Non-Hermitian Quantum Rényi Entropy Dynamics in Anyonic-PT Symmetric Systems
Abstract
1. Introduction
2. NH Quantum Rényi Entropy in Anyonic-PT Symmetric Systems
2.1. Anyonic-PT Symmetry
2.2. Two-Level Systems
3. Negative Entropy
4. Conclusions
Author Contributions
Funding
Data Availability Statement
Acknowledgments
Conflicts of Interest
Abbreviations
| NH | non-Hermitian |
| LCU | linear combination of unitaries |
| PT | parity-time-reversal |
| APT | anti-PT |
Appendix A. Derivation of Equations (13) and (14)
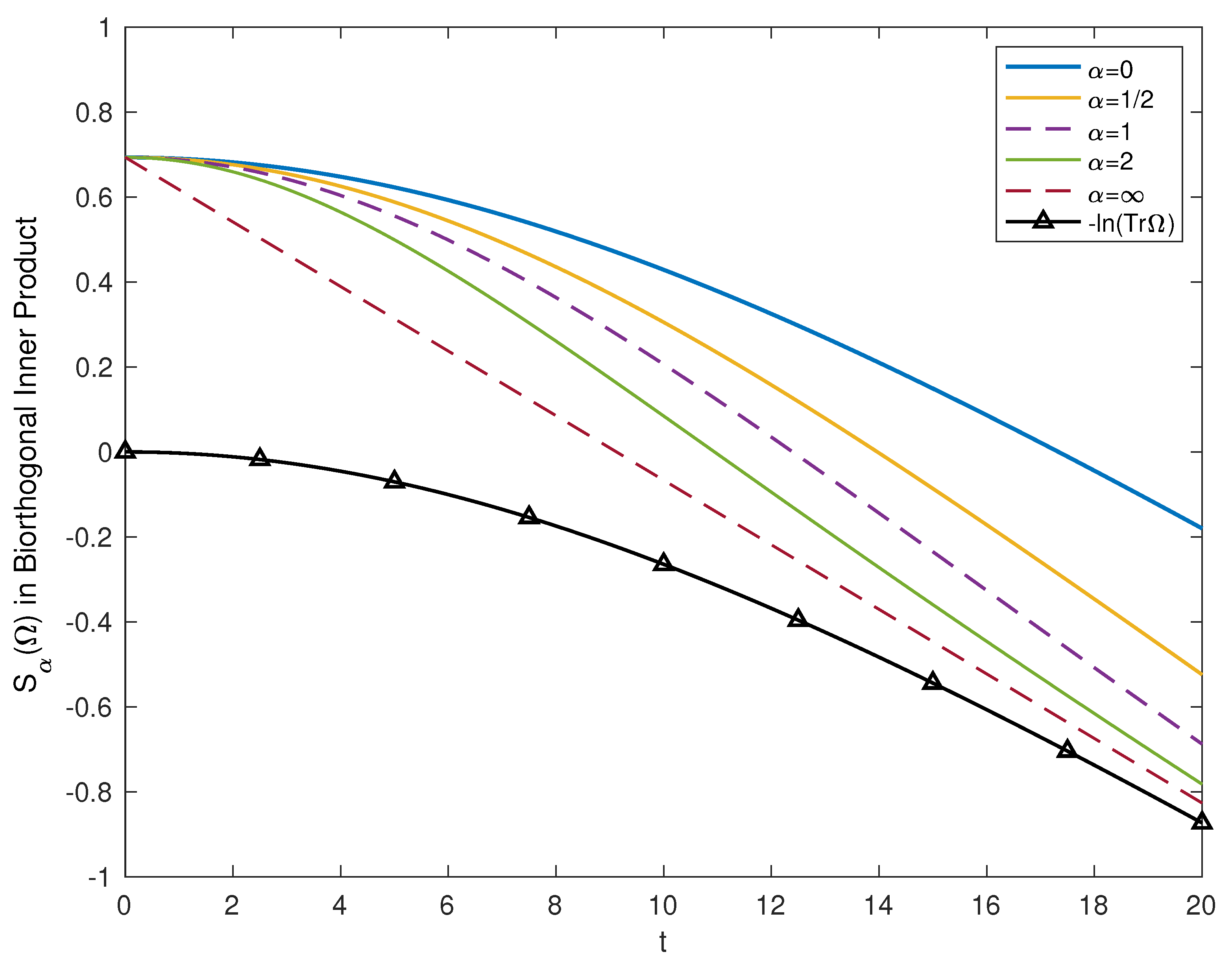
Appendix B. Results Using Biorthogonal Inner Product
Appendix B.1. Biorthogonal Inner Product
Appendix B.2. Two-Level Systems

References
- Breuer, H.P.; Petruccione, F. The Theory of Open Quantum Systems; Oxford University Press: New York, USA, 2002. [Google Scholar]
- Barreiro, J.T.; Müller, M.; Schindler, P.; Nigg, D.; Monz, T.; Chwalla, M.; Hennrich, M.; Roos, C.F.; Zoller, P.; Blatt, R. An open-system quantum simulator with trapped ions. Nature 2011, 470, 486–491. [Google Scholar] [CrossRef] [PubMed]
- Hu, Z.; Xia, R.; Kais, S. A quantum algorithm for evolving open quantum dynamics on quantum computing devices. Sci. Rep. 2020, 10, 3301. [Google Scholar] [CrossRef]
- Del Re, L.; Rost, B.; Kemper, A.; Freericks, J. Driven-dissipative quantum mechanics on a lattice: Simulating a fermionic reservoir on a quantum computer. Phys. Rev. B 2020, 102, 125112. [Google Scholar] [CrossRef]
- Zheng, C. Universal quantum simulation of single-qubit nonunitary operators using duality quantum algorithm. Sci. Rep. 2021, 11, 3960. [Google Scholar] [CrossRef]
- Del Re, L.; Rost, B.; Foss-Feig, M.; Kemper, A.; Freericks, J. Robust measurements of n-point correlation functions of driven-dissipative quantum systems on a digital quantum computer. Phys. Rev. Lett. 2024, 132, 100601. [Google Scholar] [CrossRef]
- Bender, C.M.; Boettcher, S. Real spectra in non-Hermitian Hamiltonians having P T symmetry. Phys. Rev. Lett. 1998, 80, 5243. [Google Scholar] [CrossRef]
- Kawabata, K.; Ashida, Y.; Ueda, M. Information retrieval and criticality in parity-time-symmetric systems. Phys. Rev. Lett. 2017, 119, 190401. [Google Scholar] [CrossRef]
- Zheng, C.; Hao, L.; Long, G.L. Observation of a fast evolution in a parity-time-symmetric system. Philos. Trans. R. Soc. A Math. Phys. Eng. Sci. 2013, 371, 20120053. [Google Scholar] [CrossRef]
- Wu, H.C.; Xu, H.S.; Xie, L.C.; Jin, L. Edge State, Band Topology, and Time Boundary Effect in the Fine-Grained Categorization of Chern Insulators. Phys. Rev. Lett. 2024, 132, 083801. [Google Scholar] [CrossRef]
