Preliminary Analysis of Beam Position Monitor Accuracy
Abstract
1. Introduction
2. Method for Calculating the Beam Position with the Signal Strength of Electrodes
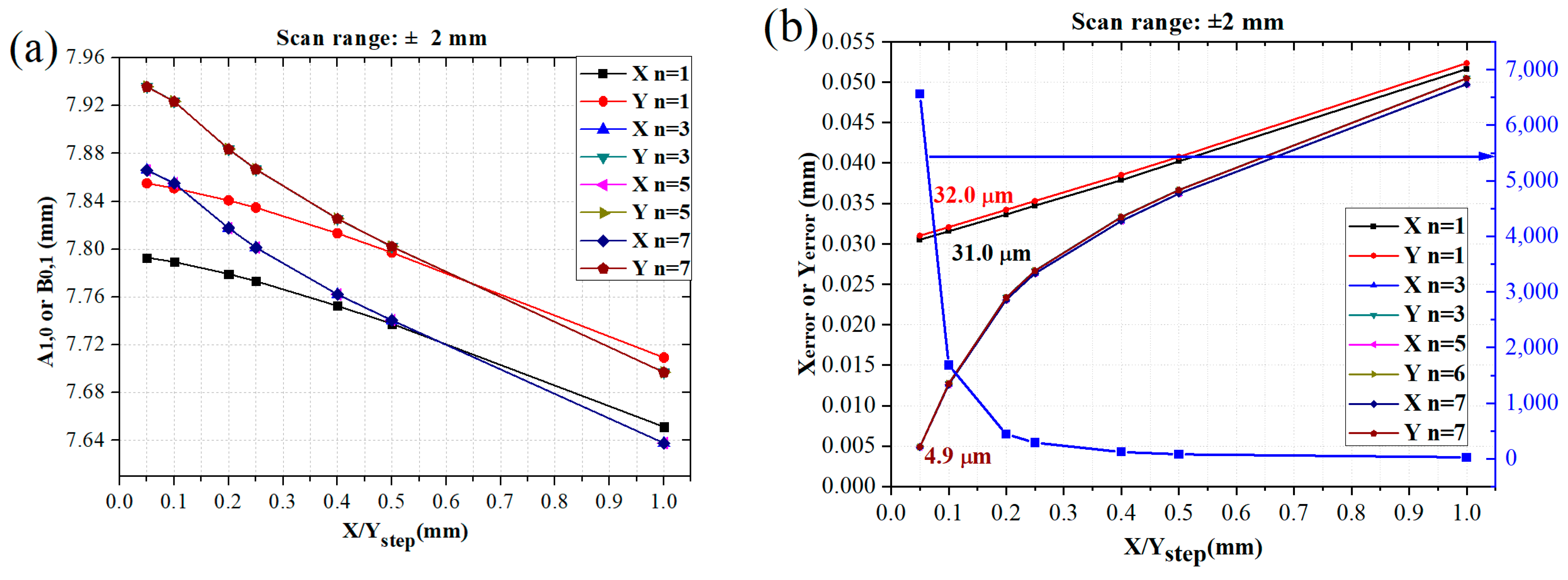
2.1. Polynomial Order and Fitting Error
2.2. Comparison between the CST Simulation and Calibration System Results
2.3. Position Sensitivity Constants of BPMs
3. Other Factors That Affect Measurement Accuracy
4. Discussion
5. Conclusions
Author Contributions
Funding
Data Availability Statement
Acknowledgments
Conflicts of Interest
References
- Available online: https://lightsources.org/lightsources-of-the-world/ (accessed on 11 April 2024).
- Available online: https://www.maxiv.lu.se/beamlines-accelerators/accelerators/3-gev-storage-ring/ (accessed on 11 April 2024).
- Available online: https://lnls.cnpem.br/accelerators/storage-ring-parameters/ (accessed on 11 April 2024).
- RIKEN SPring-8 Center. SPring-8-II Conceptual Design Report; RIKEN: Wako, Japan, 2014; Available online: http://rsc.riken.jp/pdf/SPring-8-II.pdf (accessed on 11 April 2024).
