Mainline Railway Modeled with 2100 MHz 5G-R Channel Based on Measured Data of Test Line of Loop Railway
Abstract
1. Introduction
1.1. Related Works
1.2. Contribution and Organization of the Paper
- Section 2: Description of the 5G-R-dedicated network constructed along the test line of the loop railway, the location of the base stations as well as the characteristics of the antenna transceivers are disclosed;
- Section 3: The in-service SS-RSRP signal-based passive large-scale channel testing system and SDR-based channel modeling system, as well as the corresponding measurement and data processing methods, are presented;
- Section 4: The results are summarized;
- Section 5: Conclusions and future works are pointed out.
2. The 5G-R Testing Environment of Loop Railway Test Line
3. Channel Modeling Equipment and Data Processing Method
3.1. In-Service SS-RSRP Signal-Based Passive 2100 MHz Large-Scale Channel Modeling
3.1.1. Hardware of the Testing System
3.1.2. Introduction of Large-Scale Channel Models
FI Model
CI Model
3GPP TR 38.901 Model
Shadow Fading Formula
3.1.3. Model Parameter Fitting Algorithm
Data Collection and Processing
Fitting Process
Evaluation Indicators for Fitting Results
3.2. SDR-Based 2100 MHz 5G-R Channel Modeling
3.2.1. Hardware of the System
3.2.2. Data Processing Method
4. Results
4.1. Fitting Results and Comparison of FI, CI and TR 38.901 Models Based on Passive Measurement
4.1.1. Fitting Result of FI Model
4.1.2. Fitting Result of the CI Model
4.1.3. Fitting Result of TR 38.901 Model
4.1.4. Comparison of Models
4.2. Channel Characteristics Derived from SDR-Based Channel Modeling
4.2.1. Relationship between Number of MPCs and Distance
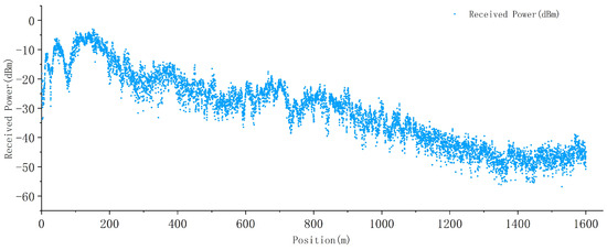
4.2.2. Relationship between Received Power and Distance
4.2.3. Relationship between RMS Delay Spread and Distance
5. Conclusions
Author Contributions
Funding
Data Availability Statement
Acknowledgments
Conflicts of Interest
Abbreviations
| 3GPP | The 3rd Generation Partnership Project |
| 5G-R | 5G for Railway |
| ABG | Alpha Beta Gamma |
| ADC | Analog-to-Digital Converter |
| BS | Base Station |
| CI | Close In |
| CIR | Channel Impulse Response |
| CSI | Channel State Information |
| DAC | Digital-to-Analog Converter |
| DL | Deep Learning |
| EMU | Electric Multiple Unit |
| FDD | Frequency Division Duplexing |
| FI | Frequency Independent |
| FRMCS | Future Railway Mobile Communication System |
| GBSM | Geometry-Based Stochastic Model |
| GPSDO | GPS Disciplined Oscillator |
| GSMA | Global System for Mobile communications Association |
| GSM-R | GSM for Railway |
| HSR | High-Speed Railway |
| I/Q | In-Phase/Quadrature |
| ITU | International Telecommunication Union |
| LabVIEW | Laboratory Virtual Instrument Engineering Workbench |
| LNA | Low-Noise Amplifier |
| LOS | Line of Sight |
| MAE | Root Mean Square Error |
| MIIT | Ministry of Industry and Information Technology (China) |
| MPC | Multi-Path Component |
| PA | Power Amplifier |
| PC | Personal Computer |
| PDP | Power Delay Profile |
| PL | Path Loss |
| QoS | Quality of Service |
| RIS | Reconfigurable Intelligent Surface |
| RMS | Root Mean Square |
| RMSE | Root Mean Square Error |
| RRU | Remote Radio Unit |
| RT | Ray Tracing |
| SDR | Software-Defined Radio |
