Diffusion Augmented Complex Inverse Square Root for Adaptive Frequency Estimation over Distributed Networks
Abstract
1. Introduction
- We develop a diffusion complex inverse square root algorithm and diffusion augmented complex inverse square root algorithm for balanced and unbalanced three-phase power systems, which also obtain robustness to impulse noise.
- We present the region of convergence for step sizes, employing an augmented vector and the global variables. Then, the computational complexity is exhibited.
- Simulation results are given to verify the robustness of the proposed algorithms for different systems. For the real data, the finding of this paper still achieves good performances.
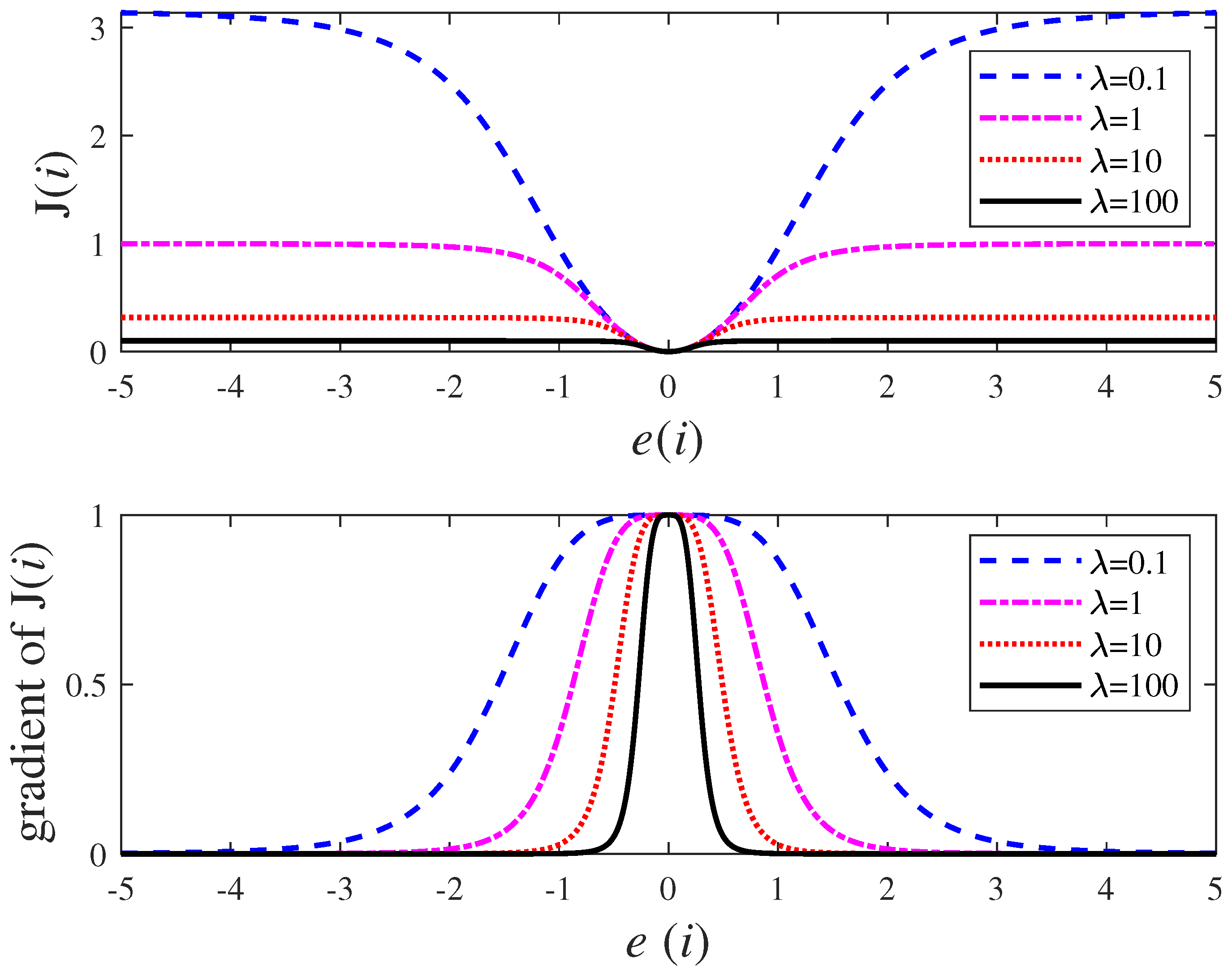
2. The Design of Adaptive Frequency Estimation
3. The Proposed Algorithms
3.1. Diffusion Complex ISR Algorithm
3.2. Diffusion Augmented Complex ISR Algorithm
4. Performance Analysis
4.1. Stability
4.2. Analysis of Computational Complexity
- (a)
- D-CISR algorithm:
- Calculate the updated weight of filter: Number of multiplications needed is 10. Number of additions needed is 5. Numbers of needed is 1.