- ESRF-EBS. EBS Storage Ring Technical Report; The European Synchrotron Radiation Facility (ESRF): Grenoble, France, 2018; Available online: https://www.esrf.fr/files/live/sites/www/files/about/upgrade/documentation/Design%20Report-reduced-jan19.pdf (accessed on 11 April 2024).
- Fornek, T.E. Advanced Photon Source Upgrade Project, Final Design Report; Argonne National Lab.(ANL): Argonne, IL, USA, 2019.
- Available online: https://meettechniek.info/measurement/accuracy.html/ (accessed on 11 April 2024).
- Hettel, R.O. Beam stability at light sources(invited). Rev. Sci. Instrum. 2002, 73, 1396–1401. [Google Scholar] [CrossRef]
- Wang, G.-M. Beam Stability Requirements for Ultra-Low Emittance Circular Light Sources. In Proceedings of the 11th International Beam Instrumentation Conference 2022 (IBIC22), Krakow, Poland, 11–15 September 2022. [Google Scholar]
- Rehm, R. Review of BPM Drift Effects and Compensation Schemes. In Proceedings of the 11th International Beam Instrumentation Conference 2022 (IBIC22), Krakow, Poland, 11–15 September 2022. [Google Scholar]
- Scheidt, K. Experience with UHV-leaks on 1500 units of BPM-buttons at the ESRF in 2016. In BPM Button Workshop; DLS: Didcot, UK, 2019. [Google Scholar]
- He, J.; Sui, Y.; Li, Y.; Du, Y.; Yu, L.; Yue, J.; Cao, J.; Wang, X.; Duan, Z.; Xiao, O. Electro-mechanical offset measurements of beam position monitors. Radiat. Detect. Technol. Methods 2023, 7, 288–296. [Google Scholar] [CrossRef]
- Forck, P.; Kowina, P.; Liakin, D. Beam Position Monitors. In CERN Accelerator School; Beam Diagnostics: Dourdan, France, 2018; pp. 187–228. [Google Scholar]
- Wendt, M. BPM systems a brief introduction to beam position monitoring. In Proceedings of the 2018 CERN Accelerator School on Beam Instrumentation, Tuusula, Finland, 2–15 June 2018. [Google Scholar]
- He, J.; Sui, Y.-F.; Li, Y.; Tang, X.-H.; Wang, L.; Liu, F.; Liu, Z.; Yu, L.-D.; Liu, X.-Y.; Xu, T.-G.; et al. Design and fabrication of button-style beam position monitors for the HEPS synchrotron light facility. Nucl. Sci. Tech. 2022, 33, 141. [Google Scholar] [CrossRef]
- CST Studio Suite® (Version 2020); CST AG: Darmstadt, Germany, 2020.
- He, J.; Sui, Y.; Li, Y.; Wang, A.; Tang, X.; Zhao, Y.; Ye, Q.; Ma, H.; Xu, T.; Yue, J.; et al. Design and optimization of a Goubau line for calibration of BPMs for particle accelerators. Nucl. Instrum. Methods Phys. Res. Sect. A Accel. Spectrometers Detect. Assoc. Equip. 2023, 1045, 167635. [Google Scholar] [CrossRef]
- Marcellini, F.; Serio, M.; Stella, A.; Zobov, M. DAFNE broad-band button electrodes. Nucl. Instrum. Methods Phys. Res. A 1998, 402, 27–35. [Google Scholar] [CrossRef]









| n = 1 | n = 2 | n = 3 | n = 4 | |||||
|---|---|---|---|---|---|---|---|---|
| CST | G-Line | CST | G-Line | CST | G-Line | CST | G-Line | |
| A0,0 | 0.000038 | 0.003537 | 0.000030 | 0.006438 | 0.000023 | 0.006795 | 0.000014 | 0.007588 |
| A1,0 | 7.417378 | 7.418390 | 7.417378 | 7.421355 | 7.341290 | 7.338520 | 7.341290 | 7.340805 |
