Next Article in Journal
Real Ghosts of Complex Hadamard Products
Next Article in Special Issue
Lepton Asymmetries in Cosmology
Previous Article in Journal
A Uniqueness Theorem for Stability Problems of Functional Equations
 
 
Font Type:
Arial Georgia Verdana
Font Size:
Aa Aa Aa
Line Spacing:
Column Width:
Background:
Article

Observational Constraints and Cosmographic Analysis of f(T,TG) Gravity and Cosmology

by
Harshna Balhara
1,
Jainendra Kumar Singh
1,
Shaily
1,2 and
Emmanuel N. Saridakis
3,4,5,*
1
Department of Mathematics, Netaji Subhas University of Technology, New Delhi 110078, India
2
School of Computer Science Engineering and Technology, Bennett University, Greater Noida 201310, India
3
National Observatory of Athens, Lofos Nymfon, 11852 Athens, Greece
4
CAS Key Laboratory for Research in Galaxies and Cosmology, University of Science and Technology of China, Hefei 230026, China
5
Departamento de Matemáticas, Universidad Católica del Norte, Avda. Angamos 0610, Casilla 1280, Antofagasta 1270709, Chile
*
Author to whom correspondence should be addressed.
Symmetry 2024, 16(10), 1299; https://doi.org/10.3390/sym16101299
Submission received: 3 August 2024 / Revised: 23 September 2024 / Accepted: 26 September 2024 / Published: 2 October 2024
(This article belongs to the Special Issue Symmetry in Cosmological Theories and Observations)

Abstract

We perform observational confrontation and cosmographic analysis of f ( T , T G ) gravity and cosmology. This higher-order torsional gravity is based on both the torsion scalar, as well as on the teleparallel equivalent of the Gauss–Bonnet combination, and gives rise to an effective dark-energy sector which depends on the extra torsion contributions. We employ observational data from the Hubble function and supernova Type Ia Pantheon datasets, applying a Markov chain Monte Carlo sampling technique, and we provide the iso-likelihood contours, as well as the best-fit values for the parameters of the power-law model, an ansatz which is expected to be a good approximation of most realistic deviations from general relativity. Additionally, we reconstruct the effective dark-energy equation-of-state parameter, which exhibits a quintessence-like behavior, while in the future the Universe enters into the phantom regime, before it tends asymptotically to the cosmological constant value. Furthermore, we perform a detailed cosmographic analysis, examining the deceleration, jerk, snap, and lerk parameters, showing that the transition to acceleration occurs in the redshift range 0.52 z t r 0.89 , as well as the preference of the scenario for quintessence-like behavior. Finally, we apply the Om diagnostic analysis to cross-verify the behavior of the obtained model.
PACS:
04.50.Kd; 98.80.-k; 95.36.+x; 98.80.Es

1. Introduction

In order to describe the two phases of acceleration in the Universe’s history, one can follow two main directions: early and late times. The first is to maintain general relativity as the underlying gravitational theory and introduce the dark-energy sector [1,2] and/or the inflaton field [3]. The second is to construct gravitational modifications [4,5], which possess general relativity as a particular limit but in general provide the extra degrees of freedom that can lead to richer behavior. Note that the second direction can also alleviate the various cosmological tensions [6] as well as bring the gravitational theory closer to a quantum description [7].
One of the first classes of modified gravity theories is obtained starting from the Einstein–Hilbert Lagrangian and adding new terms, yielding f ( R ) gravity [8,9], f ( G ) gravity [10,11], f ( P ) gravity [12], Lovelock gravity [13], etc. Nevertheless, one could proceed beyond the standard, curvature-based formulation of gravity and use other geometrical quantities, such as torsion and non-metricity. In particular, one may start from the so-called teleparallel equivalent of general relativity [14,15], which uses the torsion scalar T as a Lagrangian, and extend it to f ( T ) gravity [16,17], f ( R , T ) gravity [18,19,20,21], f ( R , L m ) gravity [22], f ( R , G ) gravity [23,24,25], etc.
Alternatively, one can use the symmetric teleparallel theory, which uses the non-metricity scalar as the Lagrangian [26], and extend it to f ( Q ) gravity [27,28,29]. All these classes of gravitational modification has been shown to lead to very rich cosmological behavior, and thus, have attracted the interest of the community [30,31,32,33,34,35,36,37,38,39,40,41,42,43,44,45,46,47,48,49,50,51,52,53,54,55,56,57,58,59,60,61,62,63,64,65,66,67,68,69,70,71,72]. Finally, it is interesting to mention that one can also add boundary terms in the above formulations, resulting in f ( T , B ) gravity [73], and in f ( Q , C ) gravity [74].
Since in curvature gravity one can use higher-order invariants in the Lagrangian, an interesting question is whether one can use such invariants in torsional gravity too. Indeed, as was shown in [75], within the teleparallel formulation of gravity it is also possible to incorporate higher-order corrections. In particular, one can construct the teleparallel equivalent of the Gauss–Bonnet term, namely, T G , and then, use it to formulate the general class of f ( T , T G ) gravity [75,76], which is also known to have very interesting cosmological applications [77,78,79,80,81,82,83,84,85,86,87,88,89].
In all classes of modified gravity that include an unknown function f, the main task is to exactly determine the form of this function, as well as to constrain the range of the involved parameters. In order to achieve this, one may use theoretical considerations, such as impose the validity of various symmetries [90,91]; however, the most powerful tool is to leave the involved function free and use observational data in order to extract observational constraints. Hence, in this work we are interested in performing such observational analysis in the case of f ( T , T G ) gravity and cosmology. In particular, we use data from Hubble constant measurements from cosmic chronometers (CCs), from supernova Type Ia (SNIa Pantheon dataset) observations, as well as from baryon acoustic oscillation (BAO) observations. Additionally, we study the evolution of various cosmographic parameters, and we perform the Om diagnostic.
The plan of the work is the following. In Section 2, we review f ( T , T G ) gravity and we apply it in a cosmological framework. In Section 3, we present the observational datasets and we perform the observational confrontation, providing the corresponding contour plots. In Section 4, we perform a cosmographic analysis and we apply the O m ( z ) diagnostic. Finally, we summarize our findings and conclusions in Section 5.

2. f(T, TG) Gravity and Cosmology

In this section, we briefly review f ( T , T G ) gravity, and then, we apply it in a cosmological framework.

2.1. f ( T , T G ) Gravity

In the torsional formulation of gravity one uses the vierbein field e a ( x μ ) as the dynamical variable, expressed in terms of coordinate components as e a = e a μ μ (Greek indices run over the coordinate spacetime and Latin indices run over the tangent space). Additionally, one uses the Weitzenböck connection 1-form, that defines the parallel transportation, which in all coordinate frames is written as ω μ ν λ = e a λ e μ , ν a . Moreover, we mention that its tangent-space components are ω b c a = 0 , assuring the property of zero non-metricity. For an orthonormal vierbein the metric is expressed as
g μ ν = η a b e μ a e ν b ,
with η a b = diag ( 1 , 1 , 1 , 1 ) ( a , b , . . . indices are raised/lowered using η a b ).
The torsion tensor is defined as [14,15]
T μ ν λ = e a λ ν e μ a μ e ν a ,
while the contorsion tensor, which equals the difference between the Weitzenböck and Levi–Civita connections, is K ρ μ ν = 1 2 T ρ μ ν T ρ ν μ T ρ μ ν . Hence, one can define the torsion scalar as
T = 1 4 T μ ν λ T μ ν λ + 1 2 T μ ν λ T λ ν μ T ν ν μ T λ μ λ ,
which is then used to construct the action of the theory as
S = 1 2 κ 2 d 4 x e T ,
with e = det ( e μ a ) = | g | and κ 2 8 π G the gravitational constant. The above theory is called the teleparallel equivalent of general relativity, since variation in terms of the vierbein gives rise to exactly the same equations as general relativity. Finally, upgrading T to an arbitrary function f ( T ) , namely, writing the action [17]
S = 1 2 κ 2 d 4 x e f ( T ) ,
gives rise to the simplest torsional modified gravity, i.e., f ( T ) gravity.
Similarly to the fact that one can use the Riemann tensor in order to build higher-order curvature invariants such as the Gauss–Bonnet term G = R 2 4 R μ ν R μ ν + R μ ν κ λ R μ ν κ λ , one can use the torsion tensor in order to build higher-order torsion invariants. Specifically, one can construct [75]
T G = K φ π κ K ρ φ λ K χ σ μ K τ χ ν 2 K π κ λ K φ ρ μ K χ σ φ K τ χ ν + 2 K π κ λ K φ ρ μ K χ φ ν K σ τ χ + 2 K π κ λ K φ ρ μ K σ , τ φ ν δ κ λ μ ν π ρ σ τ ,
where the generalized δ κ λ μ ν π ρ σ τ is the determinant of the Kronecker deltas. The above term is the teleparallel equivalent of the Gauss–Bonnet combination, since T G and G differ only by a boundary term. Thus, although using T G as a Lagrangian will give the same field equations as using G in curvature gravity (zero in four dimensions since both terms are topological invariants), f ( T G ) will lead to different equations than f ( G ) . In summary, one can construct the general theory of f ( T , T G ) gravity, writing the action [75]
S = 1 2 κ 2 d 4 x e f ( T , T G ) .
Such a theory is different from f ( R , G ) gravity [10,92,93], as expected. Finally, let us comment here that the various modified theories of gravity can be re-expressed as usual metric theories plus additional degrees of freedom. The corresponding Hamiltonian analysis of the number of degrees of freedom of classes of torsional gravities, as well as their corresponding physics, have been extensively studied in the literature (for instance, see the reviews [17,94,95]). Nevertheless, the important point is that the interpretation, and thus, the justification in each theory is different.

