Abstract
Aiming at the requirements of the marine work platform for real-time control, time-varying speed and the time-varying torque control of the motor-driven active heave compensation device, this paper introduces a composite control strategy based on the switched reluctance motor (SRM)-driven active heave compensation device. As for the compensation error caused by the time lag in the real-time system, the model prediction trajectory algorithm is used to predict the compensation displacement obtained using the dynamic model. The next time, the control parameters are then provided for the SRM control system in advance to reduce the compensation error. The SRM control strategy selects a double closed-loop compound control strategy of Back Propagation (BP) fuzzy neural network Proportion Integration Differentiation (PID) control. Its outer speed loop uses a fuzzy controller to quickly track a wide range of speed changes. The torque inner loop uses BP neural network adaptive PID control. This helps to reduce torque ripple and to ensure that the electromagnetic torque output of the SRM remains stable. Finally, the system feasibility is verified by setting different wave parameters. The simulation results show that the simulation conditions can reach 97.5% and 96.4% under the 3 and 4 wave levels, respectively. The simulation effect is satisfying, which verifies the feasibility of the proposed scheme.
1. Introduction
The heave compensation device is a tool used to assist the stable operation of underwater workload. It is of great significance when the development of marine resources means facing the deep sea [1]. In order to overcome the influence of strong nonlinear interference such as sea wind and waves on the normal operation of heave compensation equipment, the active heave compensation drive device often works in the operating conditions of frequent braking, acceleration and deceleration and reciprocating operation. SRM has the advantages of a small starting current, a large starting torque, a simple structure, high efficiency, strong fault tolerance and a wide speed-regulation range, which is suitable for the active heave compensation drive system of ocean winches. The symmetry of the stator and rotor position design of SRM reduces the estimated response time of the stator and rotor position, and improves the dynamic response performance of the motor when different phase currents are switched during operation.
However, in the heave compensation system, the motor is in the operation state of time-varying speed, time-varying torque, and the torque ripple phenomenon is remarkable. The research on SRM mainly focuses on this. Several researchers have proposed different control strategies. Sun et al. designed a nonsingular terminal sliding mode controller for direct torque control [2]. This method achieves SRM high-quality tracking at high speed. An innovative fuzzy controller model is proposed in [3]. The torque pulsation control effect of a sliding mode controller with improved reaching law is compared with that of a new fuzzy controller. It is verified that the fuzzy control model significantly improves the torque performance and reduces the torque fluctuation. Rajendran A et al. designed fuzzy and PI controllers for switched reluctance motor, and compared and analyzed their performance characteristics under such parameters as torque, current, stator current and speed of switched reluctance motor, and verified the control performance of fuzzy and PI controllers [4]. Jing et al. designed a fuzzy indirect instant torque controller to suppress torque ripple. Through comparison and analysis with the traditional proportional differential indirect instant torque controller, the effectiveness of the fuzzy indirect instant torque controller in suppressing torque ripple was verified [5]. Senthil et al. proposed a hybrid observer (HO) method for observing high and low motor speeds, respectively. The adaptive neural fuzzy interference system (ANFIS) and Fuzzy-PID are used to estimate the sensorless velocity error and position error of 6/4 pole SRM, and good results are obtained [6]. In order to suppress the torque pulsation of the switched reluctance motor and improve the effective torque, Akar et al. added a fuzzy logic controller (FLC) to the design of the speed loop of the SRM, which has obvious effects on current control and phase current square sum control [7]. Hence, the fuzzy-PID method is proved to be effective in suppressing torque ripple.
Considering the complexity of the operating environment, as well as the system’s high hysteresis, time variability, and nonlinear difficulties, many researchers integrate the Deep Learning algorithm and PID to increase controller performance. Zhang et al. suggested a triple network model to improve the complex dynamic features of PID controllers in the process of temperature object control. The model may output three PID parameters. This model features the single output properties of a TS-type fuzzy neural network, and its algorithm performance outperforms traditional PID, BP neural network PID, and conventional fuzzy neural network PID approaches [8]. In order to more accurately describe the motion state of the vehicle during driving, Jiang et al. designed an adaptive neural network controller to control the body motion state of the suspension, such as acceleration (BA), sprung mass displacement (SMD), unsprung mass displacement (UMD) and dynamic wheel load (DWL) during movement. Compared with the traditional PID control strategy, the adaptive neural network control strategy has better control performance [9]. In order to realize active control and vibration energy collection, Liu et al. designed a PID controller electromagnetic energy regeneration suspension system based on a BP neural network algorithm. Through simulation analysis, the dynamic performance of the vehicle and the energy recovery rate of the vehicle were improved under the condition that the road performance and speed conditions of the system were changed [10]. In order to reduce the impact of vibration on commercial vehicles during driving, Ma et al. proposed a negative stiffness control strategy. In the process of air pressure search, an adaptive fuzzy neural network was used to train the air pressure data, and the optimal air pressure of the air spring under different working conditions was obtained to achieve negative stiffness control [11].