| A0,1 | 0.000040 | −0.019471 | 0.000040 | −0.019635 | 0.000691 | −0.026786 | 0.000694 | −0.027234 |
| A2,0 | / | −0.000056 | −0.006683 | 0.000072 | 0.001686 | −0.000004 | 0.005409 | |
| A1,1 | / | 0.000023 | 0.075334 | 0.000155 | 0.070936 | 0.000251 | 0.133496 | |
| A0,2 | / | 0.000090 | −0.007537 | 0.000044 | −0.012418 | 0.000206 | −0.017898 | |
| A3,0 | / | / | 7.570054 | 7.301139 | 7.570054 | 7.295493 | ||
| A2,1 | / | / | 0.001055 | 0.039867 | 0.001055 | 0.040914 | ||
| A1,2 | / | / | −8.575943 | −8.284103 | −8.575943 | −8.286623 | ||
| A0,3 | / | / | −0.002331 | −0.002462 | −0.002331 | −0.001646 | ||
| A4,0 | / | / | / | 0.000291 | −0.037322 | |||
| A3,1 | / | / | / | 0.000472 | −0.080949 | |||
| A2,2 | / | / | / | −0.000117 | 0.053807 | |||
| A1,3 | / | / | / | −0.000676 | −0.051802 | |||
| A0,4 | / | / | / | −0.000311 | −0.013570 | |||
| Xerror | ||||||||
| n = 1 | n = 2 | n = 3 | n = 4 | n = 5 | n = 6 | n = 7 | n = 8 | |
| Mean * (mm) | 0.54672 | 0.54507 | 0.07440 | 0.07348 | 0.02581 | 0.02548 | 0.01595 | 0.01589 |
| STD ** (μm) | 2.664 | 2.291 | 1.547 | 1.150 | 1.367 | 1.114 | 1.270 | 1.190 |
| STD/Mean (%) | 0.49 | 0.42 | 2.08 | 1.57 | 5.30 | 4.37 | 7.96 | 7.49 |
| Yerror | ||||||||
| n = 1 | n = 2 | n = 3 | n = 4 | n = 5 | n = 6 | n = 7 | n = 8 | |
| Mean (mm) | 0.54636 | 0.54479 | 0.07413 | 0.07349 | 0.02574 | 0.02537 | 0.01587 | 0.01579 |
| STD (μm) | 2.423 | 2.466 | 1.417 | 0.835 | 1.093 | 0.727 | 1.300 | 1.126 |
| STD/Mean (%) | 0.44 | 0.45 | 1.91 | 1.14 | 4.25 | 2.87 | 8.19 | 7.13 |
Disclaimer/Publisher’s Note: The statements, opinions and data contained in all publications are solely those of the individual author(s) and contributor(s) and not of MDPI and/or the editor(s). MDPI and/or the editor(s) disclaim responsibility for any injury to people or property resulting from any ideas, methods, instructions or products referred to in the content. |
© 2024 by the authors. Licensee MDPI, Basel, Switzerland. This article is an open access article distributed under the terms and conditions of the Creative Commons Attribution (CC BY) license (https://creativecommons.org/licenses/by/4.0/).
Share and Cite
He, J.; Sui, Y.; Liang, C.; Du, Y.; Zhao, Y.; Zhang, W.; Huang, F.; Xu, T.; Yue, J.; Cao, J. Preliminary Analysis of Beam Position Monitor Accuracy. Symmetry 2024, 16, 566. https://doi.org/10.3390/sym16050566
He J, Sui Y, Liang C, Du Y, Zhao Y, Zhang W, Huang F, Xu T, Yue J, Cao J. Preliminary Analysis of Beam Position Monitor Accuracy. Symmetry. 2024; 16(5):566. https://doi.org/10.3390/sym16050566
Chicago/Turabian StyleHe, Jun, Yanfeng Sui, Chongyang Liang, Yaoyao Du, Ying Zhao, Wan Zhang, Fangqi Huang, Taoguang Xu, Junhui Yue, and Jianshe Cao. 2024. "Preliminary Analysis of Beam Position Monitor Accuracy" Symmetry 16, no. 5: 566. https://doi.org/10.3390/sym16050566
APA StyleHe, J., Sui, Y., Liang, C., Du, Y., Zhao, Y., Zhang, W., Huang, F., Xu, T., Yue, J., & Cao, J. (2024). Preliminary Analysis of Beam Position Monitor Accuracy. Symmetry, 16(5), 566. https://doi.org/10.3390/sym16050566

