Next Article in Journal
Performance Analysis of ARIS-NOMA Systems under Cascade Rician Channels
Previous Article in Journal
Chemistry for Space Group Symmetry beyond Crystals
 
 
Font Type:
Arial Georgia Verdana
Font Size:
Aa Aa Aa
Line Spacing:
Column Width:
Background:
Article

Nonequilibrium Casimir–Polder Force between Nanoparticles and Graphene-Coated Silica Plate: Combined Effect of the Chemical Potential and Mass Gap

by
Galina L. Klimchitskaya
1,2,*,
Constantine C. Korikov
3 and
Vladimir M. Mostepanenko
1,2,4
1
Central Astronomical Observatory at Pulkovo of the Russian Academy of Sciences, 196140 Saint Petersburg, Russia
2
Peter the Great Saint Petersburg Polytechnic University, 195251 Saint Petersburg, Russia
3
Huawei Noah’s Ark Lab, Krylatskaya Str. 17, 121614 Moscow, Russia
4
Kazan Federal University, 420008 Kazan, Russia
*
Author to whom correspondence should be addressed.
Symmetry 2024, 16(3), 320; https://doi.org/10.3390/sym16030320
Submission received: 12 January 2024 / Revised: 16 February 2024 / Accepted: 1 March 2024 / Published: 7 March 2024
(This article belongs to the Section Physics)

Abstract

The Casimir–Polder force between spherical nanoparticles and a graphene-coated silica plate is investigated in situations out of thermal equilibrium, i.e., with broken time-reversal symmetry. The response of the graphene coating to the electromagnetic field is described on the basis of first principles of quantum electrodynamics at nonzero temperature using the formalism of the polarization tensor in the framework of the Dirac model. The nonequilibrium Casimir–Polder force is calculated as a function of the mass-gap parameter, the chemical potential of graphene, and the temperature of the graphene-coated plate, which can be both higher or lower than that of the environment. It is shown that the force value increases with the increasing chemical potential, and this increase is more pronounced when the temperature of a graphene-coated plate is lower than that of the environment. The nonequilibrium force also increases with increasing temperature of the graphene-coated plate. This increase is larger when the plate is hotter than the environment. The effect is revealed that the combined impact of the chemical potential, μ , and mass gap, Δ , of the graphene coating depends on the relationship between Δ and 2 μ . If 2 μ > Δ , the magnitude of the nonequilibrium force between nanoparticles and a cooled graphene-coated plate becomes much larger than for a graphene coating with μ = 0 . The physical reasons explaining this effect are elucidated. Possible applications of the obtained results are discussed.

1. Introduction

The two-dimensional (2D) hexagonal lattice of carbon atoms called graphene [1] has attracted the particular attention of many experts in both fundamental and applied physics because, at low energies, it adequately fits the requirements of the Dirac model. What this means is that graphene can be considered as consisting of light quasiparticles described not by the Schrödinger equation, as is customary in condensed matter physics, but by the relativistic Dirac equation in 2D space and one-dimensional (1D) time, where the speed of light, c, is replaced with the Fermi velocity, v F c / 300 [2].
For experts in fundamental physics, graphene is interesting because it possesses unusual electrical, optical, and mechanical properties which offer outstanding possibilities to large-scale exploratory investigations [3,4]. At the same time, graphene suggests a wide range of prospective applications in nanotechnology and material science [5,6]. Specifically, certain nanotechnological devices rely upon the interaction between nanoparticles and graphene-coated plates for their operation [7,8,9,10,11,12].
The Casimir–Polder force [13] acting between an electrically neutral microscopic particle and a material plate is a relativistic and quantum phenomenon. It is initiated by the zero-point and thermal fluctuations of the electromagnetic field. In the state of thermal equilibrium, when the temperatures of the microparticle, plate, and the environment are equal, the Casimir–Polder force is described by the Lifshitz theory [14,15,16]. This theory expresses the force value via the dynamic polarizability of a particle and the frequency-dependent dielectric permittivity of the plate material.
There is extensive literature devoted to calculations of the Casimir–Polder force between atoms, molecules, nanoparticles, and diversified material surfaces, including graphene, by means of the Lifshitz theory (see, e.g., Refs. [17,18,19,20,21,22,23,24,25,26,27,28,29,30,31,32,33,34,35,36,37,38,39,40,41,42,43,44]). In doing so, the spatially nonlocal dielectric permittivities and the 2D reflection coefficients of graphene sheets [45] were expressed via the polarization tensor of graphene in (2+1)-dimensional space-time [46,47,48,49] in the framework of the Dirac model.
In some instances, the condition of thermal equilibrium is violated, with the result that the Lifshitz theory becomes inapplicable. For example, this may happen in the applications of graphene to solar cells where the graphene-coated plate has a different temperature from that of nanoparticles and of the environment [50,51]. Although almost all physical theories, including the Lifshitz theory, are symmetric relative to the operation of time reversal, in thermally nonequilibrium systems this symmetry is broken.
The generalization of the Lifshitz theory to the cases when the condition of thermal equilibrium is violated was developed under an assumption that each body in the physical system under consideration is in the state of local thermal equilibrium [52,53,54,55]. As a result, it has become possible to calculate the Casimir–Polder force in situations when the temperature of a plate, a nanoparticle, and even of the environment are dissimilar.
The theory of nonequilibrium Casimir and Casimir–Polder forces was further generalized to the case of nonplanar configurations [56,57,58,59,60] and for plate materials with temperature-dependent dielectric permittivities [61,62,63,64,65]. It was also confirmed experimentally by measuring the nonequilibrium Casimir–Polder force between the Bose–Einstein condensate of Rb 87 atoms and a SiO2 plate, which was heated as compared to the environmental temperature [66].
Investigation of the nonequilibrium Casimir–Polder interaction between spherical nanoparticles and graphene sheets using the formalism of the polarization tensor has been started by Ref. [67]. In that work, a pristine graphene sheet freestanding in vacuum was considered. This means that the crystal lattice of graphene was assumed to be perfect, with no foreign atoms and a gapless quasiparticle spectrum. According to the results of Ref. [67], the impact of nonequilibrium conditions on the total Casimir–Polder force is the most pronounced at short separations between a nanoparticle and a graphene sheet. At these separations, the force may even change its sign and become repulsive.
Real graphene sheets are, however, not pristine and, specifically, the quasiparticles in graphene, although light, are not massless. This leads to some nonzero mass gap, Δ , in the quasiparticle spectrum [3,68,69]. An impact of the nonzero mass gap on the nonequilibrium Casimir–Polder interaction between nanoparticles and a freestanding in vacuum graphene sheet was investigated in Ref. [70] within the formalism of the polarization tensor. It was shown that, in this case, the nonequilibrium Casimir–Polder force remains attractive and it is possible to control its value by varying the mass-gap parameter.
Freestanding graphene sheets are difficult, if not impossible, to use in physical experiments and in nanodevices, where they are usually deposited on dielectric plates. An impact of the plate material on the nonequilibrium Casimir–Polder force between nanoparticles and a silica plate coated with gapped graphene was considered in Ref. [71]. It was shown that the presence of a silica plate increases the magnitude of the nonequilibrium Casimir–Polder force. With an increasing mass-gap parameter, the magnitude of the nonequilibrium force decreases and the impact of graphene coating on the force becomes smaller.
It should be noted that computations of the nonequilibrium Casimir–Polder force acting on nanoparticles from real graphene sheets using the polarization tensor are rather cumbersome. They are connected with the calculation of the multiple integrals of rapidly varying functions and were realized on a supercomputer [70,71].
In addition to the nonzero mass gap, real graphene sheets are unavoidably doped, i.e., they contain some fraction of foreign atoms described by the nonzero value of the chemical potential μ [3,72,73]. This should be taken into account in the theoretical computations intended for the comparison with the measurement data, as was successfully done in the experiment on measuring the equilibrium Casimir force acting between an Au-coated sphere and a graphene-coated SiO2 plate [74,75].
The nonequilibrium Casimir interaction between two plates coated with the gapless graphene sheets possessing the nonzero chemical potential was investigated in Ref. [76] using the phenomenological, spatially local model for the response of graphene to the electromagnetic field [72,77].
In this paper, we investigate the Casimir–Polder force acting between spherical nanoparticles and fused silica plates coated with gapped and doped graphene sheets in situations out of thermal equilibrium using the formalism of the polarization tensor. It is assumed that the temperature of the nanoparticles is the same as that of the environment. However, the temperature of the graphene-coated plates can be either lower or higher than that of the environment. The spatially nonlocal response of graphene to the fluctuating electromagnetic field is described by the polarization tensor, which takes into account the dependence of graphene properties on temperature, on the mass-gap parameter, and on the chemical potential. In doing so, the explicit expressions for the polarization tensor along the real frequency axis are presented in the region of evanescent waves. The obtained results for the nonequilibrium Casimir–Polder force are compared with those for the equilibrium one in the same configuration.
It is shown that increasing the chemical potential of the graphene coating leads to the monotonous increase of both the equilibrium and nonequilibrium Casimir–Polder forces between a nanoparticle and a graphene-coated plate. In doing so, for a heated graphene-coated plate, the mass gap makes a lesser impact on the force if the chemical potential takes a nonzero value. According to our results, for a cooled graphene-coated plate the impact of the chemical potential of the graphene coating on the nonequilibrium Casimir–Polder force essentially depends on whether the inequality 2 μ > Δ or 2 μ < Δ is satisfied. By and large, the impact of chemical potential on the nonequilibrium force for a cooled graphene-coated plate is stronger than for a heated one.
The paper is organized as follows. In Section 2, both the formalism of the Lifshitz theory and the computational results for the equilibrium Casimir–Polder force between nanoparticles and a silica plate coated with gapped and doped graphene sheet are presented. Section 3 contains the generalization of the Lifshitz theory of Casimir–Polder force for the out-of-thermal-equilibrium conditions and the required expressions for the polarization tensor of graphene along the real frequency axis with due regard for different relationships between the mass gap and the chemical potential of the graphene coating. In Section 4, the computational results for the nonequilibrium Casimir–Polder force as a function of separation are presented under different values of temperature, mass gap, and the chemical potential of the graphene coating. In Section 5, the reader will find a discussion of the obtained results. Section 6 contains our conclusions.