| SISO | Single-Input–Single-Output |
| SNR | Signal-to-Noise Ratio |
| SS-RSRP | Synchronization Signal Reference Signal Received Power |
| T2T | Train-to-Train |
| TDL | Tapped Delay Line |
| UE | User Equipment |
| UIC | International Union of Railway |
| ZC Sequence | Zadoff–Chu Sequence |
References
- Zhou, T.; Li, H.; Wang, Y.; Liu, L.; Tao, C. Channel Modeling for Future High-Speed Railway Communication Systems: A Survey. IEEE Access 2019, 7, 52818–52826. [Google Scholar] [CrossRef]
- Ai, B.; Cheng, X.; Kürner, T.; Zhong, Z.; Guan, K.; He, R.; Xiong, L.; Matolak, D.W.; Michelson, D.G.; Briso-Rodriguez, C. Challenges Toward Wireless Communications for High-Speed Railway. IEEE Trans. Intell. Transp. Syst. 2014, 15, 2143–2158. [Google Scholar] [CrossRef]
- Zhou, T.; Tao, C.; Liu, K. Analysis of nonstationary characteristics for high-speed railway scenarios. Wireless Commun. Mobile Comput. 2018, 2018, 1729121. [Google Scholar] [CrossRef]
- Wang, H.; Lin, S.; Ding, J. Measurement and Analysis on Time Correlation of Wireless Channel in Tunnel Entrance Scenarios. In Proceedings of the 2023 IEEE International Symposium on Antennas and Propagation and USNC-URSI Radio Science Meeting (USNC-URSI), Portland, OR, USA, 23–28 July 2023; pp. 407–408. [Google Scholar]
- He, R.; Zhong, Z.; Ai, B.; Wang, G.; Ding, J.; Molisch, A.F. Measurements and Analysis of Propagation Channels in High-Speed Railway Viaducts. IEEE Trans. Wireless Commun. 2013, 12, 794–805. [Google Scholar] [CrossRef]
- Chen, B.; Zhong, Z.; Ai, B.; Michelson, D.G. A Geometry-Based Stochastic Channel Model for High-Speed Railway Cutting Scenarios. IEEE Antennas Wirel. Propag. Lett. 2015, 14, 851–854. [Google Scholar] [CrossRef]
- Zhou, T.; Tao, C.; Salous, S.; Liu, L. Measurements and Analysis of Short-Term Fading Behavior in High-Speed Railway Communication Networks. IEEE Trans. Veh. Technol. 2019, 68, 101–112. [Google Scholar] [CrossRef]
- Unterhuber, P.; Walter, M.; Fiebig, U.-C.; Kürner, T. Stochastic Channel Parameters for Train-to-Train Communications. IEEE Open J. Antennas Propag. 2021, 2, 778–792. [Google Scholar] [CrossRef]
- Yang, R.; Lin, S. Propagation Modeling for Indoor Wireless Channels in High-Speed Train. In Proceedings of the 2023 IEEE International Symposium on Antennas and Propagation and USNC-URSI Radio Science Meeting (USNC-URSI), Portland, OR, USA, 23–28 July 2023; pp. 453–454. [Google Scholar]
- Ma, L.; Guan, K.; He, D.; Li, G.; Lin, S.; Ai, B.; Zhong, Z. Ray-tracing simulation and analysis for air-to-ground channel in railway environment. In Proceedings of the 2018 IEEE International Symposium on Antennas and Propagation and USNC/URSI National Radio Science Meeting, Boston, MA, USA, 8–13 July 2018; pp. 1–2. [Google Scholar]
- Zhou, L.; Yang, Z.; Luan, F.; Molisch, A.F.; Tufvesson, F.; Zhou, S. Dynamic Channel Model With Overhead Line Poles for High-Speed Railway Communications. IEEE Antennas Wirel. Propag. Lett. 2018, 17, 903–906. [Google Scholar] [CrossRef]
- Sambas, M.H.M.; Ridwanuddin, A.K.; Anwar, K.; Rangkuti, I.A.; Adriansyah, N.M. Performances of Future Railway Mobile Communication Systems Under Indonesia Railway Channel Model. In Proceedings of the Symposium on Future Telecommunication Technologies (SOFTT), Kuala Lumpur, Malaysia, 18–19 November 2019; pp. 1–6. [Google Scholar]
