Abstract
The review is devoted to the theoretical and synthetic aspects of the stereochemistry of organophosphorus compounds. Organophosphorus compounds are not only widely exist in biologically active pharmaceuticals and agrochemicals, but also have widespread applications in material science and organic synthesis as ligands for transition metal complexes. One of the mainstreams for the development in this field is the creation of biologically active organophosphorus compounds that are searched and used as drugs or plant-protecting agents, which leads to the elaboration of advanced methods and monitoring, yielding up-to-date approaches to perform synthesis in an environmentally friendly manner. The review consists of two parts. The first part presents methods for the asymmetric synthesis of organophosphorus compounds using asymmetric organocatalysis and metal complex catalysis. In the review is described the nature of the chirality generation in the prebiotic period, the mechanisms of asymmetric induction, and double stereodifferentiation are discussed. The use of these methods for the preparation of chiral phosphorus analogs of natural compounds (phosphono-isonorstatin, phosphono-GABOB, phosphacarnitine, bis-phosphonates, and others) is described. Some data concerning of λ5-phosphanediones as metaphosphate anion analogues are also reported. The second part of the presented review shows examples of the use of these methods for the synthesis of phosphorus analogues of natural compounds—chiral phosphonoamino acids and hydroxyphosphonates: phosphonoaspartic acid, phosphonoglutamic acid, phosphonohomoproline, chiral bis-phosphonates. The reaction of dehydration aromatization with the formation of pho sphono isoindolinones, including isoindolinone bis-phosphonates, has been studied. Some of the synthesized compounds showed biological activity as protein tyrosine phosphatase inhibitors. A phosphonic analogue of iso-norstatine was synthesized. A stereoselective method for the synthesis of tetradecapentaenoic acid derivatives was developed.
1. Introduction
Organophosphorus compounds play a vital role as nucleic acids, nucleotide coenzymes, metabolic intermediates and are involved in many biochemical processes. They are part of DNA, RNA, ATP and a number of important biological elements of living organisms. Phosphorus compounds are essential for modern biological systems, and their diverse biological properties indicate their importance in the world of living organisms. They provide stable ligation necessary for information fixation in RNA and DNA, contribute to the cellular structure of phospholipids, serve as a major source of biochemical energy (e.g., ATP, phosphoenolpyruvate, creatine phosphate), and are present in a large number of metabolites. Phosphates remain central to biological systems, suggesting that they played an important role in the emergence of life on Earth [1,2,3,4]. Phosphates were the most important compounds for prebiotic evolution. But most of the phosphorus on the early Earth was in the form of water-insoluble apatite, so the origin of water-soluble polyphosphates was unclear. Yamagata, based on experiments simulating magmatic conditions, concluded that volcanic activity could produce water-soluble polyphosphates through partial hydrolysis of phosphorus anhydride [5], The earliest forms of life existed on Earth more than 3.5 billion years ago, refs. [6,7,8,9,10] during the Archean Era, while a sufficient amount of the earth’s crust was established after the molten state in the Catarchaean period. Published data indicate that geological formations 3.5 billion years old contain the fossilized remains of cyanobacterial microorganisms containing phosphorus [6,10]. These findings suggested that the formation of life occurred almost immediately after the formation of the oceans [10]. Other similar geological evidence was also found in sedimentary rocks aged 3.7 billion years [6]. D. England [11] proposed a hypothesis according to which the emergence of life was inevitable taking into account the principles of thermodynamics: “… when a group of atoms is influenced by an external source of energy such as the sun and is surrounded by a thermal bath (such as the ocean or atmosphere), it will often gradually change its structure in order to dissipate more and more energy. This could mean that, under certain conditions, matter will inexorably acquire key physical attributes associated with life. This includes a necessary condition for storing and transmitting information, which is a higher form of organization of matter in the form of chirality of organic molecules. As is known, the human genome contains approximately 3.2 billion nucleotides of DNA, divided into 23 pairs of chromosomes [12]. All of them have the chirality of D-deoxyribose. However, not a single nucleotide can be racemic. In the process of searching for a solution to the problem of homochirality, interesting chemical reactions were discovered, the purpose of which was to prove the availability of chiral compounds in the prebiotic period: nonlinear effects (Kagan [13]); asymmetric autocatalysis (Soai [14]) Dynamic kinetic crystallization according to Ostwald (Wiedma [15]); as well as space theories (meteorites and comets). For example, the Murchison meteorite contains 14 thousand different organic compounds, in low concentration (1–10 ppm), among which amino acids with 2–8% of it were found [16].
Unfortunately, none of these theories has been confirmed in real nature, primarily due to the lack of chiral substances of abiogenic origin with high ee. In addition, to initiate viable reactions that can lead to the formation of RNA, DNA, and then proteins, energy is required, which “living” molecules can receive from the energy radiation of the Sun through phosphagens, that is, through ATP-ADP [17]. ATP-ADP reactions are the source of energy for all living organisms. In addition, ATP is an important membrane-stabilizing, antiarrhythmic agent, used in the treatment of coronary heart disease, cardiac arrhythmias, and ATP is a source of energy for living organisms, including both mechanical movement and the energy of all biochemical processes. The energy accumulated by phosphagens and the further evolution of phosphorus molecules is realized in the generation of nucleotides, which ends with the formation of RNA and DNA molecules in accordance with stereoselective substitution and addition reactions controlled by the formation of a chiral double helix of these molecules [6].
2. Stereochemistry of Organophosphorus Compounds
In the chemistry of phosphorus, the monomolecular, and bimolecular reactions of nucleophilic substitution at the phosphorus atom, SN1(P) and SN2(P), are well-known. The SN1(P) reactions participate in the processes of genetic inheritance through nucleic acids and the chemical energy generation that allows to stimulate the thermodynamically unfavorable processes required for the construction of living cells. The study of the mechanism for the transfer of phosphoryl groups in natural phosphates is important for understanding the basic metabolic pathways and for the cellular signal transduction of fundamental processes in living systems. There are the following mechanisms for the transfer of phosphoryl groups in the substitution reactions at the phosphorus atom (Figure 1) [2,4]:
Figure 1.
Mechanisms of phosphoryl group transfer in substitution reactions at phosphorus atom.
- (a)
- dissociative SN1-type mechanism that consider the formation of a stable metaphosphate ion (PO3), which is attacked by a nucleophile in the subsequent, rate limiting step of reaction;
- (b)
- associative, two-step addition-elimination mechanism through the formation of a phosphorane intermediate.
The mechanism of the ATP hydrolysis reaction, proceeding through the formation of a metaphosphate intermediate, was reported by Westheimer [1]. A dissociative method of breaking the bond of P-C to form a metaphosphonate intermediate is observed in the case of sterically hindered phosphorus compounds, most often in weakly nucleophilic solvents. Pentavalent three-coordinated metaphosphate is very active in aqueous solutions. Therefore, it can not be registered in aqueous solutions because of an insignificant lifetime under these conditions. However, metaphosphate can be detected in highly polar and weakly nucleophilic non-aqueous media.
The difference between nucleophilic and electrophilic addition reactions is that the intermediates have opposite charges: negative in nucleophilic addition and positive in electrophilic addition. Therefore, the influence of substituents on these reactions is opposite. The electron-withdrawing group deactivates the phosphorus center in the case of electrophilic addition and activates the phosphorus center in the case of nucleophilic addition. Electron-withdrawing groups, due to their participation in the delocalization of the negative charge, stabilize the transition state, which leads to the formation of an intermediate anion in the nucleophilic reaction. In the case of substrates for which these two options are distinguishable, the configuration is maintained if the reaction proceeds according to the first mechanism, and in the second case it is inverted (Figure 2 and Figure 3) [3].
Figure 2.
Mechanism of ATP hydrolysis in ATPase enzymes.
Figure 3.
Options for generating dioxaphosphoranes.
The electronegative group deactivates the phosphorus center with respect to electrophilic addition and activates the phosphorus center in the case of nucleophilic addition. Electron-withdrawing groups, due to their participation in the delocalization of the negative charge, stabilize the transition state, which leads to the formation of a negatively charged intermediate in the nucleophilic reaction. The configuration of the phosphorus center is preserved if the reaction proceeds by the first mechanism. In the second case, the configuration is reversed. In SE2 reactions, a positively charged electrophile attacks the phosphorus center from the front side, on which a free pair of electrons is located [18,19,20,21] dedicated to monomolecular nucleophilic reactions SN1(P). This reaction is important in the study of the processes of phosphorylation-dephosphorylation of natural phosphates, primarily adenosine triphosphate (ATP). The hydrolysis of ATP in ATPase enzymes passes through an intermediate in which the phosphate ATP is bound to the protein as metaphosphate (PO3). phosphorylation of ADP and subsequent use of ATP as an energy source.
Phosphorylation-dephosphorylation reactions of natural phosphates, such as adenosine triphosphate, which is an important energy-generating molecule that ensures the vital activity of living organisms, proceed through a monomolecular mechanism with the formation of metaphosphate anion [1,2,3]. At the same time, all compounds containing the dioxaphosphorane fragment -P(=O)2 are extremely unstable and poorly studied molecules. Only two unstable, inorganic molecules of the dioxophosphorane structure were detected under extreme conditions by physicochemical methods [22]. We found that flash vacuum thermolysis (650 °C, 0.01 mmHg) of trimethylsilyl-tert-butylchlorophosphonate eliminates trimethylchlorosilane and leads to the formation of unstable dioxaphosphorane 1, which is collected in a trap cooled with liquid nitrogen. The chemical properties of the generated tert-butyldioxaphosphorane confirm the structure of this compound:
- (1)
- Dioxaphosphorane 8 readily polymerizes to the trimer tert-butyldioxophosphorane 9, which was isolated and its structure confirmed by spectroscopy and elemental analysis.
- (2)
- Compound 8 reacts with styrene oxide to form a [2+3]-cycloaddition product 9, which is a five-membered phosphorus heterocycle, 2-tert-butyl-2-phenyl-1,3,2-dioxophospholane 10, which was obtained as a mixture two diastereomers in a ratio of 1:2 and purified by distillation under reduced pressure.
- (3)
- Using alcohol as a reagent, tert-butylphosphonic acid esters were obtained (Figure 4) [22].
Figure 4. Chemical modeling of the mechanism of ATP conversion in ATPase enzymes.