2. Equilibrium Casimir–Polder Force between Nanoparticles and Silica Plate Coated with Gapped and Doped Graphene

We consider the spherical nanoparticles of radius R spaced above a large, graphene-coated fused silica (SiO2) plate at height a R . The graphene coating is characterized by the mass gap Δ and chemical potential μ . The fused silica plate chosen for computations is the most typical substrate used as a supporter for graphene [74,75,78,79,80,81]. All of the below equations are, however, applicable to any material substrate.
The temperature of the environment is T E = 300 K. In this section, the temperature of the graphene-coated plate, T p , is equal to T E : T p = T E = 300 K. The nanoparticle temperature is assumed to be equal to T E throughout the paper. We also assume that at all temperatures, T, considered below the nanoparticle radius satisfies the condition R c / ( k B T ) , where is the reduced Planck constant, c is the speed of light, and k B is the Boltzmann constant. At T = T E , this condition reduces to the inequality R 7.6 μ m. When it is satisfied, the dynamic polarizability of nanoparticle α ( ω ) at all frequencies, ω , contributing to the Casimir–Polder force is approximately equal to the static value α ( 0 ) [59].
In the situation of thermal equilibrium, T p = T E , the Casimir–Polder force between a nanoparticle and a graphene-coated plate is given by the Lifshitz formula, written in terms of the discrete Matsubara frequencies [14,15,16,82,83]. Keeping in mind the application of the same notations in the next section devoted to the situation out of thermal equilibrium, in this section we continue to denote the plate and environment temperatures as T p and T E but imply that T p = T E = 300 K. Then, the equilibrium Casimir–Polder force between a nanoparticle and a graphene-coated SiO2 plate is given by [14,15,16,82,83]
F eq SiO 2 ( a , Δ , μ , T E , T p ) = 2 k B T E α ( 0 ) c 2 l = 0 0 k d k e 2 a q E , l ( k ) × 2 q E , l 2 ( k ) c 2 ξ E , l 2 R TM ( i ξ E , l , k , Δ , μ , T P ) ξ E , l 2 R TE ( i ξ E , l , k , Δ , μ , T P ) .
Here, k is the magnitude of the wave vector projection on the plane of the graphene-coated plate, the Matsubara frequencies are ξ E , l = 2 π k B T E l / with l = 0 , 1 , 2 , , the prime on the summation sign means that the term with l = 0 is divided by 2, and
q E , l ( k ) = k 2 + ξ E , l 2 c 2 1 / 2 .
The reflection coefficients on the graphene-coated plate for the electromagnetic fluctuations with transverse magnetic (TM) and transverse electric (TE) polarizations are expressed via the dielectric permittivity of the plate material, ε ( ω ) , and the polarization tensor of graphene, Π β γ ( ω , k , Δ , μ , T p ) , calculated at the pure imaginary Matsubara frequencies [40,74,75,84],
R TM ( i ξ E , l , k , Δ , μ , T P ) = k 2 [ ε ( i ξ E , l ) q E , l ( k ) q E , l ε ( k ) ] + q E , l ( k ) q E , l ε ( k ) Π 00 ( i ξ E , l , k , Δ , μ , T P ) k 2 [ ε ( i ξ E , l ) q E , l ( k ) + q E , l ε ( k ) ] + q E , l ( k ) q E , l ε ( k ) Π 00 ( i ξ E , l , k , Δ , μ , T P ) , R TE ( i ξ E , l , k , Δ , μ , T P ) = k 2 [ q E , l ( k ) q E , l ε ( k ) ] Π ( i ξ E , l , k , Δ , μ , T P ) k 2 [ q E , l ( k ) + q E , l ε ( k ) ] + Π ( i ξ E , l , k , Δ , μ , T P ) .
Here,
q E , l ε ( k ) = k 2 + ε ( i ξ E , l ) ξ E , l 2 c 2 1 / 2
and the following combination of the components of the polarization tensor is introduced:
Π ( i ξ E , l , k , Δ , μ , T P ) k 2 Π β β ( i ξ E , l , k , Δ , μ , T P ) q E , l 2 ( k ) Π 00 ( i ξ E , l , k , Δ , μ , T P ) ,
where a summation over the repeated index β = 0 , 1 , 2 is implied.
For numerical computations of the equilibrium Casimir–Polder force (1) between a nanoparticle and a graphene-coated substrate, one needs the values of the static polarizability of a nanoparticle, α ( 0 ) , of the dielectric permittivity of the plate material, ε ( i ξ E , l ) , and of the components of the polarization tensor of graphene, Π 00 ( i ξ E , l , k , Δ , μ , T P ) and Π ( i ξ E , l , k , Δ , μ , T P ) .
The static polarizability of spherical nanoparticles made of dielectric material is [59] α ( 0 ) = R 3 [ ε ( 0 ) 1 ] / [ ε ( 0 ) + 2 ] . Thus, for nanoparticles made of high-resistivity Si one obtains ε ( 0 ) = 3.81 and α ( 0 ) = 0.484 R 3 . For metallic nanoparticles, ε ( 0 ) = and α ( 0 ) = R 3 .
The dielectric permittivity of SiO2 at the pure imaginary Matsubara frequencies is obtained from the optical data for the imaginary part of ε ( ω ) [85], with the help of the Kramers–Kronig relation. The obtained values were repeatedly used in calculations of the Casimir and Casimir–Polder forces [82]. There are also analytic expressions for the dielectric permittivity of SiO2 along the imaginary frequency axis [86,87].
Below we present the components of the polarization tensor of gapped and doped graphene at the Matsubara frequencies found in the framework of the Dirac model [46,47,48,49]. As mentioned in Section 1, this model is applicable at low energies. In Ref. [88], the upper boundary of its application region is estimated as 3 eV. Thus, one should consider not too small separations, a, between the nanoparticle and the graphene-coated plate in order that all energies providing the major contribution to the Casimir–Polder interaction lie below this boundary.
It has been known that the characteristic energy of the Casimir–Polder interaction is equal to c / ( 2 a ) [82,89]. This energy is less than 1 eV at all separation distances a > 100 nm. This is why, at separations exceeding, e.g., 200 nm one can reliably use the polarization tensor of graphene derived in the framework of the Dirac model. This conclusion was confirmed by measurements of the Casimir force between an Au-coated sphere and a graphene-coated SiO2 plate, which were found to be in very good agreement with theoretical predictions using the polarization tensor of graphene [74,75].
The explicit expression for component Π 00 of the polarization tensor is given by [40,74,75]
Π 00 ( i ξ E , l , k , Δ , μ , T P ) = α k 2 q ˜ E , l ( k ) Ψ ( D E , l ) + 4 α c 2 q ˜ E , l ( k ) v F 2 D E , l d u w E , l ( u , k , μ , T p ) × 1 Re 1 u 2 + 2 i γ E , l u 1 u 2 + 2 i γ E , l u + D E , l 2 γ E , l 2 D E , l 2 1 / 2 ,
where α = e 2 / ( c ) is the fine structure constant and the following notations are introduced:
Ψ ( x ) = 2 x + ( 1 x 2 ) arctan 1 x , D E , l = Δ c q ˜ E , l ( k ) , q ˜ E , l ( k ) = 1 c v F 2 k 2 + ξ E , l 2 , γ E , l = ξ E , l c q ˜ E , l ( k ) , w E , l ( u , k , μ , T p ) = κ = ± 1 e B E , l u + κ μ k B T p + 1 1 , B E , l = c q ˜ E , l ( k ) 2 k B T p .
In a similar way, the explicit expression for the combination of the components of the polarization tensor Π takes the form [40,74,75]
Π ( i ξ E , l , k , Δ , μ , T P ) = α k 2 q ˜ E , l ( k ) Ψ ( D E , l ) 4 α q ˜ E , l ( k ) ξ E , l 2 v F 2 D E , l d u w E , l ( u , k , μ , T p ) × 1 Re ( 1 + i γ E , l 1 u ) 2 + ( γ E , l 2 1 ) D E , l 2 1 u 2 + 2 i γ E , l u + D E , l 2 γ E , l 2 D E , l 2 1 / 2 .
Computations of the equilibrium Casimir–Polder force between nanoparticles and a graphene-coated SiO2 plate were performed by Equations (1), (3), (6), and (8). Since the force values quickly decrease with increasing separation, they were normalized either to the Casimir–Polder force, F 0 , between a nanoparticle and an ideal metal plane at zero temperature or to the classical limit, F cl , reached in the same configuration, considered at temperature T E at large separations [82,89],
F 0 ( a ) = 3 c 2 π a 5 α ( 0 ) , F cl ( a , T E ) = 3 k B T E 4 a 4 α ( 0 ) .
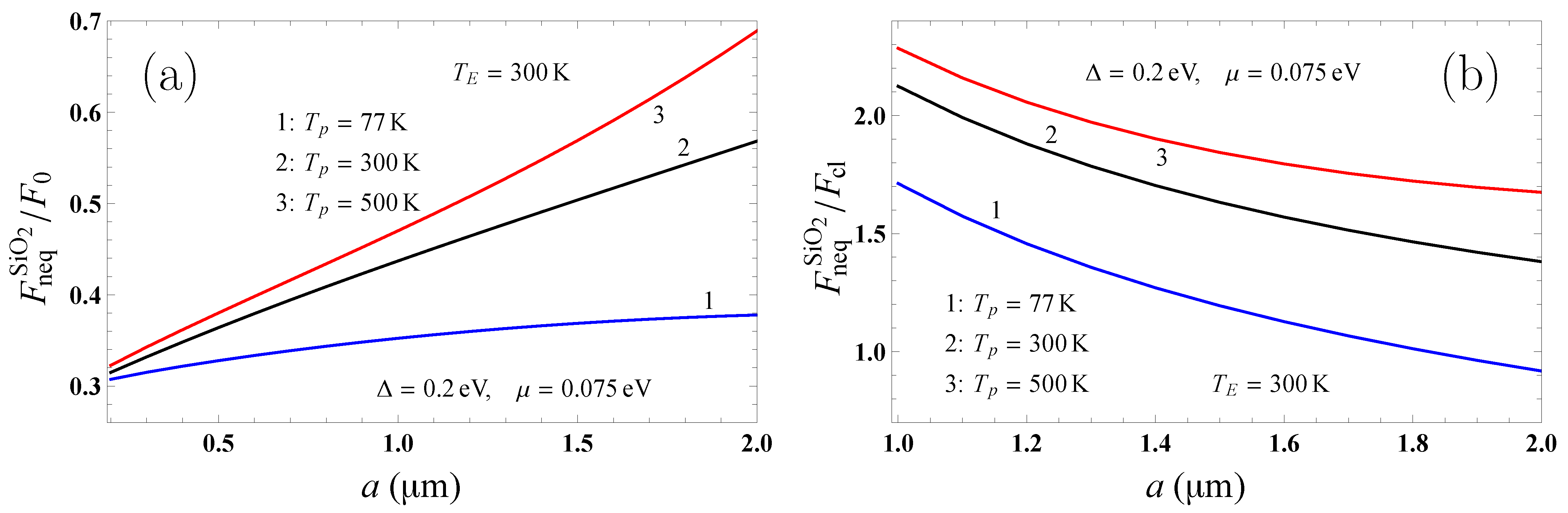
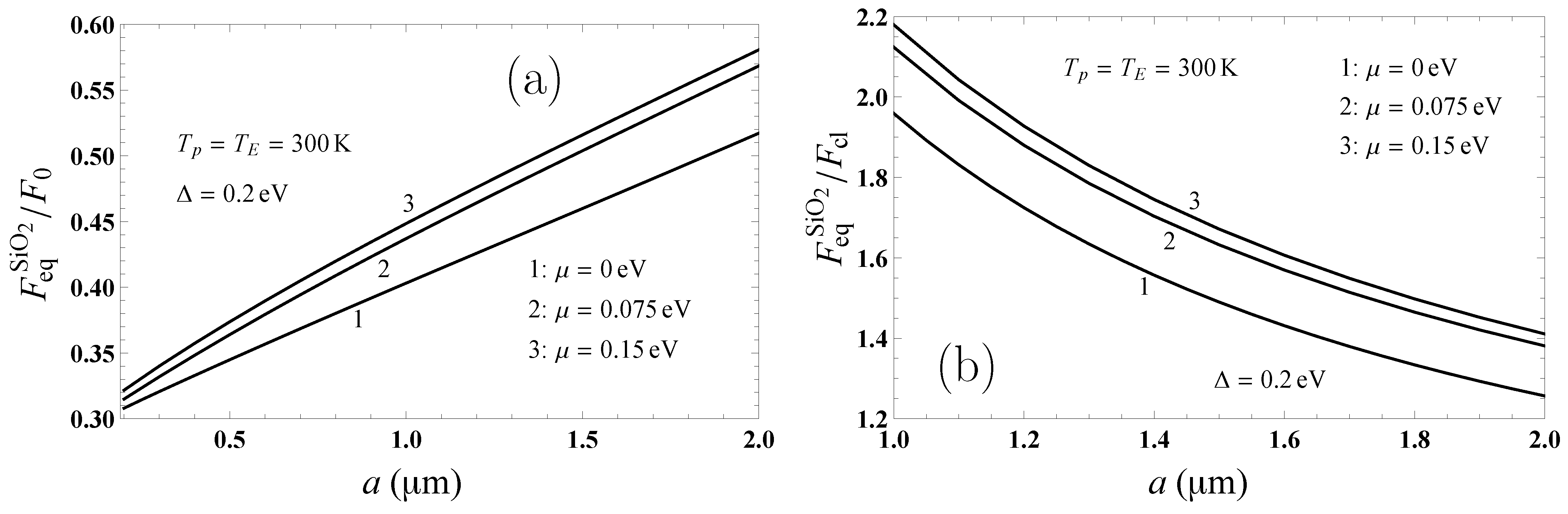
In Figure 1, the computational results for (a) F eq SiO 2 / F 0 and (b) F eq SiO 2 / F cl are presented as the function of separation for a graphene coating with the mass gap Δ = 0.2 eV and chemical potential μ = 0 , 0.075, and 0.15 eV (lines 1, 2, and 3, respectively). As is seen in Figure 1, the force magnitude increases with increasing chemical potential, as it should. At all separations considered, the magnitude of F eq SiO 2 decreases with separation slower than | F 0 | . At a > 1 μ m, | F eq SiO 2 | decreases with separation faster than | F cl | .
Next, let us consider the impact of the mass-gap parameter on the Casimir–Polder force. In Figure 2, the computational results for (a) F eq SiO 2 / F 0 and (b) F eq SiO 2 / F cl are presented as the function of separation by the pairs of solid and dashed lines labeled 1 and 2. In pair 1, the mass-gap parameter Δ = 0.2 eV for both lines, whereas the chemical potential μ = 0.075 eV for the solid and 0 for the dashed line. In pair 2, the mass-gap parameter Δ = 0.1 eV for both lines with the same values of μ , as in pair 1, for the solid and dashed lines.
As seen in Figure 2, the force magnitude increases with the decreasing value of the energy gap. This means that the chemical potential and the energy gap of the graphene coating act on the Casimir–Polder force in the opposite directions. It is also seen that if μ 0 (see the solid lines) the dependence of the force value on Δ is much weaker than for a graphene coating with μ = 0 (see the dashed lines).
Note that the numerical results presented in Figure 1 and Figure 2 do not depend on α ( 0 ) , i.e., on the nanoparticle radius. The absolute values of F eq SiO 2 can be obtained from Figure 1 and Figure 2 by using Equation (9) and the values of α ( 0 ) indicated above.