In the process of heave compensation, the electromagnetic torque of SRM changes with the change in speed. The electromagnetic torque is related to the speed, speed change and load torque in the actual operation process [12]. The heave compensation system is a complex and variable nonlinear system [13,14]; the parameters collected by the sensor are processed and the control signal provided to the braking mechanism lags. This gives the motor a wide range of changes in the speed, and its load torque will also change due to the rotation of the motor runner. The PID controller has its advantages in robustness, simplicity and predictability [15,16], but while it is generally suitable for a linear system, in a nonlinear system PID controller, the structure design, anti-interference ability and parameter tuning will encounter challenges. A BP fuzzy neural network PID controller combined with the learning ability of a neural network and adaptive performance can adapt to a complex nonlinear system.
Therefore, this paper uses a fuzzy controller to follow the given speed signal, while the BP neural network PID controller is used in the torque inner loop to ensure the optimal output of the control signal. According to the fact that the motion trajectory of the mother ship is continuous and high-order differentiable in the heave compensation process, the trajectory change in the next control cycle is obtained using the method of model prediction trajectory generation. This paper presents a heave compensation system based on composite control SRM.
The remainder of this paper is organized as follows. In Section 2, the dynamic model of AHC is analyzed, and the specific algorithm of compensation displacement and model prediction trajectory generation is discussed. Section 3 introduces the SRM and details the calculation of the variation law of electromagnetic torque of SRM during heave compensation, which has a reference value for analyzing the variation of torque in the simulation results. In Section 4, the SRM control system is designed. The simulation results are analyzed in Section 5. Finally, conclusions are drawn in Section 6.
2. AHC Model
In this paper, AHC is principally composed of an SRM module, transmission module, control module and sensor module. Its structure is shown in Figure 1. The SRM module consists of SRM and a switch power device, which consists of the accountable power output of the AHC system. The transmission module consists of a drum and a winch, which might properly transmit the power output from the SRM to the cable. The control module is the core of the total system used for sensor data processing, providing correct control signals for the switch power device through algorithms. The sensor is divided into two components. The first component records the system parameters, such as the angle sensor of the SRM used for the feedback of SRM control and the accumulator of the winch used for the supplement of ship heave displacement. The second component consists of the collection of ocean parameters, such as the activity of ocean wave height, the activity of ship heave speed, etc. The total system cooperates to understand the compensation result of AHC.
Figure 1.
Structure of the active heave compensation system.
2.1. Dynamics Equation of the System
In this paper, the models of the heave compensation system include the marine working system and underwater working load. In order to study the dynamic characteristics between them, a simplified model based on system dynamic change is used. The assumptions for the institution of the system model are as follows: (1) The dynamic changes in the system square measure are analyzed within the one-dimensional direction. Since the ship motion changes within the three-dimensional space, the analysis has remodeled the three-dimensional space and transformed the one-dimensional cable’s length change, which is analyzed in Section 2.2. (2) While the heave compensation system works, the cable deformation due to the influence of tension is consistent with the deformation caused by still water. (3) An order of magnitude differences exists between the ship mass and the load mass.
According to the restrictions, the dynamic equilibrium equation of heave compensation system is given by the following [17]:
where and are, respectively, the mass of the mother ship and load, and are, respectively, the heave displacement of the mother ship and load, and are, respectively, the resistance coefficient of the mother ship subjected to sea water on the sea surface and the resistance coefficient of the loaded carrier water, and are, respectively, the buoyancy of the mother ship and load, represents the elastic coefficient of the cable and denotes the tension provided by the compensation system, where is the runner radius and is the rotation angle.
2.2. Mathematical Model of Heave Motion
Under the influence of sea wind and waves, the offshore platform working in waves will produce six degrees of freedom oscillations; heave, sway, surge, yaw, pitch and roll. Among them, the three degrees of freedom of heave, roll and pitch are the main factors causing load fluctuation, while the other three degrees of freedom will be attenuated due to ship attitude control, which can be ignored for calculation simplification
In order to ease the measurement of the attitude change in the hull, the motion monitoring unit (MRU) of the offshore working platform is generally installed on the central axis of the mother ship. The relative position between the winch and MRU will not change when the crane of the heave compensation system is working. Therefore, the change in relative position between the hull and the load can be calculated and analyzed as follows.
The attitude decomposition of a ship show in Figure 2. The three-dimensional coordinate origin is set to the position of MRU when it is static, while the winch initial coordinate position is . The coordinate position of the workload is , where and are the absolute distance between the origin and the winch, the forward inclination angle of the mother ship, the heeling angle of the mother ship and the internal angle of the winch relative to the origin, respectively. The three-dimensional motion trajectory of the winch in the heave motion is given by the following:
where is the heave displacement change in the mother ship.
Figure 2.
Attitude decomposition of a ship. (Left) heave and pitch; (right) roll.