- Chen, R.; Shi, T.; Lv, X.; Wang, Q. Small-scale fading characterization for railway wireless channels. In Proceedings of the IEEE International Symposium on Antennas and Propagation (APSURSI), Fajardo, PR, USA, 26 June–1 July 2016; pp. 1701–1702. [Google Scholar]
- Liu, Y.; Li, Y.; Zhang, X.; Wang, W. Empirical Model Based on New Filtering Algorithm for High-Speed-Train Channels. In Proceedings of the IEEE Wireless Communications and Networking Conference (WCNC), San Francisco, CA, USA, 19–22 March 2017; pp. 1–5. [Google Scholar]
- Zhang, L.; Ding, J.; Zhang, B.; Rodríguez, C.B.; Guan, K. Experimental study on wave propagation in railway cuttings at 950 MHz and 2150 MHz. In Proceedings of the 10th European Conference on Antennas and Propagation (EuCAP), Davos, Switzerland, 10–15 April 2016; pp. 1–4. [Google Scholar]
- Qian, W.; Chunxiu, X.; Min, Z.; Siyu, Z. Measurement-based tapped-delay-line (TDL) models for wireless channels under high speed railway scenarios at 2.6 GHz. In Proceedings of the 21st International Conference on Telecommunications (ICT), Lisbon, Portugal, 4–7 May 2014; pp. 353–357. [Google Scholar]
- Elkholy, K.; Lichtblau, J.; Reissland, T.; Weigel, R.; Koelpin, A. Channel Measurements for the Evaluation of Evolving Next Generation Wireless Railway Communication Applications. In Proceedings of the 2020 German Microwave Conference (GeMiC), Cottbus, Germany, 9–11 March 2020; pp. 120–123. [Google Scholar]
- Tang, P. Channel Characteristics for 5G Systems in Urban Rail Viaduct Based on Ray-Tracing. In Proceedings of the 2021 4th International Seminar on Research of Information Technology and Intelligent Systems (ISRITI), Yogyakarta, Indonesia, 16–17 December 2021; pp. 24–28. [Google Scholar]
- Zhang, B.; Zhong, Z.; He, R.; Tufvesson, F.; Ai, B. Measurement-Based Multiple-Scattering Model of Small-Scale Fading in High-Speed Railway Cutting Scenarios. IEEE Antennas Wirel. Propag. Lett. 2017, 16, 1427–1430. [Google Scholar] [CrossRef]
- Zhao, Y.; Wang, X.; Wang, G.; He, R.; Zou, Y.; Zhao, Z. Channel estimation and throughput evaluation for 5G wireless communication systems in various scenarios on high speed railways. China Commun. 2018, 15, 86–97. [Google Scholar] [CrossRef]
- Zhang, J.; Liu, L.; Fan, Y.; Zhuang, L.; Zhou, T.; Piao, Z. Wireless Channel Propagation Scenarios Identification: A Perspective of Machine Learning. IEEE Access 2020, 8, 47797–47806. [Google Scholar] [CrossRef]
- Zhou, T.; Qiao, Y.; Salous, S.; Liu, L.; Tao, C. Machine Learning-Based Multipath Components Clustering and Cluster Characteristics Analysis in High-Speed Railway Scenarios. IEEE Trans. Antennas Propag. 2022, 70, 4027–4039. [Google Scholar] [CrossRef]
- Zhou, T.; Zhang, H.; Ai, B.; Xue, C.; Liu, L. Deep-Learning-Based Spatial–Temporal Channel Prediction for Smart High-Speed Railway Communication Networks. IEEE Trans. Wirel. Commun. 2022, 21, 5333–5345. [Google Scholar] [CrossRef]
- Xie, J.; Li, C.; Zhang, W.; Liu, L. Modeling and Optimization of Wireless Channel in High-Speed Railway Terrain. IEEE Access 2020, 8, 84961–84970. [Google Scholar] [CrossRef]
- Li, X.; Shen, C.; Bo, A.; Zhu, G. Finite-state Markov modeling of fading channels: A field measurement in high-speed railways. In Proceedings of the 2013 IEEE/CIC International Conference on Communications in China (ICCC), Xi’an, China, 12–14 August 2013; pp. 577–582. [Google Scholar]
