Illustration of Convective Boundary Conditions on the Darcy–Forchheimer Flow of Nanofluid with the Impact of Chemical Reaction
Abstract
:1. Introduction
2. Formulation of the Model
3. Discussion on the Present Outcomes
3.1. Streamlines (Flow Pattern)
3.2. Effect of Magnetic Parameter
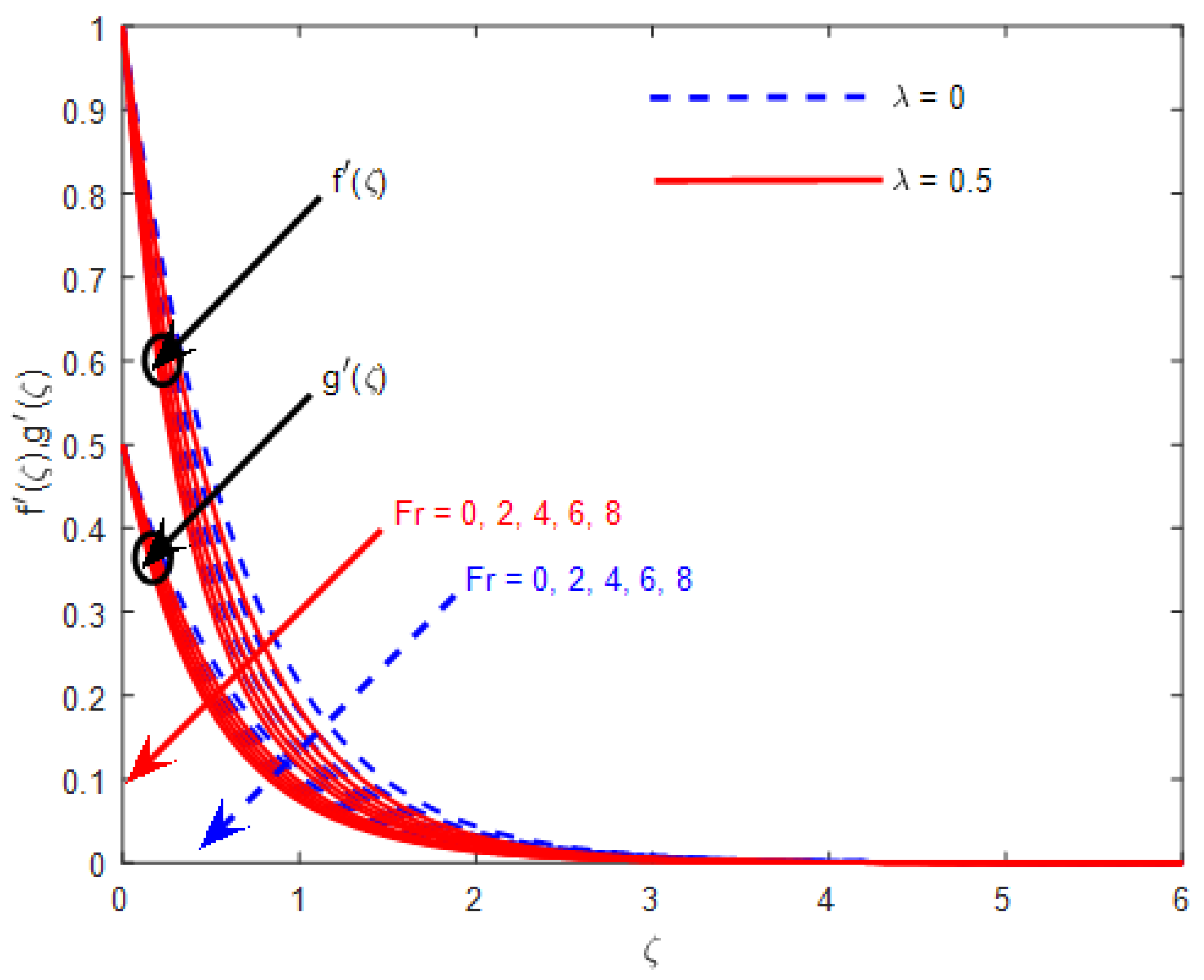
3.3. Effect of Inertial Drag
3.4. Effect of Velocity Ratio
3.5. Effect of Brownian and Thermophoresis
3.6. Effect of Heat Source/Sink
3.7. Effect of Lewis Number and Chemical Reaction
4. Conclusions
- Thorough examination reveals a strong alignment between the present numerical findings and those of a prior investigation, indicating a notable correlation. Furthermore, it affirms the adherence of the current methodology to the convergence criteria. This analysis paves the way for future advancements in research along this trajectory.