Using Equation (2), the distance change between the winch and the working load can be calculated as follows:
Generally, due to the mechanical balance, the fluctuation of the underwater working load will only have a displacement change in the vertical direction, which should be eliminated by the heave compensation system. Therefore, in Equation (3), can be used to simplify the calculation, while are set to zero. By substituting Equation (2) into Equation (3), the change law of cable length can be computed as follows:
where is the distance between the winch and the load at the beginning, and is the change rate of the cable.
2.3. Estimation of the Resulting Vertical Motion
In the heave compensation movement, the winch is mounted on the mothership when full. The track of the winch changes within the three-dimensional system with the influence of the ocean waves on the mothership, inflicting load instability. Consequently, AHC is required to make up for this displacement. The most intuitive expression of displacement compensation is the change in cable length during heave compensation. The three-dimensional coordinate change in the winch can be transformed into the cable length change in the one-dimensional coordinate, using Equations (4) and (5). Continuous and high-order derivable input reference trajectory is required for the prediction of heave displacement trajectory. It can be easily demonstrated that the change in the cable length in Equation (4) meets this requirement. For the next moment, the trajectory prediction is based on the displacement at the sampling time, and the high-order derivative is based on the displacement trend at the sampling point. As shown in Equation (6), the prediction model can be calculated as a matrix, expressed in Equation (7).
According to the principle of predictive control, the output expression is given by the following:
such that
where are prediction steps.
The selection of prediction steps should be based on the control cycle selection. As for the track prediction generation described in this paper, the derivation to fourth order can meet the accuracy requirements through simulation tests. In the case where more accuracy is needed, it can be achieved by solving higher order derivatives. However, this will challenge the data computing ability of the control chip.
Two methods exist for solving optimal problems in predictive control. The first method consists of ensuring a fast performance, while the second one ensures a smooth output. In this paper, the first method is used for trajectory tracking. According to the objective function in Equation (8), the weight Q, which guarantees fast performance, should take precedence over the coefficient weight R which guarantees a smooth output.
where is the track reference value.
In the SRM AHC system, the power output of the motor, as well as the speed and speed change rate limits, are the constraints of the prediction trajectory, expressed as follows:
where is the rated value of the motor and is the constraint factor, such that .
An additional constraint on the full system life within the operation of the motor exists. This is that the form of the predicted trajectory should be adjacent to the actual trajectory at the previous time, and its high-order derivative cannot be continuously zero. If there is a jump within the reference input such as speed or acceleration, it will directly lead to drastic changes in the phase current of the motor, leading to a power output disorder, which results in irreversible motor damage.
3. SRM Mathematical Model and Reference Torque Calculation
3.1. SRM Mathematical Model
The coupling between the stator coils of the SRM is very weak and the mutual inductance between the two phases can be ignored. Therefore, the voltage balance equation can be established for single-phase windings:
where is the terminal voltage of phase winding, denotes phase winding resistance, represents the phase winding current, is the motor angle and is a mechanical angular speed.
where is the electromagnetic torque of the motor, denotes the moment of inertia, represents the friction coefficient, is the load torque and is the angular acceleration.
3.2. Variation of Torque
Equation (12) shows that the SRM’s rotational balance equation consists of four parts; the electromagnetic torque , load torque , friction torque inertial torque , and angular acceleration of the motor a, where the direction of the inertial torque is opposite to the angular acceleration of the motor. In the process of heave compensation, SRM has four operating states, as shown in Figure 3. According to the symmetry of each phase of the motor, the flux characteristics obtained by each phase winding at the same angle are the same. When rotating counterclockwise, the commutation sequence of SRM is A → B → C. The difference between braking and driving is that when driving, the rotator angle is , while when braking, the rotator angle is . When rotating clockwise, the commutation sequence is C → B → A. The driving angle is and the braking angle is .
Figure 3.
Rotation balance diagram for the four operation modes of SRM. (a) Counterclockwise drive. (b) Counterclockwise braking. (c) Clockwise drive. (d) Clockwise braking.
Equation (11) shows that for SRM, a direct conversion relationship between the torque and the speed exists. In addition, the load torque is a potential energy load torque in the heave compensation system. Its direction will not change, while its size will change with the rotation of the winch, following a change rule given by the following:
The variation law of the electromagnetic torque under each operating state of SRM can be obtained using Equations (11) and (12) as follows:
where , , , and .
Considering the simulation modeling, it is also necessary to establish the relationship between the drum angle and the electromagnetic torque, replace Equation (12) into Equation (14), and perform the Laplace transformation in order to obtain the transfer function of the drum angle to the electromagnetic torque of SRM:
4. Design of the SRM Control System
In this paper, the given speed signal of SRM is time-varying when completing the heave compensation task, and a control strategy of the raPID response and an automatic adjustment of control parameters is needed. Moreover, the electrical characteristics of SRM have a strong nonlinearity, while the classical control strategy is not applicable. Consequently, this paper introduces the compound control strategy of fuzzy control and BP neural network adaptive PID control. is the control output, denotes the PID control gain, represents the PID integral time constant and is the PID differential time constant. is the reference torque, is the actual torque and is the error between them. is reference speed, is the actual speed. is platform heave displacement, is load heave displacement. The structure diagram of the control system is shown in Figure 4.
