Investigation on the Influence of Film Cooling Structure on the Flow and Heat Transfer Characteristics of Axisymmetric Plug Nozzle
Abstract
1. Introduction
2. Physical Model
3. Characteristic Parameters Definition
4. Computational Domain and Boundary Conditions
5. Turbulence Model and Grid Independence Verification
6. Results and Analysis
6.1. Analysis of the Aerodynamic Characteristics of the Baseline Plug Nozzle
6.2. Effect of Blowing Ratio on Aerodynamic and Heat Transfer Characteristics of Axisymmetric Plug Nozzle
6.3. Effect of Hole Diameters on Aerodynamic and Heat Transfer Characteristics of Axisymmetric Plug Nozzle
6.4. Effect of Hole Inclination Angle on Aerodynamic and Heat Transfer Characteristics of Axisymmetric Plug Nozzle
7. Conclusions
- (1)
- The mainstream continues to expand to supersonic after the outlet of the axisymmetric plug nozzle. It is disturbed by the coolant from the film holes, causing the boundary layer of the mainstream to lift near the film holes in the supersonic region, resulting in the formation of bow shocks along the axial direction of the plug. These bow shocks cause a local decrease in surface cooling effectiveness.
- (2)
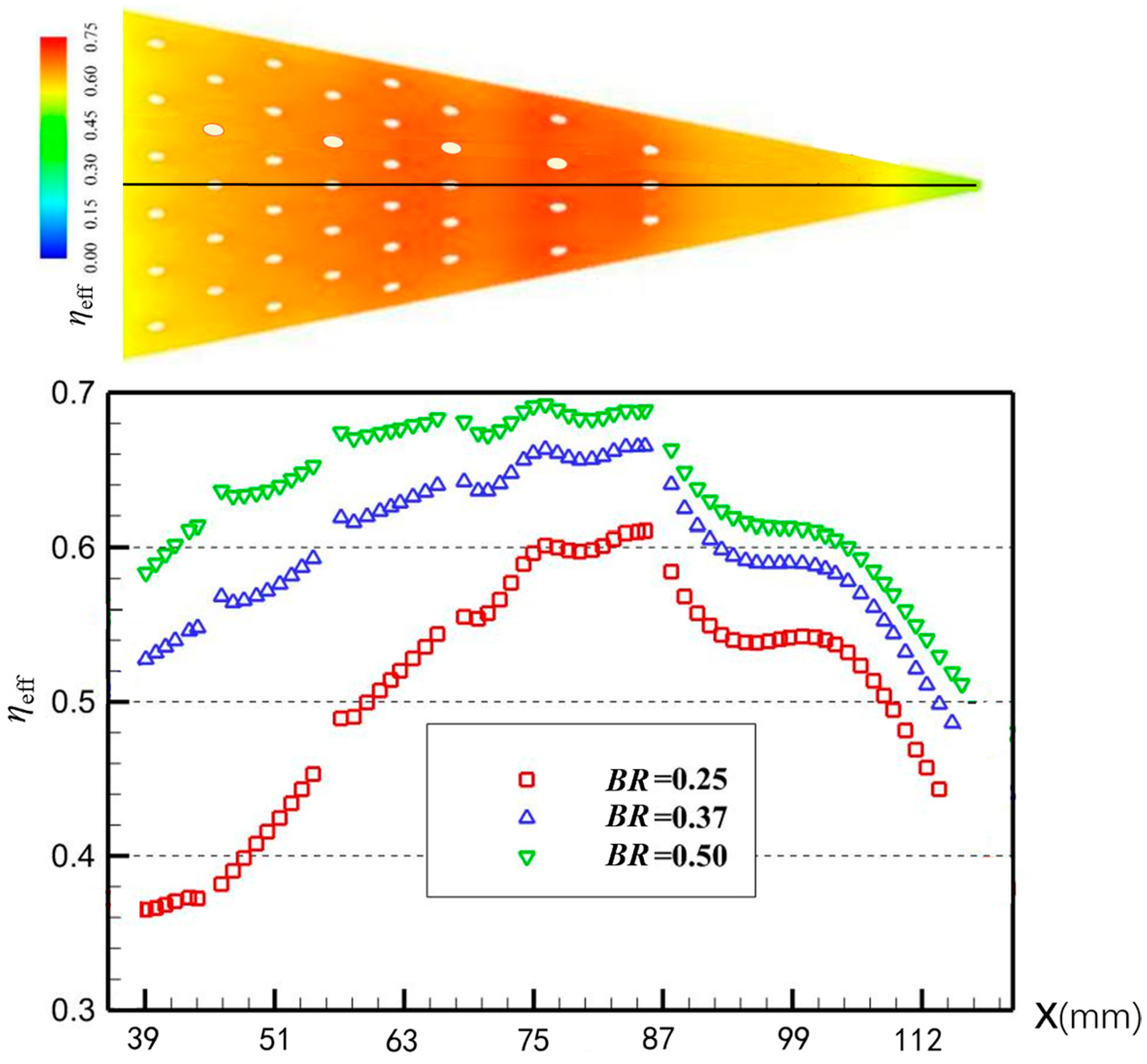
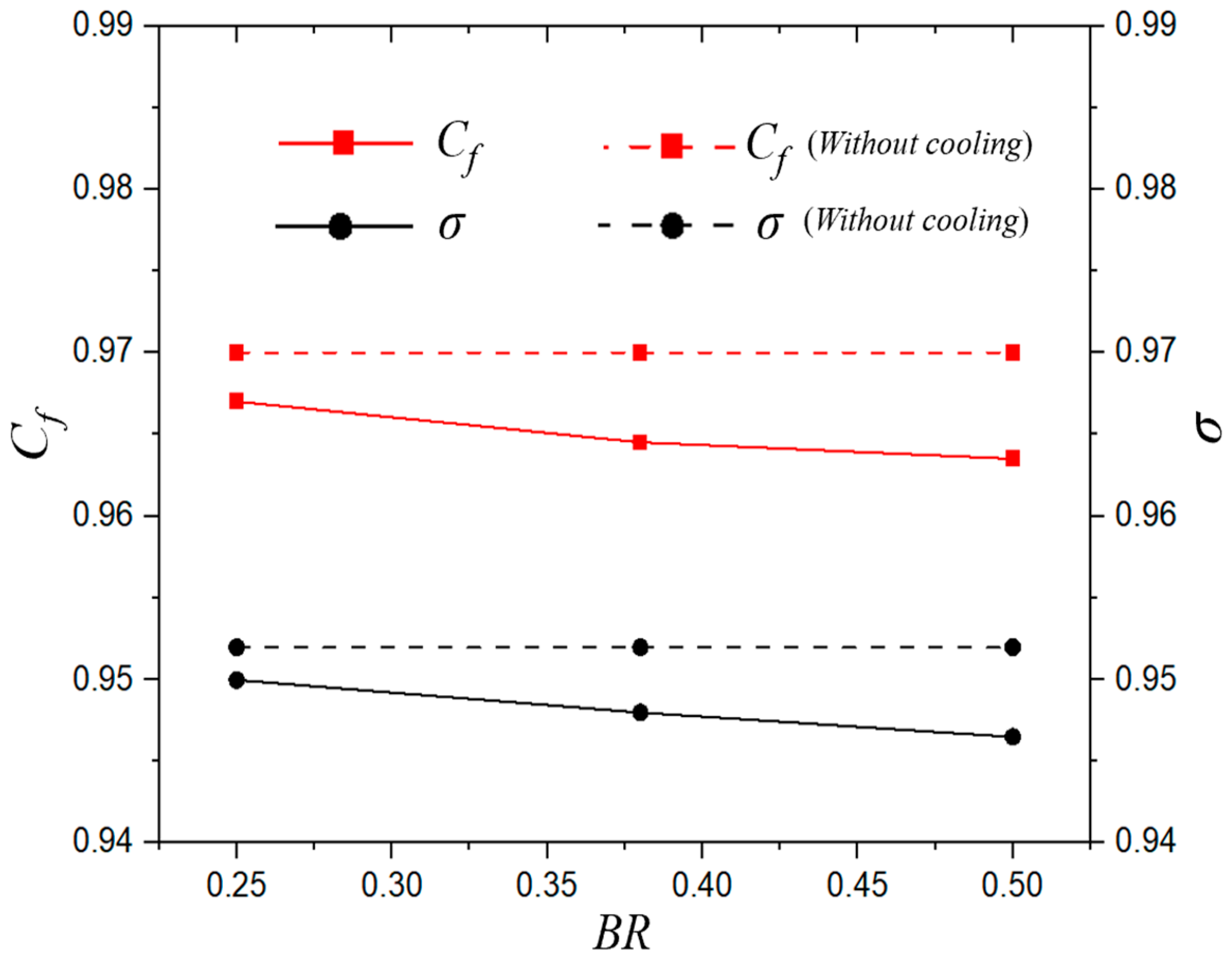
- The blowing ratio plays a significant role in the cooling effectiveness of the plug. The coolant flow discharged from the film holes increases as the blowing ratio increases, leading to improved surface cooling effectiveness. Compared with the baseline plug, the average surface temperature decreases by 34.4%, 43.1%, and 48.1% in the blowing ratio range of 0.25~0.5, respectively. However, an increase in the blowing ratio results in a decrease in the aerodynamic performance of the nozzle, with a reduction in thrust coefficient of 0.31%, 0.51%, and 0.61%, and a reduction in total pressure recovery coefficient of 0.52%, 0.73%, and 0.93%, respectively.