In SN2 reactions, the nucleophile cannot attack the negatively charged front reaction center carrying the electron pair, so it attacks the phosphorus from the back side (Figure 5). In many cases, electrophilic substitution reactions begin with electrophilic addition to form an adduct that readily eliminates the leaving group to form P(III) or P(IV) compounds. Consequently, two types of reactions are possible on phosphorus. atom—nucleophilic addition-substitution or addition-elimination. Many of the important reactions in organophosphorus chemistry proceed by the addition-elimination mechanism (for example, the Arbuzov, Michaelis-Becker, Appel, Todd-Atherton reactions, etc.) [23,24,25,26].
Figure 5.
Diastereoselective reactions of chlorophosphines with chiral alcohols.
3. Methods for the Synthesis of Chiral Organophosphorus Compounds
3.1. Asymmetric Catalysis
Transition metal complexes containing phosphine ligands are widely used for the asymmetric formation of C–H and C–C bonds. Many methods can be used to obtain enantiomerically pure organophosphorus compounds. Over the past few years, great advances have been made in the asymmetric synthesis of organophosphorus compounds: metal complex catalysis, organocatalysis and biocatalysis [23].
Methods of asymmetric catalysis, primarily asymmetric metal complex catalysis, organocatalysis and enzymatic biocatalysis, not only attract the interest of academic chemists interested in the development of fundamental organic and theoretical chemistry, but also of chemists working in the field of fine organic synthesis, pharmaceutical chemistry and agrochemistry [23,25].
Reactions of asymmetric chlorophosphines with chiral nucleophiles proceed with asymmetric induction. which leads to the formation of enantiomerically enriched phosphinites.
3.2. Diastereoselective Substitution Reactions
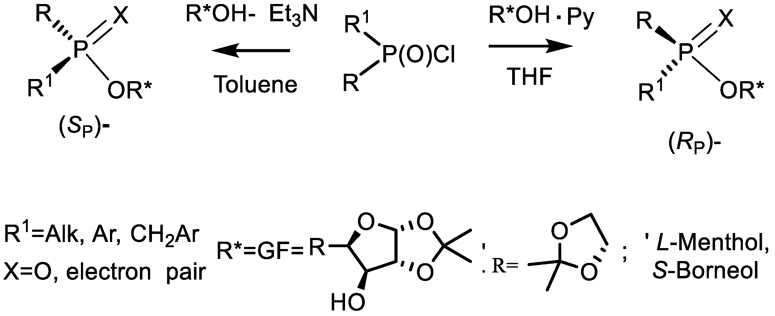
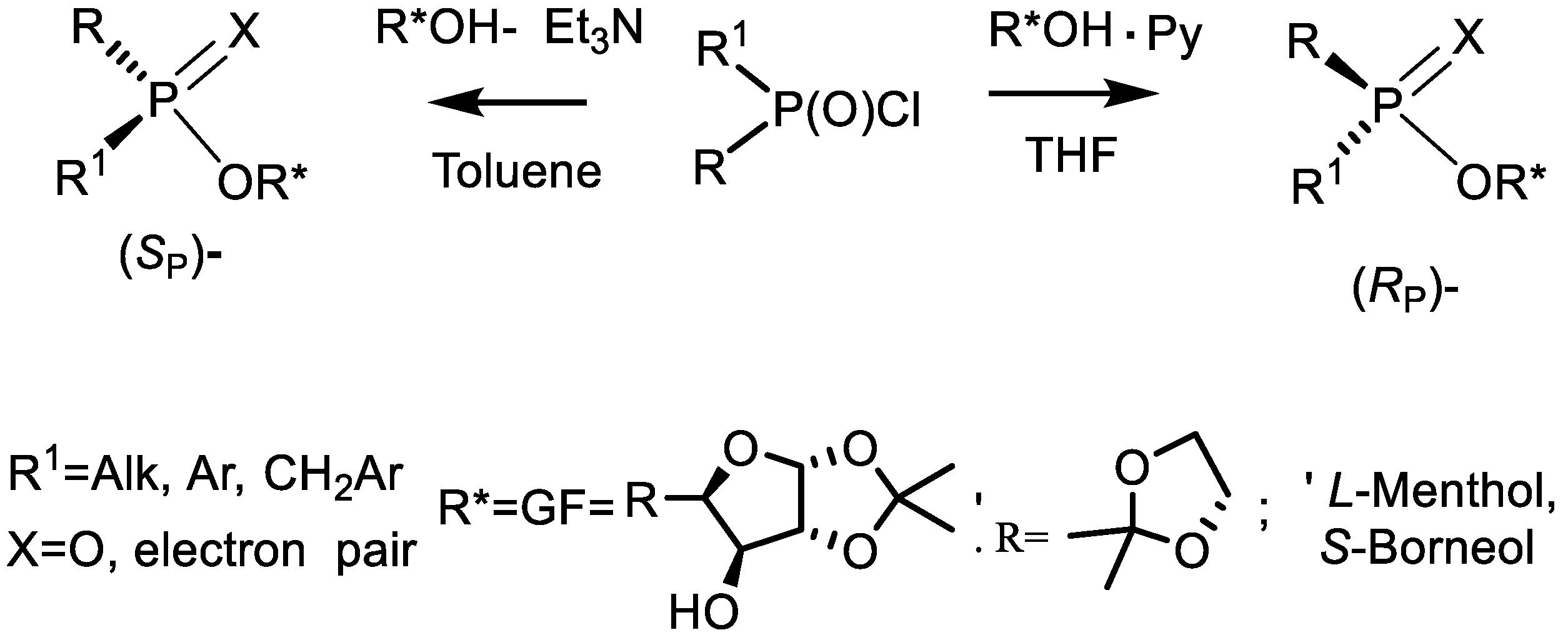
Diastereoselective reactions are those in which one diastereomer is formed in greater abundance relative to another (or where one of several possible diastereomers predominates in a mixture of products), establishing better relative stereochemistry. Optically active secondary alcohols (L-menthol, endo-borneol, glucofuranose derivatives and others) are cheap and available chiral inductors for the production of enantiomerically pure organophosphorus compounds (Table 1) [23,24,25,26].
Table 1.
Reaction of racemic chlorophosphinates with chiral secondary alcohols.
Nucleophilic substitution at the trivalent phosphorus atom of chlorophosphines with (−)-1,2:5,6-diisopropylidene- or (−)-1,2:5,6-dicyclohexylidene-D-glucofuranose occurs with good stereoselectivity and leads to the formation of enantiomerically pure phosphinites with very good yields. Using different bases in the preparation of phosphinites, each of the (SP)- or (RP)-diastereomers can be obtained with good diastereoselectivity. Levorotatory (−)-(SP)-phosphinite (or (SP)-phosphinate) was prepared in the presence of triethylamine in toluene, and dextrorotatory (+)-(RP)-phosphinite (or (RP)-phosphinate) was prepared in tetrahydrofuran with pyridine, which acts as a base. Esters have been converted to the corresponding tertiary (RP)- or (SP)-phosphines (or phosphine oxides) by reaction with organomagnesium reagents (Figure 6) [26,27,28,29].
Figure 6.
Diastereoselective reactions of chlorophosphines with glucofuranose.
Glucofuranosyl phosphinites are an interesting alternative to menthyl phosphinites. The reaction of chlorophosphines with menthol or borneol proceeds with low diastereoselectivity, so it is necessary to separate diastereoisomer mixtures by crystallization or chromatography. At the same time, the nucleophilic reaction of (−)-1,2:5,6-diisopropylidene or (−)-1,2:5,6-dicyclohexylidene-D-glucofuranose with chlorophosphines proceeds with good stereoselectivity, yielding enantiomerically pure phosphinites (Table 2 and Figure 6).
Table 2.
Reaction of phenylphosphine chlorides with glucofuranose.
Reactions of chlorophosphines with primary amines or with amino acid esters or alpha-methylbenzylamine involve a transfer of chirality from the chiral amine to the phosphorus atom. Unsymmetrical chlorophosphines react diastereoselectively with chiral 1-methylbenzylamine to form diastereomeric aminophosphines 10 and 11 (up to 80–85% de), which after crystallization were isolated as stereochemically pure compounds. It was found that the reaction of (S)-1-methylbenzylamine with chlorophosphines leads to the formation of (RP)-aminophosphines, while (R)-1-methylbenzylamine gives aminophosphines of the (SP) configuration. These reactions have been described by us previously. In this work, these reactions were used as objects to study the mechanism of diastereoselective substitution for phosphorus (Figure 7 and Table 3).
Figure 7.
Diastereoselective reactions of chlorophosphines with chiral primary amines.
Table 3.
Stereoselectivity of the reaction t-Bu(Ph)PCl with (S)-NH2CH(Me)Ph.
Treatment of chiral aminophosphines 11 with borohydride in THF leads to the formation of stable crystalline phosphine borane 12 in quantitative yield. The BH3 phosphine borane group can be removed by treatment with diethylamine, yielding enantiomerically pure (RP)-aminophosphine in almost quantitative yield. Deprotection of the aminophosphine borane was achieved by treatment with lithium amide, resulting in the formation of an aminophosphine borane with an unsubstituted amino group. Enantiomerically pure aminophosphine boranes were used as intermediates for the preparation of chiral ligands. The reactivity of the amino group allowed further functionalization, which led to new structures that retain the original P-chirality. Amino group of the compound was replaced by a methoxyl group when boiled in methanol containing sulfuric acid to form the corresponding phosphinate 13. Acidolysis of aminophosphine with formic acid led to the formation of enantiomers of tert-butylphenylphosphine oxide 14 (Figure 8) [23,24].
Figure 8.
Aminophosphines as chiral synthons.
The mechanism of the reaction of aminophosphines with carbon tetrachlooride and alcohol showed that the reaction proceeds through the formation of an alkoxyphosphorane with a pentacoordinated phosphorus atom. The reaction mechanism was confirmed in the case of trivalent phosphorus compounds containing a five-membered 1,3,2-oxazaphospholane ring. The reaction of compounds 10 with methane tetrahalides led to the formation of two diastereomers of haloiminophosphoranes 15. Using 31P NMR spectra, it was possible to register signals belonging to the diastereomers of intermediate 15 (δp −56 and −58 ppm) in accordance with the structure of the five-coordinated phosphorus atom (Figure 9) [23,25].
Figure 9.
Mechanism of reaction of aminophosphines with tetrachloromethane and alcohol.