- Wang, X.; Zhang, Z.; He, D.; Guan, K.; Liu, D.; Dou, J.; Mumtaz, S.; Al-Rubaye, S. A Multi-Task Learning Model for Super Resolution of Wireless Channel Characteristics. In Proceedings of the GLOBECOM 2022—2022 IEEE Global Communications Conference, 4–8 December 2022; pp. 952–957. [Google Scholar]
- Song, M.; Yin, X.; Zhang, L. Wideband High-Speed-Train Channel Characterization Based on Measurements in In-service 5G-NR Networks. In Proceedings of the 2020 IEEE 31st Annual International Symposium on Personal, Indoor and Mobile Radio Communications (PIMRC), London, UK, 31 August–3 September 2020; pp. 1–6. [Google Scholar]
- Sun, G.; He, R.; Ai, B.; Ma, Z.; Li, P.; Niu, Y.; Ding, J.; Fei, D.; Zhong, Z. A 3D Wideband Channel Model for RIS-Assisted MIMO Communications. IEEE Trans. Veh. Technol. 2022, 71, 8016–8029. [Google Scholar] [CrossRef]
- Zhang, B.; Zhong, Z.; He, R.; Dahman, G.; Ding, J.; Lin, S.; Ai, B.; Yang, M. Measurement-Based Markov Modeling for Multi-Link Channels in Railway Communication Systems. IEEE trans. Intell. Transp. Syst. 2019, 20, 985–999. [Google Scholar] [CrossRef]
- Huang, W.; Zhou, T.; Tao, C. A Non-Stationary 3-D Wideband GBSM for Narrow-Beam Channels in Smart High-Speed Railway Communication Systems. In Proceedings of the 2022 IEEE 95th Vehicular Technology Conference: (VTC2022-Spring), Helsinki, Finland, 19–22 June 2022; pp. 1–6. [Google Scholar]
- Yang, J.; Ai, B.; Guan, K.; He, R.; Zhong, Z.; Zhao, Z.; Miao, D.; Guan, H. On the influence of mobility: Doppler spread and fading analysis in rapidly time-varying channels. In Proceedings of the 2016 10th European Conference on Antennas and Propagation (EuCAP), 10–15 April 2016; pp. 1–5. [Google Scholar]
- Zhou, T.; Zhang, H.; Ai, B.; Liu, L. Weighted Score Fusion Based LSTM Model for High-Speed Railway Propagation Scenario Identification. IEEE trans. Intell. Transp. Syst. 2022, 23, 23668–23679. [Google Scholar] [CrossRef]
- Majed, M.B.; Rahman, T.A.; Aziz, O.A.; Hindia, M.N.; Hanafi, E. Channel characterization and path loss modeling in indoor environment at 4.5, 28, and 38 GHz for 5G cellular networks. Int. J. Antennas Propag. 2018, 2018, 9142367. [Google Scholar] [CrossRef]
- Lee, W.C.Y. Estimate of local average power of a mobile radio signal. IEEE Trans. Veh. Technol. 1985, 34, 22–27. [Google Scholar] [CrossRef]
- Liang, Y.; Li, H.; Tian, Y.; Li, Y.; Wang, W. SDR-Based 28 GHz mmWave Channel Modeling of Railway Marshaling Yard. Sensors 2023, 23, 8108. [Google Scholar] [CrossRef] [PubMed]


























| Parameter | Detail Information |
|---|---|
| Length of the loop line | 9 km |
| Number of 5G-R base stations | 5 |
| Height of BS antenna from rail track surface | 26 m |
| Gain of the BS antenna | 17.5 dBi |
| Gain of the on-board antenna | 0 dBi |
| Height of on-board roof antenna from rail track surface | 4.2 m |
| Speed of the testing locomotive | 80 km/h |
| Frequency band of 5G-R system | 1965–1975 MHz/2155–2165 MHz |
| Azimuth of K1.1 BS antenna (pointing to K4.2 direction) | 100° |
| Elevation angle of K1.1 BS antenna (pointing to K4.2 direction) | 5° |
| Azimuth of K4.2 BS antenna (pointing to K1.1 direction) | 340° |
