Pure Decoherence of the Jaynes–Cummings Model: Initial Entanglement with the Environment, Spin Oscillations and Detection of Non-Orthogonal States
Abstract
1. Introduction
2. Materials and Methods: Pure Decoherence of the JCM
3. Results
3.1. Entanglement-Assisted Spin Collapses and Revivals
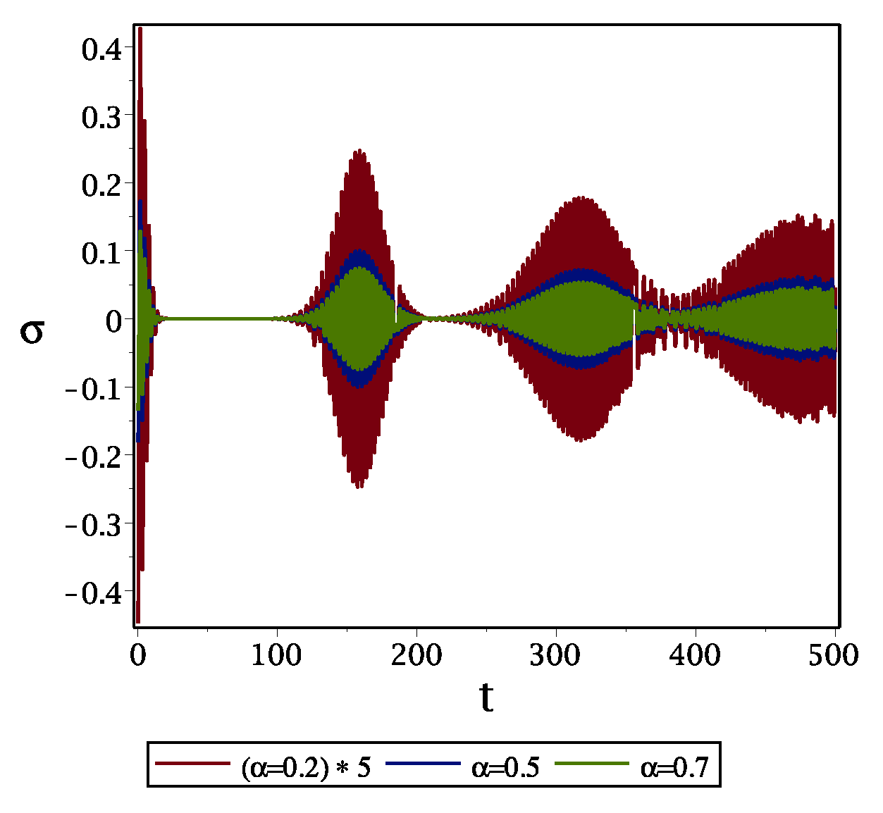
3.1.1. Boson–Environment Initial Entanglement
3.1.2. Spin–Environment Initial Entanglement
3.1.3. ‘Genuine’ Initial Entanglement
3.2. (Pure) Decoherence-Assisted Retrodiction
4. Discussion
Funding
Data Availability Statement
Conflicts of Interest
References
- Jaynes, E.; Cummings, F. Comparison of quantum and semiclassical radiation theories with application to the beam maser. Proc. IEEE 1963, 51, 89–109. [Google Scholar] [CrossRef]
- Shore, B.W.; Knight, P.L. The Jaynes-Cummings Model. J. Mod. Opt. 1993, 40, 1195–1238. [Google Scholar] [CrossRef]
- Greentree, A.D.; Koch, J.; Larson, J. Fifty years of Jaynes–Cummings physics. J. Phys. At. Mol. Opt. Phys. 2013, 46, 220201. [Google Scholar] [CrossRef]
- Gerry, C.; Knight, P. Introductory Quantum Optics; Cambridge University Press: Cambridge, UK, 2004. [Google Scholar] [CrossRef]
- Nielsen, M.A.; Chuang, I.L. Quantum Computation and Quantum Information; Cambridge University Press: Cambridge, UK, 2010. [Google Scholar]
- Krantz, P.; Kjaergaard, M.; Yan, F.; Orlando, T.P.; Gustavsson, S.; Oliver, W.D. A quantum engineer’s guide to superconducting qubits. Appl. Phys. Rev. 2019, 6, 021318. [Google Scholar] [CrossRef]
- Jacobs, K. Quantum Measurement Theory and Its Applications; Cambridge University Press: Cambridge, UK, 1999. [Google Scholar]
- Breuer, H.P.; Petruccione, F. The Theory Od Open Quantum Systems; Oxford University Press: Cambridge, UK, 2003. [Google Scholar]
- Klimov, A.B.; Chumakov, S.M. A Group-Theoretical Approach to Quantum Optics; Wiley-VCH: Weinheim, Germany, 2009. [Google Scholar]
- Chaichian, M.; Ellinas, D.; Kulish, P. Quantum algebra as the dynamical symmetry of the deformed Jaynes-Cummings model. Phys. Rev. Lett. 1990, 65, 980–983. [Google Scholar] [CrossRef] [PubMed]
- Ruiz, A.M.; Frank, A.; Urrutia, L.F. AnSU(2)⊗SU(2) Jaynes–Cummings model with a maximum energy level. Phys. Scr. 2014, 89, 045103. [Google Scholar] [CrossRef]
- Skrypnyk, T. Integrability and superintegrability of the generalized n-level many-mode Jaynes–Cummings and Dicke models. J. Math. Phys. 2009, 50, 103523. [Google Scholar] [CrossRef]
- Carinena, J.F.; De Lucas, J. Quantum Lie systems and integrability conditions. Int. J. Geom. Methods Mod. Phys. 2009, 6, 1235–1252. [Google Scholar] [CrossRef]
- Fasihi, M.A.; Mojaveri, B. Entanglement protection in Jaynes–Cummings model. Quantum Inf. Process. 2019, 18, 75. [Google Scholar] [CrossRef]
- Quesada, N.; Sanpera, A. Bound entanglement in the Jaynes–Cummings model. J. Phys. At. Mol. Opt. Phys. 2013, 46, 224002. [Google Scholar] [CrossRef]
