Study of Unsymmetrical Magnetic Pulling Force and Magnetic Moment in 1000 MW Hydrogenerator Based on Finite Element Analysis
Abstract
1. Introduction
1.1. Background
1.2. Research Status
1.3. Research Overview
2. Materials and Methods
2.1. Finite Element Calculation
- (1)
- Firstly, the solution region is discretized into a finite number of subregions.
- (2)
- The governing equations for the classical subregion are derived.
- (3)
- We solve for the sum of all the elements in the domain. By synthesizing the subregion equations obtained in the previous step, the total system equation is obtained.
- (4)
- The final solution is obtained by solving the system equation.
2.2. Transient Electromagnetic Calculation
2.3. UMP Calculation
3. Three-Dimensional Finite Element Model of Large Hydrogenerator Rotor
3.1. The Basic Structure and Parameters of Hydrogenerator
3.2. Model Verification
4. Finite Element Analysis of Magnetic Pull and Magnetic Moment of Rotor Radial Eccentricity
4.1. Construction of Rotor Radial Eccentricity Model
4.2. The Calculation and Analysis of UMP
- (1)
- The magnitude of the harmonic component of the UMP is markedly inferior to that of its DC counterpart, exhibiting a discrepancy that spans an entire order of magnitude. This observation highlights the dominance of the DC component in contributing to the overall electromagnetic force.
- (2)
- A discernible trend emerges, indicating a near-linear escalation in both the DC component and the primary harmonic component of the UMP as the eccentricity increases. This variation relationship underscores the direct correlation between eccentricity and the strengthening of both the fundamental and harmonic components of the UMP acting on the rotor.
- (3)
- The hydrogenerator set’s rotor, installed with precision, exhibits a measured eccentricity below 0.15 mm, resulting in a calculated unbalanced magnetic pull of approximately 55 t at this eccentricity level.
5. Finite Element Analysis of Magnetic Force and Torque of Rotor Axial Offset
5.1. Construction of Rotor Axial Offset Model
5.2. The Calculation and Analysis of UMP
- (1)
- The axial magnetic pull will be generated after axial deviation of the rotor. The UMP direction is opposite to the offset direction. And the time distribution of the magnetic pull is related to the harmonic component of the stator winding voltage.
- (2)
- With the increase in the offset, the magnetic induction intensity of the upper and lower surfaces of the rotor becomes more asymmetrical, which leads to the change in the axial magnetic tension. In general, the DC component and the key harmonic component of the UMP demonstrate a nearly linear increase with the offset distance.
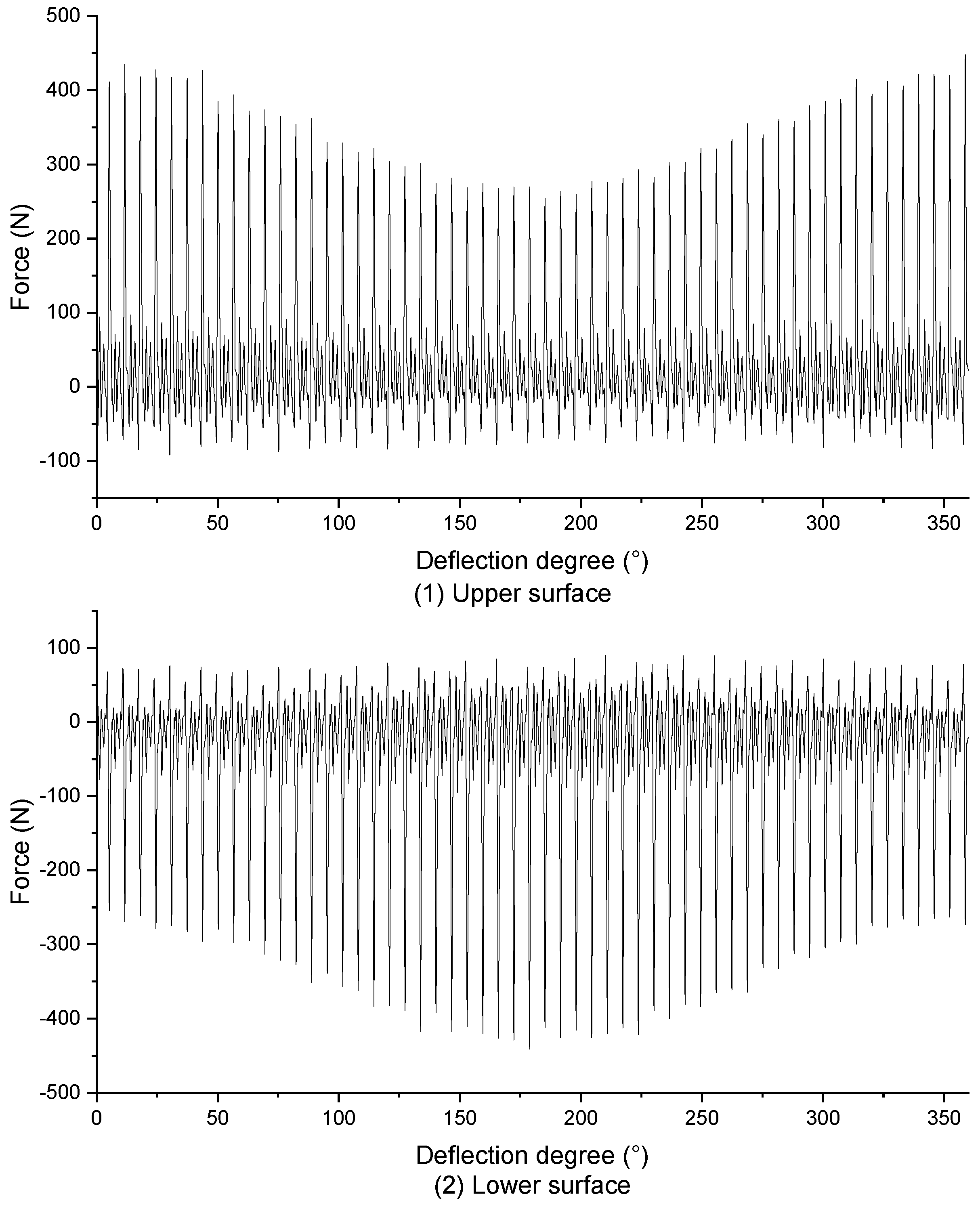
6. Finite Element Analysis of Axial Deflection Magnetic Force and Magnetic Moment of Rotor
6.1. Construction of Rotor Axial Deflection Model
6.2. The Calculation and Analysis of UMP
- (1)
- After the rotor axis is deflected, the radial and axial components of UMP on different surfaces of the rotor along the axis are different.
- (2)
- Not only does the uniformity of this magnetic pull distribution produce a radial torque against deflection but both the DC and key harmonic components of this torque increase linearly with the increase in eccentricity.
7. Conclusions