- (3)
- When the perforated percentage is constant, the surface cooling effectiveness increases with the decrease of the hole diameter, resulting in a better surface cooling performance. The variation in hole diameter has a weak impact on the aerodynamics of the nozzle.
- (4)
- With the increase in the inclination angle of the film holes, the ability of the coolant flow to penetrate the mainstream increases, enhancing the mixing with the mainstream. The resulting film cooling layer increases in height, enhancing the obstruction of the mainstream boundary layer, and causing an increase in the intensity of bow shocks, leading to a decrease in the average cooling effectiveness of the surface and an increase in aerodynamic losses. A smaller hole inclination angle results in better surface cooling performance. The research findings in this paper can provide a reference for the design of surface film cooling structures in complex supersonic mainstream conditions in engineering applications.
Author Contributions
Funding
Data Availability Statement
Conflicts of Interest
References
- Ciepluch, C.C.; Krull, H.G.; Steffen, F.W. Preliminary Investigation of Performance of Variable-Throat Extended-Plug-Type Nozzles over Wide Range of Nozzle Pressure Rations; NACA-RM-E53J28; National Aeronautics and Space Administration: Washington, DC, USA, 1954.
- Salmi, R.J. Preliminary Investigation of Methods to Increase Base Pressure of Plug Nozzles at Mach 0.9; NACA-RM-E56J05; National Aeronautics and Space Administration: Washington, DC, USA, 1956.
- Verma, S.B.; Viji, M. Freestream effects on base pressure development of an annular plug nozzle. Shock Waves 2011, 21, 163–171. [Google Scholar] [CrossRef]
- Khan, A.; Bhesania, A.S.; Kumar, R. An experimental study on the control of plug nozzle jets. Shock Waves 2021, 31, 31–47. [Google Scholar] [CrossRef]
- Humphre, R.P.; Thompson, H.D.; Hoffmann, J.D. Design of maximum thrust plug nozzles for fixed inlet geometry. AIAA J. 1971, 9, 1581–1587. [Google Scholar] [CrossRef]
- Veen, R.V.; Gentry, R.; Hoffman, J.D. Design of shrouded-plug nozzles for maximum thrust. AIAA J. 1974, 12, 1193–1197. [Google Scholar] [CrossRef]
- Chutkey, K.; Vasudevan, B.; Balakrishnan, N. Flowfield analysis of linear plug nozzle. J. Spacecr. Rocket. 2012, 49, 1109–1119. [Google Scholar] [CrossRef]
- Chutkey, K.; Vasudevan, B.; Balakrishnan, N. Analysis of annular plug nozzle flowfield. J. Spacecr. Rocket. 2014, 51, 478–490. [Google Scholar] [CrossRef]
- Fujii, K.; Imai, K.; Sato, T. Computational analysis of the flow field near the boat-tail region of annular plug nozzles. JSME Int. J. Ser. B 2002, 45, 451–745. [Google Scholar] [CrossRef]
- Fujii, K.; Negishi, H.; Nakabeppu, O. Computational Analysis of the Secondary Flow Injection for the Drag Reduction of the Plug Nozzle. In Proceedings of the 32nd AIAA Fluid Dynamics Conference and Exhibit, St. Louis, MI, USA, 24–26 June 2002. AIAA 2002-3120. [Google Scholar]
- Smolak, G.R.; Koffel, W.K. Investigation of an Air-Cooled, Plug-Type, Variable-Area Exhaust Nozzle; No. NACA-RM-E57A07; National Aeronautics and Space Administration: Washington, DC, USA, 1957.