- Raja, S.H.; Mohammadi, H.; Akhtarshenas, S.J. Geometric discord of the Jaynes-Cummings model: Pure dephasing regime. Eur. Phys. J. D 2015, 69, 14. [Google Scholar] [CrossRef]
- Sasaki, M.; Usuda, T.S.; Hirota, O.; Holevo, A.S. Applications of the Jaynes-Cummings model for the detection of nonorthogonal quantum states. Phys. Rev. A 1996, 53, 1273–1279. [Google Scholar] [CrossRef]
- Rivas, A.; Huelga, S.F. Open Quantum Systems. An introduction; Springer: Berlin/Heidelberg, Germany, 2012. [Google Scholar] [CrossRef]
- Alicki, R.; Lendi, K. Quantum Dynamical Semigroups and Applications; Springer: Berlin/Heidelberg, Germany, 2007. [Google Scholar]
- Zaikin, A.D.; Golubev, D.S. Dissipative Quantum Mechanics of Nanostructures; CRC Press: Boca Raton, FL, USA, 2019. [Google Scholar] [CrossRef]
- Davies, E.B. Quantum Theory of Open Systems; Academic Press: London, UK, 1976. [Google Scholar]
- Benatti, F.; Floreanini, R. Open quantum dynamics: Complete positivity and entanglement. Int. J. Mod. Phys. B 2005, 19, 3063–3139. [Google Scholar] [CrossRef]
- Horodecki, R.; Horodecki, P.; Horodecki, M.; Horodecki, K. Quantum entanglement. Rev. Mod. Phys. 2009, 81, 865–942. [Google Scholar] [CrossRef]
- Grabert, H.; Schramm, P.; Ingold, G.L. Quantum Brownian motion: The functional integral approach. Phys. Rep. 1988, 168, 115–207. [Google Scholar] [CrossRef]
- Dajka, J.; Łuczka, J. Distance growth of quantum states due to initial system-environment correlations. Phys. Rev. A 2010, 82, 012341. [Google Scholar] [CrossRef]
- Ban, M. Quantum master equation for dephasing of a two-level system with an initial correlation. Phys. Rev. A 2009, 80, 064103. [Google Scholar] [CrossRef]
- Paz-Silva, G.A.; Hall, M.J.W.; Wiseman, H.M. Dynamics of initially correlated open quantum systems: Theory and applications. Phys. Rev. A 2019, 100, 042120. [Google Scholar] [CrossRef]
- Chen, C.C.; Goan, H.S. Effects of initial system-environment correlations on open-quantum-system dynamics and state preparation. Phys. Rev. A 2016, 93, 032113. [Google Scholar] [CrossRef]
- Chaudhry, A.Z.; Gong, J. Role of initial system-environment correlations: A master equation approach. Phys. Rev. A 2013, 88, 052107. [Google Scholar] [CrossRef]
- Kitajima, S.; Ban, M.; Shibata, F. Expansion formulas for quantum master equations including initial correlation. J. Phys. Math. Theor. 2017, 50, 125303. [Google Scholar] [CrossRef]
- Alipour, S.; Rezakhani, A.T.; Babu, A.P.; Mølmer, K.; Möttönen, M.; Ala-Nissila, T. Correlation-Picture Approach to Open-Quantum-System Dynamics. Phys. Rev. X 2020, 10, 041024. [Google Scholar] [CrossRef]
- Saavedra, C.; Klimov, A.B.; Chumakov, S.M.; Retamal, J.C. Dissipation in collective interactions. Phys. Rev. A 1998, 58, 4078–4086. [Google Scholar] [CrossRef]
- Fujii, K.; Suzuki, T. An approximate solution of the jaynes—Cummings model with dissipation. Int. J. Geom. Methods Mod. Phys. 2011, 8, 1799–1814. [Google Scholar] [CrossRef]
