Abstract
Chiral β-azido- and β-cyanocarbonyl compounds are extremely useful building blocks in asymmetric synthesis, thanks to the manyfold reactivity of their functional groups. The enantioselective synthesis of such compounds, until the beginning of the 21st century, has been mostly achieved using transition-metal chiral catalysts. The explosion of enantioselective organocatalysis, however, has enabled the development of efficient metal-free methodologies with significant benefits in terms of costs and environmental safety. An overview of the advances made in recent years in this field is herein presented.
1. Introduction
Asymmetric synthesis is an indispensable and fascinating tool for generating chiral molecules useful in many sectors of organic chemistry, especially in the context of medicinal chemistry and the pharmaceutical industry for the preparation of chiral drug candidates.
At the beginning of the current century, enantioselective synthesis heavily started to rely on organocatalysis, which is based on reactions mediated by small organic molecules [1,2,3,4].
The landscape of catalysis has significantly changed over the last decades, and an increasing number of organic transformations are now carried out using organocatalysts, which have superior air and moisture tolerance and excellent compatibility with a wide range of functional groups in comparison with transition-metal catalysts [5]. In addition, most organocatalysts are inexpensive, non-toxic, and safe for the environment.
Chiral azides and nitriles are interesting building blocks and key intermediates for the synthesis of several enantioenriched compounds. One of the most useful means to prepare such molecules is the enantioselective conjugate azidation or cyanation of electron-poor alkenes, which has long been confined to transition-metal catalyzed processes. The potential advantages of metal-free synthesis have inspired this review, which describes the advances for asymmetric organocatalytic conjugated hydroazidation and hydrocyanation reactions.
2. Enantioselective Conjugate Azidation