2.2. f ( T , T G ) Cosmology

Let us now apply f ( T , T G ) gravity in a cosmological framework. We consider a spatially flat Friedmann–Robertson–Walker (FRW) metric of the form
d s 2 = d t 2 + a 2 ( t ) δ i ^ j ^ d x i ^ d x j ^ ,
with a ( t ) the scale factor, which can arise from the diagonal vierbein
e μ a = diag ( 1 , a ( t ) , a ( t ) , a ( t ) )
through (1). Therefore, inserting (9) into (3) and (6) we acquire
T = 6 H 2
T G = 24 H 2 H ˙ + H 2 ,
where H = a ˙ a is the Hubble function and with dots denoting differentiation with respect to t. Lastly, we add the standard matter S m , corresponding to a perfect fluid of energy density ρ m and pressure p m .
Variation in the total action S + S m leads to the following Friedmann equations [75]:
f 12 H 2 f T T G f T G + 24 H 3 f T G ˙ = 2 κ 2 ρ m
f 4 3 H 2 + H ˙ f T 4 H f T ˙ T G f T G + 2 3 H T G f T G ˙ + 8 H 2 f T G ¨ = 2 κ 2 p m ,
where f T ˙ = f T T T ˙ + f T T G T ˙ G , f T G ˙ = f T T G T ˙ + f T G T G T ˙ G , and f T G ¨ = f T T T G T ˙ 2 + 2 f T T G T G T ˙ T ˙ G + f T G T G T G T ˙ G 2 + f T T G T ¨ + f T G T G T ¨ G , with f T T , f T T G , … denoting partial differentiations of f with respect to T, T G . Moreover, note that the various time derivatives of T ˙ , T ¨ , T ˙ G , and T ¨ G are obtained using (10) and (11). Furthermore, one can rewrite the Friedmann Equations (12) and (13) as
H 2 = κ 2 3 ρ m + ρ D E
H ˙ = κ 2 2 ρ m + p m + ρ D E + p D E ,
having introduced an effective dark energy sector with energy density and pressure of the forms
ρ D E 1 2 κ 2 6 H 2 f + 12 H 2 f T + T G f T G 24 H 3 f T G ˙
p D E 1 2 κ 2 [ 2 ( 2 H ˙ + 3 H 2 ) + f 4 H ˙ + 3 H 2 f T 4 H f T ˙ T G f T G + 2 3 H T G f T G ˙ + 8 H 2 f T G ¨ ] ,
and thus, the dark-energy equation-of-state parameter is defined as
w D E p D E ρ D E .
Finally, note that the equations close by considering the matter conservation equation,
ρ ˙ m + 3 H ( ρ m + p m ) = 0 ,
which, inserting into the first Friedmann Equation (14) and substituting into the second one (15), leads to the dark energy conservation, namely,
ρ ˙ D E + 3 H ( ρ D E + p D E ) = 0 .
Lastly, as usual, we introduce the density parameters
Ω m κ 2 ρ m 3 H 2
Ω D E κ 2 ρ D E 3 H 2 .
The above equations determine the Universe’s evolution in the framework of f ( T , T G ) cosmology. In this work, we are interested in confronting them with observational data and extracting constraints for the involved parameters. This is performed in the following sections.

3. Observational Constraints

We are interested in extracting observational constraints in the scenario of f ( T , T G ) gravity and cosmology. Firstly, we present the datasets that we employ in our investigation, as well as the corresponding methodology, and then, we perform the analysis for a specific f ( T , T G ) model.

3.1. Datasets and Analysis

We explore the parameter space using a Markov chain Monte Carlo (MCMC) sampling technique and predominantly rely on the emcee library in Python [96] (one could equally well use standard Monte Carlo or other Monte Carlo variants). In the following, we employ the newly published Pantheon dataset, comprising 1048 observations of supernova Type Ia (SNeIa) events gathered from various surveys, including Low-z, SDSS, SNLS, Pan-STARRS1 (PS1) Medium Deep Survey, and HST [97]. The dataset covers a redshift range of z ( 0.01 , 2.26 ) . To focus on the evidence about the expansion history of the Universe, particularly the connection between distance and redshift, two distinct observational datasets are utilized to constrain the model being examined. Notably, recent research exploring the significance of H ( z ) and SNeIa (Type Ia supernovae) data in cosmological constraints has revealed their ability to limit cosmic parameters.

3.1.1. P a n t h e o n SNeIa Dataset

The Pantheon probe includes a sample of 1048 Type Ia supernovae (SNeIa), and the χ P a n 2 function is defined as [97]
χ P a n 2 = i = 1 1048 μ t h ( μ 0 , z i ) μ o b s ( z i ) σ i 2 .
Furthermore, the symbol σ i denotes the standard error associated with the actual value of H. The theoretical distance modulus μ t h is defined as μ t h i = μ ( D l ) = m M = 5 l o g 10 D l ( z ) + μ 0 , where the apparent magnitude is represented by m, the absolute magnitude by M, and the nuisance parameter μ 0 is defined as μ 0 = 5 l o g H 0 1 M p c + 25 . Additionally, the luminosity distance D l ( z ) is defined as D l ( z ) = ( 1 + z ) H 0 1 H ( z ) d z . Finally, to approximate the limited series, the H ( z ) series is truncated at the tenth term and integrated to obtain the luminosity distance.

3.1.2. H u b b l e Dataset

In order to determine the expansion rate of the Universe at a specific redshift z, we employ the commonly used differential age (DA) method, the baryon acoustic oscillation (BAO) method, and other methods in the redshift range 0.07 z 2.42 [98,99]. This approach allows us to estimate H ( z ) by utilizing the equation ( 1 + z ) H ( z ) = d z d t . The average values of the model parameters, as well as of the present value of the matter density parameter Ω m 0 , are obtained by minimizing the chi-square value. The chi-square function based on Hubble data is expressed as
χ H 2 = i 55 [ H t h ( z i ) H o b s ( z i ) ] 2 σ i 2 ,
where the standard error associated with the experimental values of the Hubble function is represented by σ i . The terms H t h ( z i ) and H o b s ( z i ) correspond to the theoretical and observed values of the Hubble parameter, respectively.

3.1.3. H u b b l e + P a n t h e o n Dataset

We employ the total likelihood function to obtain combined constraints for the model parameters by utilizing data from both the Hubble and Pantheon samples. As a result, the relevant chi-square function for this analysis is given by
χ j o i n t 2 = χ H 2 + χ P a n 2 .