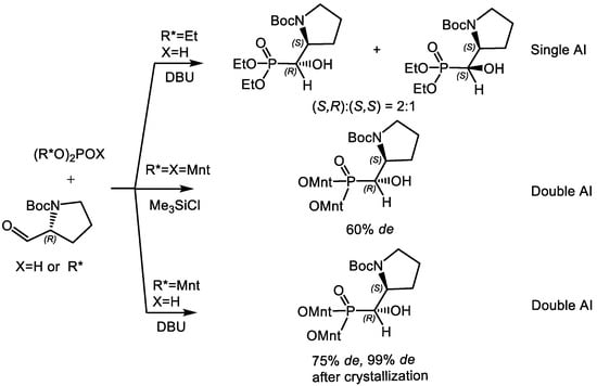
One of the methods for improving the stereoselectivity of reactions is multi tereoselectivity (multiple asymmetric induction), if the stereochemical process occurs under the control of more than one chiral inductor [15,16,17,18,19,20,21]. To obtain the highest stereoselectivity, it is necessary to introduce two or more chiral asymmetric centers into the reaction system. In this case, we get double stereoselectivity or multistereoselectivity if we have multiple chiral inductors in the asymmetric synthesis. Reaction of chiral di- and trialkyl phosphites, which are derivatives of (lR,2S,5R)-Mentyl, endo-bornyl or isopropylidene di-O-l,2:5,6-D-glucofuranose with aldehydes under phosphaldol reaction propylphosphonate conditions, proceeding with the transfer of chirality from phosphorus to carbon atom of alkylphosphonates (Figure 10) [29].
Figure 10.
Asymmetric phosphaaldol reaction using the example of N-Boc-prolinal.
In recent years, organocatalytic enantioselective hydrophosphonylation of aldehydes has been the subject of detailed investigation. It has been shown that cinchone alkaloids (quinine, cinchonine, cinchonidine), which are chiral compounds of natural origin, catalyze the phosphaldol reaction to form enantiomerically enriched hydroxyphosphonates. Kolodiazhna A.O. discovered that the stereoselectivity of the reaction increases significantly if chiral dimenthylphosphite is introduced into the reaction with aldehydes as a result of double asymmetric induction [29]. The reaction was carried out in toluene or without a solvent in the presence of 20 mole percent of the alkaloid. The progress of the reaction was monitored by thin layer chromatography and 31P NMR [29,30,31]. The reaction proceeded rather slowly, but with good yields of chiral hydroxyphosphonates. To complete the reaction, it took from 1 to 3 days at +20 °C. The structure of the products was studied by X-ray diffraction analysis [32]. The stereoselectivity of the reaction depended on the structure of the initial reagents and reaction conditions. As shown in Figure 11 (S)-Prolinal reacted stereoselectively with diethylphosphite to form a diastereomeric mixture of (S,R) and (S,S)-hydroxyphosphonate in a 2:1 ratio (single asymmetric induction), however, the stereoselectivity of the reaction increased if chiral (S)-Prolinal reacted with chiral trimentyl phosphite. or dimenthylphosphite (double asymmetric induction) [29]. Chiral phosphites (R*O)2POH make it possible to increase the stereoselectivity of the phosphal-aldol reaction catalyzed by quinine or cinchonidine. For example, quinine catalyzed the enantioselective phosphaldol reaction of dimethyl phosphites with ortho-nitrobenzaldehyde with low enantioselectivity. However, the stereoselectivity of the reaction increased if dimentyl phosphites or dibornyl phosphite reacted with aldehydes in the presence of quinine or cinchonidine, as a result of double asymmetric induction (Figure 11) [29,30,31].
Figure 11.
(a) Asymmetric organocatalysis of the Abramov reaction; (b) X-ray diffraction analysis of dimethyl (hydroxy(2-nitrophenyl)methyl) phosphonate [31].
Thus, multistereoselectivity provides additional opportunities for studying stereoselective reactions and stereoselectivity. The use of two asymmetric inductors instead of one in the reaction of addition of chiral phosphites to C=N compounds leads to a significant increase in the stereoselectivity of the reaction. Double asymmetric induction is observed in reactions of addition of chiral phosphites to compounds containing a C=N bond. For example, the reaction of chiral di[(1R,2S,5R)-ment-2-yl]phosphite with chiral (S)-1-methylbenzyl benzaldimine when heated to 80 °C gives practically only one (1R,2S)-diastereomer of N-substituted aminophosphonic acid (de ~92–96%). An increase in the stereoselectivity of the reaction was not observed when the asymmetric inductions of the two chiral inducers act in different directions with a discordant double asymmetric induction. Therefore, the reaction of di[(1R,2S,5R)-ment-2-yl]phosphite with (R)-methylbenzylbenzaldimine proceeded with less stereoselectivity. The stereoselectivity of the reaction depended on the nature of the substituents in the aromatic ring of the Schiff bases (Figure 12) [19,30,31].
Figure 12.
Double asymmetric induction of the phospha-Mannich reaction.
Enantioselective reduction of α-ketophosphonates with borohydrides and 1,3,2-oxazaborolidines catalyzed resulted in the formation of α-hydroxyarylmethylphosphonates with moderate to good enantioselectivities. Enantiomerically pure carboxylic acids of natural origin have been used for the chiral modification of borohydrides. In particular, the chiral reducing agent NaBH4-Pro, derived from NaBH4 and (S)-proline, reduced ketophosphonates with good enantioselectivity. This reducing agent has been applied to the synthesis of a number of hydroxyphosphonates (Figure 13) [32,33].
Figure 13.
Reduction of ketophosphonates by NaBH4-Pro complex.
An interesting method is the enantioselective reduction of ketophosphonates by complexes of borohydrides with tartaric acid [33,34,35,36,37]. The chiral complex of sodium borohydride with natural (R,R)-(+)-tartaric acid is a convenient stereoselective reagent for the reduction of ketophosphonates (Figure 14). This reagent can be prepared by treating sodium borohydride with tartaric acid in THF. After removal of the solvent, if necessary, the adduct can be isolated as a colorless solid with a high melting point (>250 °C). The reduction of ketophosphonates with this reagent was carried out by cooling to −30 °C in THF (Figure 15).
Figure 14.
Reduction of ketophosphonates by sodium borohydride-tartaric acid complex.
Figure 15.
Stereochemistry of asymmetric reduction by a chiral complex of sodium borohydride with tartaric acid.
The stereoselectivity of reduction of ketophosphonates containing chiral menthyl groups at the phosphorus atom with NaBH4-(R,R)-TA was higher than the stereoselectivity of ketophosphonates containing achiral methyl or ethyl groups at phosphorus. The higher stereoselectivity of reduction in the case of dimenthyl aryl ketophosphonates was explained by the double effect asymmetric induction Reduction of ketophosphonates by the sodium borohydride-tartaric acid complex (R,R)-TA/NaBH4 complex gave the (S)-β-hydroxyphosphonates with higher enantioselectivity than in the case of reduction of diethyl 2-ketophosphonates (Figure 15 and Table 4).
Table 4.
Asymmetric reduction of ketophosphonates to hydroxyphosphonates.
Stereoisomers of dimenthyl (S)- and (R)-2-hydroxy- 3-chloropropylphosphonate were obtained with an optical purity of 96–98% ee. These compounds represent useful chiral synthons for the synthesis of enantiomerically pure β-hydroxyphosphonates (Figure 16 and Table 4) [33]. For example, phosphono-carnitine 20 and γ-amino-β-hydroxypropyl-phosphonic acid (phosphono-GABOB) 21 were obtained from them. Treatment of (S)-2-hydroxy-3-chloropropylphosphonate with potash in DMF in the presence of potassium iodide, led to the formation of (S)-epoxide 22 with 99% de. Reaction of the epoxide with sodium azide in the presence of ammonium chloride in methanol gave (R)-2-hydroxy-3-azidopropylphosphonate 23 in high yield, which was converted to aziridine 24, as shown in Figure 16 [34,35,36,37].
Figure 16.
Synthesis of biologically important β-hydroxyp hosphonates.
4. Phosphorus Analogues of Natural Compounds
Hydroxy- and aminophosphonic acids are a class of compounds that occur naturally and have important biological significance [36]. Until 1959, naturally occurring organophosphorus compounds with C-P bonds were unknown [38]. Many of the aminophosphonates and hydroxyphosphonates have interesting pharmacological properties: as antibacterial, antiviral, anticancer drugs, antibiotics, enzyme inhibitors, amino acid mimetics, and pesticides. It has been established that the biological activity of natural phosphonic acids is largely determined by the absolute configuration of the stereogenic α-carbon atom. For example, of the four possible diastereomers of the antibiotic alaphospholine, the (S,R)-diastereomer exhibits the greatest activity against pathogenic microorganisms. Three other stereoisomers are significantly inferior to it in activity. Many bioregulators and medicines have been developed based on aminophosphonic acids [38,39,40,41] (Figure 17).
Figure 17.
Biologically active aminophosphonates.
4.1. Synthesis of Phosphonic Acids Using Natural Amino Acids as Reagents
The synthesis of chiral functionalized phosphonates using available natural amino acids as starting reagents is of considerable interest. We used amino acids to synthesize phosphonic analogues of natural β-amino-γ-hydroxybutyric acid, which is an important neurotransmitter and is used in the treatment of epilepsy and a number of other diseases (Figure 18) [42,43]. This simple synthesis scheme was based on (R)- butoxycarbonylamino-3-bromopropionate, which at the key stage of the synthesis was obtained by reacting (S)-butoxycarbonylamino- 3-hydroxypropionate with bromotrichloromethane according to the Appel reaction. At the final stage of the synthesis, the bromide was introduced into the Michaelis-Arbuzov reaction with an excess of triethylphosphite, which proceeded at 135–140 °C and was completed within 12 h, with a yield of 65%. The synthesized phosphonates 25 were purified by vacuum distillation, and their structure was proven by NMR spectra. After treating phosphonates with hydrochloric acid, phosphono-aspartic acid was obtained in good yield (Figure 18) [42]. The presented Figure consists of chemically simple steps and allows one to obtain phosphonoaspartic acid in good yield. The Barfood and Juaristy methods known in the literature for the production of phosphonoaspartic acid offer difficult-to-reproduce methods of asymmetric catalysis [43].
Figure 18.
Synthesis of phosphonoaspartic aci.