In recent decades, azides have received a lot of interest as useful and versatile intermediates in synthetic organic chemistry, serving as precursors among others of amines, amides, or heterocycles like pyrroles, pyridines, and 1,2,3-triazoles [6,7,8,9]. Additionally, they are commonly employed in chemical biology and pharmaceutical chemistry [10].
In spite of their toxicity and explosiveness, numerous synthetic techniques have been developed to install the azide moiety in an enantioselective fashion, via both nucleophilic and electrophilic azidations [11].
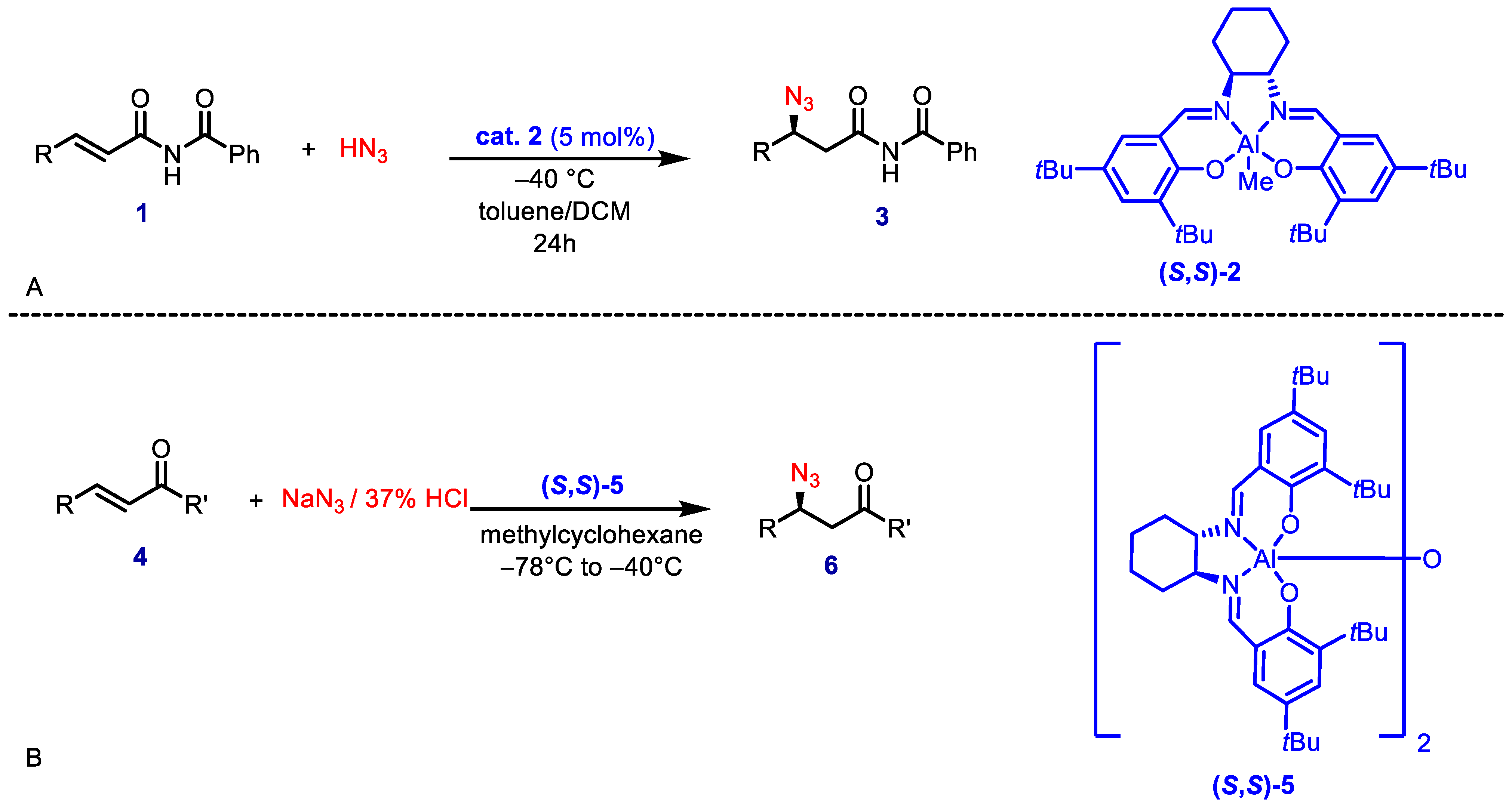
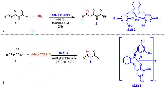
In 1999, Jacobsen and coworkers described the asymmetric synthesis of β-amino acid derivatives via conjugate addition of hydrazoic acid to unsaturated imides (Scheme 1A) in the presence of a chiral (salen)Al(III) complex [12]. Subsequently, the same research group reported the asymmetric hydroazidation of α,β-unsaturated ketones (Scheme 1B) using a similar catalytic system [13]. The major drawback of this highly enantioselective methodology is the high toxicity and explosivity of hydrazoic acid.
Scheme 1.
(A) Conjugate addition of hydrazoic acid to unsaturated imides (B) asymmetric hydroazidation of α,β-unsaturated ketones in presence of chiral (salen)Al(III) complexes. Blue color was used for catalyst structures, red to emphasize azide or cyano functional groups.
2.1. Organocatalyzed Enantioselective Hydroazidation
Various research groups, with the purpose of meeting green chemistry principles, explored enantioselective metal-free catalyzed azidation reactions under mild conditions, avoiding the direct use of hydrazoic acid as a nucleophilic azide source.
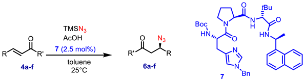
The first organocatalytic hydroazidation was reported by Miller and collaborators in 1999 [14]. Tertiary amines were employed as catalysts for the β-azidation of α,β-unsaturated carbonyl compounds. The azide source was generated by mixing TMSN3 and AcOH (Scheme 2).
Scheme 2.
Amine-catalyzed azidation of α,β-unsaturated carbonyl compounds.
In 2000, the same research group reported the asymmetric organocatalytic hydroazidation promoted by the small β-turn peptide derivative 7, armed with a τ-(benzyl)-His residue (Table 1) [15].
Table 1.
β-Azidation of α,β-unsaturated carbonyl compounds catalyzed by the small peptide derivative 7.