3.2. Results

We now have all the material needed to perform the observational confrontation of f ( T , T G ) gravity and cosmology. To move forward, we would need to have a specific ansatz. As is usual in many modified gravity models, the aim is to find a phenomenological form that could replace the cosmological constant. Hence, in our work, we do not desire to consider an explicit cosmological constant, but choose an f ( T , T G ) form that could lead to viable cosmological behavior. In particular, in torsional theories the Lagrangian T + c o n s t . corresponds to the teleparallel equivalent of the general relativity, namely, it leads to the same equations as general relativity plus a cosmological constant, in the following we consider the T term but instead of a constant we desire to examine whether the addition of a general term of the form α T G β T η , where α , β , and η are constants, can lead to viable cosmological phenomenology (such terms have been studied in detail in the literature [77,78,79,80,81,82,83,84,85,86,87,88,89]). Note that the coupling parameter α determines the scale in which torsional corrections become important [17,94,95].
Hence, in the following we consider
f ( T , T G ) = T + α T G β T η .
In this case, the Friedmann Equations (14) and (15), respectively, become
2 κ 2 ρ m = α T η T G β T 12 H 2 ( α η T η 1 T G β 1 ) α β T η T G β + 24 H 3 η α β T η 1 T G β 1 T ˙ + α β ( β 1 ) T η T G β 2 T G ˙ ,
2 κ 2 p m = ( 12 H 2 + 4 H ˙ ) ( η α T η 1 T G β 1 ) + T α T η T G β             + 8 α H ( T G β T ˙ + β T T G ˙ T G β 1 ) + α β T η T G β             2 3 H T G η α β T η 1 T G β 1 T ˙ + α β ( β 1 ) T η 1 T G β 2 T G ˙             8 H 2 [ 2 α β T G β 1 T ˙ 2 + 2 η α β ( β 1 ) T η 1 T G β 2 T ˙ T G ˙                         + α β ( β 1 ) ( β 2 ) T η T G β 2 T ˙ 2                         + η α β T η 1 T . . T G β 1 + α β ( β 1 ) T η ] T G β 2 T . . G .
For convenience relating to observational confrontation, we use the redshift z = 1 + a 0 a as the independent variable, setting additionally the current scale factor to a 0 = 1 . Thus, to calculate the expansion rate ( 1 + z ) H ( z ) = d z d t , we express T and T G as functions of the redshift parameter z as
T = 6 H 0 2 E ( z ) , T G = 24 H 0 2 E ( z ) H 0 2 ( 1 + z ) E ( z ) 2 + H 0 2 E ( z ) ,
where E 2 ( z ) = H 2 ( z ) / H 0 2 is the normalized squared Hubble function, with H 0 the Hubble parameter at present, and primes indicate the derivative with respect to the redshift.
We perform the observational analysis described in the previous sections, and in Table 1 we provide the obtained results. Additionally, in Figure 1 we depict the 1 σ and 2 σ confidence regions in various two-dimensional projections, obtained through contour analyses of χ 2 in the parameter space [100,101]. We mention here that the obtained parameter er values of β and η can indeed lead to viable cosmological behavior in agreement with the data, although an explicit cosmological constant is absent. Thus, we have indeed found a non-trivial f ( T , T G ) model that can lead to viable phenomenology.
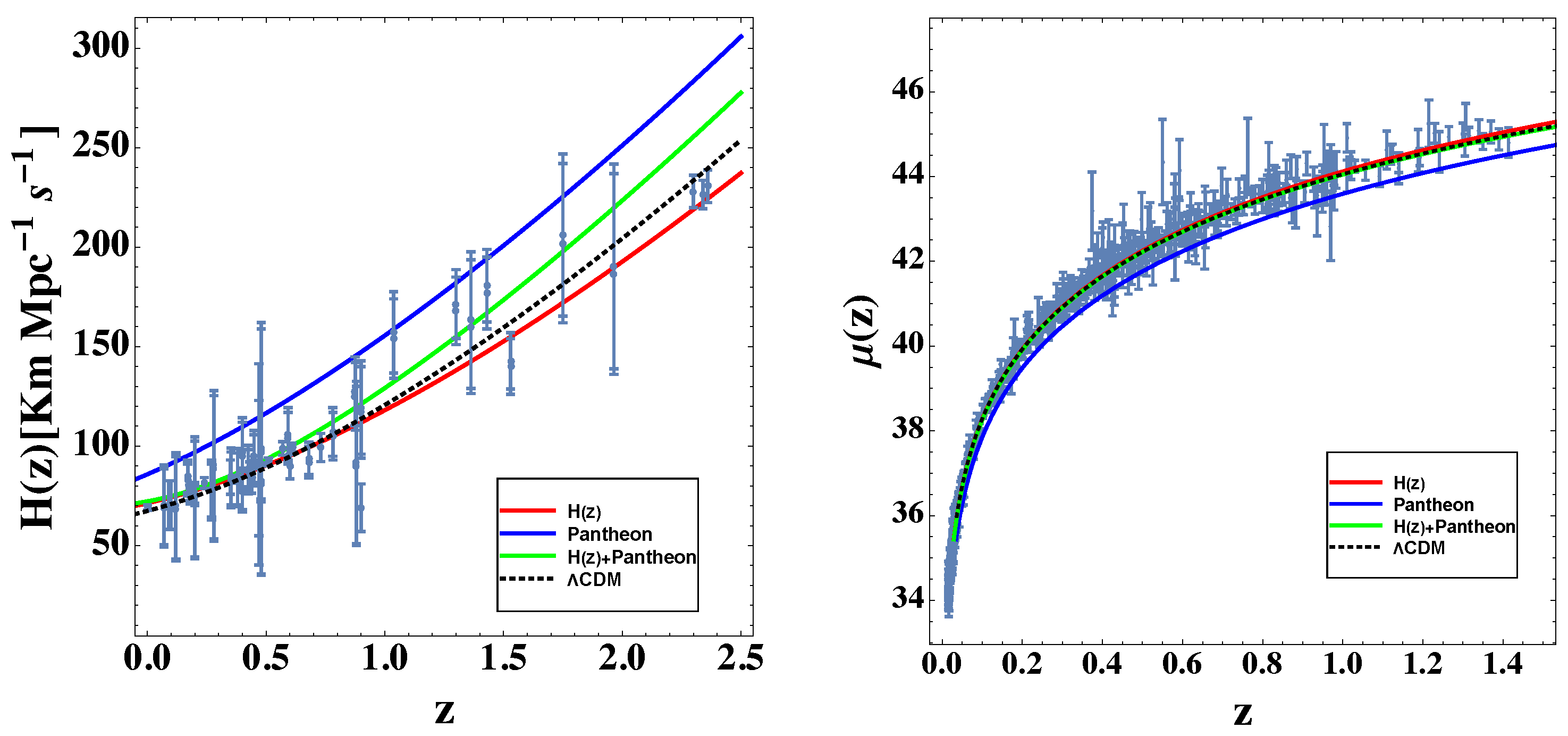
Furthermore, in the upper graph of Figure 2 we draw the Hubble parameter H ( z ) in terms of the redshift z, using various datasets, while for completeness we add the corresponding curve for the Λ CDM paradigm. The error bars depicted in the figure represent the uncertainties associated with the 55 data points utilized to construct the Hubble datasets. Similarly, the lower graph of Figure 2 depicts the distance modulus μ ( z ) as a function of the redshift z, for the scenario at hand as well as Λ CDM cosmology, where the error bars represent the uncertainties associated with the Union 2.1 compilation.
Finally, in Figure 3 we present the reconstructed dark-energy equation of state given by (18). As we observe, w D E lies in the quintessence regime up to the present time, while in the future it experiences the phantom divide crossing. This capability was expected according to the form of (18), and it was discussed in [77].

4. Cosmographic Analysis

In this section, we perform a cosmographic analysis for f ( T , T G ) cosmology. In particular, the dynamics of the late-time Universe is examined through the utilization of the Hubble parameter, deceleration parameter, and jerk, snap, and lerk parameters [30]. Additionally, important information can be extracted by applying the O m ( z ) diagnostic [102]. In the following subsections, we investigate them in detail.