In a five-step synthesis scheme, the carboxyl group of L-serine was functionalized. To this end, the hydroxyl and amino groups were first protected by reaction with Boc2O and dimethoxypropane to form oxazolidiine, which was reduced to alcohol by reaction with lithium aluminum hydride. In the next stage, the alcohol was converted into bromide by the Appel reaction, which was introduced into the Michaelis-Arbuzov reaction with trimethylsilyldiethylphosphite. Deprotection of this intermediate configuration with (S)-bromotrimethylsilane, methanol and hydrochloric acid resulted in the formation of (S)-(2-amino-3-hydroxypropyl)phosphonic acid 26 (Figure 19) [39,43].
Figure 19.
Five-step synthesis of (S)-Phosphonic acid 26.
Hammerschmidt developed a two-step synthesis method to obtain a similar (R)-1-Amino-2-hydroxyethylphosphonic acid (R)-29. The first stage of the synthesis used enzymatic resolution of azido-1-acetoxyethylphosphonate into enantiomers (Figure 20). In the second stage of the synthesis, azido-1-acetoxyethylphosphonate was reduced to aminophosphonic acid. Diisopropyl-2-azido-1-acetoxy- ethylphosphonate was hydrolyzed with high enantioselectivity by lipase SP 524 to form (S)-α-hydroxyphosphonate and (R)-(−)-ester, which was hydrolyzed to a crystalline solid (Figure 21) [44].
Figure 20.
Enzymatic resolution of azido-1-acetoxyethylphosphonate.
Figure 21.
Synthesis of (R)-(−)-1-Amino-2-hydroxyethylphosphonate 29.
The next compound whose synthesis was developed starting from a natural amino acid was the phosphonic analogue of glutamic acid 30. Natural aspartic acid was chosen as the starting compound. The starting compound was acylated at the carboxyl group with ethyl chloroformate and reduced with sodium borohydride in methanol to form tert-butyl (S)-N-(tert-butoxycarbonyl) homoserine, and then converted to bromide by reaction with triphenylphosphine and bromotrichloromethane. Bromide was introduced into the Arbuzov reaction with trimethylsilyldiethylphosphite, which resulted in phosphonate. The treatment of phosphonate with dilute hydrochloric acid led to the removal of NBoc and t-BuO groups with the formation of a phosphorus analogue of glutamic acid 30 (Figure 22) [39,43]. Phosphonic analogues of glutamic acid 31–33 as irreversible inhibitors of Staphylococcus aureus endoproteinase GluC: effective synthesis and inhibition of human IgG degradation Endoproteinase GluC (V8 protease) is one of the virulence factors secreted by Staphylococcus aureus species in vivo. Peptidyl derivatives of the phosphonic glutamic acid analog exhibit Staphylococcus aureus endoproteinase compound Boc-Phe-Leu-Glu(P)(OC6H4 33 demonstrated an apparent second-order inhibition rate value. Compound 33, with the greatest inhibitory activity, demonstrated the ability to prevent V8-mediated proteolysis of human IgG in vitro (Figure 23) [45,46].
Figure 22.
Synthesis of phosphonic analogue of glutamic acid.
Figure 23.
Phosphonic analogues of glutamic acid 31–33 as irreversible inhibitors of Staphylococcus aureus endoproteinase.
P-Homoproline synthesis. L-β-Homoproline is a natural alkaloid, which increases the resistance of peptides to enzymatic hydrolysis while maintaining μ-opioid properties. In the chosen synthesis scheme, N-Boc-prolinal was produced, which was phosphonylated with triethylphosphite, in the presence of pyridine perchlorate, which is the catalyst for this reaction. As a result, hydroxyphosphonate 34 was obtained in quantitative yield. Then the hydroxyphosphonate was dehydroxylated using the Barton-McCombe method in two stages: first, the compound was reacted with thiocarbonylbisimidazole. As a result, a compound 35 substituted at the hydroxyl group was obtained. The compound 35 was then treated with tributylstanane in the presence of bis-isobutyronitrile to initiate a radical reaction. As a result, beta-aminophosphonate was obtained, which was converted into phosphonogomoproline 36 by treatment with a solution of hydrogen chloride (Figure 24) [47].
Figure 24.
Synthesis of chiral (S)-homoproline 36.
Synthesis of chiral phosphonotyrosine. O-phosphorylated tyrosine plays an important role in cellular signal transduction. Phosphinic acid derivatives, β-hydroxyphosphonates, α-hydroxy-β-amnophosphonates, polyhydroxyphosphonates, difluoromethylenephosphonates, show high biological activity as enzyme inhibitors. Synthesis of chiral phosphonotyrosine representatives was achieved by the reaction of aldehydes 37 from ethyl azidoacetate (Figure 25). Addition of a methanol solution of sodium methoxide to a solution of phosphonate and ethyl azidoacetate in methanol at −78 °C, followed by stirring at 0 °C resulted in the formation of phosphonovinyl azide, which was extracted with ethyl acetate and was obtained as an oil in 60% yield. The resulting azide was used in the next stage of the synthesis without purification. The azide was hydrogenated in the presence of 10% palladium on carbon (Pd-C) in methanol solution. As a result, phosphonotyrosine 38 was obtained in good yield. The structure of the product 38 was confirmed by NMR and mass spectra (Figure 26) [48].
Figure 25.
Synthesis of chiral dimenthyl (S)-((4-formylphenyl) (hydroxy)methyl)phosphonate 37.
Figure 26.
Synthesis of chiral phosphonotyrosine 38.
Another method for the synthesis of phosphonotyrosine diastereomers has been proposed by canadian and japanese chemists as shown in Figure 27 [49].
Figure 27.
Synthesis of phosphonotyrosir diastereomers.
4.2. Bisphosphonates with an Asymmetric Center in the Side Chain
In pharmacology, bisphosphonates are a class of drugs that prevent bone loss and are used for the treatment of osteoporosis and the treatment of oncology, to relieve hypercalcemia in malignant neoplasms, multiple myelomas, metastases of breast cancer, prostate cancer [50,51,52] Antihypercalcemia. Bisphosphonates are used in the treatment and prevention of Paget’s disease. bone metastases, etc. Bisphosphonates are metabolically stable analogues of pyrophosphate in which the bridging oxygen atom is replaced by a substituted methylene group. Recently, bisphosphonates containing asymmetric chirogenic centers have been obtained. Studies have been carried out on the influence of chirality on the biological properties of bisphosphonates. When cooled, N-Moc- and N-Boc-proline chlorides react with triethylphosphite to form (S)-ketophosphonate. In the presence of pyridinium perchlorate, ketophosphonate reacted with trialkyl phosphite in methylene chloride at room temperature or when cooled to 0 °C to form hydroxy-1,1-bisphosphonate 39 (Figure 28) [50].
Figure 28.
Synthesis of L-Proline-hydroxybisphosphonate.
According to a similar scheme, the reaction of Garner’s aldehyde with triethylphosphite in the presence of pyridinium perchlorate was carried out. As a result, chiral bisphosphonates 40 were obtained in the form of two diastereomers in a 3:1 ratio (Figure 29) [39].
Figure 29.
Asymmetric synthesis of a chiral bisphosphonate 40 based on Garner’s aldehyde.
A number of bisphosphonates have been derived from naturally occurring terpenes and sesquiterpenes. For example, chiral bisphosphonate 41 was obtained based on (+)-(R)-citronellal. Bisphosphonates 42,43 shown in Figure 30, which are terpene derivatives containing an asymmetric center in the side chain, were synthesized using the same scheme. Studies have been conducted on the influence of chirality on the biological properties of bisphosphonates (Figure 30) [39,53,54,55,56].
Figure 30.
Synthesis of bis-phosphonates, chiral in the side chain.
Squalene synthase catalyzes the conversion of two molecules of (E,E)-farnesyl diphosphate to squalene via a cyclopropylcarbinyl intermediate, presqualene diphosphate (PSPP). Key intermediates aziridine-2-methanol (6-OH, 7-OH and 8-OH) were prepared by N-alkylation or N-acylation-reduction, (2R,3S)- and (2S,3R)-2, 3 -aziridinofarnesol (9-OH) is protected with tert-butyldimethylsilyl ether. Nucleophilic SN2 substitution of the corresponding methanesulfonates with pyrophosphate and methanediphosphonate anions led to the formation of aziridine-2-methyldiphosphates and methanediphosphonates containing N-undecyl, N-bishomogeranyl and N-(R-methylene)bishomogeranyl substituents as 2,6,10-trimethylundecamimics. 2,5,9-trienyl side chain of PSPP. The absolute stereochemistry of PSPP was found to be an effective inhibitor (IC50 1.17 (0.08 μM) in the presence of inorganic pyrophosphate), which is 4 times less than that of its 2S,3R stereoisomer (Figure 31) [57,58].
Figure 31.
Presqualene diphosphate (PSPP) squalene synthase inhibitors.
Cyclic bisphosphonates 44 were synthesized starting from phthalic acid. The reaction of 3,3-bis(diethylphosphono)-1-(3H)-isobenzofuranone 44 with benzylamine in the presence of triethylamine results in the replacement of endocyclic oxygen in the PhCH2N group with the formation of bisphosphonate phthalimide. The structure of compounds 44 was confirmed by chemical transformations and IR, 1H, 13C, and 31P NMR spectroscopy data. mass spectra and X-ray diffraction analysis of a single crystal (Figure 32) [52].
Figure 32.
(a) Synthesis of bis(diethylphosphono)-1 (3H)-isobenzofuranone 44; (b) X-ray diffraction analysis of compound 44 [52].
Interesting aminophosphonates have been synthesized using a combination of the Mannich and Petasis reactions involving organoboron reagents. The Petasis reaction with aminophosphonates has been used to produce a number of specially designed compounds with additional functional groups to test their biological activity as protein tyrosine phosphatase inhibitors and immunomodulators. Using this method, α-aminophosphonates derived from N-phosphonomethylglycine were obtained in good yields and high diastereoselectivity (Figure 33 and Table 5) [59,60].
Figure 33.
Synthesis of aminophosphonates via the Petasis reaction.
Table 5.
Reaction of aminophosphonates with glyoxalic acid and organoboron acids.