- The streamlines for the proposed stream function shows the flow pattern of the fluid particles within the domain for the variation of the kinematic viscosity and stream values. The increasing values show a greater sharpness away from the stagnation point.
- Magnetized fluid for the interaction of the resistive forces such as the electromagnetic field and the porous matrix resists the fluid axial and transverse velocity whereas the enhancement is quite adequate in the fluid temperature, and the concentration is exhibited.
- The enhanced Brownian motion controls the fluid concentration for the absence/presence of permeability but the thermophoresis parameter encourages it.
- The heavier species representing the Lewis number along with the reacting agents favorable for diminishing the fluid concentration at all points within the domain.
Author Contributions
Funding
Data Availability Statement
Acknowledgments
Conflicts of Interest
Nomenclature
| Roman | |
| Momentum components along coordinate axes | |
| Plate velocity [M/S] | |
| Suction velocity [M/S] | |
| Fluid temperature [K] | |
| Plate temperature [K] | |
| Ambient temperature attained [K] | |
| Ambient concentration | |
| Magnetic strength | |
| , | Heat transport coefficient |
| Amount of drag | |
| Brownian diffusion () | |
| Thermophoretic diffusion () | |
| Drag coefficient | |
| Permeability () | |
| Thermal conductivity | |
| M | Magnetic parameter |
| Fr | Darcy–Forchheimer parameter |
| Kc | Reactive species |
| Le | Lewis number |
| Prandtl number | |
| Sc | Schmidt number |
| Nt | Thermophoresis parameter |
| Nb | Brownian motion |
| S | Heat source/sink |
| Dimensionless stream function | |
| Greek symbols | |
| Stream function | |
| Kinematic viscosity () | |
| µ | Dynamic viscosity () |
| Thermal diffusivity () | |
| Porosity parameter | |
| Biot Number | |
| Heat capacity ratio | |
| Fluid density () | |
| Heat capacity of the solid particle | |
| Heat capacity of the fluid | |
| Particle density [kg/m3] | |
| Subscripts | |
| Sheet condition |
References
- Choi, S.U.S.; Eastman, J.A. Enhancing Thermal Conductivity of Fluids with Nanoparticles. In Proceedings of the 1995 International Mechanical Engineering Congress and Exhibition, San Francisco, CA, USA, 12–17 November 1995; pp. 99–105. [Google Scholar]
- Choi, S.U.S.; Zhang, Z.G.; Yu, W.; Lockwood, F.E.; Grulke, E.A. Anomalous thermal conductivity enhancement in nanotube suspensions. Appl. Phys. Lett. 2001, 79, 2252–2254. [Google Scholar] [CrossRef]
- Eastman, J.A.; Choi, U.S.; Li, S.; Thompson, L.J.; Lee, S. Enhanced Thermal Conductivity through the Development of Nanofluids. In Proceedings of the 996 Fall meeting of the Materials Research Society (MRS), Boston, MA, USA, 2–6 December 1996; Volume 457, pp. 3–11. [Google Scholar] [CrossRef]
- Wang, X.-Q.; Mujumdar, A.S. Heat transfer characteristics of nanofluids: A review. Int. J. Therm. Sci. 2007, 46, 1–19. [Google Scholar] [CrossRef]
- Eastman, J.; Phillpot, S.; Choi, S.; Keblinski, P. Thermal transport in nanofluids. Annu. Rev. Mater. Res. 2004, 34, 219–246. [Google Scholar] [CrossRef]
- Kakac, S.; Pramuanjaroenki, A. Review of convective heat transfer enhancement with nanofluids. Int. J. Heat Mass Transf. 2009, 52, 3187–3196. [Google Scholar] [CrossRef]