3. Nonequilibrium Casimir–Polder Force between Nanoparticle and Plate Coated with Gapped and Doped Graphene: General Formalism

Now we consider the situation out of thermal equilibrium when the temperature of nanoparticles is equal to T E , i.e., it is the same as that of the environment, whereas the temperature of the graphene-coated plate, T p , can be either lower or higher than T E .
In the generalization of the Lifshitz theory to out-of-thermal-equilibrium conditions, the nonequilibrium force is usually presented as the sum of two terms, one of which is akin to the equilibrium force by its form and another one is a truly nonequilibrium term [55,57]. In the literature, different forms of these terms are contained, leading to the same total result. Below, we represent the nonequilibrium Casimir–Polder force following Refs. [67,70,71]:
F neq SiO 2 ( a , Δ , μ , T E , T p ) = F eq SiO 2 ( a , Δ , μ , T E , T p ) + F r SiO 2 ( a , Δ , μ , T E , T p ) .
Here, F eq SiO 2 was already defined in Equation (1) as an equilibrium Casimir–Polder force, but now it has another meaning. In Equation (1), it was assumed that T p = T E = 300 K, whereas now T p T E and, thus, F eq SiO 2 , although resembles the equilibrium force by its form, describes some part of the effects of nonequilibrium.
The truly nonequilibrium contribution to Equation (10) is given by [67,70,71]:
F r SiO 2 ( a , Δ , μ , T E , T p ) = 2 α ( 0 ) π c 2 0 d ω Θ ( ω , T E , T p ) ω / c k d k e 2 a q ( ω , k ) × Im 2 q 2 ( ω , k ) c 2 + ω 2 R TM ( ω , k , Δ , μ , T p ) + ω 2 R TE ( ω , k , Δ , μ , T p ) ,
where
Θ ( ω , T E , T p ) = e ω k B T E 1 1 e ω k B T p 1 1 , q ( ω , k ) = k 2 ω 2 c 2 1 / 2 .
The reflection coefficients in Equation (11) are similar to those in Equation (3), but now they are defined along the real frequency axis:
R TM ( ω , k , Δ , μ , T p ) = k 2 [ ε ( ω ) q ( ω , k ) q ε ( ω , k ) ] + q ( ω , k ) q ε ( ω , k ) Π 00 ( ω , k , Δ , μ , T p ) k 2 [ ε ( ω ) q ( ω , k ) + q ε ( ω , k ) ] + q ( ω , k ) q ε ( ω , k ) Π 00 ( ω , k , Δ , μ , T p ) , R TE ( ω , k , Δ , μ , T p ) = k 2 [ q ( ω , k ) q ε ( ω , k ) ] Π ( ω , k , Δ , μ , T p ) k 2 [ q ( ω , k ) + q ε ( ω , k ) ] + Π ( ω , k , Δ , μ , T p ) ,
where
q ε ( ω , k ) = k 2 ε ( ω ) ω 2 c 2 1 / 2 , Π ( ω , k , Δ , μ , T p ) = k 2 Π β β ( ω , k , Δ , μ , T p ) q 2 ( ω , k ) Π 00 ( ω , k , Δ , μ , T p ) .
It is seen that Equation (13) is obtained from Equation (3) simply by putting i ξ E , l = ω . However, the components of the polarization tensor, (6) and (8), are rather complicated functions. They should be analytically continued from the imaginary to real frequency axis of the plane of complex frequency, which is a nontrivial procedure.
The advantage of representation (10) is that the truly nonequilibrium contribution to it (11) contains an integration on only the evanescent waves. For these waves, k > ω / c and the quantity q ( ω , k ) in the power of the exponent under the integral is real.
The analytic continuation of the polarization tensor to the real frequency axis under the condition k > ω / c is, nevertheless, rather involved. It takes different forms in the so-called plasmonic region [90]:
ω c < k ω v F 300 ω c
and in the region
300 ω c ω v F < k < .
We begin with the plasmonic region (15). The analytic continuation of the polarization tensor to this region of the real frequency axis for a pristine and gapped graphene was performed in Refs. [67,70,71]. Here, we present the obtained results in a more convenient analytic form and generalize them for the case of gapped graphene with nonzero chemical potential.
As was shown in Ref. [48], the form of the sought-for analytic continuation depends on whether c p < Δ or c p Δ , where p p ( ω , k ) = ω 2 v F 2 k 2 / c . If the inequality c p ( ω , k ) < Δ is satisfied, the results of Ref. [48] for Π 00 generalized for the case μ 0 can be identically represented in the following form:
Π 00 ( ω , k , Δ , μ , T p ) = 2 α k 2 c p 2 ( ω , k ) Φ 1 ( ω , k , Δ ) + 4 α c 2 p ( ω , k ) v F 2 D ˜ d u w ˜ ( u , ω , k , μ , T p ) × 1 1 2 c p ( ω , k ) λ = ± 1 λ B 1 ( c p ( ω , k ) u + λ ω ) ,
where
Φ 1 ( ω , k , Δ ) = Δ c p ( ω , k ) 1 + Δ 2 2 c 2 p 2 ( ω , k ) arctanh c p ( ω , k ) Δ , w ˜ ( u , ω , k , μ , T p ) = κ = ± 1 e B ˜ ( ω , k , T p ) u + κ μ k B T p + 1 1 , D ˜ D ˜ ( ω , k , Δ ) = Δ c p ( ω , k ) , B ˜ ( ω , k , T p ) = c p ( ω , k ) 2 k B T p , B 1 ( x ) = x 2 v F 2 k 2 [ x 2 v F 2 k 2 A ( ω , k , Δ ) ] 1 / 2 , A ( ω , k , Δ ) = 1 Δ 2 2 c 2 p 2 ( ω , k ) .
In the region c p ( ω , k ) < Δ under consideration, A ( ω , k , Δ ) < 0 and the quantity Π 00 is real.
Using the same notations, for Π one obtains from Ref. [48]
Π ( ω , k , Δ , μ , T p ) = 2 α k 2 c Φ 1 ( ω , k , Δ ) + 4 α ω 2 p ( ω , k ) v F 2 D ˜ d u w ˜ ( u , ω , k , μ , T p ) × 1 c p ( ω , k ) 2 ω 2 λ = ± 1 λ B 2 ( c p ( ω , k ) u + λ ω ) ,
where
B 2 ( x ) = x 2 + v F 2 k 2 [ 1 A ( ω , k , Δ ) ] [ x 2 v F 2 k 2 A ( ω , k , Δ ) ] 1 / 2 .
The quantity Π is also the real function.
Now we consider the region of ω and k plane, where the inequality c p ( ω , k ) Δ is satisfied. In this region, A ( ω , k , Δ ) 0 and, as a consequence, the quantities Π 00 and Π have both real and imaginary parts. From the results of Ref. [48] generalized for the case μ 0 , after identical transformations, one obtains
Π 00 ( ω , k , Δ , μ , T p ) = 2 α k 2 c p 2 ( ω , k ) Φ 2 ( ω , k , Δ ) + 4 α c 2 p ( ω , k ) v F 2 D ˜ u 1 d u w ˜ ( u , ω , k , μ , T p ) × 1 1 2 c p ( ω , k ) λ = ± 1 B 1 ( c p ( ω , k ) u + λ ω ) + u 1 d u w ˜ ( u , ω , k , μ , T p ) 1 1 2 c p ( ω , k ) λ = ± 1 λ B 1 ( c p ( ω , k ) u + λ ω ) ,
where
Φ 2 ( ω , k , Δ ) = Δ c p ( ω , k ) 1 + Δ 2 2 c 2 p 2 ( ω , k ) arctanh Δ c p ( ω , k ) + i π 2
and the roots of the common denominator of the functions B 1 and B 2 are
u 1 , 2 = 1 c p ( ω , k ) ω v F k A ( ω , k , Δ ) .
These roots, belonging to the integration domain D ˜ < u 1 < u 2 < , are obtained for λ = 1 .
In a similar manner, Π is given by
Π ( ω , k , Δ , μ , T p ) = 2 α k 2 c Φ 2 ( ω , k , Δ ) + 4 α ω 2 p ( ω , k ) v F 2 D ˜ u 1 d u w ˜ ( u , ω , k , μ , T p ) × 1 c p ( ω , k ) 2 ω 2 λ = ± 1 B 2 ( c p ( ω , k ) u + λ ω ) + u 1 d u w ˜ ( u , ω , k , μ , T p ) 1 c p ( ω , k ) 2 ω 2 λ = ± 1 λ B 2 ( c p ( ω , k ) u + λ ω ) .
Note that the imaginary parts of Π 00 and Π arise in the second integrals in Equations (21) and (24) when integrating with respect to u from u 1 to u 2 .
Let us continue and consider the region (16). In this region, the analytic continuation of the polarization tensor (6) and (8) to the real frequency axis can be obtained by putting i ξ E , l = ω with the appropriate choice of the branch of the square root in the denominator [48]. For this purpose, it is first convenient to represent the real part in Equations (6) and (8) as half a sum of the complex conjugated quantities. Then, quantity Π 00 in the region (16) of the real frequency axis takes the form
Π 00 ( ω , k , Δ , μ , T p ) = α k 2 q ˜ ( ω , k ) Ψ ( D ) + 4 α c 2 q ˜ ( ω , k ) v F 2 D d u w ( u , ω , k , μ , T p ) × 1 1 2 λ = ± 1 λ 1 u 2 + 2 λ γ ˜ ( ω , k ) u 1 u 2 + 2 λ γ ˜ ( ω , k ) u + D 2 + γ ˜ 2 ( ω , k ) D 2 1 / 2 ,
where, in accordance with Equation (7),
q ˜ ( ω , k ) = 1 c v F 2 k 2 ω 2 , γ ˜ ( ω , k ) = ω v F 2 k 2 ω 2 , D D ( ω , k , Δ ) = Δ c q ˜ ( ω , k ) , B ( ω , k , T p ) = c q ˜ ( ω , k ) 2 k B T p w ( u , ω , k , μ , T p ) = κ = ± 1 e B ( ω , k , T p ) u + κ μ k B T p + 1 1 .
In a similar way, the analytic continuation of quantity Π to the region (16) of the real frequency axis is
Π ( ω , k , Δ , μ , T p ) = α k 2 q ˜ ( ω , k ) Ψ ( D ) + 4 α q ˜ ( ω , k ) ω 2 v F 2 D d u w ( u , ω , k , μ , T p ) × 1 1 2 λ = ± 1 λ [ 1 λ γ ˜ 1 ( ω , k ) u ] 2 [ γ ˜ 2 ( ω , k ) + 1 ] D 2 1 u 2 + 2 λ γ ˜ ( ω , k ) u + D 2 + γ ˜ 2 ( ω , k ) D 2 1 / 2 .
Let us discuss the obtained expressions for the polarization tensor of gapped and doped graphene along the real frequency axis. First of all, let us note that the polarization tensor behaves differently depending on whether the inequality Δ > 2 μ or Δ 2 μ is satisfied.
If Δ > 2 μ , the powers of exponents in the definitions of w ˜ and w in Equations (18) and (26) are positive, even at the lower integration limits u = D ˜ and u = D in Equations (17) and (19), (21) and (24), (25) and (27). This is true because from Equations (18) and (26) one obtains
B ˜ D ˜ = B D = Δ 2 k B T p > μ k B T p .
In this case, Equations (18) and (26) lead to
lim T p 0 w ( u , ω , k , μ , T p ) = lim T p 0 w ˜ ( u , ω , k , μ , T p ) = 0 .
As a result, the polarization tensor at zero temperature defined as
Π 00 ( ω , k , Δ , μ , 0 ) = lim T p 0 Π 00 ( ω , k , Δ , μ , T p ) , Π ( ω , k , Δ , μ , 0 ) = lim T p 0 Π ( ω , k , Δ , μ , T p )
takes a much simplified form. It is equal to the first terms in Equations (17) and (19),
Π 00 ( ω , k , Δ , μ , 0 ) = 2 α k 2 c p 2 ( ω , k ) Φ 1 ( ω , k , Δ ) , Π ( ω , k , Δ , μ , 0 ) = 2 α k 2 c Φ 1 ( ω , k , Δ ) ,
in the plasmonic region (15) under the condition c p < Δ , to the first terms in Equations (21) and (24),
Π 00 ( ω , k , Δ , μ , 0 ) = 2 α k 2 c p 2 ( ω , k ) Φ 2 ( ω , k , Δ ) , Π ( ω , k , Δ , μ , 0 ) = 2 α k 2 c Φ 2 ( ω , k , Δ ) ,
in the plasmonic region (15) under the condition c p Δ , and to the first terms in Equations (25) and (27),
Π 00 ( ω , k , Δ , μ , 0 ) = α k 2 q ˜ ( ω , k ) Ψ ( D ) , Π ( ω , k , Δ , μ , 0 ) = α k 2 q ˜ ( ω , k ) Ψ ( D ) ,
in the region (16).
Thus, if the inequality Δ > 2 μ is satisfied, the polarization tensor at zero temperature (30) does not depend on the chemical potential μ .
It is easily seen that under the opposite inequality Δ < 2 μ there are intervals in the integration domains where the powers of exponents in the definitions of w ˜ and w in Equations (18) and (26) with κ = 1 are negative. Thus, in the plasmonic region (15), the power of the exponent in w ˜ with κ = 1 is negative within the interval
D ˜ < u < u 0 = 2 μ c p ( ω , k ) .
In a similar way, in the region (16) the power of the exponent in w with κ = 1 is negative in the interval
D < u < u ˜ 0 = 2 μ c q ˜ ( ω , k ) .
In both cases, it holds that
lim T p 0 w ( u , ω , k , μ , T p ) = lim T p 0 w ˜ ( u , ω , k , μ , T p ) = 1 .
As a result, not only the first but all terms in Equations (17) and (19), (21) and (24), (25) and (27) contribute to the polarization tensor at zero temperature defined in Equation (30).
By way of example, in the region (16) the polarization tensor of graphene with the mass gap and chemical potential satisfying the condition Δ < 2 μ takes the following form at T = 0 :
Π 00 ( ω , k , Δ , μ , 0 ) = α k 2 q ˜ ( ω , k ) Ψ ( D ) + 4 α c 2 q ˜ ( ω , k ) v F 2 × 2 μ Δ c q ˜ ( ω , k ) 1 2 D u ˜ 0 d u λ = ± 1 λ 1 u 2 + 2 λ γ ˜ ( ω , k ) u 1 u 2 + 2 λ γ ˜ ( ω , k ) u + D 2 + γ ˜ 2 ( ω , k ) D 2 1 / 2 , Π ( ω , k , Δ , μ , 0 ) = α k 2 q ˜ ( ω , k ) Ψ ( D ) + 4 α q ˜ ( ω , k ) ω 2 v F 2 × 2 μ Δ c q ˜ ( ω , k ) 1 2 D u ˜ 0 d u λ = ± 1 λ [ 1 λ γ ˜ 1 ( ω , k ) u ] 2 [ γ ˜ 2 ( ω , k ) + 1 ] D 2 1 u 2 + 2 λ γ ˜ ( ω , k ) u + D 2 + γ ˜ 2 ( ω , k ) D 2 1 / 2 ,
where the upper integration limit, u ˜ 0 , is defined in Equation (35).
Thus, under the condition Δ < 2 μ the polarization tensor at zero temperature depends on the chemical potential, μ , through the terms in the figure brackets in Equation (37) and similar terms surviving at T = 0 in Equations (17), (19) and (21), (24) valid in the plasmonic region (15).
Note that in the plasmonic region (15) the expression for the polarization tensor at zero temperature (32), found under the opposite condition 2 μ < Δ c p , contains the pure imaginary part for some values of ω and k, satisfying the inequality c p Δ . This is in line with the fact that additional contributions to the zero-temperature polarization tensor arising under the condition Δ < 2 μ also contain the imaginary parts. It is only a quantitative difference.
Another situation arises in the region (16) where k > ω / v F . Here, under the condition Δ > 2 μ , the polarization tensor at zero temperature (33) is real, but under the condition Δ < 2 μ it gains some imaginary part depending on μ for some values of ω and k. This leads to important qualitative differences between the cases Δ > 2 μ and Δ < 2 μ , which are demonstrated in Section 4 by the results of numerical computations.