- In the case of axial offset, the generator generates an axial UMP. The wave frequency of this force is related to the harmonic frequencies of the stator winding. The UMP increases linearly with the increase in the offset distance.
- In the case of axial deflection, the distribution of axial and radial magnetic pulls in the generator is non-uniform at different axial positions. This results in a radial torque of rotation. The fluctuation frequency of this torque is related to the harmonic frequencies of the stator winding. The radial torque increases linearly with the increase in the deflection angle.
Author Contributions
Funding
Data Availability Statement
Acknowledgments
Conflicts of Interest
Abbreviations
| Abbreviations | |
| DC | direct current |
| EMF | electromagnetic field |
| FE | finite element |
| FEM | finite element method |
| MST | Maxwell stress tensor |
| UMP | unbalanced magnetic pull |
| 2-D | two-dimensional |
| 3-D | three-dimensional |
| Nomenclature | |
| Parameters | Description |
| vector magnetic potential (V·s·m−1) | |
| z-axis component of vector magnetic potential (V·s·m−1) | |
| intensity of magnetic induction (T) | |
| tangential component of flux density (T) | |
| radial component of flux density (T) | |
| F | unbalanced magnetic force (N) |
| the nth harmonic component of the magneto-motive force (N) | |
| x-axis unbalanced magnetic force (N) | |
| y-axis unbalanced magnetic force (N) | |
| frequency of UMP with rotor eccentricity (Hz) | |
| total magneto-motive force (N) | |
| frequency of rotor rotation (Hz) | |
| g | air gap length (m) |
| average value of air gap length (m) | |
| J | moment of inertia (kg·m2) |
| surface current density of the excitation source (A·m−2) | |
| z-axis component of the surface current density (A·m−2) | |
| L | rotor length (m) |
| numbers of the parallel circuit | |
| numbers of the tooth slots of the stator | |
| R | rotor radius (m) |
| electromagnetic torque (N·m) | |
| load torque (N·m) | |
| movement speed (m·s−1) | |
| x-axis component of movement speed (m·s−1) | |
| y-axis component of movement speed (m·s−1) | |
| rotor phase angle (rad) | |
| stator phase angle (rad) | |
| phase angle between stator and rotor magneto-motive force (N) | |
| air gap permeance components caused by stator deformation | |
| air gap permeance components caused by rotor deformation | |
| angular position in the air gap (rad) | |
| total air gap permeance (m−1) | |
| permeance of the air gap with rotor deformation (m−1) | |
| permeance of the air gap with static eccentricity (m−1) | |
| permeance of the air gap with stator deformation (m−1) | |
| permeance of the air gap without deformations (m−1) | |
| damping coefficient | |
| air magnetic permeability (H/m) | |
| electrical conductivity (S/m) | |
| radial force density (N·m−2) | |
| angular velocity (rad/s) | |
| mechanical angular frequency (rad·s−1) |
References
- Kılkış, Ş.; Krajačić, G.; Duić, N.; Rosen, M.A.; Al-Nimr, M.A. Sustainable development of energy, water and environment systems in the critical decade for climate action. Energy Convers. Manag. 2023, 296, 117644. [Google Scholar] [CrossRef]
- Rahman, A.; Farrok, O.; Haque, M.M. Environmental impact of renewable energy source based electrical power plants: Solar, wind, hydroelectric, biomass, geothermal, tidal, ocean, and osmotic. Renew. Sustain. Energy Rev. 2022, 161, 112279. [Google Scholar] [CrossRef]