Figure 4.
SRM control system diagram.
4.1. Design of Fuzzy Speed Controller
Heave compensation devices are mostly used on the ship for ocean resource acquisition and exploration. The volume of heave compensation devices should not be too large. Therefore, the size of the working motor is also limited. During the motor operation, the given potential transmitted from the heave displacement to the speed will continuously change in a large range.
The maximum output torque of the SRM is limited due to current limitation. Due to the strong nonlinear electrical characteristics of SRM, when the SRM is changing speed and being disturbed, the reluctance of the motor will change when the center line of the salient pole of the rotor and the salient pole of the stator is aligned or staggered. This is because of the symmetry characteristic of the double salient poles of the stator and rotor of the SRM, resulting in a large torque ripple caused by a series of pulse torque superposition which will affect the response speed of SRM. Therefore, in this paper, the control parameters are changed by fuzzy parameter adjustment to suppress the torque ripple and optimize the operation state of SRM. Compared with the traditional PID control, fuzzy control has strong advantages in terms of tracking signals with a large range of changes, based on an expert system. Therefore, according to the characteristics of large-scale variation of the motor speed in the heave compensation system, the fuzzy controller is used in the speed loop control, introduced as follows.
The fuzzy controller adjusts the control parameters based on the expert system, while the control system determines the change law of control quantity through membership degree. The input of the fuzzy system is generally two. The input error ( and the deviation of input error ) are calculated as follows: , . Their membership degree is computed as
where and are, respectively, the membership functions of and , calculated using the area center of gravity method.
Equation (18) denotes the output expression of fuzzy control, where is the conversion function from the fuzzy to real number. Equation (19) represents the reference torque calculation. The greatest advantage of fuzzy control is that it can subjectively set the change law of the controller, and the quantization factor can also be modified according to the experimental results, in order to achieve the optimal effect.
The fuzzy controller takes the error between the given speed and the actual speed of SRM and the change rate of the error as the input, and the reference torque as the output. Its structure is shown in Figure 5; the structure adopts the mode of double input and single output, where the input is the error E, the variation of the error EC, the output U, and the quantization factor α. The fuzzy rule table can be changed online by selecting different factors according to the requirements of system control.
Figure 5.
Fuzzy control flow.
According to the motor control principle, when the input speed is greater than the given speed, the expected torque decreases. On the contrary, the torque is expected to increase. Based on the definition of fuzzy control input and output control rules, the control rules are digitized and tabulated in Table 1.
Table 1.
Fuzzy control rule.
4.2. Design of BP Neural Network Adaptive PID Controller
One of the most challenging tasks in achieving PID controller stability is designing the three parameters of the controller, which have traditionally been adjusted by experiment and experience and have been extensively studied in the literature, but are mostly used for linear systems [18], and designing an optimal PID controller for nonlinear systems with complex multi-variable characteristics has always been a challenge. The reason is that the nonlinearity, strong coupling and uncertainty of complex multi-variable nonlinear systems make optimizing PID controller parameters difficult [19,20]. The author has solved H∞ control for nonlinear systems and achieved good results. However, if the PID controller adjusts the controller parameters through feedback, the H∞ control may not be accurately satisfied when the feedback gain cannot be guaranteed as small as possible. In practical application, it is complicated to design a PID controller which can solve the H∞ control problem and adapt to the characteristics of a nonlinear system.
In the control of a torque inner loop, because the electrical characteristics of SRM are nonlinear, and the given input in this application is also a time-varying signal, the traditional PID control using fixed PID parameters cannot lead to satisfactory results. The PID parameters are continuously adjusted during the operation of the system in order to make it converge towards the optimal control output. The performance of the whole SRM AHC can then be improved. A BP neural network adaptive PID control is used in the torque inner loop control in order to adjust the PID parameters in real time. The BP neural network has a three-layer structure, as shown in Figure 5. The output layer has four nodes corresponding to the system operation state. The hidden layer has six nodes, while the output layer is composed of three nodes, whose output corresponds to , and , which are the three PID adjustable parameters.
The input vector is given by , where is the reference torque, is the actual torque and is the error between them. The input and output of the hidden layer are expressed as follows:
where is the hidden layer input, is the hidden layer output, denotes the weight of the corresponding hidden layer node, represents the activation function and .
The input and output of the output layer are given by the following:
where is the input of the output layer, is the output of the output layer, [out] in the output vector is equal to , is equal to , is equal to , represents the weight of the output layer node and denotes the activation function of the output layer such that .
The performance index function is a quadratic function expressed as follows:
The steepest descent method is used to update the weight and search according to the negative gradient direction of the weight. The weight Equation (23) of the output layer and the weight Equation (24) of the hidden layer are then obtained:
where .