4.1. Cosmographic Parameters

The deceleration parameter is defined as
q = 1 + ( 1 + z ) H H ,
where primes denote derivatives with respect to the redshift z, and it provides information about the acceleration rate of the Universe, being positive during deceleration and negative during acceleration. Moreover, the jerk parameter is defined as [103,104,105]
j ( z ) = 1 2 ( 1 + z ) H H + ( 1 + z ) 2 H 2 H 2 + ( 1 + z ) 2 H H .
The sign of the jerk parameter j determines how the dynamics of the Universe change, with a positive value indicating the presence of a transition period during which the Universe modifies its expansion. Additionally, the snap parameter is defined as [105]
s ( z ) = 1 3 ( 1 + z ) H H + 3 ( 1 + z ) 2 H 2 H 2 + ( 1 + z ) 3 H 3 H 3 4 ( 1 + z ) 3 H H H 2 + ( 1 + z ) 2 H H ( 1 + z ) 3 H H ,
and the lerk parameter as
l ( z ) = 1 4 ( 1 + z ) H H + 6 ( 1 + z ) 2 H 2 H 2 4 ( 1 + z ) 3 H 3 H 3 + ( 1 + z ) 4 H 4 H 4 ( 1 + z ) 3 H H H 2 + 7 ( 1 + z ) 4 H H H 2 + 11 ( 1 + z ) 4 H 2 H H 3 + 2 ( 1 + z ) 2 H H + 4 ( 1 + z ) 4 H 2 H 2 + ( 1 + z ) 3 H H + ( 1 + z ) 4 H H ,
both providing information on the higher-order derivatives of the Universe’s acceleration, offering insights into the transitions between different epochs. Notably, the snap parameter determines the extent to which the Universe’s evolution deviates from one predicted by the Λ CDM model.
In the upper panel of Figure 4, we depict the evolution of the deceleration parameter q as a function of the redshift z for the model parameter values obtained from the observational analysis of the previous section. As we observe, we obtain a transition from deceleration to acceleration at late times in the interval 0.52 z t r 0.89 , as expected. Concerning the present-time value q 0 , it is found to be approximately 0.60 and 0.68 using the Hubble and Pantheon datasets, respectively, values that are consistent with the range of q 0 determined through recent observations [106,107,108,109,110].
The lower graph of Figure 4 depicts the evolution of the jerk parameter. As we see, the current value of j is approximated to j 0 = 0.93 and 0.69 using the Hubble and Pantheon datasets, respectively, aligning with recent analyses that establish constraints on the cosmographic coefficients [111,112,113], while in the far future j approaches 1.
Additionally, in the upper graph of Figure 5 we present the evolution of the snap parameter s ( z ) , in which we observe a transition from a negative value to a positive value in the late stages. This behavior aligns with the preference of the scenario for quintessence-like behavior, indicated by j 1 and s > 0 . Finally, in the lower graph of Figure 5 we depict the lerk parameter as a function of the redshift. Notably, the lerk parameter rapidly decreases and stabilizes around ≃1. It is worth noting that all the geometric parameters lie within the limits of cosmographic coefficients determined by late-time Universe analysis [30].

4.2. O m ( z ) Diagnostic

The O m ( z ) geometrical diagnostic introduces an alternative way to differentiate the Λ CDM model from other dark energy models, bypassing the direct utilization of the equation of state [102]. In particular, it relies on the Hubble function and redshift, and it is written as
O m ( z ) = H ( z ) H 0 ( z ) 2 1 z ( z 2 + 3 z + 3 ) .
When the slope of the O m ( z ) trajectory is negative, it indicates that the dark energy behaves akin to quintessence. Conversely, a positive slope suggests that the dark energy exhibits phantom-like behavior. A zero slope, indicating a constant behavior of O m ( z ) , signifies that the dark energy corresponds to a cosmological constant ( Λ CDM) [102]. In Figure 6, we depict the evolution of O m ( z ) as a function of the redshift. As we observe, the scenario of f ( T , T G ) cosmology exhibits a quintessence-like behavior, in agreement with the previous results. Nevertheless, note that in the case of the Hubble function dataset, the behavior of the model is closer to that of the Λ CDM scenario.

5. Conclusions

We performed the observational confrontation and cosmographic analysis of f ( T , T G ) gravity and cosmology. This higher-order torsional gravity is based on both the torsion scalar, as well as on the teleparallel equivalent of the Gauss–Bonnet combination, in its Lagrangian. Such a gravitational modification is different from both f ( R ) - and F ( G ) -curvature gravities, as well as from f ( T ) torsional gravity, and it is known to have interesting cosmological applications. In particular, one obtains an effective dark-energy sector which depends on the extra torsion contributions.
Firstly, we employed the most recent observational data obtained from the Hubble function and SNeIa Pantheon datasets, in order to extract constraints on the free parameter space of power-law f ( T , T G ) gravity. In particular, we applied a Markov chain Monte Carlo sampling technique, and we provided the 1 σ and 2 σ iso-likelihood contours, as well as the best-fit values for the parameters. As we saw, the scenario at hand is in agreement with observations. Additionally, we presented the variations in the Hubble parameter and the distance modulu acquired from the H ( z ) dataset and the 1048 data points of Pantheon, respectively, where we showed that the variations in H ( z ) and joint datasets are closer to Λ CDM cosmology than the Pantheon one. Finally, drawing the effective the dark-energy equation-of-state parameter we saw that we obtained a quintessence-like behavior, while in the future the Universe enters into the phantom regime before it tends asymptotically to the cosmological constant value.
As a next step, we performed a detailed cosmographic analysis. From the behavior of the deceleration parameter, we showed that the transition from deceleration to acceleration occurs in the redshift range 0.52 z t r 0.89 . Additionally, the evolution of the jerk, snap, and lerk parameters showed the preference of the scenario at hand for a quintessence-like behavior. Finally, we applied the O m ( z ) diagnostic analysis, and we observed that our model behaves like a quintessence model at late times; however, in the case of the Hubble dataset the behavior of the model is closer to that of Λ CDM cosmology.
The above features reveal the capabilities of f ( T , T G ) gravity and cosmology. The physical aspects of these models have been discussed in detail in the literature; however, the novel result of the present analysis is the complete observational confrontation of these theories with the latest datasets. Nevertheless, many tests need to be performed before the scenario can be considered a good candidate for the description of nature. A necessary investigation is the detailed examination of the perturbations, and the study of the matter overdensity growth, since this will allow us to compare the scenario with data from large-scale structure, such as f σ 8 , and other perturbation-related probes. Furthermore, one should investigate the constraints on the theory from solar system experiments, since they are known to be very restrictive. These studies lie beyond the scope of the present work and are left for future projects.

Author Contributions

Conceptualization, H.B., J.K.S., E.N.S. and S.; methodology, H.B., J.K.S., E.N.S. and S.; software, H.B. and S.; validation, H., J.K.S., E.N.S. and S.; formal analysis, J.K.S. and E.N.S.; investigation, H.B., J.K.S., E.N.S. and S.; resources, H.B. and J.K.S.; data curation, H.B., J.K.S., E.N.S. and S.; writing—original draft preparation, H., J.K.S., E.N.S. and S.; writing—review and editing, H.B., J.K.S., E.N.S. and S.; visualization, H.B., J.K.S., E.N.S. and S.; supervision, J.K.S., E.N.S.; project administration, J.K.S., E.N.S. All authors have read and agreed to the published version of the manuscript.

Funding

This research received no external funding.

Data Availability Statement

Data are contained within the article.

Acknowledgments

ENS acknowledges the contribution of the LISA CosWG, and of COST Actions CA18108 “Quantum Gravity Phenomenology in the multi-messenger approach” and CA21136 “Addressing observational tensions in cosmology with systematics and fundamental physics (CosmoVerse)”.

Conflicts of Interest

The authors declare no conflicts of interest.