- Calculate the frequency estimation: Number of multiplications needed is 1. Number of needed is 1.
- Total computational complexity: Number of multiplications needed is 11. Number of additions needed is 5. Number of and needed are 1, respectively.
- (b)
- D-ACISR algorithm:
- Calculate the updated weights of filters: Number of multiplications needed is 20. Number of additions needed is 10. Number of needed is 2.
- Calculate the frequency estimation: Number of multiplications needed is 5. Number of additions needed is 3. Number of and needed are 1, respectively.
- Total computational complexity: Number of multiplications needed is 25. Number of additions needed is 13. Number of and needed are 3 and 1.
5. Computer Simulation and Experimental Study
5.1. The Effect of Distributed Network
5.2. Frequency Estimation Case
5.3. Comprehensive Assessment with Different SNRs
5.4. Synthetic Benchmark Cases
5.5. Real Data Case Study
6. Conclusions
Author Contributions
Funding
Data Availability Statement
Acknowledgments
Conflicts of Interest
Abbreviations
| D-CISR | Distributed complex inverse square root |
| D-ACISR | Distributed augmented complex inverse square root |
| AC/DC | Alternating current/direct current |
| CLMS | Complex least mean square |
| ACLMS | Augmented CLMS |
| ACMEE | Augmented complex minimum error entropy |
| SL | Strictly linear |
| WL | Widely linear |
| BG | Bernoulli–Gaussian |
| SNR | Signal–noise ratio |
References
- Ellabban, O.; Abu-Rub, H.; Blaabjerg, F. Renewable energy resources: Current status, future prospects and their enabling technology. Renew. Sust. Sust. Energ. Rev. 2014, 39, 748–764. [Google Scholar] [CrossRef]
- Singer, S.; Denruyter, J.-P.; Yener, D. The Energy Report: 100 % Renewable Energy by 2050; Springer International Publishing: Berlin/Heidelberg, Germany, 2017; pp. 379–383. [Google Scholar]
- Ye, H.; Pei, W.; Qi, Z. Analytical modeling of inertial and droop responses from a wind farm for short-term frequency regulation in power systems. IEEE Trans. Power Syst. 2016, 31, 3414–3423. [Google Scholar] [CrossRef]
- Chan, M.L.; Dunlop, R.D.; Schweppe, F. Dynamic equivalents for average system frequency behavior following major distribances. IEEE Trans. Power App. Syst. 1972, 91, 1637–1642. [Google Scholar] [CrossRef]
- Huang, H.; Li, F. Sensitivity analysis of load-damping characteristic in power system frequency regulation. IEEE Trans. Power Syst. 2013, 28, 1637–1642. [Google Scholar] [CrossRef]
- Wu, Y.-K. Frequency stability for an island power system: Developing an intelligent preventive-corrective control mechanism for an offshore location. IEEE Ind. Appl. Mag. 2017, 23, 74–87. [Google Scholar] [CrossRef]
- Beeman, D.; Donald, B. Industrial Power Systems Handbook; McGraw-Hill: New York, NY, USA, 1955; Volume 195. [Google Scholar]
- Vainio, O.; Ovaska, S.J. Digital filtering for robust 50/60 Hz zero-crossing detectors. IEEE Trans. Instrum. Meas. 1996, 45, 426–430. [Google Scholar] [CrossRef]
- Kaura, V.; Blasko, V. Operation of a phase locked loop system under distorted utility conditions. IEEE Trans. Ind. Appl. 1997, 33, 58–63. [Google Scholar] [CrossRef]