4. Computational Results for the Nonequilibrium Casimir–Polder Force

In this section, the nonequilibrium Casimir–Polder force, F neq SiO 2 , from Equation (10) between nanoparticles and a silica plate coated with a gapped and doped graphene sheet is computed using the formalism presented in Section 2 and Section 3. As in Section 2, the temperatures of nanoparticles and of the environment are assumed to be equal to T E = 300 K, whereas the temperature of the graphene-coated plate is either lower, T p = 77 K, or higher, T p = 500 K, than that of the environment. All computations were performed for typical values of the mass-gap parameter Δ = 0.1 and 0.2 eV, and the chemical potential μ = 0 , 0.075 and 0.15 eV of the graphene coating within the separation region from 200 nm to 2 μ m.
Numerical computations of the first contribution F eq SiO 2 to F neq SiO 2 given by Equation (1) were performed along the imaginary frequency axis, as discussed in Section 2, but with T p T E . The computational results for the second contribution F r SiO 2 to F neq SiO 2 were obtained by Equation (11) using the polarization tensor of graphene along the real frequency axis defined for different values of ω and k in Equations (17) and (19), (21) and (24), (25) and (27). Numerical data for the real and imaginary parts of the dielectric permittivity of SiO2 are taken from Ref. [85] (see also Ref. [71] for the graphical representation of these data). Note that numerical computations of F neq SiO 2 are much more complicated than those for F eq SiO 2 made along the imaginary frequency axis owing to the quick variation of the integrands. They were performed using the program utilizing the Gauss–Kronrod and double-exponential quadrature methods for numerical integration from the GNU scientific Library [91] and Boost C + + Libraries [92]. The program was written in the C + + programming language. It utilizes the OpenMP Library [93] for parallelism. The numerical computations were performed on a supercomputer of the Peter the Great Saint Petersburg Polytechnic University. A sufficiently high precision of the computational results was reached using the Boost Multiprecision Library [94].
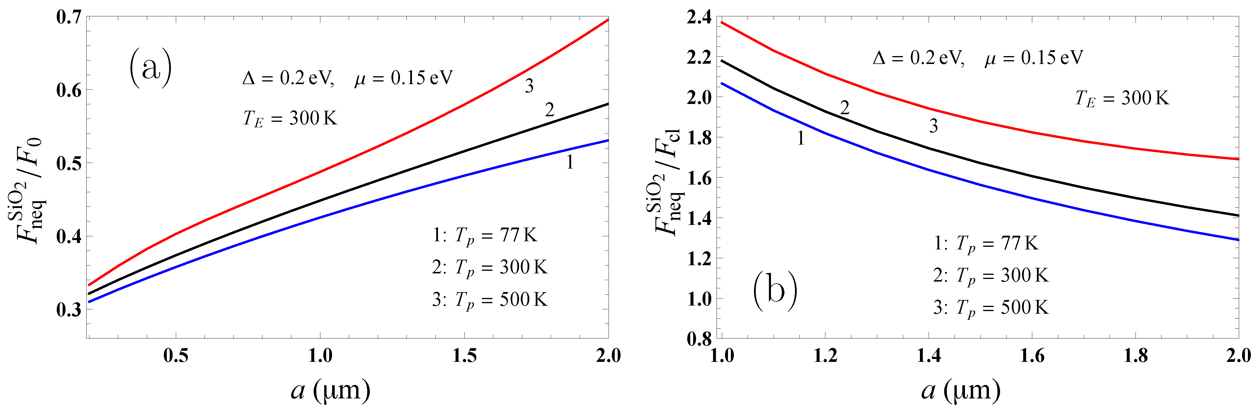
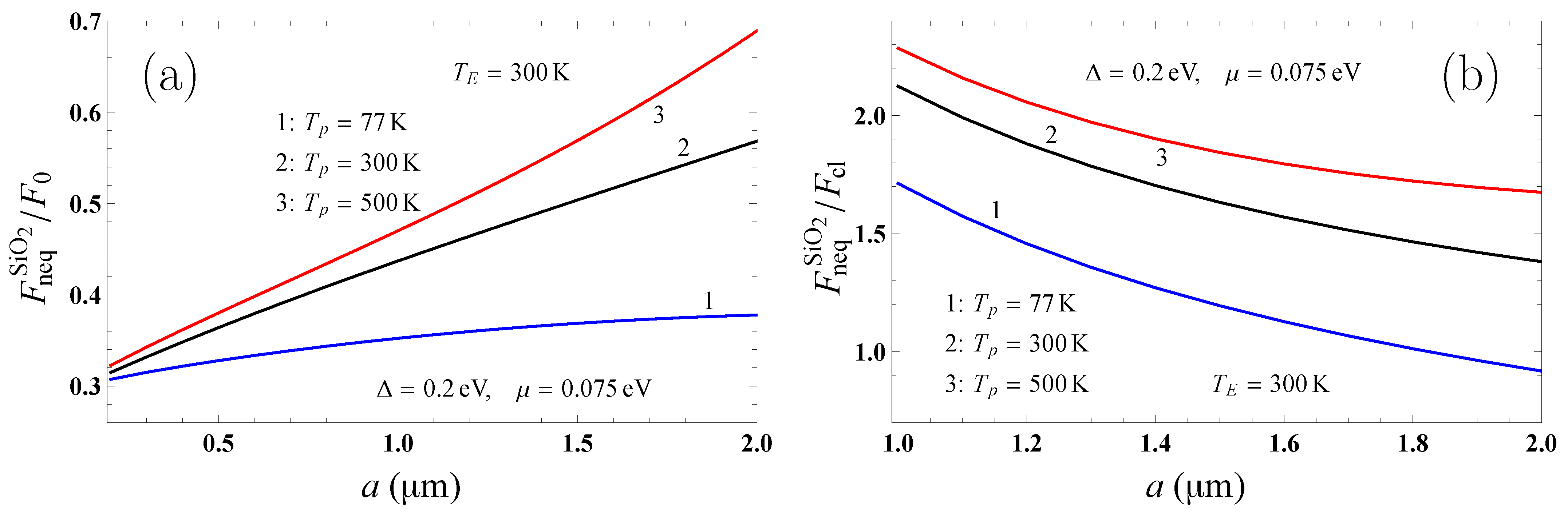
We begin with the case when the SiO2 plate coated with gapped and doped graphene is heated up to 500 K, whereas the temperature of the nanoparticles and of the environment here and below is always T E = 300 K. The mass-gap parameter of the graphene coating is Δ = 0.2 eV, whereas the chemical potential can be equal to zero or can take the values μ = 0.075 eV and 0.15 eV. In Figure 3, the computational results for the nonequilibrium Casimir–Polder force, normalized to (a) the zero-temperature Casimir–Polder force, F 0 , acting on a nanoparticle from an ideal metal plane and (b) the classical limit, F cl , of the same force at T p = T E = 300 K (see Equation (9)), are shown as the function of separation by the lines labeled 1, 2, and 3 for a graphene coating with μ = 0 , 0.075 and 0.15 eV, respectively.
From Figure 3, it can be seen that with increasing chemical potential the magnitude of the nonequilibrium Casimir–Polder force increases. Thus, in this respect the nonequilibrium force behaves in the same way as the equilibrium one. Note that the lines 1 and 2, for which 2 μ < Δ = 0.2 eV, are rather close to each other at all separations. Line 3, for which 2 μ > Δ , is further apart from lines 1 and 2 at short separations but approach them at larger separations. Thus, for a heated graphene-coated plate there is no qualitative difference between the cases 2 μ < Δ and 2 μ > Δ .
Now we consider the situation when the graphene-coated plate is cooled to T p = 77 K, preserving unchanged all the other parameters of the graphene coating listed in Figure 3. The computational results for the normalized nonequilibrium Casimir–Polder force are presented as a function of separation in Figure 4 using the same notations for all lines as in Figure 3.
As can be seen in Figure 4, the case of a cooled graphene-coated plate differs greatly from the case of a heated one. In the case of a graphene-coated plate kept at T p = 77 K, the impact of the chemical potential on the nonequilibrium Casimir–Polder force essentially depends on the relationship between 2 μ and Δ .
If 2 μ < Δ (this holds for the line labeled 2), the impact of nonzero μ on the force value is rather moderate. If, however, 2 μ > Δ (line 3), this leads to significant deviation of the force value from that computed at μ = 0 (line 1), which increases with increasing separation between nanoparticles and a graphene-coated plate. The enhancement of nonequilibrium force for the graphene coating with 2 μ > Δ is explained by the increasing role of the polarization tensor at T = 0 , which has a nonzero imaginary part in this case, and decrease of the thermal correction to it (see the discussion at the end of Section 3). By and large, although the nonequilibrium Casimir–Polder force increases with increasing μ for both the heated and cooled graphene-coated plate, in the latter case the impact of μ on the force value is much stronger.
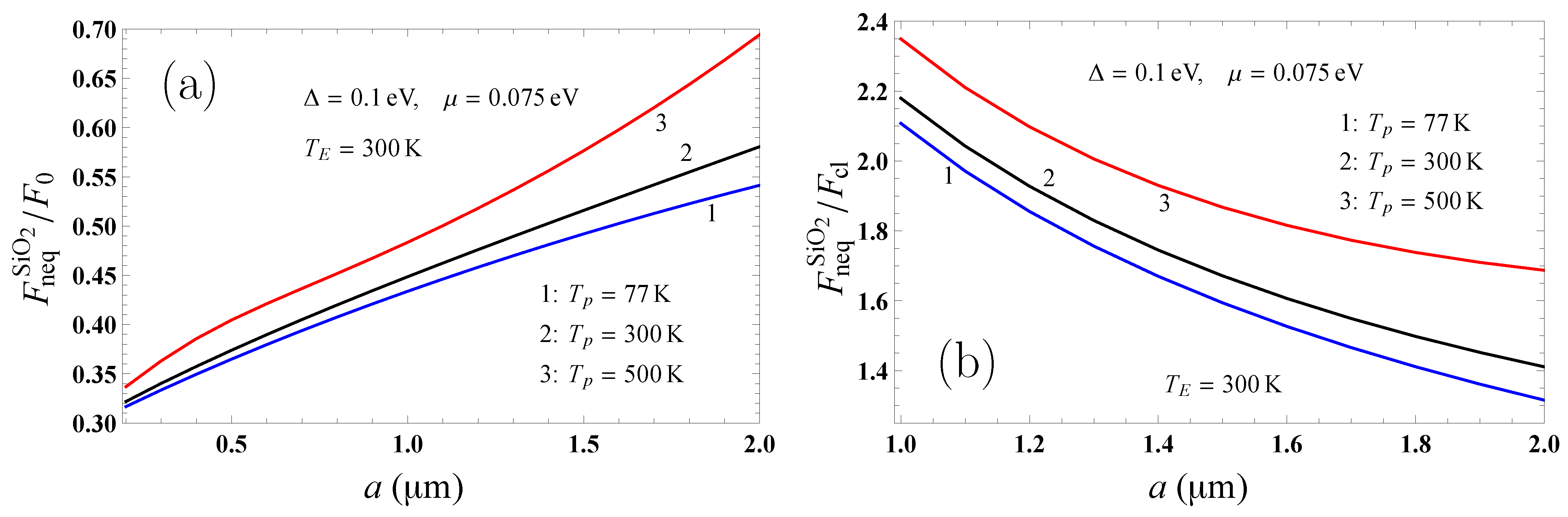
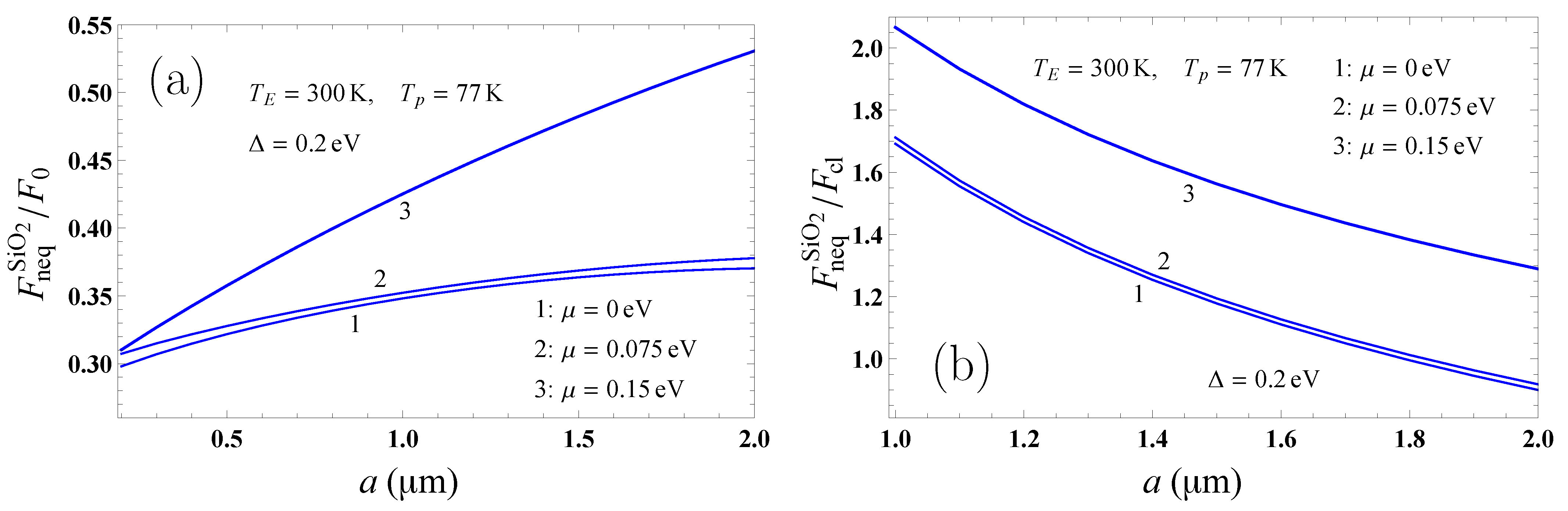
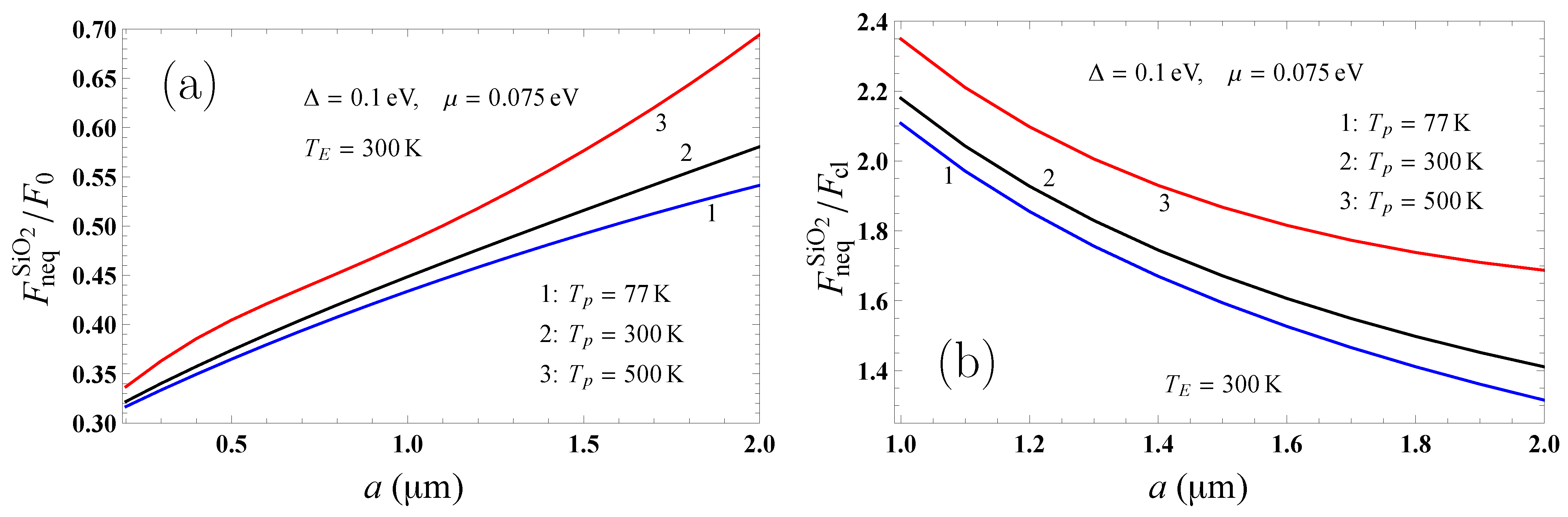
We consider now the SiO2 plate coated with the graphene sheet possessing the smaller mass-gap parameter Δ = 0.1 eV and the moderate chemical potential μ = 0.075 eV. In this case, the condition 2 μ > Δ is satisfied. The nonequilibrium Casimir–Polder force acting on nanoparticles in such a configuration was computed at three different temperatures of the graphene-coated plate: T p = 77 K (the cooled plate), T p = 300 K (the situation of the thermal equilibrium), and T p = 500 K (the heated plate).
The computational results for the Casimir–Polder force, normalized to (a) the force F 0 from an ideal metal plane at zero temperature and (b) the classical force F cl from an ideal metal plane at T p = T E = 300 K, are shown in Figure 5 as the function of separation by the lines labeled 1, 2, and 3 for the temperatures of the graphene-coated plate T p = 77 K, 300 K, and 500 K, respectively. As can be seen in Figure 5, the Casimir–Polder force at all separations increases with increasing temperature. This increase is smaller when the temperature of the graphene-coated plate, T p , is below the temperature of the environment, T E , and larger when T P > T E . In doing so, the impact of temperature on the force value increases with increasing separation.
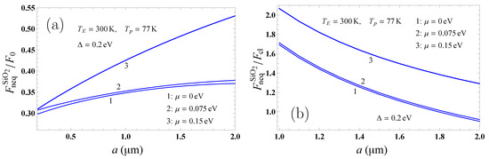
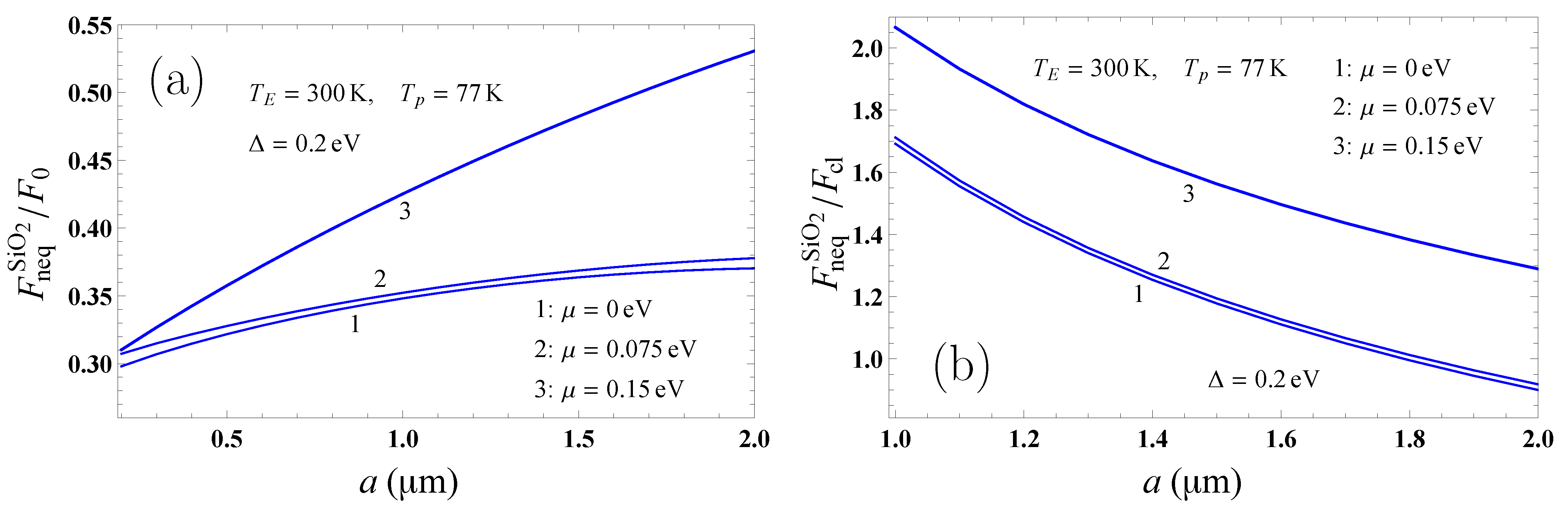
It is interesting to consider the role of the mass-gap parameter. For this purpose, the same configuration at the same three temperatures of the graphene-coated plate was considered with the larger mass-gap parameter of the graphene sheet Δ = 0.2 eV. In this case, the opposite inequality 2 μ = 0.15 eV < Δ is satisfied.
The computational results for the nonequilibrium (lines 1 and 3) and equilibrium (line 2) Casimir–Polder force normalized to (a) F 0 and (b) F cl are shown in Figure 6 by the lines labeled 1, 2, and 3 for the temperatures of the graphene-coated plate T p = 77 K, 300 K, and 500 K, respectively. Similar to Figure 5, the Casimir–Polder force increases with increasing temperature, and this increase becomes larger at larger separations.
By comparing the force values in Figure 5 and Figure 6, it can be seen that at 77 K (the lines labeled 1 in both figures) the value of the nonequilibrium Casimir–Polder force for the graphene sheet with Δ = 0.1 eV (Figure 5) is much larger than that for the graphene sheet with Δ = 0.2 eV (Figure 6). This is because, under the condition 2 μ > Δ satisfied for the configuration considered in Figure 5, the impact of the polarization tensor at T = 0 is significantly increased, as discussed at the end of Section 3. As to the force values shown by lines 2 and 3 in Figure 6, where 2 μ < Δ , they are only slightly smaller than those in Figure 5.
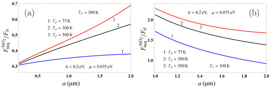
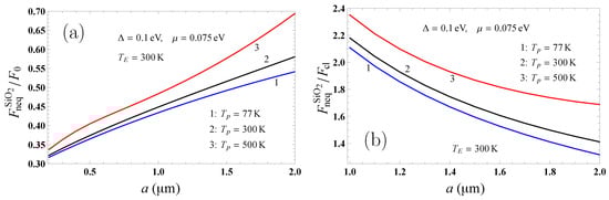
Finally, we consider the same configuration, as in Figure 6, i.e., the SiO2 plate coated with a graphene sheet with the mass-gap parameter Δ = 0.2 eV, but with a twice as large chemical potential, μ = 0.15 eV. In this case, the condition 2 μ > Δ is satisfied at the cost of sufficiently large μ , but not at the cost of relatively small Δ as in Figure 5. The computational results normalized to (a) F 0 and (b) F cl are shown in Figure 7 as the function of separation by lines 1 and 3 for the nonequilibrium Casimir–Polder force computed at T p = 77 K and 500 K, respectively, and by line 2 for the equilibrium force computed at T p = 300 K.
Similar to the previous figures, the force values in Figure 7 increase with increasing temperature, and this increase is more pronounced at larger separations between nanoparticles and a graphene-coated plate. There is only a minor impact of the increased chemical potential on lines 2 and 3 relevant to the equilibrium situation and to the heated graphene-coated plate, respectively. These lines demonstrate only slightly larger force values in comparison with those in Figure 6. One can conclude that at sufficiently high temperature the polarization tensor is almost independent of whether 2 μ > Δ or 2 μ < Δ , although the zero-temperature contribution and the thermal correction to it are different under these conditions. As to line 1 in Figure 7, computed at T p = 77 K, it demonstrates much larger values of the nonequilibrium Casimir–Polder force than line 1 in Figure 6. This effect is explained by the fact that at 2 μ > Δ the polarization tensor at zero temperature takes the relatively large value. Specifically, it has a nonzero imaginary part in the region (16) (see the discussion at the end of Section 3). For a cooled plate, only this region contributes to the increase in the force value.