References

  1. Copeland, E.J.; Sami, M.; Tsujikawa, S. Dynamics of dark energy. Int. J. Mod. Phys. D 2006, 15, 1753. [Google Scholar] [CrossRef]
  2. Cai, Y.F.; Saridakis, E.N.; Setare, M.R.; Xia, J.Q. Quintom Cosmology: Theoretical implications and observations. Phys. Rept. 2010, 493, 1. [Google Scholar] [CrossRef]
  3. Bassett, B.A.; Tsujikawa, S.; Wands, D. Inflation dynamics and reheating. Rev. Mod. Phys. 2006, 78, 537–589. [Google Scholar] [CrossRef]
  4. Saridakis, E.N.; Lazkoz, R.; Salzano, V.; Moniz, P.V.; Capozziello, S.; Jiménez, J.B.; De Laurentis, M.; Olmo, G.J. [CANTATA]. Modified Gravity and Cosmology: An Update by the CANTATA Network; Springer: Cham, Switerland, 2021. [Google Scholar]
  5. Capozziello, S.; Laurentis, M.D. Extended Theories of Gravity. Phys. Rep. 2011, 509, 167. [Google Scholar] [CrossRef]
  6. Abdalla, E.; Abell, G.F.; Aboubrahim, A.; Agnello, A.; Akarsu, O.; Akrami, Y.; Alestas, G.; Aloni, D.; Amendola, L.; Anchordoqui, L.A.; et al. Cosmology intertwined: A review of the particle physics, astrophysics, and cosmology associated with the cosmological tensions and anomalies. J. High Energy Astrophys. 2022, 34, 49–211. [Google Scholar]
  7. Batista, R.A.; Amelino-Camelia, G.; Boncioli, D.; Carmona, J.M.; di Matteo, A.; Gubitosi, G.; Lobo, I.; Mavromatos, N.E.; Pfeifer, C.; Rubiera-Garcia, D.; et al. White Paper and Roadmap for Quantum Gravity Phenomenology in the Multi-Messenger Era. arXiv 2023, arXiv:2312.00409. [Google Scholar]
  8. Starobinsky, A.A. A New Type of Isotropic Cosmological Models Without Singularity. Phys. Lett. B 1980, 91, 99. [Google Scholar] [CrossRef]
  9. De Felice, A.; Tsujikawa, S. f(R) theories. Living Rev. Relativ. 2010, 13, 3. [Google Scholar] [CrossRef] [PubMed]
  10. Nojiri, S.; Odintsov, S.D. Modified Gauss-Bonnet theory as gravitational alternative for dark energy. Phys. Lett. B 2005, 631, 1. [Google Scholar] [CrossRef]
  11. De Felice, A.; Tsujikawa, S. Solar system constraints on f(G) gravity models. Phys. Rev. D 2009, 80, 063516. [Google Scholar] [CrossRef]
  12. Erices, C.; Papantonopoulos, E.; Saridakis, E.N. Cosmology in cubic and f(P) gravity. Phys. Rev. D 2019, 99, 123527. [Google Scholar] [CrossRef]
  13. Lovelock, D. The Einstein tensor and its generalizations. J. Math. Phys. 1971, 12, 498. [Google Scholar] [CrossRef]
  14. Aldrovandi, R.; Pereira, J.G. Teleparallel Gravity; Springer Science + Business Media: Dordrecht, The Netherlands, 2013; Volume 173. [Google Scholar]
  15. Maluf, J.W. The teleparallel equivalent of general relativity. Annalen Phys. 2013, 525, 339–357. [Google Scholar] [CrossRef]
  16. Bengochea, G.R.; Ferraro, R. Dark torsion as the cosmic speed-up. Phys. Rev. D 2009, 79, 124019. [Google Scholar] [CrossRef]
  17. Cai, Y.F.; Capozziello, S.; De Laurentis, M.; Saridakis, E.N. f(T) teleparallel gravity and cosmology. Rept. Prog. Phys. 2016, 79, 106901. [Google Scholar] [CrossRef]
  18. Singh, J.K.; Shaily; Balhara, H.; Ghosh, S.G.; Maharaj, S.D. EDSFD parameterization in f(R,T) gravity with linear curvature terms. Phys. Dark Univ. 2024, 45, 101513. [Google Scholar] [CrossRef]
  19. Shaily, A.; Singh, J.; Singh, K.; Ray, S. Late time phantom characteristic of the model in f(R,T) gravity with quadratic curvature term. Astron. Comput. 2024, 49, 100876. [Google Scholar] [CrossRef]
  20. Singh, J.K.; Balhara, H.; Shaily; Singh, P. The constrained accelerating universe in f(R,T) gravity. Astron. Comput. 2024, 46, 100795. [Google Scholar] [CrossRef]
  21. Singh, J.K.; Bamba, K.; Nagpal, R.; Pacif, S.K.J. Bouncing cosmology in f(R,T) gravity. Phys. Rev. D 2018, 97, 123536. [Google Scholar] [CrossRef]
  22. Singh, J.K.; Shaily; Singh, A.; Balhara, H.; Santos, J.R. The consequence of higher-order curvature-based constraints on f(R,Lm) gravity. Annals Phys. 2024, 469, 169781. [Google Scholar] [CrossRef]
  23. Singh, J.K.; Shaily; Bamba, K. Bouncing universe in modified Gauss–Bonnet gravity. Chin. J. Phys. 2023, 84, 371–380. [Google Scholar] [CrossRef]
  24. Singh, J.K.; Balhara, H.; Bamba, K.; Jena, J. Bouncing cosmology in modified gravity with higher-order curvature terms. J. High Energ. Phys. 2023, 3, 191, Erratum in J. High Energ. Phys. 2023, 4, 049. [Google Scholar]
  25. Shaily; Singh, J.K.; Singh, A. Bouncing Cosmology in f(R,G) Gravity with Thermodynamic Analysis. Fortsch. Phys. 2024, 72, 2300244. [Google Scholar] [CrossRef]
  26. Nester, J.M.; Yo, H.J. Symmetric teleparallel general relativity. Chin. J. Phys. 1999, 37, 113. [Google Scholar]
  27. Goswami, G.K.; Rani, R.; Singh, J.K.; Pradhan, A. FLRW cosmology in Weyl type f(Q) gravity and observational constraints. J. High Energy Astrophys. 2024, 43, 105–113. [Google Scholar] [CrossRef]
  28. Beltrán Jiménez, J.; Heisenberg, L.; Koivisto, T. Coincident General Relativity. Phys. Rev. D 2018, 98, 044048. [Google Scholar] [CrossRef]
  29. Heisenberg, L. Review on f(Q) Gravity. Phys. Rept. 2024, 1066, 1–78. [Google Scholar] [CrossRef]
  30. Bamba, K.; Capozziello, S.; Nojiri, S.; Odintsov, S.D. Dark energy cosmology: The equivalent description via different theoretical models and cosmography tests. Astrophys. Space Sci. 2012, 342, 155–228. [Google Scholar] [CrossRef]
  31. Nojiri, S.; Odintsov, S.D. Unified cosmic history in modified gravity: From F(R) theory to Lorentz non-invariant models. Phys. Rep. 2011, 505, 59–144. [Google Scholar] [CrossRef]
  32. De la Cruz-Dombriz, A.; Saez-Gomez, D. On the stability of the cosmological solutions in f(R,G) gravity. Class. Quantum Gravity 2012, 29, 245014. [Google Scholar] [CrossRef]
  33. Clifton, T.; Ferreira, P.G.; Padilla, A.; Skordis, C. Modified Gravity and Cosmology. Phys. Rep. 2012, 513, 1–189. [Google Scholar]
  34. Capozziello, S.; Lobo, F.S.N.; Mimoso, J.P. Energy conditions in modified gravity. Phys. Lett. B 2014, 730, 280–283. [Google Scholar] [CrossRef]
  35. Skugoreva, M.A.; Saridakis, E.N.; Toporensky, A.V. Dynamical features of scalar-torsion theories. Phys. Rev. D 2015, 91, 044023. [Google Scholar] [CrossRef]
  36. Gleyzes, J.; Langlois, D.; Piazza, F.; Vernizzi, F. Exploring gravitational theories beyond Horndeski. J. Cosmol. Astropart. Phys. 2015, 02, 018. [Google Scholar] [CrossRef]
  37. Arai, S.; Nishizawa, A. Generalized framework for testing gravity with gravitational-wave propagation. II. Constraints on Horndeski theory. Phys. Rev. D 2018, 97, 104038. [Google Scholar] [CrossRef]
  38. Harko, T.; Lobo, F.S.N.; Nojiri, S.; Odintsov, S.D. f(R,T) gravity. Phys. Rev. D 2011, 84, 024020. [Google Scholar] [CrossRef]
  39. Singh, J.K.; Nagpal, R. FLRW cosmology with EDSFD parametrization. Eur. Phys. J. C 2020, 80, 295. [Google Scholar] [CrossRef]
  40. Shabani, H.; De, A.; Loo, T.H.; Saridakis, E.N. Cosmology of f(Q) gravity in non-flat Universe. Eur. Phys. J. C 2024, 84, 285. [Google Scholar] [CrossRef]
  41. Cognola, G.; Elizalde, E.; Nojiri, S.; Odintsov, S.D.; Zerbini, S. Dark energy in modified Gauss-Bonnet gravity: Late-time acceleration and the hierarchy problem. Phys. Rev. D 2006, 73, 084007. [Google Scholar] [CrossRef]
  42. Chatzifotis, N.; Dorlis, P.; Mavromatos, N.E.; Papantonopoulos, E. Scalarization of Chern-Simons-Kerr black hole solutions and wormholes. Phys. Rev. D 2022, 105, 084051. [Google Scholar] [CrossRef]
  43. Singh, J.K.; Shaily; Myrzakulov, R.; Balhara, H. A constrained cosmological model in f(R,Lm) gravity. New Astron. 2023, 104, 102070. [Google Scholar] [CrossRef]
  44. Singh, J.K.; Shaily; Singh, A.; Beesham, A.; Shabani, H. A non-singular bouncing cosmology in f(R,T) gravity. Ann. Phys. 2023, 455, 169382. [Google Scholar] [CrossRef]
  45. Lazkoz, R.; Lobo, F.S.N.; Ortiz-Baños, M.; Salzano, V. Observational constraints of f(Q) gravity. Phys. Rev. D 2019, 100, 104027. [Google Scholar] [CrossRef]
  46. Yan, S.F.; Zhang, P.; Chen, J.W.; Zhang, X.Z.; Cai, Y.F.; Saridakis, E.N. Interpreting cosmological tensions from the effective field theory of torsional gravity. Phys. Rev. D 2020, 101, 121301. [Google Scholar] [CrossRef]
  47. Capozziello, S.; D’Agostino, R. Model-independent reconstruction of f(Q) non-metric gravity. Phys. Lett. B 2022, 832, 137229. [Google Scholar] [CrossRef]
  48. Chatzifotis, N.; Dorlis, P.; Mavromatos, N.E.; Papantonopoulos, E. Thermal stability of hairy black holes. Phys. Rev. D 2023, 107, 084053. [Google Scholar] [CrossRef]