- Clark, J.S.; Graber, E.J.; Straight, D.M. Experimental Heat Transfer and Flow Results from an Air-Cooled Plug Nozzle System; NASA-TM-X-52897; National Aeronautics and Space Administration: Washington, DC, USA, 1970.
- Jeracki, R.J.; Chenoweth, F.C. Coolant Flow Effects on the Performance a Conical Plug Nozzle at Mach Numbers from 0 to 2.0; NASA-TM-X-2076; National Aeronautics and Space Administration: Washington, DC, USA, 1970.
- Cbenoweth, F.C.; Lieberman, A. Experimental Investigation of Heat-Transfer Characteristics of a Film-Cooled Plug Nozzle with Translating Shroud; NASA-TN-D-6160; National Aeronautics and Space Administration: Washington, DC, USA, 1971.
- Stepka, F.S.; Cbambellan, R.E. Feasibility Study of Jet-Fuel-Cooled Plug Nozzle for Afterburning Turbojet; NASA-TM-X-2304; National Aeronautics and Space Administration: Washington, DC, USA, 1971.
- Clark, J.S.; Lieberman, A. Thermal Design Study of an Air-Cooled Plug-Nozzle System for a Supersonic-Cruise Aircraft; NASA-TM-X-2475; National Aeronautics and Space Administration: Washington, DC, USA, 1972.
- Nosek, S.M.; Straight, D.M. Heat-Transfer Characteristics of Partially Film Cooled Plug Nozzle on a J-85 Afterburning Turbojet Engine; NASA-TM-X-3362; National Aeronautics and Space Administration: Washington, DC, USA, 1976.
- Chen, J.; Shan, Y.; Zhang, X.Y.; Zhang, J.Z. Effect of film cooling structures on the cooling characteristics of plugs for two-dimensional (2-D) plug nozzle. Int. Therm. J. Sci. 2023, 192, 108444. [Google Scholar] [CrossRef]
- Yu, Y.; Yen, C.H.; Shih, T.P.; Chyu, M.K.; Gogineni, S. Film cooling effectiveness and heat transfer coefficient distributions around diffusion shaped holes. J. Heat Transf. 2002, 124, 820–827. [Google Scholar] [CrossRef]
- Yuen CH, N.; Martinez-Botas, R.F. Film cooling characteristics of a single round hole at various streamwise angles in a crossflow: Part II: Heat transfer coefficients. Int. J. Heat Mass Transf. 2003, 46, 237–249. [Google Scholar] [CrossRef]
- Khajehhasani, S.; Jubran, B. Film cooling from novel sister shaped single-holes. In Turbo Expo: Power for Land, Sea, and Air; American Society of Mechanical Engineers: New York, NY, USA, 2014; Volume 45721, p. V05BT13A034. [Google Scholar]
- McClintic, J.W.; Klavetter, S.R.; Winka, J.R.; Anderson, J.B.; Bogard, D.G.; Dees, J.E.; Laskowski, G.M.; Briggs, R. The effect of internal crossflow on the adiabatic effectiveness of compound angle film cooling holes. J. Turbomach. 2015, 137, 071006. [Google Scholar] [CrossRef]
- Sun, X.; Zhao, G.; Jiang, P.; Peng, W.; Wang, J. Influence of hole geometry on film cooling effectiveness for a constant exit flow area. Appl. Therm. Eng. 2018, 130, 1404–1415. [Google Scholar] [CrossRef]
- Cao, N.; Li, X.; Wu, Z.; Luo, X. Effect of film hole geometry and blowing ratio on film cooling performance. Appl. Therm. Eng. 2020, 165, 114578. [Google Scholar] [CrossRef]
- Kim, S.; Lee, D.; Kang, Y.S.; Rhee, D.-H. Experimental Study on the Improvement of Film Cooling Effectiveness of Various Modified Configurations Based on a Fan-Shaped Film Cooling Hole on an Endwall. Energies 2023, 16, 7733. [Google Scholar] [CrossRef]
- Sharif, M.A.; Mothe, K.K. Parametric study of turbulent slot-jet impingement heat transfer from concave cylindrical surfaces. Int. Therm. J. Sci. 2010, 49, 428–442. [Google Scholar] [CrossRef]