5. Discussion

As was shown in Section 1, the Casimir–Polder interaction of nanoparticles with material substrates and, especially, with graphene-coated plates attracts much attention in fundamental physics and finds applications in nanotechnology. Because of this, it is important to reliably predict the strength of this interaction and its dependence on all relevant parameters. Graphene is a novel material and, for a first approximation, its response to an electromagnetic field was described by using different phenomenological approaches, such as Kubo theory, 2D Drude model, etc. (see Refs. [2,3,4]) for a review).
The development of the formalism of the polarization tensor [46,47,48,49] has made it possible to calculate the equilibrium Casimir and Casimir–Polder forces in graphene systems in the framework of the Dirac model on the basis of the first principles of thermal quantum field theory at nonzero temperature. However, application of the same formalism to the nonequilibrium forces, although rather straightforward theoretically, presents serious computational difficulties. The reason for this is that the equilibrium Casimir and Casimir–Polder forces are calculated as the sum over the discrete pure imaginary Matsubara frequencies, whereas computation of the nonequilibrium forces is unavoidably involved with the integration of rapidly varying functions along the real frequency axis [52,53,54,55,56,57,58,59,60,61,62,63], which was always challenging in Casimir physics.
This difficulty was overcome step by step. First, the nonequilibrium Casimir–Polder force between nanoparticles and a freestanding pristine graphene sheet was considered [67]. This case is interesting from a theoretical point of view, but does not reflect realistic experimental situations. Next, the impact of the mass gap, which exists in real graphene sheets, on the nonequilibrium force was investigated [70]. Among other things, the mass gap necessary arises in graphene sheets deposited on some substrates. Because of this, the obtained results were generalized for the case of a graphene-coated dielectric plate [71], as usually takes place in experimental situations. All these computations demanded the use of a supercomputer.
One more important parameter, which was previously disregarded, is the chemical potential reflecting the concentration of foreign atoms in a graphene sheet. As was shown previously, only the relationship between the mass gap and the chemical potential determines the behavior of the Casimir and Casimir–Polder forces in graphene systems [40,42,44]. In Ref. [76], the impact of chemical potential on the nonequilibrium Casimir force between two parallel graphene-coated plates was investigated, but with a disregarded mass gap of graphene and using the spatially local model of its electromagnetic response.
The formalism and computational results presented in this paper take into account all the parameters important for an adequate description of the nonequilibrium Casimir–Polder interaction between nanoparticles and a graphene-coated plate in an experimental situation, i.e., the mass gap and chemical potential of a graphene sheet, the dielectric permittivity of the plate material, and their temperature. As expected from the experience obtained when studying the graphene systems in thermal equilibrium, the nonequilibrium Casimir–Polder force between nanoparticles and a graphene-coated substrate essentially depends on the relationship between the energy gap and twice the chemical potential of the graphene coating. This opens opportunities for high-reliability predictions of the Casimir–Polder forces in graphene systems out of thermal equilibrium for a subsequent comparison with the experimental data.

6. Conclusions

To conclude, in the foregoing we have investigated the Casimir–Polder force between spherical nanoparticles and a graphene-coated SiO2 plate in out-of-thermal-equilibrium conditions. The response of graphene to the electromagnetic field was described by the spatially nonlocal polarization tensor, taking into account both the mass gap and chemical potential of the graphene coating, which was found in the framework of the Dirac model. The plate material was characterized by the frequency-dependent dielectric permittivity obtained from the tabulated optical data for the complex index of refraction of silica glass.
By computing the nonequilibrium Casimir–Polder force on a supercomputer, the following results were obtained. With increasing chemical potential, μ , of the graphene coating, the nonequilibrium Casimir–Polder force increases for both heated and cooled graphene-coated plate. An impact of the chemical potential on the force value is stronger when the graphene-coated plate is cooled, as compared to the environment temperature, and weaker when it is heated. An impact of the mass gap, Δ , of the graphene coating is also more pronounced for a cooled graphene-coated plate. In this case, the character of the nonequilibrium Casimir–Polder force essentially depends on the relationship between the values of Δ and 2 μ . An impact of the chemical potential on the force value is rather moderate if 2 μ < Δ , but if 2 μ > Δ the magnitude of the nonequilibrium force becomes much larger than that computed for a graphene coating with μ = 0 . This effect is explained by the increasing role of the polarization tensor of graphene defined at zero temperature.
The magnitude of the nonequilibrium Casimir–Polder force increases with increasing temperature of the graphene-coated plate, all other conditions being equal. This increase is weaker and stronger if the temperature of the graphene-coated plate is lower and higher than that of the environment, respectively. In all cases, the impact of temperature on the force value becomes stronger with increasing separation between nanoparticles and a graphene-coated plate.
To conclude, the revealed dependencies of the nonequilibrium Casimir–Polder force between nanoparticles and a graphene-coated plate from the mass-gap parameter, chemical potential, and temperature provide a way to control the force value in the graphene-based nanotechnological devices of the next generation.

Author Contributions

Conceptualization, G.L.K. and V.M.M.; investigation, G.L.K., C.C.K. and V.M.M.; software, C.C.K.; writing—original draft, V.M.M.; writing—review and editing, G.L.K. and C.C.K. All authors have read and agreed to the published version of the manuscript.

Funding

G.L.K. and V.M.M. were partially funded by the Ministry of Science and Higher Education of the Russian Federation (“The World-Class Research Center: Advanced Digital Technologies”, contract No. 075-15-2022-311, dated 20 April 2022). The research of V.M.M. was partially carried out in accordance with the Strategic Academic Leadership Program “Priority 2030” of the Kazan Federal University.

Institutional Review Board Statement

Not applicable.

Informed Consent Statement

Not applicable.

Data Availability Statement

Data are contained within the article.

Conflicts of Interest

The authors declare no conflicts of interest.