  49. Koussour, M.; Arora, S.; Gogoi, D.J.; Bennai, M.; Sahoo, P.K. Constant sound speed and its thermodynamical interpretation in f(Q) gravity. Nucl. Phys. B 2023, 990, 116158. [Google Scholar] [CrossRef]
  50. Karakasis, T.; Mavromatos, N.E.; Papantonopoulos, E. Regular compact objects with scalar hair. Phys. Rev. D 2023, 108, 024001. [Google Scholar] [CrossRef]
  51. Basilakos, S.; Nanopoulos, D.V.; Papanikolaou, T.; Saridakis, E.N.; Tzerefos, C. Gravitational wave signatures of no-scale Supergravity in NANOGrav and beyond. Phys. Lett. B 2024, 850, 138507. [Google Scholar] [CrossRef]
  52. Bakopoulos, A.; Chatzifotis, N.; Erices, C.; Papantonopoulos, E. Stealth Ellis wormholes in Horndeski theories. J. Cosmol. Astropart. Phys. 2023, 11, 055. [Google Scholar] [CrossRef]
  53. Boehmer, C.G.; Jensko, E.; Lazkoz, R. Dynamical Systems Analysis of f(Q) Gravity. Universe 2023, 9, 166. [Google Scholar] [CrossRef]
  54. Beltrán Jiménez, J.; Heisenberg, L.; Koivisto, T.S.; Pekar, S. Cosmology in f(Q) geometry. Phys. Rev. D 2020, 101, 103507. [Google Scholar] [CrossRef]
  55. Ayuso, I.; Lazkoz, R.; Salzano, V. Observational constraints on cosmological solutions of f(Q) theories. Phys. Rev. D 2021, 103, 063505. [Google Scholar] [CrossRef]
  56. Esposito, F.; Carloni, S.; Cianci, R.; Vignolo, S. Reconstructing isotropic and anisotropic f(Q) cosmologies. Phys. Rev. D 2022, 105, 084061. [Google Scholar] [CrossRef]
  57. Hohmann, M.; Pfeifer, C.; Said, J.L.; Ualikhanova, U. Propagation of gravitational waves in symmetric teleparallel gravity theories. Phys. Rev. D 2019, 99, 024009. [Google Scholar] [CrossRef]
  58. Hohmann, M. General covariant symmetric teleparallel cosmology. Phys. Rev. D 2021, 104, 124077. [Google Scholar] [CrossRef]
  59. Beltrán Jiménez, J.; Heisenberg, L.; Koivisto, T.S. Teleparallel Palatini theories. J. Cosmol. Astropart. Phys. 2018, 08, 039. [Google Scholar] [CrossRef]
  60. Lu, J.; Zhao, X.; Chee, G. Cosmology in symmetric teleparallel gravity and its dynamical system. Eur. Phys. J. C 2019, 79, 530. [Google Scholar] [CrossRef]
  61. D’Ambrosio, F.; Heisenberg, L.; Kuhn, S. Revisiting cosmologies in teleparallelism. Class. Quantum Gravity 2022, 39, 025013. [Google Scholar] [CrossRef]
  62. Moreira, A.R.P.; Silva, J.E.G.; Lima, F.C.E.; Almeida, C.A.S. Thick brane in f(T,B) gravity. Phys. Rev. D 2021, 103, 064046. [Google Scholar] [CrossRef]
  63. Anagnostopoulos, F.K.; Basilakos, S.; Saridakis, E.N. First evidence that non-metricity f(Q) gravity could challenge ΛCDM. Phys. Lett. B 2021, 822, 136634. [Google Scholar] [CrossRef]
  64. Atayde, L.; Frusciante, N. Can f(Q) gravity challenge ΛCDM? Phys. Rev. D 2021, 104, 6. [Google Scholar] [CrossRef]
  65. D’Ambrosio, F.; Fell, S.D.B.; Heisenberg, L.; Kuhn, S. Black holes in f(Q) gravity. Phys. Rev. D 2022, 105, 024042. [Google Scholar] [CrossRef]
  66. Zhao, D. Covariant formulation of f(Q) theory. Eur. Phys. J. C 2022, 82, 303. [Google Scholar] [CrossRef]
  67. De, A.; How, L.T. Comment on “Energy conditions in f(Q) gravity”. Phys. Rev. D 2022, 106, 048501. [Google Scholar] [CrossRef]
  68. Lin, R.H.; Zhai, X.H. Spherically symmetric configuration in f(Q) gravity. Phys. Rev. D 2021, 103, 124001, Erratum in Phys. Rev. D 2022, 106, 069902. [Google Scholar] [CrossRef]
  69. Barros, B.J.; Barreiro, T.; Koivisto, T.; Nunes, N.J. Testing F(Q) gravity with redshift space distortions. Phys. Dark Univ. 2020, 30, 100616. [Google Scholar] [CrossRef]
  70. Kovács, Á.D.; Reall, H.S. Well-posed formulation of Lovelock and Horndeski theories. Phys. Rev. D 2020, 101, 124003. [Google Scholar] [CrossRef]
  71. Caruana, M.; Farrugia, G.; Said, J.L. Cosmological bouncing solutions in f(T,B) gravity. Eur. Phys. J. C 2020, 80, 640. [Google Scholar] [CrossRef]
  72. Khyllep, W.; Paliathanasis, A.; Dutta, J. Cosmological solutions and growth index of matter perturbations in f(Q) gravity. Phys. Rev. D 2021, 103, 103521. [Google Scholar] [CrossRef]
  73. Bahamonde, S.; Böhmer, C.G.; Wright, M. Modified teleparallel theories of gravity. Phys. Rev. D 2015, 92, 104042. [Google Scholar] [CrossRef]
  74. De, A.; Loo, T.H.; Saridakis, E.N. Non-metricity with bounday terms: f(Q,C) gravity and cosmology. JCAP 2024, 03, 050. [Google Scholar] [CrossRef]
  75. Kofinas, G.; Saridakis, E.N. Teleparallel equivalent of Gauss-Bonnet gravity and its modifications. Phys. Rev. D 2014, 90, 084044. [Google Scholar] [CrossRef]
  76. Kofinas, G.; Leon, G.; Saridakis, E.N. Dynamical behavior in f(T,TG) cosmology. Class. Quantum Gravity 2014, 31, 175011. [Google Scholar] [CrossRef]
  77. Kofinas, G.; Saridakis, E.N. Cosmological applications of F(T,TG) gravity. Phys. Rev. D 2014, 90, 084045. [Google Scholar] [CrossRef]
  78. Azhar, N.; Jawad, A.; Rani, S. Generalized gravitational baryogenesis of well-known f(T,TG) and f(T,B) models. Phys. Dark Univ. 2020, 30, 100724. [Google Scholar] [CrossRef]
  79. Capozziello, S.; De Laurentis, M.; Dialektopoulos, K.F. Noether symmetries in Gauss–Bonnet-teleparallel cosmology. Eur. Phys. J. C 2016, 76, 629. [Google Scholar] [CrossRef]
  80. De la Cruz-Dombriz, Á.; Farrugia, G.; Said, J.L.; Sáez-Chillón Gómez, D. Cosmological bouncing solutions in extended teleparallel gravity theories. Phys. Rev. D 2018, 97, 104040. [Google Scholar] [CrossRef]
  81. Chattopadhyay, S.; Jawad, A.; Momeni, D.; Myrzakulov, R. Pilgrim dark energy in f(T,TG) cosmology. Astrophys. Space Sci. 2014, 353, 279–292. [Google Scholar] [CrossRef]
  82. Zubair, M.; Jawad, A. Generalized Second Law of Thermodynamics in f(T,TG) gravity. Astrophys. Space Sci. 2015, 360, 11. [Google Scholar] [CrossRef]
  83. Sharif, M.; Nazir, K. Noncommutative wormhole solutions in F(T, TG) gravity. Mod. Phys. Lett. A 2017, 32, 1750083. [Google Scholar] [CrossRef]
  84. Mustafa, G.; Abbas, G.; Xia, T. Wormhole solutions in F(T,TG) gravity under Gaussian and Lorentzian non-commutative distributions with conformal motions. Chin. J. Phys. 2019, 60, 362–378. [Google Scholar] [CrossRef]
  85. Asimakis, P.; Basilakos, S.; Mavromatos, N.E.; Saridakis, E.N. Big bang nucleosynthesis constraints on higher-order modified gravities. Phys. Rev. D 2022, 105, 084010. [Google Scholar] [CrossRef]
  86. De la Cruz-Dombriz, Á.; Farrugia, G.; Said, J.L.; Saez-Gomez, D. Cosmological reconstructed solutions in extended teleparallel gravity theories with a teleparallel Gauss–Bonnet term. Class. Quantum Gravity 2017, 34, 235011. [Google Scholar] [CrossRef]
  87. Lohakare, S.V.; Mishra, B.; Maurya, S.K.; Singh, K.N. Analyzing the geometrical and dynamical parameters of modified Teleparallel-Gauss–Bonnet model. Phys. Dark Univ. 2023, 39, 101164. [Google Scholar] [CrossRef]
  88. Bahamonde, S.; Böhmer, C.G. Modified teleparallel theories of gravity: Gauss–Bonnet and trace extensions. Eur. Phys. J. C 2016, 76, 578. [Google Scholar] [CrossRef]
  89. Kadam, S.A.; Mishra, B.; Said, J.L. Noether symmetries in f(T, T G) cosmology. Phys. Scr. 2023, 98, 045017. [Google Scholar] [CrossRef]
  90. Capozziello, S.; Stabile, A.; Troisi, A. Spherically symmetric solutions in f(R)-gravity via Noether Symmetry Approach. Class. Quantum Gravity 2007, 24, 2153–2166. [Google Scholar] [CrossRef]
  91. Paliathanasis, A.; Basilakos, S.; Saridakis, E.N.; Capozziello, S.; Atazadeh, K.; Darabi, F.; Tsamparlis, M. New Schwarzschild-like solutions in f(T) gravity through Noether symmetries. Phys. Rev. D 2014, 89, 104042. [Google Scholar] [CrossRef]
  92. De Felice, A.; Tsujikawa, S. Construction of cosmologically viable f(G) dark energy models. Phys. Lett. B 2009, 675, 1–8. [Google Scholar] [CrossRef]
  93. Jawad, A.; Chattopadhyay, S.; Pasqua, A. Reconstruction of f(G) Gravity with New Agegraphic Dark Energy Model. Eur. Phys. J. Plus 2013, 128, 88. [Google Scholar] [CrossRef]
  94. Krssak, M.; van den Hoogen, R.J.; Pereira, J.G.; Böhmer, C.G.; Coley, A.A. Teleparallel theories of gravity: Illuminating a fully invariant approach. Class. Quantum Gravity 2019, 36, 183001. [Google Scholar]
  95. Bahamonde, S.; Dialektopoulos, K.F.; Escamilla-Rivera, C.; Farrugia, G.; Gakis, V.; Hendry, M.; Hohmann, M.; Said, J.L.; Mifsud, J.; Di Valentino, E. Teleparallel gravity: From theory to cosmology. Rep. Prog. Phys. 2023, 86, 026901. [Google Scholar] [CrossRef]
