclined plate with heat and mass flux. Case Study Therm. Eng. 2021, 27, 101249. [Google Scholar] [CrossRef]
- Iftikhar, N.; Husnine, S.M.; Riaz, M.B. Heat and mass transfer in MHD Maxwell fluid over an infinite vertical plate. J. Prime Res. Math. 2019, 15, 63–80. [Google Scholar]
- Tokis, J.N. A class of exact solutions of the unsteady magneto hydrodynamic free-convection flows. Astrophys. Space Sci. 1985, 112, 413–422. [Google Scholar] [CrossRef]
















| Symbols | Units | Description | Symbols | Units | Description |
|---|---|---|---|---|---|
| [K] | Temperature of fluid | [] | Thermal conductivity | ||
| [] | Concentration of fluid | [] | Heat flux | ||
| [] | Chemical reaction parameter | [] | Specific heat at constant pressure | ||
| [] | Permeability of porous medium | [no dimension] | Prandtl number | ||
| [] | Thermal expansion coefficient | [] | Radiation conduction parameter | ||
| [] | Concentration expansion coefficient | [no dimension] | Effective Prandtl number | ||
| [] | Mass diffusivity | N | [no dimension] | Buoyancy forces ratio parameter | |
| g | [] | Acceleration due to gravity] | [no dimension] | Magnetic parameter | |
| [] | Kinematic viscosity | [no dimension] | Schmidt number | ||
| [] | Density | p | [] | Laplace transform parameter | |
| [s] | Relaxation time | [] | Rosseland mean attenuation coefficient | ||
| [] | Electrical conductivity |
| Parameters | Temperature | Temperature | Concentration | Concentration | Velocity | Velocity | Velocity | Velocity |
|---|---|---|---|---|---|---|---|---|
| (Increasing) | Profiles | Profiles | Profiles | Profiles | Profiles | profiles | profiles | profiles |
| (MFFRF) | (MFFRP) | (MFFRF) | (MFFRP) | |||||
| increases | increases | increases | increases | increases | increases | increases | increases | |
| decreases | decreases | decreases | decreases | decreases | decreases | |||
| decreases | decreases | decreases | decreases | decreases | decreases | |||
| decreases | decreases | decreases | decreases | decreases | decreases | |||
| N | increases | increases | increases | increases | ||||
| decreases | decreases | decreases | decreases | |||||
| decreases | decreases | decreases | decreases | |||||
| decreases | decreases | decreases | decreases | |||||
| decreases | decreases | decreases | decreases |
Disclaimer/Publisher’s Note: The statements, opinions and data contained in all publications are solely those of the individual author(s) and contributor(s) and not of MDPI and/or the editor(s). MDPI and/or the editor(s) disclaim responsibility for any injury to people or property resulting from any ideas, methods, instructions or products referred to in the content. |
© 2024 by the authors. Licensee MDPI, Basel, Switzerland. This article is an open access article distributed under the terms and conditions of the Creative Commons Attribution (CC BY) license (https://creativecommons.org/licenses/by/4.0/).
Share and Cite
Zafar, A.A.; Hussain, S. Dynamic Interactions: Non-Integer-Order Heat-Mass Transfer in Magnetohydrodynamic Flow of Non-Newtonian Fluid over Inclined Plates. Symmetry 2024, 16, 826. https://doi.org/10.3390/sym16070826
Zafar AA, Hussain S. Dynamic Interactions: Non-Integer-Order Heat-Mass Transfer in Magnetohydrodynamic Flow of Non-Newtonian Fluid over Inclined Plates. Symmetry. 2024; 16(7):826. https://doi.org/10.3390/sym16070826
Chicago/Turabian StyleZafar, Azhar Ali, and Sajjad Hussain. 2024. "Dynamic Interactions: Non-Integer-Order Heat-Mass Transfer in Magnetohydrodynamic Flow of Non-Newtonian Fluid over Inclined Plates" Symmetry 16, no. 7: 826. https://doi.org/10.3390/sym16070826
APA StyleZafar, A. A., & Hussain, S. (2024). Dynamic Interactions: Non-Integer-Order Heat-Mass Transfer in Magnetohydrodynamic Flow of Non-Newtonian Fluid over Inclined Plates. Symmetry, 16(7), 826. https://doi.org/10.3390/sym16070826