Based on these results, Miller and coworkers in 2002 elaborated an enantioselective azidation/cycloaddition sequence achieving optically enriched triazoles and triazolines [16].
Various organocatalytic systems have been developed to carry out the enantioselective conjugate addition of the azide group to unsaturated nitroalkenes.
In 2007, Jørgensen and coworkers described the first asymmetric conjugate addition of azide to α,β-unsaturated nitroalkenes catalyzed by Cinchona alkaloids derivatives [17]. In this methodology, the simultaneous presence of TMSN3 and a carboxylic acid provided hydrazoic acid in situ. The best Cinchona alkaloid-derived catalyst 9 led to adducts in high conversions but moderate enantioselectivities (27–62% ee) (Scheme 3).
Scheme 3.
The first organocatalytic azide addition to unsaturated nitroalkenes.
This process turned out to be strongly dependent on the steric and electronic nature of the acid additive. As a matter of example, the reaction of 1-nitro-hept-1-ene performed in the presence of benzoic acid led to 50% ee, whereas AcOH and 2,4,6-trimethoxy benzoic acid furnished 57% ee and 62% ee, respectively.
In 2015, Della Sala and collaborators reported the asymmetric hydroazidation of nitroalkenes promoted by the secondary amine-thiourea catalyst (11) [18]. After a thorough screening of bifunctional catalysts, the asymmetric hydroazidation of various nitroalkenes in the presence of TMSN3 and AcOH was achieved with a good level of enantioselectivity (71–82% ee), as reported in Table 2. The only exception, in terms of enantioselectivity (39% ee), is represented by nitrostyrene (Table 2, entry 7). However, it would be stressed that this is the first example of asymmetric hydroazidation of nitrostyrenes.
Table 2.
Asymmetric hydroazidation of nitroalkenes catalyzed by tertiary amine-thiourea (14).
A tandem hydroazidation–hydroxylation reaction of α,β-unsaturated aldehydes was realized by Jang in 2014 by using TMSN3, TEMPO, FeCl3·6H2O, and the Jørgensen–Hayashi catalyst 13 [19]. This methodology afforded optically active α,β-disubstituted aldehydes, which are key intermediates of biologically interesting β-amino α-hydroxy esters [20,21,22]. Under the optimized reaction conditions, diverse α,β-unsaturated aldehydes were used for the tandem azido/TEMPO addition, achieving moderate yields (42–71%) and good enantioselectivities (71–90% ee) (Table 3).
Table 3.
Tandem hydroazidation–hydroxylation reaction of α,β-unsaturated aldehydes.
Luo and coworkers reported, in 2017, the first example of asymmetric hydroazidation of α-substituted vinyl ketones carried out with TMSN3 and a chiral primary tertiary diamine catalyst (17) [23]. This transformation was performed under mild reaction conditions, achieving good yields (56–91%) and enantioselectivities, as reported in Table 4.
Table 4.
Substrate scope of asymmetric hydroazidation of α-substituted vinyl ketones.
With the aim of exploring the ability of hydrogen bonding amine bifunctional organocatalysts to activate TMSN3 and direct the enantioselective addition to Michael acceptors, Aleman and coworkers, in 2019, reported the asymmetric hydroazidation of α,β-unsaturated ketones using the bifunctional squaramide 19. This catalyst proved capable of simultaneously activating the enone and the TMSN3 without using any carboxylic acid additive [24]. The presence of trace amounts of water was found to be essential to activate TMSN3 and promote the conjugate addition without generating free hydrazoic acid. DFT calculations demonstrated that the desilylation of TMSN3 and generation of azide anion is carried out by an H2O molecule pre-coordinated to the tertiary nitrogen atom of the catalyst (Figure 1).
Figure 1.
Plausible activation mode of the TMSN3.
Using the optimized reaction condition, various differently substituted α,β-unsaturated ketones were tested, resulting in good yields and enantioselectivities as described in Table 5.
Table 5.
Substrate scope of asymmetric conjugate azidation to enones catalyzed by 19.