| Elevation angle of K4.2 BS antenna (pointing to K1.1 direction) | 2° |
| Parameters | Detail Information |
|---|---|
| Level measurement uncertainty | <1 dB |
| RF receive paths | 1 |
| SSB subcarrier spacings supported 1 | 15 kHz, 30 kHz |
| Sample rate | 20 samples per second |
| Parameter | Detail Information | |
|---|---|---|
| Transmitter | Frequency Range | 10 MHz–6 GHz |
| Gain range | 0 dB–31.5 dB | |
| Maximum instantaneous real-time bandwidth | 160 MHz | |
| Maximum I/Q sample rate | 200 MS/s | |
| Digital-to-analog converter (DAC) resolution | 16 bit | |
| Output power | 20 dBm (100 mW) | |
| Receiver | Frequency range | 10 MHz–6 GHz |
| Gain range | 0 dB–37.5 dB | |
| Maximum input power | −15 dBm | |
| Noise figure | 5 dB–7 dB | |
| Maximum instantaneous real-time bandwidth | 160 MHz | |
| Maximum I/Q sample rate | 200 MS/s | |
| Analog-to-digital converter (ADC) resolution | 14 bit | |
| Indicator | RMSE | MAE | |
|---|---|---|---|
| Models | |||
| FI | 3.945 | 3.027 | |
| CI | 4.073 | 3.037 | |
| TR 38.901 | 3.857 | 3.017 | |
| Latency (ns) | Received Power (dBm) | Longitude | Latitude | Timestamp (s) | Speed (km/h) | Position (km) |
|---|---|---|---|---|---|---|
| 147 | −20.71 | 116.519385 | 40.0017217 | 142,417.01 | 80.228 | 1.1 |
| 627 | −33.283 | 116.519385 | 40.0017217 | 142,417.01 | 80.228 | 1.1 |
| 1187 | −35.47 | 116.519385 | 40.0017217 | 142,417.01 | 80.228 | 1.1 |
| 1427 | −37.462 | 116.519385 | 40.0017217 | 142,417.01 | 80.228 | 1.1 |
| 2147 | −42.264 | 116.519385 | 40.0017217 | 142,417.01 | 80.228 | 1.1 |
| 2307 | −48.755 | 116.519385 | 40.0017217 | 142,417.01 | 80.228 | 1.1 |
| 2467 | −48.998 | 116.519385 | 40.0017217 | 142,417.01 | 80.228 | 1.1 |
| 3587 | −52.051 | 116.519385 | 40.0017217 | 142,417.01 | 80.228 | 1.1 |
Disclaimer/Publisher’s Note: The statements, opinions and data contained in all publications are solely those of the individual author(s) and contributor(s) and not of MDPI and/or the editor(s). MDPI and/or the editor(s) disclaim responsibility for any injury to people or property resulting from any ideas, methods, instructions or products referred to in the content. |
© 2024 by the authors. Licensee MDPI, Basel, Switzerland. This article is an open access article distributed under the terms and conditions of the Creative Commons Attribution (CC BY) license (https://creativecommons.org/licenses/by/4.0/).
Share and Cite
Liang, Y.; Li, H.; Li, Y.; Li, A. Mainline Railway Modeled with 2100 MHz 5G-R Channel Based on Measured Data of Test Line of Loop Railway. Symmetry 2024, 16, 431. https://doi.org/10.3390/sym16040431
Liang Y, Li H, Li Y, Li A. Mainline Railway Modeled with 2100 MHz 5G-R Channel Based on Measured Data of Test Line of Loop Railway. Symmetry. 2024; 16(4):431. https://doi.org/10.3390/sym16040431
Chicago/Turabian StyleLiang, Yiqun, Hui Li, Yi Li, and Anning Li. 2024. "Mainline Railway Modeled with 2100 MHz 5G-R Channel Based on Measured Data of Test Line of Loop Railway" Symmetry 16, no. 4: 431. https://doi.org/10.3390/sym16040431
APA StyleLiang, Y., Li, H., Li, Y., & Li, A. (2024). Mainline Railway Modeled with 2100 MHz 5G-R Channel Based on Measured Data of Test Line of Loop Railway. Symmetry, 16(4), 431. https://doi.org/10.3390/sym16040431