The PID parameters obtained by the BP neural network adaptive algorithm generate the control quantity using the incremental digital PID control law of Equation (25).
where is the control output, is the error between the actual torque and the given torque, denotes the PID control gain, represents the PID integral time constant and is the PID differential time constant.
5. Results
In this section, the model prediction trajectory algorithm and SRM AHC are simulated. For the model prediction trajectory algorithm, the compensation displacement change obtained in Section 2.2 is used as the input signal, while the predicted displacement change, velocity and error curve between the predicted value and the actual value are, respectively, shown. Practically, the prediction time is set according to the control period of the controller. In this section, in order to make the predicted value different from the input value, the predicted time is set to 0.1 s. The simulation of SRM AHC is used to evaluate the effect of different levels of waves, and to compare the compensation displacement curve with the actual displacement curve. It also shows the compensation error, SRM speed change and torque change curve.
5.1. Fuzzy Controller Performance
The simulation speed is set at 150 r/min and SRM’s rated power is 60 kw. The specific parameters of the motor are given in Table 2.
Table 2.
The specific parameters of the motor.
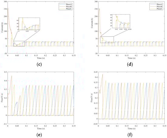
As show in Figure 6, due to the large error at startup, the input error E mostly affects the control; PID control has the fastest speed response, but the overshoot is large and the stable speed is slow. Fuzzy-PID control has the fastest speed rise and its performance is stable. The system’s dynamic and steady-state quality have substantially improved as a result of fuzzy algorithm optimization; it now has a fast response, minimal overshoot and high steady-state accuracy.
Figure 6.
Controller model for the BP neural network adaptive PID.
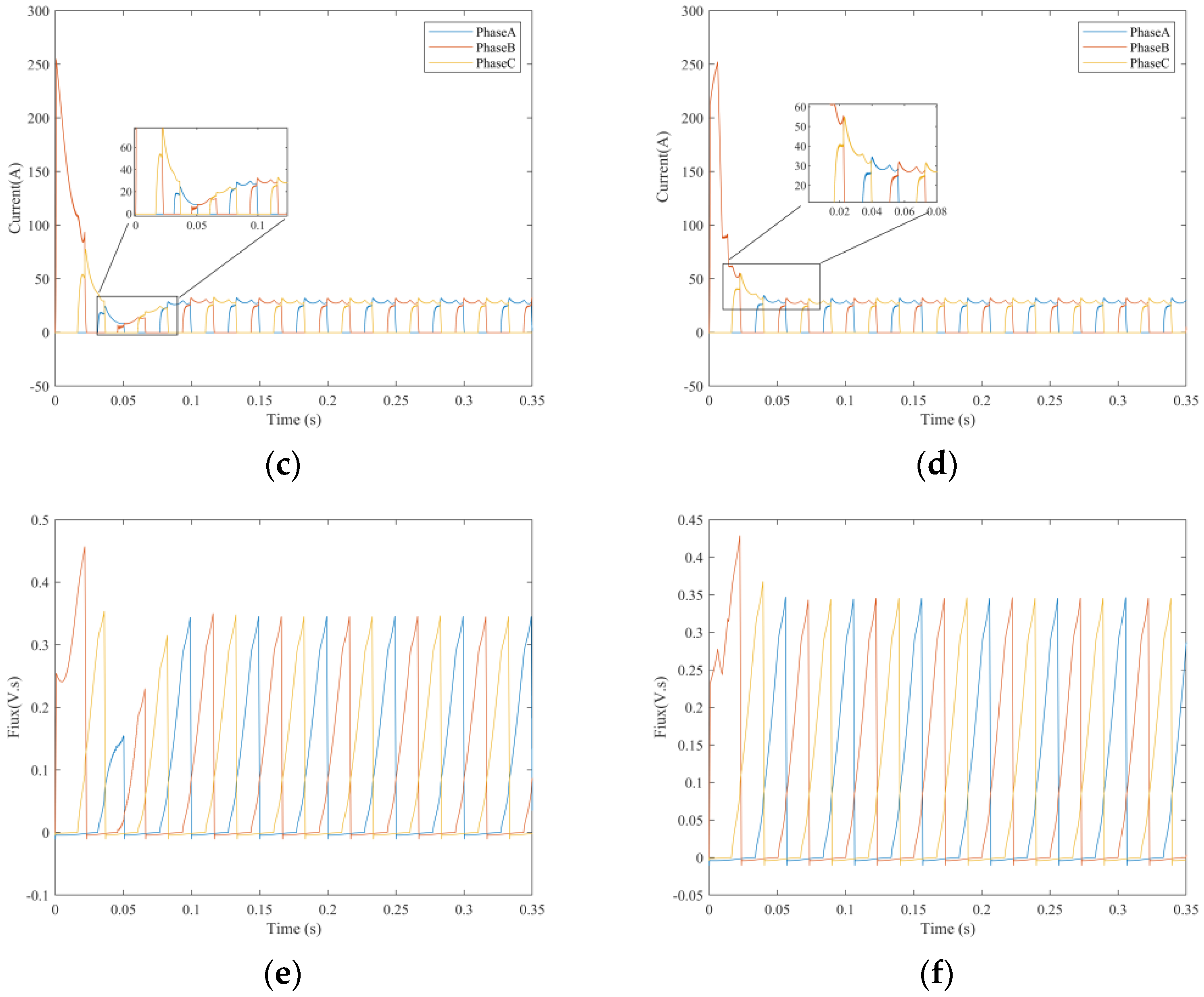
Figure 7 shows the curves of the speed, torque and current changes in the SRM system using Fuzzy-PID and PID control strategies under normal conditions. From Figure 7a, it can be seen that the rise times of Fuzzy-PID and PID are 0.08 and 0.15, respectively. In the steady state, the torque ripple is about 8.1% and 14% in Figure 7b. The PID produces serious torque ripple in the start-up stage of SRM. From the current change in Figure 7c. It can be seen that the SRM system using the PID control strategy in the start-up stage will enable the phase current to reach the rated value in multiple commutation cycles; the phase current is about 28% in the steady state. For the SRM system using the Fuzzy-PID control strategy in Figure 7d, the torque change in the start-up stage is more optimized than PID control strategies and the phase current is about 10% in the steady state. From the current change in Figure 7e. It can be seen that in the SRM system using the PID control strategy, the flux is about 30% in the steady state. For the SRM system using the Fuzzy-PID control strategy in Figure 7f, the flux change in the start-up stage is more optimized than the PID control strategies and the flux is about 18% in the steady state. According to the speed, torque, current and flux characteristics of SRM, the Fuzzy-PID is more reasonable and improves the working efficiency of the SRM system.