References

  1. Geim, A.K.; Novoselov, K.S. The rise of graphene. Nat. Mater. 2007, 6, 183–191. [Google Scholar] [CrossRef]
  2. Castro Neto, A.H.; Guinea, F.; Peres, N.M.R.; Novoselov, K.S.; Geim, A.K. The electronic properties of graphene. Rev. Mod. Phys. 2009, 81, 109–162. [Google Scholar] [CrossRef]
  3. Aoki, H.; Dresselhaus, M.S. (Eds.) Physics of Graphene; Springer: Cham, Switzerland, 2014. [Google Scholar]
  4. Katsnelson, M.I. The Physics of Graphene; Cambridge University Press: Cambridge, UK, 2020. [Google Scholar]
  5. Janavika, K.M.; Thangaraj, R.P. Graphene and its application: A review. Mater. Proc. 2023; in press. [Google Scholar] [CrossRef]
  6. Dehmiwal, S.; Bahuguna, M. Graphene—Properties, production and rising applications: A review. J. Mater. NanoSci. 2021, 8, 51–63. [Google Scholar]
  7. Williams, G.; Kamat, P.V. Graphene-Semiconductor Nanocomposites: Excited-State Interactions between ZnO Nanoparticles and Graphene Oxide. Langmuir 2009, 25, 13869–13873. [Google Scholar] [CrossRef] [PubMed]
  8. Das, B.; Choudhury, B.; Gomathi, A.; Manna, A.K.; Pati, S.K.; Rao, C.N.R. Interaction of Inorganic Nanoparticles with Graphene. ChemPhysChem 2011, 12, 937–943. [Google Scholar] [CrossRef] [PubMed]
  9. Biehs, S.-A.; Agarwal, G.S. Anisotropy enhancement of the Casimir–Polder force between a nanoparticle and graphene. Phys. Rev. A 2015, 90, 042510, Erratum in Phys. Rev. A 2015, 91, 039901. [Google Scholar] [CrossRef]
  10. Devi, J.M. Simulation Studies on the Interaction of Graphene and Gold Nanoparticle. Int. J. Nanosci. 2018, 17, 1760043. [Google Scholar] [CrossRef]
  11. Low, S.; Shon, Y.-S. Molecular interactions between pre-formed metal nanoparticles and graphene families. Adv. Nano Res. 2018, 6, 357–375. [Google Scholar]
  12. Huang, L.-W.; Jeng, H.-T.; Su, W.-B.; Chang, C.-S. Indirect interactions of metal nanoparticles through graphene. Carbon 2021, 174, 132–137. [Google Scholar] [CrossRef]
  13. Casimir, H.B.G.; Polder, D. The influence of retardation on the London-van der Waals forces. Phys. Rev. 1948, 73, 360–372. [Google Scholar] [CrossRef]
  14. Derjaguin, V.B.; Dzyaloshinsky, I.E.; Koptelova, M.M.; Pitaevsky, L.P. Molecular-Surface Forces in Binary Solutions. Discuss. Faraday Soc. 1965, 40, 246–252. [Google Scholar] [CrossRef]
  15. Parsegian, V.A. Formulae for the electrodynamic interaction of point particles with a substrate. Mol. Phys. 1974, 27, 1503–1511. [Google Scholar] [CrossRef]
  16. Lifshitz, E.M.; Pitaevskii, L.P. Statistical Physics, Part II; Pergamon: Oxford, UK, 1980. [Google Scholar]
  17. Leanhardt, A.E.; Shin, Y.; Chikkatur, A.P.; Kielpinski, D.; Ketterle, W.; Pritchard, D.E. Bose-Einstein Condensates near a Microfabricated Surface. Phys. Rev. Lett. 2003, 90, 100404. [Google Scholar] [CrossRef] [PubMed]
  18. Babb, J.F.; Klimchitskaya, G.L.; Mostepanenko, V.M. Casimir-Polder interaction between an atom and a cavity wall under the influence of real conditions. Phys. Rev. A 2004, 70, 042901. [Google Scholar] [CrossRef]
  19. Caride, A.O.; Klimchitskaya, G.L.; Mostepanenko, V.M.; Zanette, S.I. Dependences of the van der Waals atom-wall interaction on atomic and material properties. Phys. Rev. A 2005, 71, 042901. [Google Scholar] [CrossRef]
  20. Babb, J.F. Long-range atom-surface interactions for cold atoms. J. Phys. Conf. Ser. 2005, 19, 1–9. [Google Scholar] [CrossRef]
  21. Safari, H.; Welsch, D.-G.; Buhmann, S.Y.; Scheel, S. van der Waals potentials of paramagnetic atoms. Phys. Rev. A 2008, 78, 062901. [Google Scholar] [CrossRef]
  22. Bimonte, G.; Klimchitskaya, G.L.; Mostepanenko, V.M. Impact of magnetic properties on atom-wall interactions. Phys. Rev. A 2009, 79, 042906. [Google Scholar] [CrossRef]
  23. Haakh, H.; Intravaia, F.; Henkel, C.; Spagnolo, S.; Passante, R.; Power, B.; Sols, F. Temperature dependence of the magnetic Casimir-Polder interaction. Phys. Rev. A 2009, 80, 062905. [Google Scholar] [CrossRef]
  24. Ellingsen, S.Å.; Buhmann, S.Y.; Scheel, S. Temperature-Independent Casimir-Polder Forces Despite Large Thermal Photon Numbers. Phys. Rev. Lett. 2010, 104, 223003. [Google Scholar] [CrossRef] [PubMed]
  25. Judd, T.E.; Scott, R.G.; Martin, A.M.; Kaczmarek, B.; Fromhold, T.M. Quantum reflection of ultracold atoms from thin films, graphene and semiconductor heterostructures. New J. Phys. 2011, 13, 083020. [Google Scholar] [CrossRef]
  26. Passante, R.; Rizzuto, L.; Spagnolo, S.; Tanaka, S.; Petrosky, T.Y. Harmonic oscillator model for the atom-surface Casimir-Polder interaction energy. Phys. Rev. A 2012, 85, 062109. [Google Scholar] [CrossRef]
  27. Chaichian, M.; Klimchitskaya, G.L.; Mostepanenko, V.M.; Tureanu, A. Thermal Casimir-Polder interaction of different atoms with graphene. Phys. Rev. A 2012, 86, 012515. [Google Scholar] [CrossRef]
  28. Arora, B.; Kaur, H.; Sahoo, B.K. C3 coefficients for the alkali atoms interacting with a graphene and carbon nanotube. J. Phys. B 2014, 47, 155002. [Google Scholar] [CrossRef]
  29. Sun, W. Interaction forces between a spherical nanoparticle and a flat surface. Phys. Chem. Chem. Phys. 2014, 16, 5846–5854. [Google Scholar] [CrossRef]
  30. Kaur, K.; Kaur, J.; Arora, B.; Sahoo, B.K. Emending thermal dispersion interaction of Li, Na, K and Rb alkali-metal atoms with graphene in the Dirac model. Phys. Rev. B 2014, 90, 245405. [Google Scholar] [CrossRef]
  31. Klimchitskaya, G.L.; Mostepanenko, V.M. Impact of graphene coating on the atom-plate interaction. Phys. Rev. A 2014, 89, 062508. [Google Scholar] [CrossRef]
  32. Cysne, T.; Kort-Kamp, W.J.M.; Oliver, D.; Pinheiro, F.A.; Rosa, F.S.S.; Farina, C. Tuning the Casimir-Polder interaction via magneto-optical effects in graphene. Phys. Rev. A 2014, 90, 052511. [Google Scholar] [CrossRef]
  33. Kaur, K.; Arora, B.; Sahoo, B.K. Dispersion coefficients for the interactions of the alkali-metal and alkaline-earth-metal ions and inert-gas atoms with a graphene layer. Phys. Rev. A 2015, 92, 032704. [Google Scholar] [CrossRef]
  34. Bimonte, G.; Emig, T.; Kardar, M. Casimir-Polder force between anisotropic nanoparticles and gently curved surfaces. Phys. Rev. D 2015, 92, 025028. [Google Scholar] [CrossRef]
  35. Khusnutdinov, N.; Kashapov, R.; Woods, L.M. Casimir-Polder effect for a stack of conductive planes. Phys. Rev. A 2016, 94, 012513. [Google Scholar] [CrossRef]
  36. Fuchs, S.; Crosse, J.A.; Buhmann, S.Y. Casimir-Polder shift and decay rate in the presence of nonreciprocal media. Phys. Rev. A 2017, 95, 023805. [Google Scholar] [CrossRef]
  37. Rojas-Lorenzo, G.; Rubayo-Soneira, J.; Miret-Artés, S.; Pollak, E. Quantum reflection of rare-gas atoms and clusters from a grating. Phys. Rev. A 2018, 98, 063604. [Google Scholar] [CrossRef]
  38. Fuchs, S.; Bennett, R.; Krems, R.V.; Buhmann, S.Y. Nonadditivity of Optical and Casimir-Polder Potentials. Phys. Rev. Lett. 2018, 121, 083603. [Google Scholar] [CrossRef] [PubMed]
  39. Bordag, M.; Klimchitskaya, G.L.; Mostepanenko, V.M. Nonperturbative theory of atom-surface interaction: Corrections at short separations. J. Phys. Condens. Matter 2018, 30, 055003. [Google Scholar] [CrossRef] [PubMed]
  40. Henkel, C.; Klimchitskaya, G.L.; Mostepanenko, V.M. Influence of the chemical potential on the Casimir-Polder interaction between an atom and gapped graphene or a graphene-coated substrate. Phys. Rev. A 2018, 97, 032504. [Google Scholar] [CrossRef]
  41. Khusnutdinov, N.; Kashapov, R.; Woods, L.M. Thermal Casimir and Casimir-Polder interactions in N parallel 2D Dirac materials. 2D Mater. 2018, 5, 035032. [Google Scholar] [CrossRef]
  42. Klimchitskaya, G.L.; Mostepanenko, V.M. Nernst heat theorem for an atom interacting with graphene: Dirac model with nonzero energy gap and chemical potential. Phys. Rev. D 2020, 101, 116003. [Google Scholar] [CrossRef]
  43. Khusnutdinov, N.; Emelianova, N. The Low-Temperature Expansion of the Casimir-Polder Free Energy of an Atom with Graphene. Universe 2021, 7, 70. [Google Scholar] [CrossRef]
  44. Klimchitskaya, G.L.; Mostepanenko, V.M. Casimir and Casimir-Polder Forces in Graphene Systems: Quantum Field Theoretical Description and Thermodynamics. Universe 2020, 6, 150. [Google Scholar] [CrossRef]
  45. Klimchitskaya, G.L.; Mostepanenko, V.M. The Casimir Force between Two Graphene Sheets: 2D Fresnel Reflection Coefficients, Contributions of Different Polarizations, and the Role of Evanescent Waves. Physics 2023, 5, 1013–1030. [Google Scholar] [CrossRef]
  46. Bordag, M.; Fialkovsky, I.V.; Gitman, D.M.; Vassilevich, D.V. Casimir interaction between a perfect conductor and graphene described by the Dirac model. Phys. Rev. B 2009, 80, 245406. [Google Scholar] [CrossRef]
  47. Fialkovsky, I.V.; Marachevsky, V.N.; Vassilevich, D.V. Finite-temperature Casimir effect for graphene. Phys. Rev. B 2011, 84, 035446. [Google Scholar] [CrossRef]
  48. Bordag, M.; Klimchitskaya, G.L.; Mostepanenko, V.M.; Petrov, V.M. Quantum field theoretical description for the reflectivity of graphene. Phys. Rev. D 2015, 91, 045037, Erratum in Phys. Rev. D 2016, 93, 089907. [Google Scholar] [CrossRef]
  49. Bordag, M.; Fialkovskiy, I.; Vassilevich, D. Enhanced Casimir effect for doped graphene. Phys. Rev. B 2016, 93, 075414, Erratum in Phys. Rev. B 2017, 95, 119905. [Google Scholar] [CrossRef]
  50. Yan, H.; Wang, J.; Feng, B.; Duan, K.; Weng, J. Graphene and Ag nanowires co-modified photoanodes for high-efficiency dye-sensitized solar cells. Sol. Energy 2015, 122, 966–975. [Google Scholar] [CrossRef]
  51. Huang, K.; Yan, Y.; Yu, X.; Zhang, H.; Yang, D. Graphene coupled with Pt cubic nanoparticles for high performance, air-stable graphene-silicon solar cells. Nano Energy 2017, 32, 225–231. [Google Scholar] [CrossRef]
  52. Dorofeyev, I.A. The force of attraction between two solids with different temperatures. J. Phys. A Math. Gen. 1998, 31, 4369–4380. [Google Scholar] [CrossRef]
  53. Henkel, C.; Joulain, K.; Mulet, J.P.; Greffet, J.J. Radiation forces on small particles in thermal near fields. J. Opt. A Pure Appl. Opt. 2002, 4, S109–S114. [Google Scholar] [CrossRef]
  54. Antezza, M.; Pitaevskii, L.P.; Stringari, S. New Asymptotic Behavior of the Surface-Atom Force out of Thermal Equilibrium. Phys. Rev. Lett. 2005, 95, 113202. [Google Scholar] [CrossRef]
  55. Antezza, M.; Pitaevskii, L.P.; Stringari, S.; Svetovoy, V.B. Casimir-Lifshitz force out of thermal equilibrium. Phys. Rev. A 2008, 77, 022901. [Google Scholar] [CrossRef]
  56. Bimonte, G. Scattering approach to Casimir forces and radiative heat transfer for nanostructured surfaces out of thermal equilibrium. Phys. Rev. A 2009, 80, 042102. [Google Scholar] [CrossRef]
  57. Messina, R.; Antezza, M. Scattering-matrix approach to Casimir-Lifshitz force and heat transfer out of thermal equilibrium between arbitrary bodies. Phys. Rev. A 2011, 84, 042102. [Google Scholar] [CrossRef]
  58. Bimonte, G.; Emig, T.; Krüger, M.; Kardar, M. Dilution and resonance-enhanced repulsion in nonequilibrium fluctuation forces. Phys. Rev. A 2011, 84, 042503. [Google Scholar] [CrossRef]
  59. Krüger, M.; Emig, T.; Bimonte, G.; Kardar, M. Non-equilibrium Casimir forces: Spheres and sphere-plate. Europhys. Lett. 2011, 95, 21002. [Google Scholar] [CrossRef]
  60. Krüger, M.; Bimonte, G.; Emig, T.; Kardar, M. Trace formulas for nonequilibrium Casimir interactions, heat radiation, and heat transfer for arbitrary bodies. Phys. Rev. B 2012, 86, 115423. [Google Scholar] [CrossRef]
  61. Klimchitskaya, G.L.; Mostepanenko, V.M.; Sedmik, R.I.P. Casimir pressure between metallic plates out of thermal equilibrium: Proposed test for the relaxation properties of free electrons. Phys. Rev. A 2019, 100, 022511. [Google Scholar] [CrossRef]
  62. Klimchitskaya, G.L.; Mostepanenko, V.M. Casimir-Polder Interaction of an Atom with a Cavity Wall Made of Phase-Change Material out of Thermal Equilibrium. Atoms 2020, 9, 4. [Google Scholar] [CrossRef]
  63. Ingold, G.-L.; Klimchitskaya, G.L.; Mostepanenko, V.M. Nonequilibrium effects in the Casimir force between two similar metallic plates kept at different temperatures. Phys. Rev. A 2020, 101, 032506. [Google Scholar] [CrossRef]
  64. Khandekar, C.; Buddhiraju, S.; Wilkinson, P.R.; Gimzewski, J.K.; Rodriguez, A.W.; Chase, C.; Fan, S. Nonequilibrium lateral force and torque by thermally excited nonreciprocal surface electromagnetic waves. Phys. Rev. B 2021, 104, 245433. [Google Scholar] [CrossRef]
  65. Castillo-López, S.G.; Esquivel-Sirvent, R.; Pirruccio, G.; Villarreal, C. Casimir forces out of thermal equilibrium near a superconducting transition. Sci. Rep. 2022, 12, 2905. [Google Scholar] [CrossRef]
  66. Obrecht, J.M.; Wild, R.J.; Antezza, M.; Pitaevskii, L.P.; Stringari, S.; Cornell, E.A. Measurement of the temperature dependence of the Casimir-Polder force. Phys. Rev. Lett. 2007, 98, 063201. [Google Scholar] [CrossRef]
  67. Klimchitskaya, G.L.; Mostepanenko, V.M.; Tsybin, O.Y. Casimir-Polder attraction and repulsion between nanoparticles and graphene in out-of-thermal-equilibrium conditions. Phys. Rev. B 2022, 105, 195430, Erratum in Phys. Rev. B 2024, 109, 079901(E). [Google Scholar] [CrossRef]