The use of α-aminophosphonates has allowed the synthesis of several N-phosphonomethylglycine derivatives in moderate to good yields and high diastereoselectivity. The method made it possible to vary the substituents at position a on the phosphorus and nitrogen atoms. Using the same procedure, highly functionalized amino acids were obtained based on (R)-β-amino-α,α-difluoromethylphosphonate. In most cases described, the Petasis Reaction involves the reaction of an organoboron acid, an amine, and certain carbonyl compounds such as a-hydroxyaldehydes, a-keto acids, and salicylaldehydes, resulting in the formation of a-amino acids, β-amino alcohols, and aminophenol. derivatives accordingly. Several biologically important imino-biscarboxylic acid derivatives have been prepared by the one-step reaction of organoboron acids, glyoxylic acid and amino acids [59].
The synthesized phosphonoamino acids were used in the synthesis of peptidomimetics. Phosphonopeptides with P-terminal aminophosphonate residues exhibit biological activity as antimicrobial drugs (Alafosfalin). Phosphopeptides serve as tumor antigens in the treatment of colorectal cancer. Method for the synthesis of peptidomimetics with a diethoxyphosphoryl group in the side chain [57], based on the acid cleavage of the oxazole ring in derivatives of 5-alkylamino-2-aminoalkyl- 1,3-oxazol-4-ylphosphonic acid, produces new peptide compounds containing a phosphonoglycine group without laborious purification. Derivatives of diethyl 5-amino-2-phthalimidoalkyl-1,3-oxazol-4-ylphosphonates were used in the synthesis of phosphorylated peptidomimetics containing a phosphonoglycine residue. It has been found that many R-amino acids (corresponding to the L-configuration of natural amino acids) change their activity when replaced by the S-configuration. Racemic 1-aminoethylphosphonic acid diisopropyl ester was converted to a phosphonopeptide by treatment with N-benzyloxycarbonyl derivatives of amino acids in MeCN solution in the presence of papain immobilized on a polyamide support. This approach was used in the papain-catalyzed synthesis of the antimicrobial agent Alafosfalin (Figure 34) [61,62].
Figure 34.
Stereoselective papain-catalyzed synthesis of alafosfalin.
4.3. Synthesis of Isoindolinones
The isoindolin-1-one fragment is present in synthetic biologically active compounds (indoprofen, an anti-inflammatory agent), as well as in natural compounds, in particular in alkaloids (for example, lennoxamine, nuevamin). α-Acylaminophosphonates, having an epoxyisoindolone group, have been prepared with good stereoselectivity (de 80%) tandem acylation/[4+2]-cycloaddition reaction between maleic anhydride and α-aminophosphonates derived from furfurylamine. The tandem acylation/[4+2]-cycloaddition reaction of α-aminophosphonates with maleic anhydride proceeded with the exclusive formation of Diels-Alder exoadducts. Isomeric phosphonates α-acylaminophosphonates having an epoxyisoindolone group were obtained with good stereoselectivity (de 80%). The structure of the compounds was confirmed using 1H-, 13C- and 31P-NMR spectroscopy. N-substituted furfurylamines are known to react readily with acylating dienophiles such as maleic anhydride via a tandem acylation/[4+2]-cycloaddition reaction. The tricyclic epoxy-isoindolone system is formed by initial N-acylation followed by an intramolecular Diels-Alder reaction (Figure 35) [63,64].
Figure 35.
Tandem method for the synthesis of isoindolin-1-ones 46,47. R = Ph, 4-FC6H4, piperonyl, 2-furyl, H.
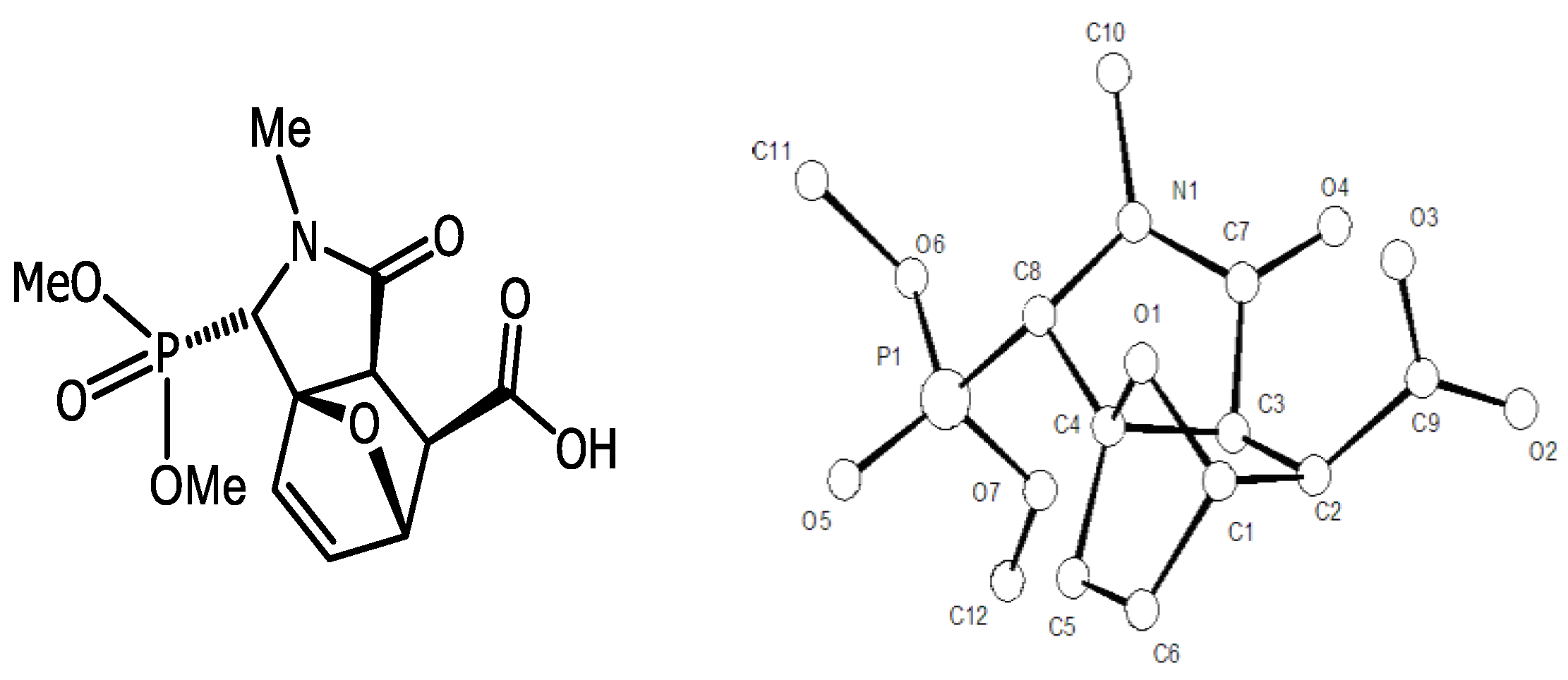
The tandem acylation/[4+2]-cycloaddition reaction proceeded exclusively with the formation of Diels–Alder exoadducts, which was confirmed by assessing the spin-spin interaction constants of the hydrogen atoms of the oxabicycloheptene fragment. Epoxyisoindolinone phosphonates and their carboxamide derivatives, when heated for 1 h at 80 °C in 85% H3PO4, underwent dehydration aromatization to convert to isoindolin-1-ones 49. Acid hydrolysis of the phosphonate proceeded with the removal of t-Bu groups and conversion to 3-ylphosphonic acid 49 with an overall yield of 70% (Figure 36). Exo-epoxyisoindolylphosphonates were isolated as a mixture of two diastereomers derived from two chiral elements: the bridging system and the a carbon atom of the phosphonate (Figure 37). The highest content (11%) of the minor diastereomer, in which these groups are unidirectional, was found for compound 47. This stereoselectivity is likely a consequence of the steric influence of the phosphonate group in the geometry of the transition state of the cycloaddition reaction. The main diastereomer of compounds 47 was isolated in pure form by crystallization from an appropriate solvent. The relative stereochemistry of the main diastereomer of compounds 47 was confirmed by single-crystal X-ray diffraction analysis (Figure 38) [63].
Figure 36.
Synthesis of diethylphosphonoisoindolinindoprofen.
Figure 37.
Diastereomer pairs of isomeric epoxyisoindolyl phosphonates 46 and 47.
Figure 38.
Major diastereomer of compound 47: molecular structure showing the numbering used in the crystallographic work [63].
Isomeric phosphonates α-acylaminophosphonates 47 containing an epoxyisoindolon fragment were obtained with good stereoselectivity (de > 80%). The epoxy and phosphonate groups in these compounds are oriented in opposite directions. This was confirmed by 1H, 13C and 31P NMR spectroscopy data, as well as X-ray diffraction analysis (Figure 38) [65].
Inhibition of nucleotide pyrophosphatase/phosphodiesterase-1 Bothrops Atrox R=H, R’=COOH, IC50 4.3 mM Inhibition of protein tyrosine phosphatase Yersinia R’=H; R=C(O)COOH; n = 0; IC50 = 59 mM [59] The inhibitory effects of enantiomerically pure α-(N-benzylamino) benzylphosphonic acids 50–52 were studied on human prostate acid phosphatase derivatives. As expected, (R)-α-(N-benzylamino)benzylamino acid showed higher affinity for the enzyme than the (S)-enantiomer. At the same time, it was found that (1R,2S)-phenyl[(1-phenylethyl)amino]methylphosphonic acid is a significantly weaker inhibitor than its (1S,2R) analogue. Enantioselectivity was explained using molecular modeling by computationally docking inhibitors to the active site of prostatic acid phosphatase. We found higher activity of (R)-α-(N-benzylamino)benzylphosphonic acid. acid compared to the (S)-enantiomer. (Figure 39) [64,65].
Figure 39.
Protein Tyrosine Phosphatase Inhibitors.
4.4. Synthesis of Phosphonic Analogue of Iso-Norstatine
(2S,3R)-Isostatin is a fragment of cyclic didemnins, which are active immunosuppressants and have highly cytostatic properties, used in the treatment of hypertension, malaria, and Alzheimer’s disease. Statin derivatives have received considerable attention in recent years, especially those that are key components of peptidomimetic protease inhibitors [1,2]. In particular, the phosphorus analogue of isostatin is a component of didemnins, which have a wide spectrum of biological activity. They are active anti-cancer drugs, have high antiviral, immunosuppressive activity, and are effective in the treatment of P388 and L1210 leukemia, B16 melanomas. The asymmetric synthesis of phosphono-isonorstatine was developed on the basis of natural isoleucine. The original benzylated amino acid was obtained in 90% yield by treating isoleucine with benzyl bromide and potash at boiling (Figure 40) [66,67].