2.2. Organocatalyzed Enantioselective Hydrocyanation
The asymmetric conjugate addition of cyanide to α,β-unsaturated carbonyl derivatives was first accomplished by Jacobsen [25,26,27] using chiral aluminum salen complexes and by Shibasaki [28] using chiral gadolinium catalyst, producing highly valuable chiral building blocks for pharmaceuticals.
Bifunctional compounds, such as β-amino acids, can be synthesized from β-nitro nitriles. The simple pathway to such molecules, according to an intuitive retrosynthesis study, involves a direct conjugate cyanide addition to nitroalkenes. The great tendency of nitroalkenes to polymerize under basic conditions, however, limits the development of this reaction.
In 2010, Lassaletta and coworkers decided to explore the asymmetric unprecedented cyanosilylation of nitroalkenes [29]. The employment of hydrogen bonding bifunctional tertiary amine organocatalysts resulted in disappointing conversions, whereas much better performances were achieved by using bifunctional Cinchona alkaloids derived from halide or cyanide ammonium salts. After an in-depth screening of Cinchona alkaloid derivatives, the model reaction was efficiently catalyzed by 21 in TBME. The products 22 were always produced with excellent yields and good enantioselectivities when with a variety of aliphatic substrates (Table 6). The authors proposed a mechanism involving the activation of TMSCN triggered by the nucleophilic attack of the halide or cyanide anion (Figure 2).
Table 6.
Substrate scope of asymmetric cyanosilylation of nitroalkenes.
Figure 2.
Proposed mechanism of bifunctional thiourea/ammonium catalyzed cyanosilylation of nitroalkenes.
In the key stereoselective cyanation step, the CN– counterion attacks the substrate bound to the thiourea moiety.
Both methods of Jacobsen and Lassaletta use trimethylsilyl cyanide (TMSCN), an expensive source of cyanide ions. In 2010, Ricci and collaborators [30] started their investigation using acetone cyanohydrin as a cyanide donor under phase-transfer conditions for the addition to β,β-disubstituted nitroolefins promoted by Cinchona alkaloids derived catalysts (Table 7).
Table 7.
Substrate scope of addition of acetone cyanohydrin to β,β-disubstituted nitroolefins.
The organocatalytic ion pair is generated by the base-promoted decomposition of cyanohydrin liberating cyanide ion. The transfer of the C-nucleophile to the electrophilic nitroolefin’s conjugated site then occurs.
Some years later, Deng and coworkers [31] employed cupreidinium salts for the asymmetric 1,4-addition of cyanide to enones with acetone cyanohydrin and Cs2CO3 in toluene/CHCl3 (Scheme 4).
Scheme 4.
Asymmetric 1,4-addition of cyanide to enones.
Using the best PTC catalysts (27 and 28) (Figure 3), a wide range of acyclic enones bearing linear and branched alkyl groups as the β substituents performed satisfactorily (Table 8).
Figure 3.
Phase-transfer catalysts for the conjugate addition of cyanide to enones.
Table 8.
Substrate scope for the asymmetric 1,4 addition of cyanide.
In 2010, Chen and coworkers described an enantioselective 1,4-addition of TMSCN to aromatic chalcones catalyzed by a chiral sodium phosphate [32]. The catalytic sodium salt was generated in situ from the corresponding phosphoric acid and sodium hydroxide. After a screening of BINOL-derived phosphoric acid salts, the best catalysts was found to be a derivative bearing bulky adamantyl groups at 3,3′ positions with excellent yields (86–99%) and moderate enantioselectivities (53–72% ee).
Later, in 2013, the same research group reported the asymmetric conjugate hydrocyanation of enones with benzophenone cyanohydrin catalyzed by an anionic chiral phosphate catalyst [33]. The best catalyst was 31, bearing adamantyl substituents at 6,6′ positions. In the scope of reaction (Table 9), all the chalcone analogs exhibited excellent enantioselectivities (92–98% ee) with the exclusive formation of 1,4-adducts up to 96% yields.
Table 9.
Asymmetric conjugate hydrocyanation of enones.