- Dai, H.; Zhang, J.; Ren, Y.; Liu, N.; Lin, J. Effect of cooling hole configurations on combustion and heat transfer in an aero-engine combustor. Appl. Therm. Eng. 2021, 182, 1359–4311. [Google Scholar] [CrossRef]
- Tian, J.; Wang, Y.S.; Zhang, J.Z.; Tan, X.M. Numerical investigation on flow and film cooling characteristics of coolant injection in rotating detonation combustor. Aerosp. Sci. Technol. 2022, 122, 107379. [Google Scholar] [CrossRef]
- Sanvicente, E.; Giroux-Julien, S.; Ménézo, C.; Bouia, H. Transitional natural convection flow and heat transfer in an open channel. Int. J. Therm. Sci. 2013, 63, 87–104. [Google Scholar] [CrossRef]
- Menter, F.R. Two-equation eddy-viscosity turbulence models for engineering applications. AIAA J. 1994, 32, 1598–1605. [Google Scholar] [CrossRef]
- Berrier, B.L.; Mercer, C.E. Off-Design Performance of Two Isentropic Plug Nozzles Designed for a Pressure Ratio of 16.5; National Aeronautics and Space Administration: Washington, DC, USA, 1967.























| Parameters | p (mm) | s (mm) | α | BR |
|---|---|---|---|---|
| d = 0.65 mm | 4.7 | 4.2 | 30° | 0.25/0.38/0.5 |
| d = 0.79 mm | 5.8 | 4.3 | 30° | 0.25 |
| d = 1 mm | 7.7 | 6.6 | 30° | 0.25 |
| d = 0.65 mm | 4.7 | 4.2 | 45°/60° | 0.25 |
| Properties | ρ (kg/m3) | Cp (J/(kg·K)) | μ (N·s/m2) | λ (W/(m·K)) |
|---|---|---|---|---|
| Solid | 8890 | 629 | / | 25.5 |
| Fluid | ideal-gas | Kinetic-theory | Sutherland-formula | Kinetic-theory |
| Total Temperature (K) | Total Pressure (kPa) | Static Pressure (kPa) | |
|---|---|---|---|
| Inlet boundary condition for the mainstream | 2100 | 320 | / |
| Inlet boundary condition for the coolant flow | 500 | 385 | / |
| Pressure outlet boundary condition | 280 | / | 101 |
Disclaimer/Publisher’s Note: The statements, opinions and data contained in all publications are solely those of the individual author(s) and contributor(s) and not of MDPI and/or the editor(s). MDPI and/or the editor(s) disclaim responsibility for any injury to people or property resulting from any ideas, methods, instructions or products referred to in the content. |
© 2024 by the authors. Licensee MDPI, Basel, Switzerland. This article is an open access article distributed under the terms and conditions of the Creative Commons Attribution (CC BY) license (https://creativecommons.org/licenses/by/4.0/).
Share and Cite
Ma, Z.; Zhang, B.; Bai, Y. Investigation on the Influence of Film Cooling Structure on the Flow and Heat Transfer Characteristics of Axisymmetric Plug Nozzle. Symmetry 2024, 16, 689. https://doi.org/10.3390/sym16060689
Ma Z, Zhang B, Bai Y. Investigation on the Influence of Film Cooling Structure on the Flow and Heat Transfer Characteristics of Axisymmetric Plug Nozzle. Symmetry. 2024; 16(6):689. https://doi.org/10.3390/sym16060689
Chicago/Turabian StyleMa, Zhuang, Bo Zhang, and Yun Bai. 2024. "Investigation on the Influence of Film Cooling Structure on the Flow and Heat Transfer Characteristics of Axisymmetric Plug Nozzle" Symmetry 16, no. 6: 689. https://doi.org/10.3390/sym16060689
APA StyleMa, Z., Zhang, B., & Bai, Y. (2024). Investigation on the Influence of Film Cooling Structure on the Flow and Heat Transfer Characteristics of Axisymmetric Plug Nozzle. Symmetry, 16(6), 689. https://doi.org/10.3390/sym16060689