Figure 40.
Synthesis of the Didemnin fragment.
The reaction of benzyl ethers with an excess of diethyl lithium methylphosphonate gave ketophosphonate in good yield, and the reduction of ketone with sodium borohydride at a strictly fixed temperature of 50 °C in alcohol made it possible to obtain hydroxyaminophosphonate. By treating compound with trimethylsilyl bromide, acid, which is a phosphorus analogue of isostatin, was obtained in 90% yield [67]. The double asymmetric induction method was applied to the synthesis of organophosphorus analogues of taxoids. Taxoids are important naturally occurring anticancer substances, some of which, such as docetaxel and paclitaxel, are used in clinical medical practice. The reaction of achiral diethyl phosphite with aminoaldehydes proceeded with low stereoselectivity, giving an inseparable mixture of stereoisomers. At the same time, the reaction of chiral dimenthyl phosphite and dibornyl phosphite with leucinal and phenylalaninal under conditions of double asymmetric induction gave chiral aminohydroxyphosphonates with high stereoselectivity. Moreover, the reaction of aldehydes with dibornylphosphite gave a (1S,2R) stereoisomer, while the reaction of a chiral aldehyde with a chiral dimentylphosphite led to the formation of a (1R,2R) stereoisomer. The final condensation of phosphonic acid with 10-Deacetylbaccatin-III made it possible to obtain a phosphonic analogue of docetaxel [66].
4.5. Tetradecapentaenoic Acid Derivatives
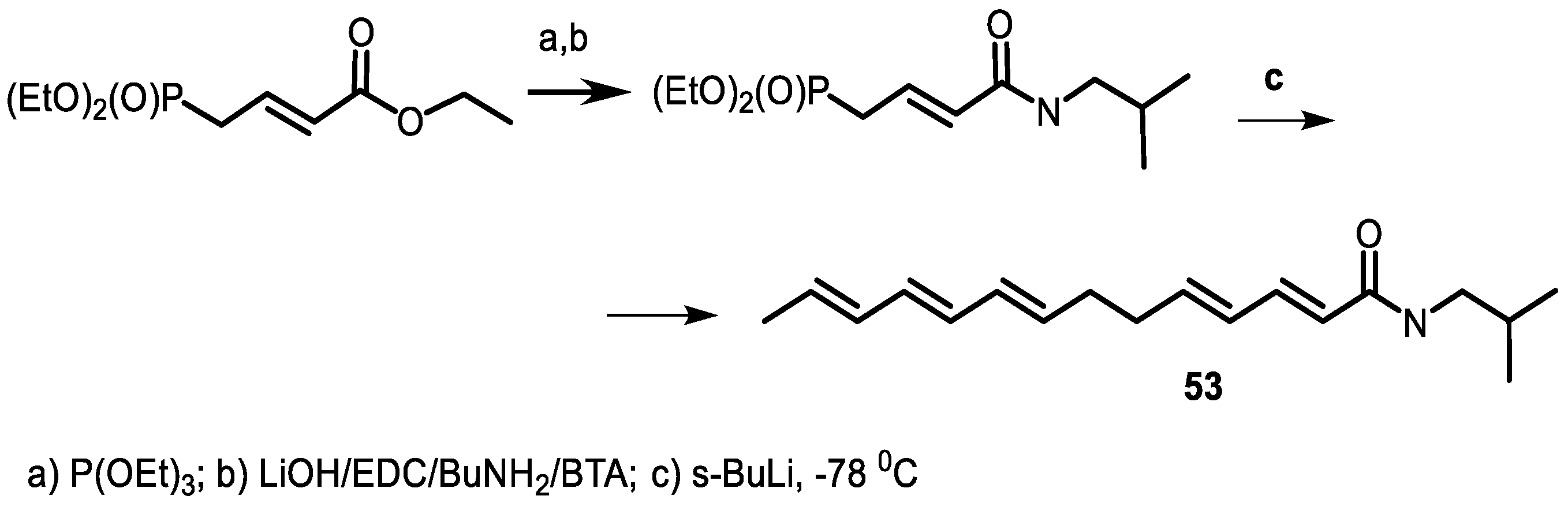
Lipid amides are widespread in higher plants and have a certain common structure. Some of these amides have antiproliferation activity and induction of apoptosis. for example, tetradecapentaenoic acid derivatives are isolated from Zanthoxylum Bungeanum (Rutaceae), a family of polyunsaturated fatty acid amines that differ in the geometry of the polyunsaturated chain double bond and the presence of a hydroxylated isobutylamide group [68]. Representatives of these compounds are used in medicine as painkillers. Tetradecapentaenoic acid amides inhibit cell proliferation in a both dose- and time-dependent manner. We have developed a stereoselective method that allows us to obtain these compounds in relatively high yields from simple and commercially available reagents (Figure 41) The synthetic scheme used organophosphorus reagents [68,69,70] involved in the Corey-Fuchs [71,72] and Trost-Kazmaier reactions [72]. The key step in this synthesis is the Corey-Fuchs reaction or Ramirez-Corey-Fuchs reaction, which is a method designed to convert an aldehyde to an alkyne. The reaction is two-stage. First, the reaction of triphenylphosphine with tetrabromomethane produces a phosphylide with a dibromomethylene group, which reacts with the aldehyde to form a 1,1-dibromoolefin. Treatment of dibromoalkene 54 with butyllithium gives the terminal alkyne 55 [69,70,73,74]. The alkyne is then obtained by the Fritsch-Buttenberg-Wichell rearrangement. The alkyne is then converted to methoxycarbonyl alkyne and treated with triphenylphosphine using the Trost–Kazmaier method, which results in rearrangement of the alkyne to 1,3-diene 56 (Figure 42).
Figure 41.
Synthesis of All-trans-tetradecapentaenoic acid 53.
Figure 42.
Total method for the synthesis of tetradecapentaenoic acid amides 57.
As a result of carrying out the Wittig reaction under salt-free conditions, synchronous [2+2]-cycloaddition of the ylide to the carbonyl group is achieved, resulting in the formation of oxaphosphetane, which has a cis configuration. This type of transformation is achieved if the approach of the reagents is carried out in accordance with the Woodward-Hoffman rules and leads to minimal steric unfavorability and repulsion of the substituents R and R’. Finally, in the last stage of the synthesis, the amidation of the acid with primary amines such as isobutylamine or n-butylamine, in the presence of the reagent Carpino (HATU, 1-[bis(dimethylamino)methylene]-1H-1,2,3-triazoles [4,5-b] pyridine 3-oxide (hexafluorophosphonates) led to the formation of amides in 30% and 32% yields 57 [75,76].
5. Conclusions
In this review, we examined several options for asymmetric catalysis that make it possible to obtain chiral phosphonates with high enantiomeric excess. The prospects for chemical modification of C-chiral phosphonates with the introduction of new, more complex groups, including those with a specific configuration, into the side chain are far from exhausted. The exact absolute configuration can only be successfully established in a limited number of cases. In addition, only in exceptional cases does the range of substrates and the cost of the catalyst meet the requirements necessary for industrial use. Therefore, the search for new, more efficient catalytic systems is an urgent task in this area of chemistry. In this regard, the development of highly efficient methods of asymmetric organocatalytic and metal complex catalysis is an urgent task [70]. It is not difficult to predict that the main efforts in studying the chemistry of chiral analogues of natural compounds will be concentrated in this direction, and new enantioselective reactions are promising for solving these problems. It is obvious that asymmetric catalysis using chiral bifunctional organocatalysts can be a very useful tool in the creation of chiral phosphorus-containing compounds of complex structure. Organocatalysis, which has shown its promise in many syntheses of chiral phosphonates, is necessary for the search for new catalysts and new reactions. It can be expected that catalytic methods for the synthesis of C-chiral phosphonates will remain the focus of intense research, especially in the field of biologically active compounds.
Author Contributions
O.I.K. and A.O.K. wrote the paper. All authors have read and agreed to the published version of the manuscript.
Funding
This research received no external funding.
Data Availability Statement
The data presented in this study are openly available.
Conflicts of Interest
The authors declare no conflict of interest.
Abbreviations
Ala—Alanine; An—Anisyl; Arg—Arginine; Boc—tert-Butoxycarbonyl; Cbz—N-benzyloxycarbony1; CN—Cinchonine; CND—Cinchonidine; de—Diastereomeric excess; DMSO—Dimethylsulfoxide; ee—Enantiomeric excess; Gly—Glycine; i-Pr—iso-Propyl; Leu—Leucine; Mes—Mesyl; Mnt—(1R,2S,5R)-Menthyl;.MTBE—Methyl tert-butyl ether; Nphth—Naphthyl; rac—Racemate; QN—Quinine; Tl—Tolyl; TMS—Trimethylsilyl; THF—Tetrahydrofurane; TFA—Trifluoroacetic acid; TMS—Trimethylsilyl; Ts—toluenesulfonyl (tosyl); Val—Valine.
References
- Westheimer, F.H. Why Nature Chose Phosphates. Science 1987, 235, 1173–1178. [Google Scholar] [CrossRef]
- Hein, J.E.; Blackmond, D.G. On the origin of single chirality of amino acids and sugars in biogenesis. Acc. Chem. Res. 2012, 45, 2045–2054. [Google Scholar] [CrossRef]
- Kolodiazhnyi, O.I. Stereochemistry of electrophilic and nucleophilic substitutions at phosphorus. Pure Appl. Chem. 2019, 91, 43–57. [Google Scholar] [CrossRef]
- Bernstein, M. Prebiotic materials from on and off the early Earth. Philos. Trans. R. Soc. Lond. B Biol. Sci. 2006, 361, 1689–1702. [Google Scholar] [CrossRef]
- Yamagata, Y.; Watanabe, H.; Saitoh, M. Volcanic production of polyphosphates and its relevance to prebiotic evolution. Nature 1991, 352, 516–519. [Google Scholar] [CrossRef]
- Krishnamurthy, R. Introduction: Chemical Evolution and the Origins of Life. Chem. Rev. 2020, 120, 4613–4615. [Google Scholar] [CrossRef] [PubMed]
- Schwartz, A.W. Phosphorus in prebiotic chemistry. Philos. Trans. R. Soc. Lond B Biol. Sci. 2006, 361, 1743–1749. [Google Scholar] [CrossRef]
- Pasek, M.A. Schreibersite on the early earth: Scenarios for prebiotic Phosphorylation. Geosci. Front. 2017, 8, 329–335. [Google Scholar] [CrossRef]
- Pasek, M.A.; Kee, T.P.; Bryant, D.E.; Pavlov, A.A.; Lunine, J.I. Production of potentially prebiotic condensed phosphates by phosphorus redox chemistry. Angew. Chem. Int. Ed. 2008, 47, 7918–7920. [Google Scholar] [CrossRef] [PubMed]
- Zhao, Y.; Liu, Y.; Gao, X.; Xu, P. The international background of the origin of life. In Phosphorus Chemistry; Walter de Gruyter GmbH: Berlin, Germany, 2019; pp. 1–18. [Google Scholar]
- England, J. A New Physics Theory of Life. Available online: https://www.quantamagazine.org/a-new-thermodynamics-theory-of-the-origin-of-life-20140122/2013 (accessed on 28 January 2024).