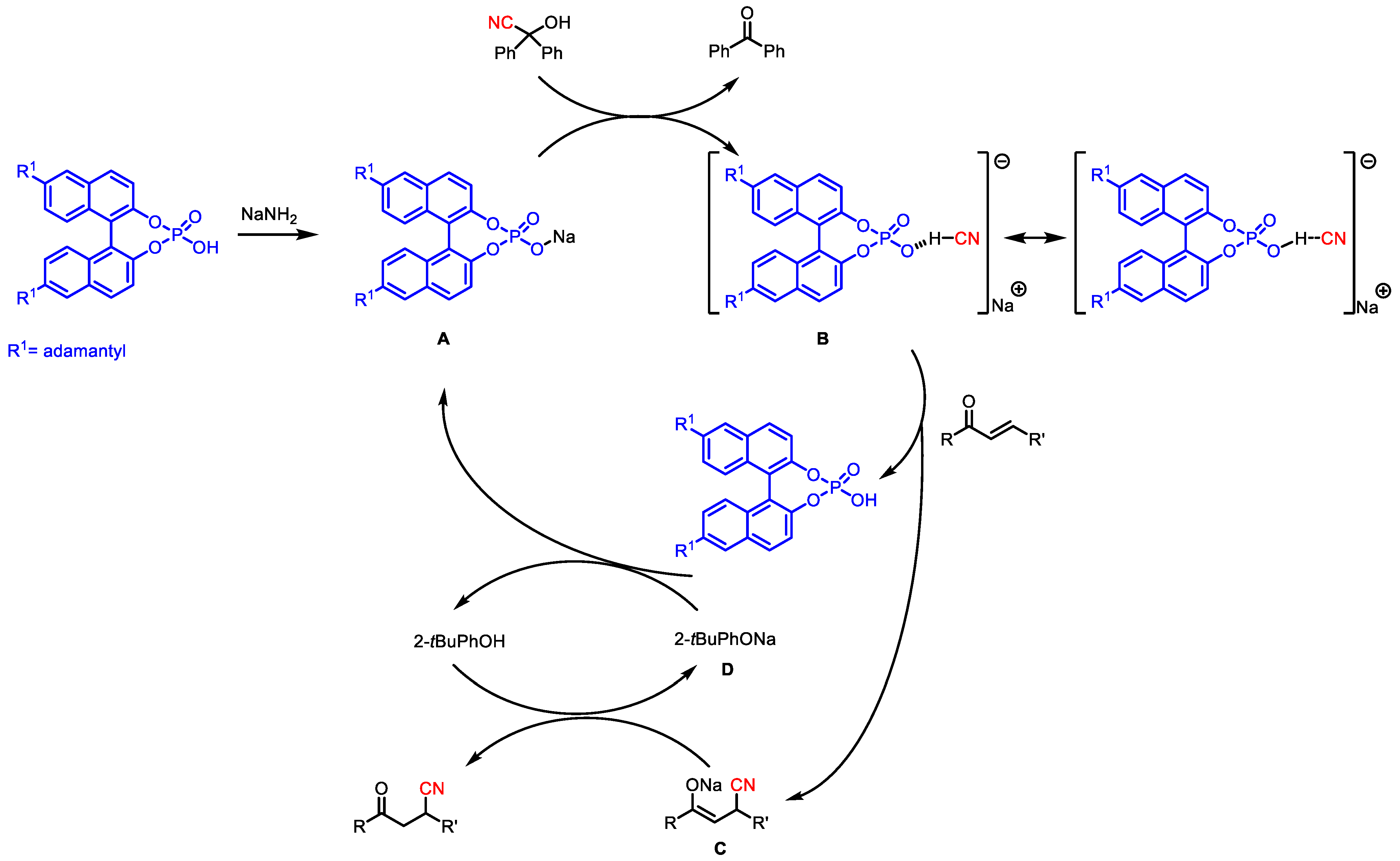
A possible mechanism is described in Figure 4: firstly, the cyanohydrin decomposes into HCN, reacting with the in situ generated sodium phosphate A, the real catalyst, to form the negative-charged intermediate B. After being altered by the chiral anion via hydrogen bonding, the HCN nucleophile gave an asymmetric conjugate addition to the enone to produce a cyano-enolate C. This is then acidified by the phenol additive to produce sodium phenolate D and the hydrocyanation product. Finally, the phenolate D deprotonates the chiral phosphoric acid, regenerating A.