  68. Gusynin, V.P.; Sharapov, S.G.; Carbotte, J.P. On the universal ac optical background in graphene. New J. Phys. 2009, 11, 095013. [Google Scholar] [CrossRef]
  69. Pyatkovsky, P.K. Dynamical polarization, screening, and plasmons in gapped graphene. J. Phys. Condens. Matter 2009, 21, 025506. [Google Scholar] [CrossRef] [PubMed]
  70. Klimchitskaya, G.L.; Korikov, C.C.; Mostepanenko, V.M.; Tsybin, O.Y. Impact of Mass-Gap on the Dispersion Interaction of Nanoparticles with Graphene out of Thermal Equilibrium. Appl. Sci. 2023, 13, 7511. [Google Scholar] [CrossRef]
  71. Klimchitskaya, G.L.; Korikov, C.C.; Mostepanenko, V.M.; Tsybin, O.Y. Nonequilibrium Casimir-Polder Interaction Between Nanoparticles and Substrates Coated with Gapped Graphene. Symmetry 2023, 15, 1580. [Google Scholar] [CrossRef]
  72. Falkovsky, L.A. Optical properties of graphene. J. Phys. Conf. Ser. 2008, 129, 012004. [Google Scholar] [CrossRef]
  73. Falkovsky, L.A. Thermodynamics of electron-hole liquids in graphene. Pis’ma v ZhETF 2013, 98, 183–186, Translated JETP Lett. 2013, 98, 161–164. [Google Scholar] [CrossRef][Green Version]
  74. Liu, M.; Zhang, Y.; Klimchitskaya, G.L.; Mostepanenko, V.M.; Mohideen, U. Demonstration of Unusual Thermal Effect in the Casimir Force from Graphene. Phys. Rev. Lett. 2021, 126, 206802. [Google Scholar] [CrossRef]
  75. Liu, M.; Zhang, Y.; Klimchitskaya, G.L.; Mostepanenko, V.M.; Mohideen, U. Experimental and theoretical investigation of the thermal effect in the Casimir interaction from graphene. Phys. Rev. B 2021, 104, 085436. [Google Scholar] [CrossRef]
  76. Jeyar, Y.; Austry, K.; Luo, M.; Guizal, B.; Chan, H.B.; Antezza, M. Casimir-Lifshitz force between graphene-based structures out of thermal equilibrium. Phys. Rev. B 2023, 108, 115412. [Google Scholar] [CrossRef]
  77. Falkovsky, L.A.; Varlamov, A.A. Space-time dispersion of graphene conductivity. Eur. Phys. J. B 2007, 56, 281–284. [Google Scholar] [CrossRef]
  78. Hong, S.-Y.; Dadap, J.I.; Petrone, N.; Yeh, P.-C.; Hone, J.; Osgood, R.M., Jr. Optical Third-Harmonic Generation in Graphene. Phys. Rev. X 2013, 3, 021014. [Google Scholar] [CrossRef]
  79. Li, H.; He, P.; Yu, J.; Lee, L.J.; Yi, A.Y. Localized rapid heating process for precision chalcogenide glass molding. Opt. Lasers Eng. 2015, 73, 62–68. [Google Scholar] [CrossRef]
  80. Marchena, M.; Song, Z.; Senaratne, W.; Li, C.; Liu, X.; Baker, D.; Ferrer, J.C.; Mazumder, P.; Soni, K.; Lee, R.; et al. Direct growth of 2D and 3D graphene nano-structures over large glass substrates by tuning a sacrificial Cu-template layer. 2D Mater. 2017, 4, 025088. [Google Scholar] [CrossRef]
  81. Yuan, Y.; Wang, Y.; Liu, S.; Zhang, X.; Liu, X.; Sun, C.; Yuan, D.; Zhang, Y.; Cao, X. Direct chemical vapor deposition synthesis of graphene super-hydrophobic transparent glass. Vacuum 2022, 202, 111136. [Google Scholar] [CrossRef]
  82. Bordag, M.; Klimchitskaya, G.L.; Mohideen, U.; Mostepanenko, V.M. Advances in the Casimir Effect; Oxford University Press: Oxford, UK, 2015. [Google Scholar]
  83. Sernelius, B.E. Fundamentals of van der Waals and Casimir Interactions; Springer: New York, NY, USA, 2018. [Google Scholar]
  84. Klimchitskaya, G.L.; Mohideen, U.; Mostepanenko, V.M. Theory of the Casimir interaction from graphene-coated substrates using the polarization tensor and comparison with experiment. Phys. Rev. B 2014, 89, 115419. [Google Scholar] [CrossRef]
  85. Palik, E.D. (Ed.) Handbook of Optical Constants of Solids; Academic Press: New York, NY, USA, 1985. [Google Scholar]
  86. Hough, D.B.; White, L.R. The calculation of Hamaker constants from Liftshitz theory with applications to wetting phenomena. Adv. Coll. Interface Sci. 1980, 14, 3–41. [Google Scholar] [CrossRef]
  87. Bergström, L. Hamaker constants in inorganic materials. Adv. Coll. Interface Sci. 1997, 70, 125–169. [Google Scholar] [CrossRef]
  88. Zhu, T.; Antezza, M.; Wang, J.-S. Dynamical polarizability of graphene with spatial dispersion. Phys. Rev. B 2021, 103, 125421. [Google Scholar] [CrossRef]
  89. Klimchitskaya, G.L.; Mohideen, U.; Mostepanenko, V.M. The Casimir force between real materials: Experiment and theory. Rev. Mod. Phys. 2009, 81, 1827–1885. [Google Scholar] [CrossRef]
  90. Bordag, M.; Pirozhenko, I.G. Surface plasmon on graphene at finite T. Int. J. Mod. Phys. B 2016, 30, 1650120. [Google Scholar] [CrossRef]
  91. Galassi, M.; Davies, J.; Theiler, J.; Gough, B.; Gungman, G.; Alken, P.; Booth, M.; Rossi, F.; Ulerich, R. GNU Scientific Library Reference Manual. 2021. Available online: https://www.gnu.org/software/gsl/doc/latex/gsl-ref.pdf (accessed on 1 December 2023).
  92. Boost C++ Libraries. Available online: https://www.boost.org (accessed on 1 December 2023).
  93. OpenMP Application Programming Interface. Available online: https://www.openmp.org/specifications (accessed on 1 December 2023).
  94. Boost Multiprecision Library. Available online: https://github.com/boostorg/multiprecision (accessed on 1 December 2023).
Figure 1. The equilibrium Casimir–Polder force between a nanoparticle and a graphene-coated SiO2 plate at T p = T E = 300 K, normalized to (a) the zero-temperature Casimir–Polder force from an ideal metal plane and (b) classical limit of the same force at T E = 300 K, is shown as the function of separation for a graphene coating with the mass gap Δ = 0.2 eV and chemical potential μ = 0 , 0.075, and 0.15 eV by the lines labeled 1, 2, and 3, respectively.
Figure 1. The equilibrium Casimir–Polder force between a nanoparticle and a graphene-coated SiO2 plate at T p = T E = 300 K, normalized to (a) the zero-temperature Casimir–Polder force from an ideal metal plane and (b) classical limit of the same force at T E = 300 K, is shown as the function of separation for a graphene coating with the mass gap Δ = 0.2 eV and chemical potential μ = 0 , 0.075, and 0.15 eV by the lines labeled 1, 2, and 3, respectively.
Symmetry 16 00320 g001
Figure 2. The equilibrium Casimir–Polder force between a nanoparticle and a graphene-coated SiO2 plate at T p = T E = 300 K, normalized to (a) the zero-temperature Casimir–Polder force from an ideal metal plane and (b) classical limit of the same force at T E = 300 K, is shown as the function of separation by the two pairs of solid and dashed lines. In the pair labeled 1, the mass-gap parameter Δ = 0.2 eV for both lines, whereas the chemical potential μ = 0.075 eV for the solid line and 0 for the dashed line. In the pair labeled 2, Δ = 0.1 eV for both lines, with the same corresponding values of μ as in the pair 1.
Figure 2. The equilibrium Casimir–Polder force between a nanoparticle and a graphene-coated SiO2 plate at T p = T E = 300 K, normalized to (a) the zero-temperature Casimir–Polder force from an ideal metal plane and (b) classical limit of the same force at T E = 300 K, is shown as the function of separation by the two pairs of solid and dashed lines. In the pair labeled 1, the mass-gap parameter Δ = 0.2 eV for both lines, whereas the chemical potential μ = 0.075 eV for the solid line and 0 for the dashed line. In the pair labeled 2, Δ = 0.1 eV for both lines, with the same corresponding values of μ as in the pair 1.
Symmetry 16 00320 g002
Figure 3. The nonequilibrium Casimir–Polder force between a nanoparticle and a graphene-coated SiO2 plate kept at T p = 500 K, normalized to (a) the zero-temperature Casimir–Polder force from an ideal metal plane and (b) classical limit of the same force at T E = 300 K, is shown as the function of separation for a graphene coating with the mass gap Δ = 0.2 eV and chemical potential μ = 0 , 0.075, and 0.15 eV by the lines labeled 1, 2, and 3, respectively.
Figure 3. The nonequilibrium Casimir–Polder force between a nanoparticle and a graphene-coated SiO2 plate kept at T p = 500 K, normalized to (a) the zero-temperature Casimir–Polder force from an ideal metal plane and (b) classical limit of the same force at T E = 300 K, is shown as the function of separation for a graphene coating with the mass gap Δ = 0.2 eV and chemical potential μ = 0 , 0.075, and 0.15 eV by the lines labeled 1, 2, and 3, respectively.
Symmetry 16 00320 g003
Figure 4. The nonequilibrium Casimir–Polder force between a nanoparticle and a graphene-coated SiO2 plate at T p = 77 K, normalized to (a) the zero-temperature Casimir–Polder force from an ideal metal plane and (b) classical limit of the same force at T E = 300 K, is shown as the function of separation for a graphene coating with the mass gap Δ = 0.2 eV and chemical potential μ = 0 , 0.075, and 0.15 eV by the lines labeled 1, 2, and 3, respectively.
Figure 4. The nonequilibrium Casimir–Polder force between a nanoparticle and a graphene-coated SiO2 plate at T p = 77 K, normalized to (a) the zero-temperature Casimir–Polder force from an ideal metal plane and (b) classical limit of the same force at T E = 300 K, is shown as the function of separation for a graphene coating with the mass gap Δ = 0.2 eV and chemical potential μ = 0 , 0.075, and 0.15 eV by the lines labeled 1, 2, and 3, respectively.
Symmetry 16 00320 g004
Figure 5. The Casimir–Polder force between a nanoparticle and a SiO2 plate coated by a graphene sheet with the mass-gap parameter Δ = 0.1 eV and chemical potential μ = 0.075 eV normalized to (a) the Casimir–Polder force from an ideal metal plane at zero temperature and (b) classical limit of the same force at T E = 300 K is shown as the function of separation for a graphene-coated plate at temperatures T p = 77 K (thermal nonequilibrium), T p = 300 K (thermal equilibrium), and T p = 500 K (thermal nonequilibrium) by the lines 1, 2, and 3, respectively.
Figure 5. The Casimir–Polder force between a nanoparticle and a SiO2 plate coated by a graphene sheet with the mass-gap parameter Δ = 0.1 eV and chemical potential μ = 0.075 eV normalized to (a) the Casimir–Polder force from an ideal metal plane at zero temperature and (b) classical limit of the same force at T E = 300 K is shown as the function of separation for a graphene-coated plate at temperatures T p = 77 K (thermal nonequilibrium), T p = 300 K (thermal equilibrium), and T p = 500 K (thermal nonequilibrium) by the lines 1, 2, and 3, respectively.
Symmetry 16 00320 g005
Figure 6. The Casimir–Polder force between a nanoparticle and a SiO2 plate coated by a graphene sheet with the mass-gap parameter Δ = 0.2 eV and chemical potential μ = 0.075 eV, normalized to (a) the Casimir–Polder force from an ideal metal plane at zero temperature and (b) classical limit of the same force at T E = 300 K, is shown as the function of separation for a graphene-coated plate temperatures T p = 77 K (thermal nonequilibrium), T p = 300 K (thermal equilibrium), and T p = 500 K (thermal nonequilibrium) by the lines 1, 2, and 3, respectively.
Figure 6. The Casimir–Polder force between a nanoparticle and a SiO2 plate coated by a graphene sheet with the mass-gap parameter Δ = 0.2 eV and chemical potential μ = 0.075 eV, normalized to (a) the Casimir–Polder force from an ideal metal plane at zero temperature and (b) classical limit of the same force at T E = 300 K, is shown as the function of separation for a graphene-coated plate temperatures T p = 77 K (thermal nonequilibrium), T p = 300 K (thermal equilibrium), and T p = 500 K (thermal nonequilibrium) by the lines 1, 2, and 3, respectively.
Symmetry 16 00320 g006
Figure 7. The Casimir–Polder force between a nanoparticle and a SiO2 plate coated with a graphene sheet with the mass-gap parameter Δ = 0.2 eV and chemical potential μ = 0.15 eV, normalized to (a) the Casimir–Polder force from an ideal metal plane at zero temperature and (b) classical limit of the same force at T E = 300 K, is shown as the function of separation for a graphene-coated plate at temperatures T p = 77 K (thermal nonequilibrium), T p = 300 K (thermal equilibrium), and T p = 500 K (thermal nonequilibrium) by the lines 1, 2, and 3, respectively.
Figure 7. The Casimir–Polder force between a nanoparticle and a SiO2 plate coated with a graphene sheet with the mass-gap parameter Δ = 0.2 eV and chemical potential μ = 0.15 eV, normalized to (a) the Casimir–Polder force from an ideal metal plane at zero temperature and (b) classical limit of the same force at T E = 300 K, is shown as the function of separation for a graphene-coated plate at temperatures T p = 77 K (thermal nonequilibrium), T p = 300 K (thermal equilibrium), and T p = 500 K (thermal nonequilibrium) by the lines 1, 2, and 3, respectively.
Symmetry 16 00320 g007
Disclaimer/Publisher’s Note: The statements, opinions and data contained in all publications are solely those of the individual author(s) and contributor(s) and not of MDPI and/or the editor(s). MDPI and/or the editor(s) disclaim responsibility for any injury to people or property resulting from any ideas, methods, instructions or products referred to in the content.