- Routray, A.; Pradhan, A.K.; Rao, K.P. A novel Kalman filter for frequency estimation of distorted signals in power systems. IEEE Trans. Instrum. Meas. 2002, 51, 469–479. [Google Scholar] [CrossRef]
- Xia, Y.; Mandic, D.P.; Rao, K.P. A widely linear least mean phase algorithm for adaptive frequency estimation of unbalanced power systems. Int. J. Elec. Power 2014, 54, 367–375. [Google Scholar] [CrossRef]
- Xia, Y.; Blazic, Z.; Mandic, D.P. Complex-valued least squares frequency estimation for unbalanced power systems. IEEE Trans. Instrum. Meas. 2015, 64, 638–648. [Google Scholar] [CrossRef]
- Clarke, E. Circuit Analysis of A-C Power Systems: Graph, Darst; Wiley: Hoboken, NJ, USA, 1950. [Google Scholar]
- Mandic, D.P.; Goh, V.S.L. Complex Valued Nonlinear Adaptive Filters: Noncircularity, Widely Linear and Neural Models; John. Wiley & Sons: Hoboken, NJ, USA, 2009. [Google Scholar]
- Arablouei, R.; Werner, S.; Doğançay, K. Adaptive frequency estimation of three-phase power systems with noisy measurements. In Proceedings of the IEEE International Conference on Acoustics, Speech and Signal Processing, Vancouver, BC, Canada, 26–31 May 2013; pp. 2848–2852. [Google Scholar]
- Kanna, S.; Talebi, S.P.; Mandic, D.P. Diffusion widely linear adaptive estimation of system frequency in distributed power grids. In Proceedings of the IEEE International Energy Conference (ENERGYCON), Dubrovnik, Croatia, 13–16 May 2014; pp. 772–778. [Google Scholar]
- Wang, W.; Sun, Q. Robust adaptive estimation of graph signals based on welsch loss. Symmetry 2022, 14, 426. [Google Scholar] [CrossRef]
- Shi, L.; Zhao, H. Diffusion leaky zero attracting least mean square algorithm and its performance analysis. IEEE Access 2018, 6, 56911–56923. [Google Scholar] [CrossRef]
- Shi, L.; Zhao, H.; Zakharov, Y.; Chen, B.; Yang, Y. Variable step-Size widely linear complex-valued affine projection algorithm and performance analysis. IEEE Trans. Signal Process. 2020, 68, 5940–5953. [Google Scholar] [CrossRef]
- Shi, L.; Shen, L.; Chen, B. Complementary mean square deviation and stability analyses of the widely linear recursive least squares algorithm. Digit. Signal Process. 2022, 29, 103357. [Google Scholar] [CrossRef]
- Zhao, H.; Nefabas, G.L.; Wang, Z. Augmented complex minimum error entropy for adaptive frequency estimation of power system. IEEE Trans. Circuits II 2022, 69, 1972–1976. [Google Scholar] [CrossRef]
- Ma, W.; Chen, B.; Duan, J.; Zhao, H. Diffusion maximum correntropy criterion algorithms for robust distributed estimation. Digit. Signal Process. 2016, 58, 10–19. [Google Scholar] [CrossRef]
- Li, L.; Pu, Y.-F. Widely linear complex-valued least mean M-estimate algorithms: Design and performance analysis. Circ. Syst. Signal Process. 2022, 41, 5785–5860. [Google Scholar] [CrossRef]
- Wang, W.; Zhao, H. Diffusion signed LMS algorithms and their performance analyses for cyclostationary white Gaussian inputs. IEEE Access 2017, 5, 18876–18894. [Google Scholar] [CrossRef]