Figure 7.
Speed, torque, current and flux comparison of the Fuzzy-PID and PID controllers’ performance. (a) Speed. (b) Torque. (c) Current PID. (d) Current Fuzzy-PID. (e) Fiux PID. (f) Fiux Fuzzy-PID.
5.2. Results of the Model Prediction Trajectory
The model prediction trajectory algorithm predicts the change in the displacement trajectory in the control period, based on the displacement in the sampling period and the high-order derivative of the displacement trend. In this control strategy, the sampling period has a high multiple time relationship with the control period. If the fourth derivative needs to be calculated, the control period should be at least eight times the sampling period. Theoretically, the prediction accuracy is higher with the increase in the derivative order. However, it does not have a high cost performance due to the limitation of the control system.
Figure 8 shows the simulation results of the model prediction trajectory provided by the input signal of Equation (4). In Figure 8a, the red solid line is the actual displacement track, while the blue dotted line is the predicted track. It can be seen that the actual displacement trajectory is similar to the predicted trajectory height. According to the local enlarged graph, the difference between the two curves is only 0.1 s in phase, which is in line with the actual parameter design. It can be seen from the error curve in Figure 8b that when the model prediction trajectory algorithm is running, the error reaches the limit amplitude when there is no sampling information at the starting moment. With the increase in the simulation time, the error is reduced to the normal level. It can also be observed from the simulation results that the model prediction trajectory generator has the characteristics of fast prediction. It can predict the state parameters in the next time with a high precision, as long as the parameters are collected in a certain time.
Figure 8.
Simulation results of the model prediction trajectory. (a) Comparison between the model predicted trajectory and actual displacement trajectory. (b) Error curve.
5.3. Results of SRM AHC
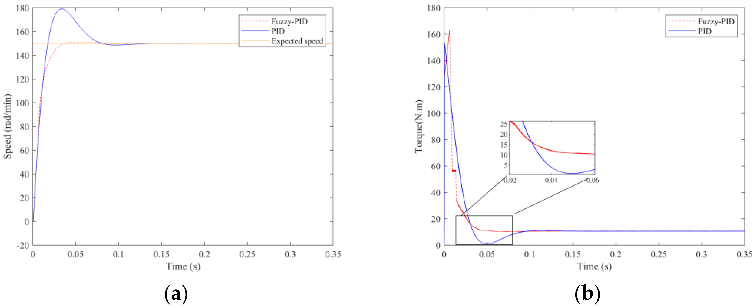
The SRM AHC system introduced in this paper is simulated in MATLAB/Simulink, and its feasibility is verified using different wave level parameters. The length of the umbilical cable is 1400 m, and the effective wave height is 1 m and 1.5 m, respectively, under the wave period of 5 s. In the simulation system, the ship heave motion signal uses the analog signal of Section 2.2. It uses the model of Section 2.3 for predicting the trajectory in order to generate early prediction and reduce the compensation error caused by time delay factors. In the simulation, level 3 waves and level 4 waves are set for feasibility verification.