- Wang, C.Y. Fluid flow due to a stretching cylinder. Phys. Fluids 1988, 31, 466–468. [Google Scholar] [CrossRef]
- Fang, T.; Yao, S. Viscous Swirling Flow over a Stretching Cylinder. Chin. Phys. Lett. 2011, 28, 114702. [Google Scholar] [CrossRef]
- Chandini Pattanaik, P.; Mishra, S.R.; Jena, S.; Pattnaik, P.K. Impact of radiative and dissipative heat on the Williamson nanofluid flow within a parallel channel due to thermal buoyancy. J. Nanomater. Nanoeng. Nanosyst. 2022, 236, 3–18. [Google Scholar]
- Naseer, M.; Malik, M.Y.; Nadeem, S.; Rehman, A. The boundary layer flow of hyperbolic tangent fluid over a vertical exponentially stretching cylinder. Alex. Eng. J. 2014, 53, 747–750. [Google Scholar] [CrossRef]
- Majeed, A.; Javed, T.; Ghaffari, A.; Rashdi, M.M. Analysis of heat transfer due to stretching cylinder with partial slip and pre-scribed heat flux. Alex. Eng. J. 2015, 54, 1029–1036. [Google Scholar] [CrossRef]
- Shojaei, A.; Amiri, A.J.; Ardahaie, S.S.; Hosseinzadeh, K.; Ganji, D. Hydrothermal analysis of Non-Newtonian second grade fluid flow on radiative stretching cylinder with Soret and Dufour effects. Case Stud. Therm. Eng. 2018, 13, 100384. [Google Scholar] [CrossRef]
- Zhou, W.N.; Yan, Y.Y. Numerical Investigation of the Effects of a Magnetic Field on Nanofluid Flow and Heat Transfer by the Lattice Boltzmann Method. Numer. Heat Transf. Part A Appl. 2015, 68, 1–16. [Google Scholar] [CrossRef]
- Ashorynejad, H.R.; Sheikholeslami, M.; Pop, I.; Ganji, D.D. Nanofluid flow and heat transfer due to a stretching cylinder in the presence of magnetic field. Heat Mass Transf. 2013, 49, 427–436. [Google Scholar] [CrossRef]
- Mukhopadhyay, S.; Ishak, A. Mixed Convection Flow along a Stretching Cylinder in a Thermally Stratified Medium. J. Appl. Math. 2012, 2012, 491695. [Google Scholar] [CrossRef]
- Tlili, I. Effects MHD and Heat Generation on Mixed Convection Flow of Jeffrey Fluid in Microgravity Environment over an Inclined Stretching Sheet. Symmetry 2019, 11, 438. [Google Scholar] [CrossRef]
- Javaherdeh, K.; Nejad, M.M.; Moslemi, M. Natural convection heat and mass transfer in MHD fluid flow past a moving vertical plate with variable surface temperature and concentration in a porous medium. Eng. Sci. Technol. Int. J. 2015, 18, 423–431. [Google Scholar] [CrossRef]
- Raju, C.; Sandeep, N.; Saleem, S. Effects of induced magnetic field and homogeneous–heterogeneous reactions on stagnation flow of a Casson fluid. Eng. Sci. Technol. Int. J. 2016, 19, 875–887. [Google Scholar] [CrossRef]
- Sheikholeslami, M. Numerical investigation for CuO-H2O nanofluid flow in a porous channel with magnetic field using mesoscopic method. J. Mol. Liq. 2018, 249, 739–746. [Google Scholar] [CrossRef]
- Sheikholeslami, M. Numerical simulation of magnetic nanofluid natural convection in porous media. Phys. Lett. A 2017, 381, 494–503. [Google Scholar] [CrossRef]
- Wakif, A.; Boulahia, Z.; Mishra, S.R.; Rashidi, M.M.; Sehaqui, R. Influence of a uniform transverse magnetic field on the thermo-hydrodynamic stability in water-based nanofluids with metallic nanoparticles using the generalized Buongiorno’s mathematical model. Eur. Phys. J. Plus 2018, 133, 181. [Google Scholar] [CrossRef]