- Kamerlin, S.C.L.; Sharma, P.K.; Prasad, R.B.; Warshel, A. Why nature really chose phosphate. Quart. Rev. Biophys. 2013, 46, 1–132. [Google Scholar] [CrossRef]
- Girard, C.; Kagan, H.B. Nonlinear Effects in Asymmetric Synthesis and Stereoselective Reactions: Ten Years of Investigation. Angew. Chem. Int. Ed. 1998, 37, 2922–2959. [Google Scholar] [CrossRef]
- Soai, K.; Kawasaki, T.; Matsumoto, A. Role of Asymmetric Autocatalysis in the Elucidation of Origins of Homochirality of Organic Compounds. Symmetry 2019, 11, 694. [Google Scholar] [CrossRef]
- Cintas, P.; Viedma, C. On the Physical Basis of Asymmetry and Homochirality. Chirality 2012, 24, 894–908. [Google Scholar] [CrossRef] [PubMed]
- Heck, P.R.; Greer, J.; Kööp, L.; Trappitsch, R.; Gyngard; Busemann, H.; Maden, C.; Ávila, J.N.; Davis, A.M.; Wieler, R. Lifetimes of interstellar dust from cosmic ray exposure ages of presolar silicon carbide. Proc. Nat. Acad. Sci. USA 2020, 117, 1884–1889. [Google Scholar] [CrossRef] [PubMed]
- Saks, V. (Ed.) Molecular System Bioenergetics: Energy for Life; Wiley-VCH: Weinheim, Germany, 2007; p. 633. ISBN 978-3-527-31787-5. [Google Scholar]
- Kolodiazhna, A.O.; Kolodiazhnyi, O.I. Asymmetric Electrophilic Reactions in Phosphorus Chemistry. Symmetry 2020, 12, 108. [Google Scholar] [CrossRef]
- Yamamoto, T. Preferred dissociative mechanism of phosphate monoester hydrolysis in low dielectric environments. Chem. Phys. Lett. 2010, 500, 263–266. [Google Scholar] [CrossRef]
- Keglevich, G.; Kovács, T.; Csatlós, F. The Deoxygenation of Phosphine Oxides under Green Chemical Conditions. Heteroatom. Chem. 2015, 26, 199–205. [Google Scholar] [CrossRef]
- Muldoon, J.A.; Varga, B.R.; Deegan, M.M.; Chapp, T.W.; Eordogh, A.; Hughes, R.P.; Glueck, D.S.; Moore, C.E.; Rheingold, A.L. Inversion of Configuration at the Phosphorus Nucleophile in the Diastereoselective and Enantioselective Synthesis of P-Stereogenic syn-Phosphiranes from Chiral Epoxides. Angew. Chem. Int. Ed. 2018, 57, 5047–5051. [Google Scholar] [CrossRef]
- Kolodyazhnyi, O.I.; Grishkun, E.V.; Kolodyazhnaya, A.O.; Kolodyazhna, O.O.; Sheiko, S.Y. Generation of tert-Butyl-λ5-phosphanedione and Its Chemical Properties. Russ. J. Gen. Chem. 2018, 88, 919–924. [Google Scholar] [CrossRef]
- Kolodiazhnyi, O.I. Recent Advances in Asymmetric Synthesis of P-Stereogenic Phosphorus Compounds. In Topics in Current Chemistry; Montchamp, J.-L., Ed.; Springer International Publication: Cham, Switzerland, 2015; Volume 361, pp. 161–237. [Google Scholar] [CrossRef]
- Kolodiazhnyi, O.I. Asymmetric synthesis in organophosphorus chemistry. In Synthetic Methods, Catalysis and Application; Wiley-VCH: Weinheim, Germany, 2016; 360p. [Google Scholar]
- Kolodiazhnyi, O.I. Asymmetric catalysis as a method for the synthesis of chiral organophosphorus compounds. Tetrahedron Asymmetry 2014, 25, 865–922. [Google Scholar] [CrossRef]
- Trost, B.M. Asymmetric catalysis: An enabling science. Proc. Natl. Acad. Sci. USA 2004, 101, 5348–5355. [Google Scholar] [CrossRef]
- Oliana, M.; King, F.; Horton, P.N. Practical synthesis of chiral vinylphosphine oxides by direct nucleophilic substitution stereodivergent synthesis of aminophosphine ligands. J. Org. Chem. 2006, 71, 2472–2479. [Google Scholar] [CrossRef]
- Lin, Y.-C.; Hatzakis, E.; McCarthy, S.M.; Reichl, K.D.; Lai, T.-Y.; Yennawar, H.P.; Radosevich, A.T. P–N Cooperative borane activation and catalytic hydroboration by a distorted phosphorous triamide platform. J. Am. Chem. Soc. 2017, 139, 6008–6016. [Google Scholar] [CrossRef]
- Kolodiazhnyi, O.I.; Kolodiazhna, A.O. Multiple stereoselectivity in organophosphorus chemistry. Phosph. Sulf. Silicon. 2016, 191, 444–458. [Google Scholar] [CrossRef]
- Smaardijk, A.A.; Noorda, S.; van Bolhuis, F.; Wynberg, H. The absolute configuration of α-hydroxyphosphonates. Tetrahedron Lett. 1985, 26, 493. [Google Scholar] [CrossRef]
- Kolodyazhnaya, A.O.; Kukhar, V.P.; Kolodyazhnyi, O.I. Organic Catalysis of Phospha-Aldol Condensation. Russ. J. Gen. Chem. 2008, 78, 2043–2051. [Google Scholar] [CrossRef]
- Guliaiko, I.; Nesterov, V.; Sheiko, S.; Kolodiazhnyi, O.I.; Freytag, M.; Jones, P.G.; Schmutzler, R. Synthesis of Optically Active Hydroxyphosphonates. Heteroat. Chem. 2008, 19, 133–139. [Google Scholar] [CrossRef]
- Gryshkun, E.V.; Nesterov, V.; Kolodyazhnyi, O.I. Enantioselective reduction of ketophosphonates using adducts of chiral natural acids with sodium borohydride. Arkivoc 2012, 2012, 100–117. [Google Scholar] [CrossRef]
- Ordóñez, M.; Viveros-Ceballos, J.L.; Cativiela, C.; Sayago, F.J. An update on the stereoselective synthesis of α-aminophosphonic acids and derivatives. Tetrahedron 2015, 71, 1745–1784. [Google Scholar] [CrossRef]
- Nesterov, V.V.; Kolodiazhnyi, O.I. Efficient method for the asymmetric reduction of a- and b-ketophosphonates. Tetrahedron 2007, 63, 6720–6731. [Google Scholar] [CrossRef]
- Nesterov, V.V.; Kolodiazhnyi, O.I. Di(1R,2S,5R)-menthyl 2-Hydroxy-3-chloropropylphosphonate as a Useful Chiral Synthon for the Preparation of Enantiomerically Pure Phosphonic Acids. Synlett 2007, 2007, 2400–2404. [Google Scholar] [CrossRef]
- Nesterov, V.V. Asymmetric Reduction of Ketophosphonates. Ph.D. Thesis, IBONCH NAS of Ukraine, Kyiv, Ukraine, 2007; p. 0407U003652. Available online: https://dissertation.com.ua/node/671422 (accessed on 28 January 2024).
- Ordóñez, M.; González-Morales, A.; Ruíz, C.; De la Cruz-Cordero, R.; Fernández-Zertuche, M. Preparation of (R)- and (S)-γ-amino-β-hydroxypropylphosphonic acid from glycine. Tetrahedron Asymm. 2003, 14, 1775–1779. [Google Scholar] [CrossRef]
- Kolodiazhna, A.O. Asymmetric Synthesis of Modified Analogs of Natrural Compounds. Ph.D. Thesis, Institute of Bioorganic Chemistry and Petrol Chemistry, NAS of Ukraine, Kyiv, Ukraine, 2017. Available online: http://www.bpci.kiev.ua/rada/aref/autoref_Kolodyazhna_2017.pdf (accessed on 28 January 2024).