- Isanbaev, V.; Baños, R.; Gil, C.; Gil, M.M.; Martínez, F.; Alcayde, A. Towards Energy Efficiency in Microgrids for Smart Sustainable Cities. Lect. Notes Netw. Syst. 2023, 732, 254–265. [Google Scholar]
- Dirani Merkhouf, A.; Giroux, A.-M.; Kedjar, B.; Al-Haddad, K. Impact of Real Air-Gap Nonuniformity on the Electromagnetic Forces of a Large Hydro-Generator. IEEE Trans. Ind. Electron. 2018, 65, 8464–8475. [Google Scholar] [CrossRef]
- Song, Z.; Liu, Y.; Guo, P.; Feng, J. Torsional Vibration Analysis of Hydro-Generator Set Considered Electromagnetic and Hydraulic Vibration Resources Coupling. Int. J. Precis. Eng. Manuf. 2018, 19, 939–945. [Google Scholar] [CrossRef]
- Zhou, J.; Peng, X.; Li, R.; Xu, Y.; Liu, H.; Chen, D. Experimental and Finite Element Analysis to Investigate the Vibration of Oblique-Stud Stator Frame in a Large Hydropower Generator Unit. Energies 2017, 10, 2175. [Google Scholar] [CrossRef]
- Verez, G.; Barakat, G.; Amara, Y. Influence of slots and rotor poles combinations on noise and vibrations of magnetic origins in ‘u’-core flux-switching permanent magnet machines. Prog. Electromagn. Res. B 2014, 61, 149–168. [Google Scholar] [CrossRef]
- Hu, Q.L.; Xiao, K.; Zhou, Z.T.; Fan, Z.N.; Yang, Y.; Bian, Z.Y.; Li, J.C.; Yao, B. 3D Transient Electromagnetic-Temperature Field Analysis of the Loss and Heat of the Damper Bars of a Large Tubular Hydro-Generator During Short Circuit Faults. IEEE Access 2020, 8, 135963–135974. [Google Scholar] [CrossRef]
- Wang, L.; Li, W. Assessment of the Stray Flux, Losses, and Temperature Rise in the End Region of a High-Power Turbogenerator Based on a Novel Frequency-Domain Model. IEEE Trans. Ind. Electron. 2018, 65, 4503–4513. [Google Scholar] [CrossRef]
- Jiang, H.C.; He, Y.L.; Tang, G.J.; Yuan, X.H. Electromagnetic Force and Mechanical Response of Turbo-Generator End Winding under Electromechanical Faults. Math. Probl. Eng. 2021, 2021, 1–19. [Google Scholar] [CrossRef]
- Wang, L.; Cheung, R.W.; Ma, Z.; Ruan, J.; Peng, Y. Finite-Element Analysis of Unbalanced Magnetic Pull in a Large Hydro-Generator Under Practical Operations. IEEE Trans. Magn. 2008, 44, 1558–1561. [Google Scholar] [CrossRef]
- Nasiri-Zar, I.R.; Toulabi, M.S.; Karami-Shahnani, A. Two-Segment Magnet Transverse Flux Ferrite PM Generator for Direct-Drive Wind Turbine Applications: Nonlinear 3-D MEC Modeling and Experimental Validation. IEEE Trans. Energy Convers. 2022, 37, 1834–1843. [Google Scholar]
- Nuzzo, S.; Galea, M.; Gerada, C.; Brown, N. Analysis, Modeling, and Design Considerations for the Excitation Systems of Synchronous Generators. IEEE Trans. Ind. Electron. 2018, 65, 2996–3007. [Google Scholar] [CrossRef]
- Xu, Y.; Zhao, D.; Wang, Y.; Ai, M. Electromagnetic Characteristics of Permanent Magnet Linear Generator (PMLG) Applied to Free-Piston Engine (FPE). IEEE Access 2019, 7, 48013–48023. [Google Scholar] [CrossRef]
- Zhu, S.; Liu, C.; Wang, K.; Zhou, Z.; Yu, J. Structure and Operating Performance of a Double Electrical Excitation Synchronous Generator With Embedded Brushless Synchronous Exciter Utilizing DC-Field Excitation. IEEE Trans. Energy Convers. 2022, 37, 50–64. [Google Scholar] [CrossRef]
- Li, Y.B.; Ho, S.L.; Fu, W.N.; Liu, W.Y. An interpolative finite element modeling and its starting process simulation of a large solid pole synchronous machine. IEEE Trans. Magn. 2009, 45, 4605–4608. [Google Scholar] [CrossRef]