- Fujii, K.; Suzuki, T. An approximate solution of the jaynes—Cummings model with dissipation ii: Another approach. Int. J. Geom. Methods Mod. Phys. 2012, 9, 1250036. [Google Scholar] [CrossRef]
- Gangopadhyay, G.; Lin, S.H. The effect of pure decoherence on the Jaynes-Cummings model. Phys. Scr. 1997, 55, 425–430. [Google Scholar] [CrossRef]
- Law, C.K.; Chen, T.W.; Leung, P.T. Jaynes-Cummings model in leaky cavities: An exact pure-state approach. Phys. Rev. A 2000, 61, 023808. [Google Scholar] [CrossRef]
- Kitajima, S.; Ban, M.; Shibata, F. A solvable dissipative Jaynes–Cummings model with initial correlation. J. Phys. At. Mol. Opt. Phys. 2013, 46, 224004. [Google Scholar] [CrossRef]
- Łuczka, J. Spin in contact with thermostat: Exact reduced dynamics. Phys. A Stat. Mech. Appl. 1990, 167, 919–934. [Google Scholar] [CrossRef]
- Alicki, R. Pure Decoherence in Quantum Systems. Open Syst. Inf. Dyn. 2004, 11, 53. [Google Scholar] [CrossRef]
- Schuster, D.I.; Houck, A.A.; Schreier, J.A.; Wallraff, A.; Gambetta, J.M.; Blais, A.; Frunzio, L.; Majer, J.; Johnson, B.; Devoret, M.H.; et al. Resolving photon number states in a superconducting circuit. Nature 2007, 445, 515–518. [Google Scholar] [CrossRef] [PubMed]
- Roszak, K.; Machnikowski, P. Complete disentanglement by partial pure dephasing. Phys. Rev. A 2006, 73, 022313. [Google Scholar] [CrossRef]
- Reina, J.H.; Quiroga, L.; Johnson, N.F. Decoherence of quantum registers. Phys. Rev. A 2002, 65, 032326. [Google Scholar] [CrossRef]
- Chen, H.B.; Chen, H.B.; Lo, P.Y.; Gneiting, C.; Bae, J.; Chen, Y.N.; Nori, F. Quantifying the nonclassicality of pure dephasing. Nat. Commun. 2019, 10, 3794. [Google Scholar] [CrossRef] [PubMed]
- Usui, R.; Ban, M. Temporal nonlocality of a two-level system interacting with a dephasing environment. Quantum Inf. Process. 2020, 19, 159. [Google Scholar] [CrossRef]
- Dajka, J.; Mierzejewski, M.; Łuczka, J. Fidelity of asymmetric dephasing channels. Phys. Rev. A 2009, 79, 012104. [Google Scholar] [CrossRef]
- Dajka, J.; Łuczka, J. Origination and survival of qudit-qudit entanglement in open systems. Phys. Rev. A 2008, 77, 062303. [Google Scholar] [CrossRef]
- Łobejko, M.; Mierzejewski, M.; Dajka, J. Interference of qubits in pure dephasing and almost pure dephasing environments. J. Phys. Math. Theor. 2015, 48, 275302. [Google Scholar] [CrossRef]
- Gao, Y. The dynamical role of initial correlation in the exactly solvable dephasing model. Eur. Phys. J. D 2013, 67, 183. [Google Scholar] [CrossRef][Green Version]
- Dajka, J.; Łuczka, J.; Hänggi, P. Distance between quantum states in the presence of initial qubit-environment correlations: A comparative study. Phys. Rev. A 2011, 84, 032120. [Google Scholar] [CrossRef]
- Dajka, J. Faint trace of a particle in a noisy Vaidman three-path interferometer. Sci. Rep. 2021, 11, 1123. [Google Scholar] [CrossRef]
- Perelomov, A. Generalized Coherent States and Their Applications; Springer: Berlin/Heidelberg, Germany, 1986. [Google Scholar]