- Yang, F.; Liu, Y.C.; You, L. Anti-PT symmetry in dissipatively coupled optical systems. Phys. Rev. A 2017, 96, 053845. [Google Scholar] [CrossRef]
- Li, Y.; Peng, Y.G.; Han, L.; Miri, M.A.; Li, W.; Xiao, M.; Zhu, X.F.; Zhao, J.; Alù, A.; Fan, S.; et al. Anti–parity-time symmetry in diffusive systems. Science 2019, 364, 170–173. [Google Scholar] [CrossRef]
- Peng, P.; Cao, W.; Shen, C.; Qu, W.; Wen, J.; Jiang, L.; Xiao, Y. Anti-parity–time symmetry with flying atoms. Nat. Phys. 2016, 12, 1139–1145. [Google Scholar] [CrossRef]
- Bergman, A.; Duggan, R.; Sharma, K.; Tur, M.; Zadok, A.; Alù, A. Observation of anti-parity-time-symmetry, phase transitions and exceptional points in an optical fibre. Nat. Commun. 2021, 12, 486. [Google Scholar] [CrossRef]
- Yang, Y.; Wang, Y.P.; Rao, J.; Gui, Y.; Yao, B.; Lu, W.; Hu, C.M. Unconventional singularity in anti-parity-time symmetric cavity magnonics. Phys. Rev. Lett. 2020, 125, 147202. [Google Scholar] [CrossRef]
- Choi, Y.; Hahn, C.; Yoon, J.W.; Song, S.H. Observation of an anti-PT-symmetric exceptional point and energy-difference conserving dynamics in electrical circuit resonators. Nat. Commun. 2018, 9, 2182. [Google Scholar] [CrossRef]
- Zheng, C. Duality quantum simulation of a generalized anti-PT-symmetric two-level system. Europhys. Lett. 2019, 126, 30005. [Google Scholar] [CrossRef]
- Wen, J.; Qin, G.; Zheng, C.; Wei, S.; Kong, X.; Xin, T.; Long, G. Observation of information flow in the anti-PT-symmetric system with nuclear spins. npj Quantum Inf. 2020, 6, 28. [Google Scholar] [CrossRef]
- Mostafazadeh, A. Pseudo-Hermiticity versus PT symmetry: The necessary condition for the reality of the spectrum of a non-Hermitian Hamiltonian. J. Math. Phys. 2002, 43, 205–214. [Google Scholar] [CrossRef]
- Mostafazadeh, A. Pseudounitary operators and pseudounitary quantum dynamics. J. Math. Phys. 2004, 45, 932–946. [Google Scholar] [CrossRef]
- Jin, L. Unitary scattering protected by pseudo-hermiticity. Chin. Phys. Lett. 2022, 39, 037302. [Google Scholar] [CrossRef]
- Xu, H.; Jin, L. Pseudo-Hermiticity protects the energy-difference conservation in the scattering. Phys. Rev. Res. 2023, 5, L042005. [Google Scholar] [CrossRef]
- Zheng, C. Quantum simulation of PT-arbitrary-phase–symmetric systems. Europhys. Lett. 2022, 136, 30002. [Google Scholar] [CrossRef]
- Longhi, S.; Pinotti, E. Anyonic symmetry, drifting potentials and non-Hermitian delocalization. Europhys. Lett. 2019, 125, 10006. [Google Scholar] [CrossRef]