Figure 9 and Figure 10 show the simulation results of SRM AHC under level 3 and level 4 waves, respectively. The curves in Figure 9a represent the actual heave compensation displacement, the SRM AHC displacement and the error. It can be seen that the compensation displacement curve of SRM AHC mainly coincides with the actual heave displacement change curve. In order to verify the heave compensation degree, is defined as the curve fitting degree coefficient, computed as follows:
where is the compensation displacement value, denotes the average value of compensation displacement, represents the actual displacement value and is the average of the actual displacement.
Figure 9.
Simulation results of SRM AHC under level 3 waves. (a) Comparison between actual required heave compensation displacement curve and SRM AHC displacement curve and error. (b) Speed change in SRM AHC. (c) Torque change in SRM AHC.
Figure 10.
Simulation results of SRM AHC under level 4 waves. (a) Comparison between actual required heave compensation displacement curve and SRM AHC displacement curve and error. (b) Speed change in SRM AHC. (c) Torque change in SRM AHC.
The judgment of fitting quality is performed through R. More precisely, when R approaches 100%, the fitting degree is better.
It can be seen from Figure 9a and Figure 10a that the fitting coefficients of the SRM AHC displacement curve and actual displacement curve reach 97.5% and 96.4%, respectively. Figure 9b and Figure 10b show the speed change in SRM AHC during heave compensation. It can be seen that the speed change is continuous, and the higher the wave level, the larger the speed change range. Therefore, in order to protect the motor from exceeding the rated speed, the proposed SRM AHC can only perform under the sea conditions of a certain level. Figure 9c and Figure 10c show the variation law of the electromagnetic torque of SRM during heave compensation. In the start-up phase of SRM AHC, in order to make the motor speed track the actual required speed, the start-up electromagnetic torque is very large. When the speed is tracked, the change law of the electromagnetic torque begins to be related to the derivative of the SRM speed change. The torque ripple in the small blue frame appears in the electromagnetic torque change diagram, because the SRM speed is exactly zero when heave compensation is carried out. However, the load torque and speed change rate are not zero. According to the torque balance formula during SRM operation in Equation (11), when the speed is zero, but the load torque and speed change rate are not zero, SRM needs to generate electromagnetic torque for torque balancing. Therefore, torque ripple is generated. When the speed change rate is greater, the peak value of torque ripple is greater, which verifies the reason of torque ripple. For SRM AHC, since the occurrence moment is the zero-speed moment of SRM, and the time of torque ripple is very short, the influence on SRM speed can be ignored. The heave displacement is the integral expression of SRM speed, which has no influence from the simulation results of speed change and compensation displacement change.
6. Conclusions
This paper proposes a SRM AHC system which uses the model prediction trajectory generation algorithm to generate the heave displacement trajectory of the next control cycle and to reduce the compensation error caused by the time-delay between the sensor and the actuator in the heave compensation process. Because heave compensation has a time-varying speed and a time-varying torque for the motor system, the control strategy of fuzzy and BP neural network adaptive PID control is used for SRM control. The strong robustness of the fuzzy control and the strong learning ability of the neural network can track the time-varying given signal. Finally, the system was simulated on MATLAB/Simulink in order to verify the efficiency and feasibility of the SRM AHC scheme. This paper provides methods for the marine work platform for the real-time control, time-varying speed and time-varying torque control of the motor-driven active heave compensation device, and the method helps to reduce torque ripple to ensure that the electromagnetic torque output of the SRM remains stable. In the future, we will consider the simulation of actual sea conditions, wind and wave interference to improve the control effect of the heave compensation system.
Author Contributions
J.C.: Writing—review and editing, methodology, formal analysis, funding acquisition; L.J.: software, original-draft writing, investigation; X.Z.: methodology; Investigation. All authors have read and agreed to the published version of the manuscript.
Funding
This research was funded by National Natural Science Foundation of China (Grant No. 52204210), Natural Science Foundation of Hunan Province, China (Grant No. 2023JJ30242), Open Research Fund Program of Key Laboratory of Metallogenic Prediction of Nonferrous Metals and Geological Environment Monitoring (Central South University), Ministry of Education (Grant No. 2022YSJS08) and Research Foundation of Education Bureau of Hunan Province, China (Grant No. 21B0452).
Data Availability Statement
The datasets used and/or analyzed during the current study available from the corresponding author on reasonable request.
Acknowledgments
The authors would like to express their gratitude to the referees for their valuable comments and suggestions in improving writing this paper.
Conflicts of Interest
The authors declare no conflicts of interest.