- Mirimani, S.M.; Vahedi, A.; Marignetti, F.; Di Stefano, R. An online method for static eccentricity fault detection in axial flux machines. IEEE Trans. Ind. Electron. 2015, 62, 1931–1942. [Google Scholar] [CrossRef]
- Karlsson, M.; Aidanpää, J.O.; Perers, R.; Leijon, M. Rotor Dynamic Analysis of an Eccentric Hydropower Generator With Damper Winding for Reactive Load. J. Appl. Mech. 2007, 74, 1178–1186. [Google Scholar] [CrossRef]
- Li, R.; Li, C.; Peng, X.; Wei, W. Electromagnetic Vibration Simulation of a 250-MW Large Hydropower Generator with Rotor Eccentricity and Rotor Deformation. Energies 2017, 10, 2155. [Google Scholar] [CrossRef]
- Calleecharan, Y.; Aidanpaa, J.O. On the Dynamics of an Hydropower Generator Subjected to Unbalanced Magnetic Pull. In Proceedings of the IET 8th International Conference on Computation in Electromagnetics (CEM 2011), Wroclaw, Poland, 11–14 April 2011; pp. 50–51. [Google Scholar]
- Calleecharan, Y.; Jauregui, R.; Aidanpää, J.O. Estimating forces in mixed eccentricities motion from purely dynamic eccentric rotor centre motion in a hydropower generator and their validation against EM simulations. Balk. J. Electr. Comput. Eng. 2015, 3. [Google Scholar] [CrossRef]
- Ma, M.; Li, Y.; Wu, Y.; Dong, C. Multifield Calculation and Analysis of Excitation Winding Interturn Short Circuit Fault in Turbo-Generator. Energies 2018, 11, 2626. [Google Scholar] [CrossRef]

























| Parameters (Units) | Values |
|---|---|
| Rated power (MW) | 1000 |
| Rated power factor | 0.9 |
| Number of poles | 56 |
| Number of slots | 696 |
| Winding connection | Wye |
| Parallel branches | 8 |
| Coil pitch | 1-12-26 |
| Frequency (Hz) | 50 |
| Inner diameter of the stator (mm) | 16,580 |
| Outer diameter of the stator (mm) | 17,190 |
| Air gap thickness (mm) | 49 |
| The armature winding end part extension (mm) | 120 |
Disclaimer/Publisher’s Note: The statements, opinions and data contained in all publications are solely those of the individual author(s) and contributor(s) and not of MDPI and/or the editor(s). MDPI and/or the editor(s) disclaim responsibility for any injury to people or property resulting from any ideas, methods, instructions or products referred to in the content. |
© 2024 by the authors. Licensee MDPI, Basel, Switzerland. This article is an open access article distributed under the terms and conditions of the Creative Commons Attribution (CC BY) license (https://creativecommons.org/licenses/by/4.0/).
Share and Cite
Zhang, J.; Huang, X.; Wang, Z. Study of Unsymmetrical Magnetic Pulling Force and Magnetic Moment in 1000 MW Hydrogenerator Based on Finite Element Analysis. Symmetry 2024, 16, 1351. https://doi.org/10.3390/sym16101351
Zhang J, Huang X, Wang Z. Study of Unsymmetrical Magnetic Pulling Force and Magnetic Moment in 1000 MW Hydrogenerator Based on Finite Element Analysis. Symmetry. 2024; 16(10):1351. https://doi.org/10.3390/sym16101351
Chicago/Turabian StyleZhang, Jiwen, Xingxing Huang, and Zhengwei Wang. 2024. "Study of Unsymmetrical Magnetic Pulling Force and Magnetic Moment in 1000 MW Hydrogenerator Based on Finite Element Analysis" Symmetry 16, no. 10: 1351. https://doi.org/10.3390/sym16101351
APA StyleZhang, J., Huang, X., & Wang, Z. (2024). Study of Unsymmetrical Magnetic Pulling Force and Magnetic Moment in 1000 MW Hydrogenerator Based on Finite Element Analysis. Symmetry, 16(10), 1351. https://doi.org/10.3390/sym16101351