  96. Foreman-Mackey, D.; Hogg, D.W.; Lang, D.; Goodman, J. emcee: The MCMC Hammer. Publ. Astron. Soc. Pac. 2013, 125, 306–312. [Google Scholar] [CrossRef]
  97. Scolnic, D.M.; Jones, D.O.; Rest, A.; Pan, Y.C.; Chornock, R.; Foley, R.J.; Huber, M.E.; Kessler, R.; Narayan, G.; Riess, A.G.; et al. [Pan-STARRS1]. The Complete Light-curve Sample of Spectroscopically Confirmed SNe Ia from Pan-STARRS1 and Cosmological Constraints from the Combined Pantheon Sample. Astrophys. J. 2018, 859, 101. [Google Scholar] [CrossRef]
  98. Sharov, G.S.; Vasiliev, V.O. How predictions of cosmological models depend on Hubble parameter data sets. Math. Model. Geom. 2018, 6, 1–20. [Google Scholar] [CrossRef]
  99. Chimento, L.; Forte, M.I. Unified model of baryonic matter and dark components. Phys. Lett. B 2008, 666, 205–211. [Google Scholar] [CrossRef]
  100. Singh, J.K.; Shaily; Ram, S.; Santos, J.R.L.; Fortunato, J.A.S. The constrained cosmological model in Lyra geometry. Int. J. Mod. Phys. D 2023, 32, 2350040. [Google Scholar] [CrossRef]
  101. Singh, J.K.; Singh, P.; Saridakis, E.N.; Myrzakul, S.; Balhara, H. New parametrization of the dark-energy equation of state with a single parameter. Universe 2024, 10, 246. [Google Scholar] [CrossRef]
  102. Sahni, V.; Shafieloo, A.; Starobinsky, A.A. Two new diagnostics of dark energy. Phys. Rev. D 2008, 78, 103502. [Google Scholar] [CrossRef]
  103. Visser, M. Cosmography: Cosmology without the Einstein equations. Gen. Relativ. Gravit. 2005, 37, 1541–1548. [Google Scholar] [CrossRef]
  104. Rapetti, D.; Allen, S.W.; Amin, M.A.; Blandford, R.D. A kinematical approach to dark energy studies. Mon. Not. Roy. Astron. Soc. 2007, 375, 1510–1520. [Google Scholar] [CrossRef]
  105. Liu, J.; Qiao, L.; Chang, B.; Xu, L. Revisiting cosmography via Gaussian process. Eur. Phys. J. C 2023, 83, 374. [Google Scholar] [CrossRef]
  106. Busca, N.G.; Delubac, T.; Rich, J.; Bailey, S.; Font-Ribera, A.; Kirkby, D.; Le Goff, J.M.; Pieri, M.M.; Slosar, A.; Aubourg, E.; et al. Baryon Acoustic Oscillations in the Ly-α forest of BOSS quasars. Astron. Astrophys. 2013, 552, A96. [Google Scholar] [CrossRef]
  107. Farooq, O.; Ratra, B. Hubble parameter measurement constraints on the cosmological deceleration-acceleration transition redshift. Astrophys. J. Lett. 2013, 766, L7. [Google Scholar] [CrossRef]
  108. Capozziello, S.; Farooq, O.; Luongo, O.; Ratra, B. Cosmographic bounds on the cosmological deceleration-acceleration transition redshift in f(R) gravity. Phys. Rev. D 2014, 90, 044016. [Google Scholar] [CrossRef]
  109. Gruber, C.; Luongo, O. Cosmographic analysis of the equation of state of the universe through Padé approximations. Phys. Rev. D 2014, 89, 103506. [Google Scholar] [CrossRef]
  110. Yang, Y.; Gong, Y. The evidence of cosmic acceleration and observational constraints. J. Cosmol. Astropart. Phys. 2020, 06, 059. [Google Scholar] [CrossRef]
  111. Aviles, A.; Gruber, C.; Luongo, O.; Quevedo, H. Cosmography and constraints on the equation of state of the Universe in various parametrizations. Phys. Rev. D 2012, 86, 123516. [Google Scholar] [CrossRef]
  112. Aviles, A.; Bravetti, A.; Capozziello, S.; Luongo, O. Precision cosmology with Padé rational approximations: Theoretical predictions versus observational limits. Phys. Rev. D 2014, 90, 043531. [Google Scholar] [CrossRef]
  113. Capozziello, S.; Luongo, O.; Saridakis, E.N. Transition redshift in f(T) cosmology and observational constraints. Phys. Rev. D 2015, 91, 124037. [Google Scholar] [CrossRef]
Figure 1. The 1 σ and 2 σ iso-likelihood contours for power-law f ( T , T G ) cosmology, for the various two-dimensional subsets of the parameter space, for various datasets. The upper left graph corresponds to the H u b b l e dataset, the upper right corresponds to the P a n t h e o n dataset, and the lower graph corresponds to the joint analysis H u b b l e + P a n t h e o n .
Figure 1. The 1 σ and 2 σ iso-likelihood contours for power-law f ( T , T G ) cosmology, for the various two-dimensional subsets of the parameter space, for various datasets. The upper left graph corresponds to the H u b b l e dataset, the upper right corresponds to the P a n t h e o n dataset, and the lower graph corresponds to the joint analysis H u b b l e + P a n t h e o n .
Symmetry 16 01299 g001
Figure 2. Left graph: The Hubble parameter H ( z ) in terms of the redshift z, using various datasets, where the error bars represent the uncertainties associated with the 55 data points utilized to construct the Hubble datasets. Right graph: The distance modulus μ ( z ) as a function of the redshift z, where the error bars represent the uncertainties associated with the Union 2.1 compilation. For completeness, in both graphs we have added the corresponding curves for the Λ CDM paradigm.
Figure 2. Left graph: The Hubble parameter H ( z ) in terms of the redshift z, using various datasets, where the error bars represent the uncertainties associated with the 55 data points utilized to construct the Hubble datasets. Right graph: The distance modulus μ ( z ) as a function of the redshift z, where the error bars represent the uncertainties associated with the Union 2.1 compilation. For completeness, in both graphs we have added the corresponding curves for the Λ CDM paradigm.
Symmetry 16 01299 g002
Figure 3. The evolution of the dark-energy equation-of-state parameter w D E given by (18), as a function of the redshift z, for the best-fit parameters obtained from various datasets.
Figure 3. The evolution of the dark-energy equation-of-state parameter w D E given by (18), as a function of the redshift z, for the best-fit parameters obtained from various datasets.
Symmetry 16 01299 g003
Figure 4. Left graph: The evolution of the deceleration parameter as a function of the redshift. Right graph: The evolution of the jerk parameter as a function of the redshift. In both graphs, we have used the best-fit parameter values obtained from various datasets.
Figure 4. Left graph: The evolution of the deceleration parameter as a function of the redshift. Right graph: The evolution of the jerk parameter as a function of the redshift. In both graphs, we have used the best-fit parameter values obtained from various datasets.
Symmetry 16 01299 g004
Figure 5. Left graph: The evolution of the snap parameter as a function of the redshift. Right graph: The evolution of the lerk parameter as a function of the redshift. In both graphs, we have used the best-fit parameter values obtained from various datasets.
Figure 5. Left graph: The evolution of the snap parameter as a function of the redshift. Right graph: The evolution of the lerk parameter as a function of the redshift. In both graphs, we have used the best-fit parameter values obtained from various datasets.
Symmetry 16 01299 g005
Figure 6. The evolution of the O m ( z ) geometrical diagnostic as a function of the redshift, using the best-fit parameter values obtained from various datasets.
Figure 6. The evolution of the O m ( z ) geometrical diagnostic as a function of the redshift, using the best-fit parameter values obtained from various datasets.
Symmetry 16 01299 g006
Table 1. Observational constraints on f ( T , T G ) cosmology using H u b b l e , P a n t h e o n , and the joint analysis H u b b l e + P a n t h e o n datasets.
Table 1. Observational constraints on f ( T , T G ) cosmology using H u b b l e , P a n t h e o n , and the joint analysis H u b b l e + P a n t h e o n datasets.
Dataset Ω m 0 α β η
H ( z ) 0 . 233 0.015 + 0.018 9 . 01 0.61 + 0.61 5 . 50 0.26 + 0.26 0 . 99 0.56 + 0.56
P a n t h e o n 0 . 297 0.064 + 0.064 9 . 00 0.54 + 0.54 5 . 52 0.27 + 0.27 1 . 03 0.57 + 0.57
H(z) + Pantheon 0 . 257 0.011 + 0.011 8 . 9986 0.0087 + 0.0096 4 . 997 0.015 + 0.011 1 . 0028 0.011 + 0.0084
Disclaimer/Publisher’s Note: The statements, opinions and data contained in all publications are solely those of the individual author(s) and contributor(s) and not of MDPI and/or the editor(s). MDPI and/or the editor(s) disclaim responsibility for any injury to people or property resulting from any ideas, methods, instructions or products referred to in the content.