- Luo, Z.-Y.; Zhou, J.-L.; Pu, Y.-F. A widely linear complex-valued affine projection sign algorithm with its steady-state mean-square analysis. Circ. Syst. Signal Process. 2022, 41, 3446–3464. [Google Scholar] [CrossRef]
- Lu, L.; Chen, L.; Zheng, Z.; Yu, Y.; Yang, X. Behavior of the LMS algorithm with hyperbolic secant cost. J. Franklin I 2020, 357, 1943–1960. [Google Scholar] [CrossRef]
- Yu, T.; Li, W.; Yu, Y.; Yu, Y.; de Lamare, R.C. Robust spline adaptive filtering based on accelerated gradient learning: Design and performance analysis. Signal Process. 2021, 183, 107965. [Google Scholar] [CrossRef]
- Yu, T.; de Lamare, R.C.; Yu, Y. Robust resilient diffusion over multi-task networks against Byzantine attacks: Design, analysis and applications. IEEE Trans. Signal Process. 2022, 70, 2826–2841. [Google Scholar] [CrossRef]
- Xia, Y.; Mandic, D.P. Widely linear adaptive frequency estimation of unbalanced three-phase power systems. IEEE Trans. Instrum. Meas. 2012, 61, 74–83. [Google Scholar] [CrossRef]













| initialization | , |
|---|---|
| parameters | , |
| implementation procedure | For For each node k updated combination frequency estimation End for |
| initialization | , , |
|---|---|
| parameters | , |
| implementation procedure | For For each node k updated combination , frequency estimation End for |
| Filter | Multiplications | Additions | ||
|---|---|---|---|---|
| CLMS | 4 | 2 | 0 | 1 |
| ACLMS | 11 | 7 | 1 | 1 |
| CMEE | 0 | 1 | ||
| ACMEE | 1 | 1 | ||
| CISR | 11 | 5 | 1 | 1 |
| ACISR | 25 | 13 | 3 | 1 |
| Types | |||
|---|---|---|---|
| C | 1 | ||
| D | 1 |
Disclaimer/Publisher’s Note: The statements, opinions and data contained in all publications are solely those of the individual author(s) and contributor(s) and not of MDPI and/or the editor(s). MDPI and/or the editor(s) disclaim responsibility for any injury to people or property resulting from any ideas, methods, instructions or products referred to in the content. |
© 2024 by the authors. Licensee MDPI, Basel, Switzerland. This article is an open access article distributed under the terms and conditions of the Creative Commons Attribution (CC BY) license (https://creativecommons.org/licenses/by/4.0/).
Share and Cite
Song, P.; Ye, J.; Yan, K.; Luo, Z. Diffusion Augmented Complex Inverse Square Root for Adaptive Frequency Estimation over Distributed Networks. Symmetry 2024, 16, 1375. https://doi.org/10.3390/sym16101375
Song P, Ye J, Yan K, Luo Z. Diffusion Augmented Complex Inverse Square Root for Adaptive Frequency Estimation over Distributed Networks. Symmetry. 2024; 16(10):1375. https://doi.org/10.3390/sym16101375
Chicago/Turabian StyleSong, Pucha, Jinghua Ye, Kang Yan, and Zhengyan Luo. 2024. "Diffusion Augmented Complex Inverse Square Root for Adaptive Frequency Estimation over Distributed Networks" Symmetry 16, no. 10: 1375. https://doi.org/10.3390/sym16101375
APA StyleSong, P., Ye, J., Yan, K., & Luo, Z. (2024). Diffusion Augmented Complex Inverse Square Root for Adaptive Frequency Estimation over Distributed Networks. Symmetry, 16(10), 1375. https://doi.org/10.3390/sym16101375