References
- Zhao, F.; Zhong, Y.; Fu, Z. Active and passive heave compensation system based on feedback linearization sliding mode variable structure control. Ocean Eng. 2024, 305, 117962. [Google Scholar] [CrossRef]
- Sun, X.; Feng, L.; Zhu, Z.; Lei, G.; Diao, K.; Guo, Y.; Zhu, J. Optimal design of terminal sliding mode controller for direct torque control of SRMs. IEEE Trans. Transp. Electrif. 2021, 8, 1445–1453. [Google Scholar] [CrossRef]
- Kudiyarasan, S.; Sthalasayanam, N.; Karunakaran, V. Minimization of torque pulsations by using a novel fuzzy controller in SRM drives for EV applications. Heliyon 2023, 9, 3. [Google Scholar] [CrossRef] [PubMed]
- Rajendran, A.; Karthik, B. Design and analysis of fuzzy and PI controllers for switched reluctance motor drive. Mater. Today Proc. 2021, 37, 1608–1612. [Google Scholar] [CrossRef]
- Jing, B.; Dang, X.; Liu, Z.; Long, S. Torque ripple suppression of switched reluctance motor based on fuzzy indirect instant torque control. IEEE Access 2022, 10, 75472–75481. [Google Scholar] [CrossRef]
- Murugan, L.S.; Maruthupandi, P. Sensorless speed control of 6/4-pole switched reluctance motor with ANFIS and fuzzy-PID-based hybrid observer. Electr. Eng. 2020, 102, 831–844. [Google Scholar] [CrossRef]
- Akar, O. Control Techniques of the Modified Stator and Rotor Pole Shape in a 6/4 Switched Reluctance Motor: Effects on Torque Ripple Minimization. In Electric Power Components and Systems; Taylor & Francis: Abingdon, UK, 2024; pp. 1–12. [Google Scholar] [CrossRef]
- Hao, Z.H.; Yapei, T.; Yuxiang, G.; Jun, T.; Tianci, H. PID Temperature Control Algorithm Based on Multiple Fuzzy Neural Networks. J. Xihua Univ. Nat. Sci. Ed. 2023, 42, 58–65. [Google Scholar] [CrossRef]
- Jiang, X.; Cheng, T. Design of a BP neural network PID controller for an air suspension system by considering the stiffness of rubber bellows. Alex. Eng. J. 2023, 74, 65–78. [Google Scholar] [CrossRef]
- Liu, J.; Li, X.; Zhang, X.; Chen, X. Modeling and Simulation of Energy-Regenerative Active Suspension Based on BP Neural Network PID Control. Shock Vib. 2019, 2019, 4609754. [Google Scholar] [CrossRef]
- Ma, Z.; Xu, X.; Xie, J.; Jiang, X.; Wang, F. Negative Stiffness Control of Quasi-Zero Stiffness Air Suspension via Data-Driven Approach with Adaptive Fuzzy Neural Network Method. Int. J. Fuzzy Syst. 2022, 24, 3715–3730. [Google Scholar] [CrossRef]
- Xie, T.; Huang, L.; Guo, Y.; Ou, Y. Modeling and simulation analysis of active heave compensation control system for electric-driven marine winch under excitation of irregular waves. Meas. Control 2023, 56, 1004–1015. [Google Scholar] [CrossRef]
- Xu, J.; Wang, Y.; Ma, J.; Zhan, Y. Cascade control of active heave compensation nonlinear system for marine crane. J. Mar. Sci. Eng. 2023, 11, 1092. [Google Scholar] [CrossRef]
- Woodacre, J.K.; Bauer, R.J.; Irani, R.A. A review of vertical motion heave compensation systems. Ocean Eng. 2015, 104, 140–154. [Google Scholar] [CrossRef]
- Apkarian, P.; Bompart, V.; Noll, D. Non-smooth structured control design with application to PID loop-shaping of a process. Int. J. Robust Nonlinear Control IFAC-Affil. J. 2007, 17, 1320–1342. [Google Scholar] [CrossRef]
- Apkarian, P.; Noll, D. The H∞ control problem is solved. Aerosp. Lab 2017, 13, 1–11. [Google Scholar] [CrossRef]
- Zhao, Y.; Li, C.; Deng, Y. Modeling and simulation analysis on the control system of marine shipborne electric driven winch. Comput. Simul. 2016, 33, 244–249. [Google Scholar]
- Zhao, C.; Guo, L. PID controller design for second order nonlinear uncertain systems. Sci. China Inf. Sci. 2017, 60, 022201. [Google Scholar] [CrossRef]
- Zeng, G.Q.; Xie, X.Q.; Chen, M.R.; Weng, J. Adaptive population extremal optimization-based PID neural network for multivariable nonlinear control systems. Swarm Evol. Comput. 2019, 44, 320–334. [Google Scholar] [CrossRef]
- Ma, X.; Zhou, J.; Zhang, X.; Zhou, Q. Development of a robotic catheter manipulation system based on BP neural network PID controller. Appl. Bionics Biomech. 2020, 2020, 8870106. [Google Scholar] [CrossRef]
Disclaimer/Publisher’s Note: The statements, opinions and data contained in all publications are solely those of the individual author(s) and contributor(s) and not of MDPI and/or the editor(s). MDPI and/or the editor(s) disclaim responsibility for any injury to people or property resulting from any ideas, methods, instructions or products referred to in the content. |
© 2024 by the authors. Licensee MDPI, Basel, Switzerland. This article is an open access article distributed under the terms and conditions of the Creative Commons Attribution (CC BY) license (https://creativecommons.org/licenses/by/4.0/).