- Bhatti, M.M.; Mishra, S.R.; Abbas, T.; Rashidi, M.M. A mathematical model of MHD nanofluid flow having gyrotactic microorganisms with thermal radiation and chemical reaction effects. Neural Comput. Appl. 2016, 30, 1237–1249. [Google Scholar] [CrossRef]
- Siddiqui, A.; Azim, Q. Creeping flow of a viscous fluid in a uniformly porous slit with porous medium: An application to the diseased renal tubules. Chin. J. Phys. 2020, 64, 264–277. [Google Scholar] [CrossRef]
- Hayat, T.; Aziz, A.; Muhammad, T.; Alsaedi, A. Darcy–Forchheimer Three-Dimensional Flow of Williamson Nanofluid over a Convectively Heated Nonlinear Stretching Surface. Commun. Theor. Phys. 2017, 68, 387. [Google Scholar] [CrossRef]
- Muhammad, T.; Alsaedi, A.; Hayat, T.; Shehzad, S.A. A revised model for Darcy-Forchheimer three-dimensional flow of nanofluid subject to convective boundary condition. Results Phys. 2017, 7, 2791–2797. [Google Scholar] [CrossRef]
- Acharya, S.; Nayak, B.; Mishra, S.R.; Jena, S. Adomian decomposition method for the MHD flow of a viscous fluid with the influence of dissipative heat energy. Heat Transf. 2020, 49, 4612–4625. [Google Scholar] [CrossRef]
- Pattnaik, P.K.; Mishra, S.; Jena, S. Dissipative heat for the Casson fluid flow past an expanding cylindrical surface. Heat Transf. 2022, 51, 2476–2487. [Google Scholar] [CrossRef]
- Jena, S.; Mishra, S.R.; Aghaeiboorkheili, M.; Pattnaik, P.K.; Muduli, K. Impact of Newtonian heating on the conducting Casson fluid flow past a stretching cylinder. J. Interdiscip. Math. 2022, 25, 2401–2416. [Google Scholar] [CrossRef]
- Hayat, T.; Haider, F.; Muhammad, T.; Alsaedi, A. Three-dimensional rotating flow of carbon nanotubes with Darcy-Forchheimer porous medium. PLoS ONE 2017, 7, e0179576. [Google Scholar] [CrossRef]
- Ramesh, G.K. Darcy-Forchheimer flow of Casson nanofluid with heat source/sink: A three dimensional study. In Heat and Mass Transfer: Advances in Modelling and Experimental Study for Industrial Applications; IntechOpen: London, UK, 2018; pp. 43–88. [Google Scholar]
- Muskat, M. The Flow of Homogeneous Fluids Through Porous Media. Soil Sci. 1938, 46, 169. [Google Scholar] [CrossRef]
- Li, Y.-X.; Muhammad, T.; Bilal, M.; Khan, M.A.; Ahmadian, A.; Pansera, B.A. Fractional simulation for Darcy-Forchheimer hybrid nanoliquid flow with partial slip over a spinning disk. Alex. Eng. J. 2021, 60, 4787–4796. [Google Scholar] [CrossRef]
- Rasool, G.; Shafiq, A.; Alqarni, M.S.; Wakif, A.; Khan, I.; Bhutta, M.S. Numerical Scrutinization of Darcy-Forchheimer Relation in Convective Magnetohydrodynamic Nanofluid Flow Bounded by Nonlinear Stretching Surface in the Perspective of Heat and Mass Transfer. Micromachines 2021, 12, 374. [Google Scholar] [CrossRef]
- Nayak, M.K.; Mabood, F.; Tlili, I.; Dogonchi, A.S.; Khan, W.A. Entropy optimization analysis on nonlinear thermal radiative electromagnetic Darcy–Forchheimer flow of SWCNT/MWCNT nanomaterials. Appl. Nanosci. 2021, 11, 399–418. [Google Scholar] [CrossRef]
- Atashafrooz, M.; Sajjadi, H.; Delouei, A.A. Simulation of combined convective-radiative heat transfer of hybrid nanofluid flow inside an open trapezoidal enclosure considering the magnetic force impacts. J. Magn. Magn. Mater. 2023, 567, 170354. [Google Scholar] [CrossRef]
- Atashafrooz, M.; Sajjadi, H.; Delouei, A.A. Interacting influences of Lorentz force and bleeding on the hydrothermal behaviors of nanofluid flow in a trapezoidal recess with the second law of thermodynamics analysis. Int. Commun. Heat Mass Transf. 2019, 110, 104411. [Google Scholar] [CrossRef]