- Arwas, G.; Gadasi, S.; Gershenzon, I.; Friesem, A.; Davidson, N.; Raz, O. Anyonic-parity-time symmetry in complex-coupled lasers. Sci. Adv. 2022, 8, eabm7454. [Google Scholar] [CrossRef]
- Klaiman, S.; Günther, U.; Moiseyev, N. Visualization of branch points in p t-symmetric waveguides. Phys. Rev. Lett. 2008, 101, 080402. [Google Scholar] [CrossRef]
- Konotop, V.V.; Yang, J.; Zezyulin, D.A. Nonlinear waves in PT-symmetric systems. Rev. Mod. Phys. 2016, 88, 035002. [Google Scholar] [CrossRef]
- Chen, S.L.; Chen, G.Y.; Chen, Y.N. Increase of entanglement by local PT-symmetric operations. Phys. Rev. A 2014, 90, 054301. [Google Scholar] [CrossRef]
- Lee, T.E.; Reiter, F.; Moiseyev, N. Entanglement and spin squeezing in non-Hermitian phase transitions. Phys. Rev. Lett. 2014, 113, 250401. [Google Scholar] [CrossRef]
- Couvreur, R.; Jacobsen, J.L.; Saleur, H. Entanglement in nonunitary quantum critical spin chains. Phys. Rev. Lett. 2017, 119, 040601. [Google Scholar] [CrossRef]
- Ashida, Y.; Furukawa, S.; Ueda, M. Parity-time-symmetric quantum critical phenomena. Nat. Commun. 2017, 8, 15791. [Google Scholar] [CrossRef]
- Goldenfeld, N. Lectures on Phase Transitions and the Renormalization Group; CRC Press: Boca Raton, FL, USA, 2018. [Google Scholar]
- Ashida, Y.; Gong, Z.; Ueda, M. Non-hermitian physics. Adv. Phys. 2020, 69, 249–435. [Google Scholar] [CrossRef]
- Li, J.; Harter, A.K.; Liu, J.; de Melo, L.; Joglekar, Y.N.; Luo, L. Observation of parity-time symmetry breaking transitions in a dissipative Floquet system of ultracold atoms. Nat. Commun. 2019, 10, 855. [Google Scholar] [CrossRef] [PubMed]
- Zhang, S.; He, T.; Jin, L. Localization Dynamics at the Exceptional Point of Non-Hermitian Creutz Ladder. Chin. Phys. Lett. 2024, 41, 027201. [Google Scholar] [CrossRef]
- Guo, Z.; Xie, Z.; Li, Z.; Li, T. Reconfigurable high-order exceptional points in coupled optical parametric oscillators for enhanced sensing. J. Phys. D Appl. Phys. 2024, 57, 255103. [Google Scholar] [CrossRef]
- Kazmina, A.S.; Zalivako, I.V.; Borisenko, A.S.; Nemkov, N.A.; Nikolaeva, A.S.; Simakov, I.A.; Kuznetsova, A.V.; Egorova, E.Y.; Galstyan, K.P.; Semenin, N.V.; et al. Demonstration of a parity-time-symmetry-breaking phase transition using superconducting and trapped-ion qutrits. Phys. Rev. A 2024, 109, 032619. [Google Scholar] [CrossRef]
- Wang, J.; Mukhopadhyay, D.; Agarwal, G. Quantum Fisher information perspective on sensing in anti-PT symmetric systems. Phys. Rev. Res. 2022, 4, 013131. [Google Scholar] [CrossRef]