Figure 4.
Proposed mechanism for asymmetric conjugate hydrocyanation of enones.
3. Conclusions
Over the past few years, chemical synthesis has undergone a revolution via enantioselective organocatalysis. More efficient chiral organocatalysts have emerged as interesting and useful alternatives to metal catalysts for conjugate hydroazidation and hydrocyanation reactions, avoiding the high toxicity and explosivity of reagents.
This review highlighted in the first section how it is possible to introduce the azide moiety in an enantioselective fashion, via both nucleophilic and electrophilic azidations. The second part analyzed the asymmetric conjugate addition of cyanide to α,β-unsaturated carbonyl derivatives. These asymmetric metal-free transformations produced important chiral building blocks for pharmaceutical industries. The main future goal will surely be the design of even more efficient systems with optimal catalytic properties, leading to greener and more sustainable processes.
Author Contributions
Conceptualization and writing—original draft preparation, R.S. and G.D.S., writing—review and editing, R.S. and G.D.S., visualization and supervision, G.D.S. All authors have read and agreed to the published version of the manuscript.
Funding
Financial support from “Ministero dell’Università e della Ricerca” is gratefully acknowledged: PON “Ricerca e Innovazione” 2014–2020 Azione IV.4 and PRIN 2020 (2020AEX4TA) project.
Data Availability Statement
Data are contained within the article.
Conflicts of Interest
The authors declare no conflicts of interest.
References
- MacMillan, D.W.C. The advent and development of organocatalysis. Nature 2008, 455, 304–308. [Google Scholar] [CrossRef]
- Albrecht, Ł.; Albrecht, A.; Dell’Amico, L. Asymmetric Organocatalysis: New Strategies, Catalysts, and Opportunities; WILEY-VCH GmbH: Weinheim, Germany, 2023. [Google Scholar]
- Benaglia, M. Organocatalysis—Stereoselective Reactions and Applications in Organic Synthesis; De Gruyter: Berlin, Germany, 2021. [Google Scholar]
- García Mancheño, O.; Waser, M. Recent Developments and Trends in Asymmetric Organocatalysis. Eur. J. Org. Chem. 2023, 26, e202200950. [Google Scholar] [CrossRef]
- Vogel, P.; Lam, Y.-H.; Simon, A.; Kouk, K.N. Organocatalysis: Fundamentals and Comparisons to Metal and Enzyme Catalysis. Catalysts 2016, 6, 128. [Google Scholar] [CrossRef]
- Brase, S.; Gil, C.; Knepper, K.; Zimmermann, V. Organic Azides: An Exploding Diversity of a Unique Class of Compounds. Angew. Chem. Int. Ed. 2005, 44, 5188–5240. [Google Scholar] [CrossRef]
- Jafarzadeh, M. Trimethylsilyl Azide (TMSN3): A Versatile Reagent in Organic Synthesis. Synlett 2007, 13, 2144–2145. [Google Scholar] [CrossRef][Green Version]
- Waser, J.; Carreira, E.M. Organic Azides: Syntheses and Applications; Brase, S., Banert, K., Eds.; Wiley-VCH: Weinheim, Germany, 2010; pp. 95–111. [Google Scholar]
- Chiba, S. Application of Organic Azides for the Synthesis of Nitrogen-Containing Molecules. Synlett 2012, 1, 21–44. [Google Scholar] [CrossRef]