- Barfoot, C.W.; Harvey, J.E.; Kenworthy, M.N.; Kilburn, J.P.; Ahmed, M.; Taylor, R.J.K. Highly functionalised organolithium and organoboron reagents for the preparation of enantiomerically pure a-amino acids. Tetrahedron 2005, 61, 3403–3417. [Google Scholar] [CrossRef]
- Kolodiazhna, A.O.; Kolodiazhnyi, O. Catalytic Asymmetric Synthesis of C-Chiral Phosphonates. Symmetry 2022, 14, 1758. [Google Scholar] [CrossRef]
- Kolodyazhnyi, O.I.; Kolodyazhna, O.O. Synthesis of Enantiomerically Pure Phosphonic Analog of Natural Aspartic Acid. Russ. J. Gen. Chem. 2010, 80, 2519–2520. [Google Scholar] [CrossRef]
- Kolodyazhna, O.O.; Kolodyazhna, A.O.; Kolodyazhnyi, O.I. Synthesis of Phosphonic Analog of Glutamic Acid. Russ. J. Gen. Chem. 2013, 83, 777–778. [Google Scholar] [CrossRef]
- Hammerschmidt, F.; Lindner, W.; Wuggeniga, F.; Zarbl, E. Enzymes in organic chemistry. Part 10:1. Tetrahedron Asymm. 2000, 11, 2955–2964. [Google Scholar] [CrossRef]
- Burchacka, E.; Skoreński, M.; Sieńczyk, M.; Oleksyszyn, J. Phosphonic analogues of glutamic acid as irreversible inhibitors of Staphylococcus aureus endoproteinase GluC: An efficient synthesis and inhibition of the human IgG degradation. Bioorg. Med. Chem. Lett. 2013, 23, 1412–1415. [Google Scholar] [CrossRef]
- Ewa, B.; Maciej, W.; Marcin, S.; Grzegorz, D.; Michał, Z.; Jan, P.; Józef, O. The development of first Staphylococcus aureus SplB protease inhibitors: Phosphonic analogues of glutamine. Bioorg. Med. Chem. Lett. 2012, 22, 5574–5578. [Google Scholar] [CrossRef]
- Kolodyazhna, O.O.; Kolodyazhna, A.O.; Kolodyazhnyi, O.I. Synthesis of Phosphonic Analog of (S)-Homoproline. Russ. J. Gen. Chem. 2014, 84, 169–170. [Google Scholar] [CrossRef]
- Kolodyazhna, A.O.; Grishkun, E.V.; Kolodyazhnyi, O.I. Synthesis of Chiral Phosphonobenzaldehydes and Phosphonotyrosine. Russ. J. Gen. Chem. 2017, 87, 991–996. [Google Scholar] [CrossRef]
- Burke, T.R.; Smyth, M.S.; Nomizu, M.; Otaka, A.; Roller, P.P. Preparation of fluoro- and hydroxy-4-(phosphonomethyl)-D,L-phenylalanine suitably protected for solid-phase synthesis of peptides containing hydrolytically stable analogs of O-phosphotyrosine. J. Org. Chem. 1993, 58, 1336. [Google Scholar] [CrossRef]
- Fleisch, H. The role of bisphosphonates in breast cancer: Development of bisphosphonates. Breast Cancer Res. 2002, 4, 30–34. [Google Scholar] [CrossRef]
- Kolodyazhna, O.O.; Kolodyazhnyi, O.I. Chiral N-Moc-Pyrrolidine Bisphosphonate. Russ. J. Gen. Chem. 2011, 81, 145–146. [Google Scholar] [CrossRef]
- Zemlianoy, V.N.; Chernega, A.N.; Gutovm, A.V.; Kolodiazhna, A.O.; Kolodiazhnyi, O.I. Synthesis of 3,3-Bis(diethylphosphono)-1-(3H)-isobenzofuranone and Its Chemical Properties. Phosphorus Sulfur Silicon Relat. Elem. 2011, 186, 481–488. [Google Scholar] [CrossRef]
- Magnin, D.R.; Biller, S.A.; Dickson, J.K., Jr.; Logan, J.V.; Lawrence, R.M.; Chen, Y.; Sulsky, R.B.; Ciosek, C.P., Jr.; Harrity, T.W.; Jolibois, K.G.; et al. 1,l-Bisphosphonate Squalene Synthase 925 Inhibitors: Interplay between the Isoprenoid Subunit and the Diphosphate Surrogate. J. Med. Chem. 1995, 38, 2596–2605. [Google Scholar] [CrossRef]
- Minard, C.; Nakhjiri, M.; Negahbani, A.; Kashemirov, B.A.; McKenna, C.E. New Chirally Modified Bisphosphonates for Synthesis of Individual Beta,Gamma-CHX-Deoxynucleotide Diastereomers Pouya Haratipour. Phosph. Sulpf. Silicon 2019, 194, 329–330. [Google Scholar] [CrossRef]
- Zuo, Z.; Kim, R.; Watson, D. Synthesis of Axially Chiral 2,2′-Bisphosphobiarenes via a Nickel-Catalyzed Asymmetric Ullmann Coupling: General Access to Privileged Chiral Ligands without Optical Resolution. ChemRxiv, 2020; preprint. [Google Scholar] [CrossRef]
- Kolodiazhna, A.O.; Kolodiazhnyi, O.I. Chiral organophosphorus pharmaceuticals: Properties and 2 Application. Symmetry 2023, 15, 1550. [Google Scholar] [CrossRef]
- Koohang, A.; Bailey, J.L.; Coates, R.M.; Erickson, H.K.; Owen, D.; Poulter, C.D. Enantioselective Inhibition of Squalene 901 Synthase by Aziridine Analogues of Presqualene Diphosphate. J. Org. Chem. 2010, 75, 4769–4777. [Google Scholar] [CrossRef][Green Version]
- Wasko, B.M.; Smits, J.P.; Shull, L.W.; Wiemer, D.F.; Hohl, R.J. A novel bisphosphonate inhibitor of squalene synthase 904 combined with a statin or a nitrogenous bisphosphonate in vitro. J. Lipid Res. 2011, 52, 1957–1964. [Google Scholar] [CrossRef]
- Schevchuk, M.V.; Metelitsa, L.A.; Charochkina, L.L.; Mogilevich, S.E.; Rusanov, E.B.; Sorochinsky, A.E.; Khilya, V.P.; Romanenko, V.D.; Kukhar, V.P. Synthesis of N-(phosphonomethyl)glycine derivatives and studies of their immunotropic activity. Russ. Chem. Bull. Int. Ed. 2011, 60, 712–718. [Google Scholar] [CrossRef]
- Shevchuk, M.V.; Sorochinsky, A.E.; Khilya, V.P.; Romanenko, V.; Kukhar, V.P. Utilization of Aminophosphonates in the Petasis Boronic Acid Mannich V. D. Reaction Petasis Boronic Acid Manicch Reaction. Synlett 2010, 2010, 73–76. [Google Scholar] [CrossRef]
- Marrs, E.C.L.; Varadi, L.; Bedernjak, A.F.; Day, K.M.; Gray, M.; Jones, A.L.; Cummings; Anderson, S.P.; Anderson, R.J.; Perry, J.D. Phosphonopeptides Revisited, in an Era of Increasing Antimicrobial Resistance. Molecules 2020, 25, 1445. [Google Scholar] [CrossRef]
- Huang, Z.; Wang, K.K.A.; Van Der Donk, W.A. New insights into the biosynthesis of fosfazinomycin. Chem. Sci. 2016, 7, 5219–5223. [Google Scholar] [CrossRef]
- Kachkovskyi, G.O.; Kolodiazhnyi, O.I. α-Acylaminophosphonates possessing epoxyisoindolone moiety. Tetrahedron 2007, 63, 12576–12582. [Google Scholar] [CrossRef]
- Vovk, A.I.; Mischenko, I.M.; Tanchuk, V.Y.; Kachkovskii, G.A.; Sheiko, S.Y.; Kolodyazhnyi, O.I.; Kukhar, V.P. Stereoselectivity of binding of a-(N-benzylamino)benzylphosphonic acids to prostatic acid phosphatase. Bioorg. Med. Chem. Lett. 2008, 18, 4620–4623. [Google Scholar] [CrossRef]
- Kachkovskyi, G.O.; Kolodiazhnyi, O.I. Synthesis of the Phosphonoanalogue of Benzoc.pyroglutamic Acid. Phosph. Sulf. Silicon 2010, 185, 2441–2448. [Google Scholar] [CrossRef]
- Kolodiazhnyi, O.I.; Guliaiko, I. Asymmetric Syntheses of New Phosphonotaxoids. Phosph. Sulfur. Silicon 2008, 183, 677. [Google Scholar] [CrossRef]
- Gulyaiko, I.V.; Kolodyazhnyi, O.I. Synthesis of a Phosphorus Analog of iso-Statine. Russ. J. Gen. Chem. 2008, 78, 1626–1627. [Google Scholar] [CrossRef]
- Chruma, J.J.; Cullen, D.J.; Bowman, L.; Toy, P.H. Polyunsaturated fatty acid amides from the Zanthoxylum genus—From culinary curiosities to probes for chemical biology. Nat. Prod. Rep. 2018, 35, 54–74. [Google Scholar] [CrossRef]
- Mugnaini, C.; Corellim, F. Total Synthesis of δ-Sanshool and Analogues Thereof. Synthesis 2016, 48, 2085–2092. [Google Scholar] [CrossRef]
- Aoki, K.; Igarashi, Y.; Nishimura, H. I Morishita, K Usui Application of iron carbonyl complexation to the selective total synthesis of sanshools. Tetrahedron Lett. 2012, 53, 6000–6003. [Google Scholar] [CrossRef]
- Corey, E.J.; Fuchs, P.L. A synthetic method for formylethynyl conversion (RCHO→RC≡CH or RC≡CR′). Tetrahedron Lett. 1972, 13, 3769–3772. [Google Scholar] [CrossRef]
- Trost, B.M.; Kazmaier, U. Internal Redox Catalyzed by Triphenylphosphine. J. Amer. Chem. Soc. 1992, 114, 7933–7935. [Google Scholar] [CrossRef]
- Baraldi, P.G.; Preti, D.; Materazzi, S.; Geppetti, P. Transient Receptor Potential Ankyrin 1 (TRPA1) Channel as Emerging Target for Novel Analgesics and Anti-Inflammatory Agents. J. Med. Chem. 2010, 53, 5085–5107. [Google Scholar] [CrossRef] [PubMed]
- Kolodyazhna, A.O.; Kolodyazhnyi, O.I. Synthesis of Tetradecapentaenoic Acid Derivatives. Russ. J. Gen. Chem. 2019, 89, 1998–2004. [Google Scholar] [CrossRef]
- Kolodiazhna, A.; Kolodiazhnyi, O. Stereoselective syntheses of sanshool derivatives. Phosph. Sulf. Silicon 2019, 194, 275–276. [Google Scholar] [CrossRef]
- Rádai, Z.; Keglevich, G. Synthesis and Reactions of Hydroxyphosphonates. Molecules 2018, 23, 1493. [Google Scholar] [CrossRef]
Disclaimer/Publisher’s Note: The statements, opinions and data contained in all publications are solely those of the individual author(s) and contributor(s) and not of MDPI and/or the editor(s). MDPI and/or the editor(s) disclaim responsibility for any injury to people or property resulting from any ideas, methods, instructions or products referred to in the content. |
© 2024 by the authors. Licensee MDPI, Basel, Switzerland. This article is an open access article distributed under the terms and conditions of the Creative Commons Attribution (CC BY) license (https://creativecommons.org/licenses/by/4.0/).











