- Lou, Q.; Ali, B.; Rehman, S.U.; Habib, D.; Abdal, S.; Shah, N.A.; Chung, J.D. Micropolar Dusty Fluid: Coriolis Force Effects on Dynamics of MHD Rotating Fluid When Lorentz Force Is Significant. Mathematics 2022, 10, 2630. [Google Scholar] [CrossRef]
- Sowmya, G.; Gireesha, B.J.; Animasaun, I.L.; Shah, N.A. Significance of buoyancy and Lorentz forces on water-conveying iron(III) oxide and silver nanoparticles in a rectangular cavity mounted with two heated fins: Heat transfer analysis. J. Therm. Anal. Calorim. 2021, 144, 2369–2384. [Google Scholar] [CrossRef]
















| Muhammad et al. [25] | Present | %Error | Muhammad et al. [25] | Present | %Error | |||
|---|---|---|---|---|---|---|---|---|
| 0 | 0.1 | 0.2 | −1.06945 | −1.069721153 | 0.02535 | −1.67684 | −1.6783698 | 0.0912 |
| 0.1 | −1.11471 | −1.114869506 | 0.01430 | −1.81669 | −1.8175236 | 0.0458 | ||
| 0.2 | −1.1583 | −1.158393095 | 0.00803 | −1.94722 | −1.9476868 | 0.0239 | ||
| 0 | −1.13041 | −1.130505087 | 0.00841 | −1.93414 | −1.934598 | 0.0236 | ||
| 0.1 | −1.1583 | −1.158393095 | 0.00803 | −1.94722 | −1.9476868 | 0.0239 | ||
| 0.2 | −1.18561 | −1.18570202 | 0.00776 | −1.96037 | −1.9608405 | 0.0240 | ||
| 0.1 | 0.1 | −1.1416 | −1.14171863 | 0.01039 | −2.54234 | −2.5433014 | 0.0378 | |
| 0.3 | −1.17449 | −1.174565295 | 0.00641 | −1.70234 | −1.7026137 | 0.0160 | ||
| 0.5 | −1.20563 | −1.205688659 | 0.00486 | −1.47621 | −1.4763267 | 0.0079 |
Disclaimer/Publisher’s Note: The statements, opinions and data contained in all publications are solely those of the individual author(s) and contributor(s) and not of MDPI and/or the editor(s). MDPI and/or the editor(s) disclaim responsibility for any injury to people or property resulting from any ideas, methods, instructions or products referred to in the content. |
© 2023 by the authors. Licensee MDPI, Basel, Switzerland. This article is an open access article distributed under the terms and conditions of the Creative Commons Attribution (CC BY) license (https://creativecommons.org/licenses/by/4.0/).
Share and Cite
Pattanaik, P.C.; Jena, S.; Mishra, S.R.; Alshehri, M.; Shah, N.A. Illustration of Convective Boundary Conditions on the Darcy–Forchheimer Flow of Nanofluid with the Impact of Chemical Reaction. Symmetry 2023, 15, 1728. https://doi.org/10.3390/sym15091728
Pattanaik PC, Jena S, Mishra SR, Alshehri M, Shah NA. Illustration of Convective Boundary Conditions on the Darcy–Forchheimer Flow of Nanofluid with the Impact of Chemical Reaction. Symmetry. 2023; 15(9):1728. https://doi.org/10.3390/sym15091728
Chicago/Turabian StylePattanaik, Priyashree Chandini, Swarnalata Jena, Satya Ranjan Mishra, Mansoor Alshehri, and Nehad Ali Shah. 2023. "Illustration of Convective Boundary Conditions on the Darcy–Forchheimer Flow of Nanofluid with the Impact of Chemical Reaction" Symmetry 15, no. 9: 1728. https://doi.org/10.3390/sym15091728
APA StylePattanaik, P. C., Jena, S., Mishra, S. R., Alshehri, M., & Shah, N. A. (2023). Illustration of Convective Boundary Conditions on the Darcy–Forchheimer Flow of Nanofluid with the Impact of Chemical Reaction. Symmetry, 15(9), 1728. https://doi.org/10.3390/sym15091728