- Sivaguru, P.; Ning, Y.; Bi, X. New Strategies for the Synthesis of Aliphatic Azides. Chem. Rev. 2021, 121, 4253–4307. [Google Scholar] [CrossRef] [PubMed]
- Ding, P.-G.; Hu, X.-S.; Zhou, F.; Zhou, J. Catalytic enantioselective synthesis of α-chiral azides. Org. Chem. Front. 2018, 5, 1542–1559. [Google Scholar] [CrossRef]
- Myers, J.K.; Jacobsen, E.N. Asymmetric Synthesis of α-Amino Acid Derivatives via Catalytic Conjugate Addition of Hydrazoic Acid to Unsaturated Imides. J. Am. Chem. Soc. 1999, 121, 8959–8960. [Google Scholar] [CrossRef]
- Taylor, M.S.; Zalatan, D.N.; Lerchner, A.M.; Jacobsen, E.N. Highly Enantioselective Conjugate Additions to α,β-Unsaturated Ketones Catalyzed by a (Salen)Al Complex. J. Am. Chem. Soc. 2005, 127, 1313–1317. [Google Scholar] [CrossRef]
- Guerin, D.J.; Horstmann, T.E.; Miller, S.J. Amine-catalyzed addition of azide ion to α,β-unsaturated carbonyl compounds. Org. Lett. 1999, 1, 1107–1109. [Google Scholar] [CrossRef] [PubMed]
- Horstmann, T.E.; Guerin, D.J.; Miller, S.J. Asymmetric Conjugate Addition of Azide to α,β-Unsaturated Carbonyl Compounds Catalyzed by Simple Peptides. Angew. Chem. Int. Ed. 2000, 39, 3635–3638. [Google Scholar]
- Guerin, D.J.; Miller, S.J. Asymmetric Azidation−Cycloaddition with Open-Chain Peptide-Based Catalysts. A Sequential Enantioselective Route to Triazoles. J. Am. Chem. Soc. 2002, 124, 2134–2136. [Google Scholar] [PubMed]
- Nielsen, M.; Zhuang, W.; Jørgensen, K.A. Asymmetric Conjugate Addition of Azide to α,β-Unsaturated Nitro Compounds Catalyzed by Cinchona Alkaloids. Tetrahedron 2007, 63, 5849–5854. [Google Scholar] [CrossRef]
- Bellavista, T.; Meninno, S.; Lattanzi, A.; Della Sala, G. Asymmetric Hydroazidation of Nitroalkenes Promoted by a Secondary Amine-Thiourea Catalyst. Adv. Synth. Catal. 2015, 357, 3365–3373. [Google Scholar] [CrossRef]
- Shyam, P.K.; Jang, H.-Y. Metal–Organocatalytic Tandem Azide Addition/Oxyamination of Aldehydes for the Enantioselective Synthesis of β-Amino α-Hydroxy Esters. Eur. J. Org. Chem. 2014, 1817–1822. [Google Scholar] [CrossRef]
- Stöckel-Maschek, A.; Stiebitz, B.; Koelschb, R.; Neubert, K. Novel 3-amino-2-hydroxy acids containing protease inhibitors. Part 1: Synthesis and kinetic characterization as aminopeptidase P inhibitors. Bioorg. Med. Chem. 2005, 13, 4806–4818. [Google Scholar] [CrossRef] [PubMed]
- Sato, S.; Tetsuhashi, M.; Sekine, K.; Miyachi, H.; Naito, M.; Hashimoto, Y.; Aoyama, H. Degradation-promoters of cellular inhibitor of apoptosis protein 1 based on bestatin and actinonin. Bioorg. Med. Chem. 2008, 16, 4685–4698. [Google Scholar] [CrossRef]
- Ekegren, J.K.; Unge, T.; Safa, M.Z.; Wallberg, H.; Samuelsson, B.; Hallberg, A. A new class of HIV-1 protease inhibitors containing a tertiary alcohol in the transition-state mimicking scaffold. J. Med. Chem. 2005, 48, 8098–8102. [Google Scholar] [CrossRef]
- Xue, Z.-K.; Fu, N.-K.; Luo, S.-Z. Asymmetric hydroazidation of α-substituted vinyl ketones catalyzed by chiral primary amine. Chin. Chem. Lett. 2017, 28, 1083–1086. [Google Scholar] [CrossRef]