Share and Cite

MDPI and ACS Style

Balhara, H.; Singh, J.K.; Shaily; Saridakis, E.N. Observational Constraints and Cosmographic Analysis of f(T,TG) Gravity and Cosmology. Symmetry 2024, 16, 1299. https://doi.org/10.3390/sym16101299

AMA Style

Balhara H, Singh JK, Shaily, Saridakis EN. Observational Constraints and Cosmographic Analysis of f(T,TG) Gravity and Cosmology. Symmetry. 2024; 16(10):1299. https://doi.org/10.3390/sym16101299

Chicago/Turabian Style

Balhara, Harshna, Jainendra Kumar Singh, Shaily, and Emmanuel N. Saridakis. 2024. "Observational Constraints and Cosmographic Analysis of f(T,TG) Gravity and Cosmology" Symmetry 16, no. 10: 1299. https://doi.org/10.3390/sym16101299

APA Style

Balhara, H., Singh, J. K., Shaily, & Saridakis, E. N. (2024). Observational Constraints and Cosmographic Analysis of f(T,TG) Gravity and Cosmology. Symmetry, 16(10), 1299. https://doi.org/10.3390/sym16101299

Note that from the first issue of 2016, this journal uses article numbers instead of page numbers. See further details here.

Article Metrics

Back to TopTop