- Wu, J.H.; Artoni, M.; La Rocca, G. Non-Hermitian degeneracies and unidirectional reflectionless atomic lattices. Phys. Rev. Lett. 2014, 113, 123004. [Google Scholar] [CrossRef] [PubMed]
- Lin, Z.; Ramezani, H.; Eichelkraut, T.; Kottos, T.; Cao, H.; Christodoulides, D.N. Unidirectional invisibility induced by P T-symmetric periodic structures. Phys. Rev. Lett. 2011, 106, 213901. [Google Scholar] [CrossRef]
- Regensburger, A.; Bersch, C.; Miri, M.A.; Onishchukov, G.; Christodoulides, D.N.; Peschel, U. Parity–time synthetic photonic lattices. Nature 2012, 488, 167–171. [Google Scholar] [CrossRef]
- Zheng, C. Duality quantum simulation of a general parity-time-symmetric two-level system. Europhys. Lett. 2018, 123, 40002. [Google Scholar] [CrossRef]
- Gui-Lu, L. General quantum interference principle and duality computer. Commun. Theor. Phys. 2006, 45, 825. [Google Scholar] [CrossRef]
- Xiao, J.; Wen, J.; Zhou, Z.; Qian, L.; Huang, Z.; Wei, S.; Long, G. A quantum algorithm for linear differential equations with layerwise parameterized quantum circuits. AAPPS Bull. 2024, 34, 12. [Google Scholar] [CrossRef]
- Rényi, A. On measures of entropy and information. In Proceedings of the Fourth Berkeley Symposium on Mathematical Statistics and Probability, Berkeley, CA, USA, 20 June–30 July 1960; Volume 1: Contributions to the Theory of Statistics. University of California Press: Berkeley, CA, USA, 1961; Volume 4, pp. 547–562. [Google Scholar]
- Li, D.; Zheng, C. Non-Hermitian generalization of Rényi entropy. Entropy 2022, 24, 1563. [Google Scholar] [CrossRef]
- Müller-Lennert, M.; Dupuis, F.; Szehr, O.; Fehr, S.; Tomamichel, M. On quantum Rényi entropies: A new generalization and some properties. J. Math. Phys. 2013, 54, 122203. [Google Scholar] [CrossRef]
- Feshbach, H. Unified theory of nuclear reactions. Ann. Phys. 1958, 5, 357–390. [Google Scholar] [CrossRef]
- Feshbach, H. A unified theory of nuclear reactions. II. Ann. Phys. 1962, 19, 287–313. [Google Scholar] [CrossRef]
- Von Neumann, J. Mathematical Foundations of Quantum Mechanics: New Edition; Princeton University Press: Princeton, NJ, USA, 2018; Volume 53. [Google Scholar]
- Fehr, S.; Berens, S. On the conditional Rényi entropy. IEEE Trans. Inf. Theory 2014, 60, 6801–6810. [Google Scholar] [CrossRef]
- Nielsen, M.A.; Chuang, I.L. Quantum Computation and Quantum Information; Cambridge University Press: Cambridge, UK, 2010. [Google Scholar]
- Xiao, L.; Wang, K.; Zhan, X.; Bian, Z.; Kawabata, K.; Ueda, M.; Yi, W.; Xue, P. Observation of critical phenomena in parity-time-symmetric quantum dynamics. Phys. Rev. Lett. 2019, 123, 230401. [Google Scholar] [CrossRef]