- Humbrías-Martín, J.; Pérez-Aguilar, M.C.; Mas-Ballesté, R.; Dentoni Litta, A.; Lattanzi, A.; Della Sala, G.; Fernández-Salas, G.A.; Alemán, J. Enantioselective Conjugate Azidation of α,β-Unsaturated Ketones under Bifunctional Organocatalysis by Direct Activation of TMSN3. Adv. Synth. Catal. 2019, 361, 4790–4796. [Google Scholar] [CrossRef]
- Jacobsen, E.N.; Mazet, C. Dinuclear {(salen)Al} Complexes Display Expanded Scope in the Conjugate Cyanation of α,β-Unsaturated Imides. Angew. Chem. Int. Ed. 2008, 47, 1762–1765. [Google Scholar]
- Sammis, G.M.; Danjo, H.; Jacobsen, E.N. Cooperative dual catalysis: Application to the highly enantioselective conjugate cyanation of unsaturated imides. J. Am. Chem. Soc. 2004, 125, 9928–9929. [Google Scholar] [CrossRef]
- Sammis, G.M.; Jacobsen, E.N. Highly Enantioselective, Catalytic Conjugate Addition of Cyanide to α,β-Unsaturated Imides. J. Am. Chem. Soc. 2003, 125, 4442–4443. [Google Scholar] [CrossRef]
- Mita, T.; Sasaki, K.; Kanai, M.; Shibasaki, M.J. Catalytic Enantioselective Conjugate Addition of Cyanide to α,β-Unsaturated N-Acylpyrroles. Am. Chem. Soc. 2005, 127, 514–515. [Google Scholar] [CrossRef]
- Bernal, P.; Fernández, R.; Lassaletta, J.M. Organocatalytic Asymmetric Cyanosilylation of Nitroalkenes. Chem. Eur. J. 2010, 16, 7714–7718. [Google Scholar] [CrossRef]
- Bernardi, L.; Fini, F.; Fochi, M.; Ricci, A. Organocatalyzed Enantioselective Synthesis of Nitroalkanes Bearing All-Carbon Quaternary Stereogenic Centers through Conjugate Addition of Acetone Cyanohydrin. Synlett 2008, 12, 1857–1861. [Google Scholar] [CrossRef]
- Provencher, B.A.; Bartelson, K.J.; Liu, Y.; Foxman, B.M.; Deng, L. Structural Study-Guided Development of Versatile Phase-Transfer Catalysts for Asymmetric Conjugate Additions of Cyanide. Angew. Chem. Int. Ed. 2011, 50, 10565–10569. [Google Scholar] [CrossRef]
- Yang, Y.; Wu, S.; Chen, F.-X. Chiral Sodium Phosphate Catalyzed Enantioselective 1,4-Addition of TMSCN to Aromatic Enones. Synlett 2010, 18, 2725–2728. [Google Scholar] [CrossRef]
- Wang, Y.-F.; Zeng, W.; Sohail, M.; Guo, J.; Wu, S.; Chen, F.-X. Highly Efficient Asymmetric Conjugate Hydrocyanation of Aromatic Enones by an Anionic Chiral Phosphate Catalyst. Eur. J. Org. Chem. 2013, 2013, 4624–4633. [Google Scholar] [CrossRef]
Disclaimer/Publisher’s Note: The statements, opinions and data contained in all publications are solely those of the individual author(s) and contributor(s) and not of MDPI and/or the editor(s). MDPI and/or the editor(s) disclaim responsibility for any injury to people or property resulting from any ideas, methods, instructions or products referred to in the content. |
© 2024 by the authors. Licensee MDPI, Basel, Switzerland. This article is an open access article distributed under the terms and conditions of the Creative Commons Attribution (CC BY) license (https://creativecommons.org/licenses/by/4.0/).

















