- Bratteli, O.; Robinson, D.W. Operator Algebras and Quantum Statistical Mechanics: Equilibrium States. Models in Quantum Statistical Mechanics; Springer: Berlin/Heidelberg, Germany, 2003. [Google Scholar]
- Gühne, O.; Tóth, G. Entanglement detection. Phys. Rep. 2009, 474, 1–75. [Google Scholar] [CrossRef]
- Gazeau, J.P. Coherent states in Quantum Information: An example of experimental manipulations. J. Phys. Conf. Ser. 2010, 213, 012013. [Google Scholar] [CrossRef]
- Olivares, S.; Paris, M.G.A. Binary optical communication in single-mode and entangled quantum noisy channels. J. Opt. Quantum Semiclassical Opt. 2003, 6, 69–80. [Google Scholar] [CrossRef][Green Version]
- Ban, M. Quantum dense coding of continuous variables in a noisy quantum channel. J. Opt. Quantum Semiclassical Opt. 2000, 2, 786–791. [Google Scholar] [CrossRef]
- Ivanovic, I. How to differentiate between non-orthogonal states. Phys. Lett. A 1987, 123, 257–259. [Google Scholar] [CrossRef]
- Peres, A. How to differentiate between non-orthogonal states. Phys. Lett. A 1988, 128, 19. [Google Scholar] [CrossRef]
- Huttner, B.; Barnett, S.M. Quantization of the electromagnetic field in dielectrics. Phys. Rev. A 1992, 46, 4306–4322. [Google Scholar] [CrossRef]
- Drezet, A. Description of spontaneous photon emission and local density of states in the presence of a lossy polaritonic inhomogeneous medium. Phys. Rev. A 2017, 95, 043844. [Google Scholar] [CrossRef]




Disclaimer/Publisher’s Note: The statements, opinions and data contained in all publications are solely those of the individual author(s) and contributor(s) and not of MDPI and/or the editor(s). MDPI and/or the editor(s) disclaim responsibility for any injury to people or property resulting from any ideas, methods, instructions or products referred to in the content. |
© 2024 by the author. Licensee MDPI, Basel, Switzerland. This article is an open access article distributed under the terms and conditions of the Creative Commons Attribution (CC BY) license (https://creativecommons.org/licenses/by/4.0/).
Share and Cite
Dajka, J. Pure Decoherence of the Jaynes–Cummings Model: Initial Entanglement with the Environment, Spin Oscillations and Detection of Non-Orthogonal States. Symmetry 2024, 16, 250. https://doi.org/10.3390/sym16020250
Dajka J. Pure Decoherence of the Jaynes–Cummings Model: Initial Entanglement with the Environment, Spin Oscillations and Detection of Non-Orthogonal States. Symmetry. 2024; 16(2):250. https://doi.org/10.3390/sym16020250
Chicago/Turabian StyleDajka, Jerzy. 2024. "Pure Decoherence of the Jaynes–Cummings Model: Initial Entanglement with the Environment, Spin Oscillations and Detection of Non-Orthogonal States" Symmetry 16, no. 2: 250. https://doi.org/10.3390/sym16020250
APA StyleDajka, J. (2024). Pure Decoherence of the Jaynes–Cummings Model: Initial Entanglement with the Environment, Spin Oscillations and Detection of Non-Orthogonal States. Symmetry, 16(2), 250. https://doi.org/10.3390/sym16020250