- Bian, Z.; Xiao, L.; Wang, K.; Onanga, F.A.; Ruzicka, F.; Yi, W.; Joglekar, Y.N.; Xue, P. Quantum information dynamics in a high-dimensional parity-time-symmetric system. Phys. Rev. A 2020, 102, 030201. [Google Scholar] [CrossRef]
- Horodecki, M.; Oppenheim, J.; Winter, A. Partial quantum information. Nature 2005, 436, 673–676. [Google Scholar] [CrossRef]
- Rio, L.d.; Åberg, J.; Renner, R.; Dahlsten, O.; Vedral, V. The thermodynamic meaning of negative entropy. Nature 2011, 474, 61–63. [Google Scholar] [CrossRef]
- Cerf, N.J.; Adami, C. Negative entropy and information in quantum mechanics. Phys. Rev. Lett. 1997, 79, 5194. [Google Scholar] [CrossRef]
- Breuer, H.P.; Laine, E.M.; Piilo, J. Measure for the degree of non-Markovian behavior of quantum processes in open systems. Phys. Rev. Lett. 2009, 103, 210401. [Google Scholar] [CrossRef]
- Brody, D.C. Consistency of PT-symmetric quantum mechanics. J. Phys. A Math. Theor. 2016, 49, 10LT03. [Google Scholar] [CrossRef]
- Brody, D.C.; Graefe, E.M. Mixed-state evolution in the presence of gain and loss. Phys. Rev. Lett. 2012, 109, 230405. [Google Scholar] [CrossRef] [PubMed]
- Brody, D.C. Biorthogonal quantum mechanics. J. Phys. A Math. Theor. 2013, 47, 035305. [Google Scholar] [CrossRef]





Disclaimer/Publisher’s Note: The statements, opinions and data contained in all publications are solely those of the individual author(s) and contributor(s) and not of MDPI and/or the editor(s). MDPI and/or the editor(s) disclaim responsibility for any injury to people or property resulting from any ideas, methods, instructions or products referred to in the content. |
© 2024 by the authors. Licensee MDPI, Basel, Switzerland. This article is an open access article distributed under the terms and conditions of the Creative Commons Attribution (CC BY) license (https://creativecommons.org/licenses/by/4.0/).
Share and Cite
Liu, Z.; Zheng, C. Non-Hermitian Quantum Rényi Entropy Dynamics in Anyonic-PT Symmetric Systems. Symmetry 2024, 16, 584. https://doi.org/10.3390/sym16050584
Liu Z, Zheng C. Non-Hermitian Quantum Rényi Entropy Dynamics in Anyonic-PT Symmetric Systems. Symmetry. 2024; 16(5):584. https://doi.org/10.3390/sym16050584
Chicago/Turabian StyleLiu, Zhihang, and Chao Zheng. 2024. "Non-Hermitian Quantum Rényi Entropy Dynamics in Anyonic-PT Symmetric Systems" Symmetry 16, no. 5: 584. https://doi.org/10.3390/sym16050584
APA StyleLiu, Z., & Zheng, C. (2024). Non-Hermitian Quantum Rényi Entropy Dynamics in Anyonic-PT Symmetric Systems. Symmetry, 16(5), 584. https://doi.org/10.3390/sym16050584