Share and Cite

MDPI and ACS Style

Klimchitskaya, G.L.; Korikov, C.C.; Mostepanenko, V.M. Nonequilibrium Casimir–Polder Force between Nanoparticles and Graphene-Coated Silica Plate: Combined Effect of the Chemical Potential and Mass Gap. Symmetry 2024, 16, 320. https://doi.org/10.3390/sym16030320

AMA Style

Klimchitskaya GL, Korikov CC, Mostepanenko VM. Nonequilibrium Casimir–Polder Force between Nanoparticles and Graphene-Coated Silica Plate: Combined Effect of the Chemical Potential and Mass Gap. Symmetry. 2024; 16(3):320. https://doi.org/10.3390/sym16030320

Chicago/Turabian Style

Klimchitskaya, Galina L., Constantine C. Korikov, and Vladimir M. Mostepanenko. 2024. "Nonequilibrium Casimir–Polder Force between Nanoparticles and Graphene-Coated Silica Plate: Combined Effect of the Chemical Potential and Mass Gap" Symmetry 16, no. 3: 320. https://doi.org/10.3390/sym16030320

APA Style

Klimchitskaya, G. L., Korikov, C. C., & Mostepanenko, V. M. (2024). Nonequilibrium Casimir–Polder Force between Nanoparticles and Graphene-Coated Silica Plate: Combined Effect of the Chemical Potential and Mass Gap. Symmetry, 16(3), 320. https://doi.org/10.3390/sym16030320

Note that from the first issue of 2016, this journal uses article numbers instead of page numbers. See further details here.

Article Metrics

Back to TopTop