Next Article in Journal
Geraghty–Pata–Suzuki-Type Proximal Contractions and Related Coincidence Best Proximity Point Results
Previous Article in Journal
Symmetric Enhancement of Visual Clarity through a Multi-Scale Dilated Residual Recurrent Network Approach for Image Deraining
 
 
Font Type:
Arial Georgia Verdana
Font Size:
Aa Aa Aa
Line Spacing:
Column Width:
Background:
Article

A Decision-Making Method for Design Schemes Based on Intuitionistic Fuzzy Sets and Prospect Theory

1
School of Mechanical and Precision Instrument Engineering, Xi’an University of Technology, Xi’an 710048, China
2
Shaanxi Modern Equipment Green Manufacturing Collaborative Innovation Center, Xi’an University of Technology, Xi’an 710048, China
*
Author to whom correspondence should be addressed.
Symmetry 2023, 15(8), 1570; https://doi.org/10.3390/sym15081570
Submission received: 10 July 2023 / Revised: 9 August 2023 / Accepted: 10 August 2023 / Published: 11 August 2023
(This article belongs to the Section Engineering and Materials)

Abstract

Conceptual design is a key link in the process of complex product design, and it is very important to select the appropriate design scheme; however, there are many types and inaccuracies of the evaluation data, and there is a problem of mutual influence between the evaluation criteria, which leads to unreliable decision making of the optimal solution. In order to solve this problem, a decision-making method based on intuitionistic fuzzy sets (IFS) and prospect theory is proposed. This method can be used for symmetric and asymmetric evaluation data. The evaluation data are classified according to different expression types and unified using intuitionistic fuzzy numbers. The intuitionistic fuzzy prospect value of decision information is calculated using prospect theory, and the prospect transformation of decision information is completed. At the same time, the Gray Relational Analysis (GRA) method and the Criteria Importance Though Intercriteria Correlation (CRITIC) method are used to calculate the subjective and objective weights of the technical and economic evaluation indexes of the product, and the combination weights are given; then, based on the evidence theory, the basic probability distribution of the evidence chain of all conceptual design schemes is synthesized, and the comprehensive prospect evaluation results of the schemes are obtained to complete the optimization of the conceptual design schemes. Finally, the effectiveness of the proposed method is verified by the conceptual design of the chip removal system of the deep hole machining machine tool. This work provides a promising method for decision makers to optimize the design scheme and provides insights into multi-objective decision-making problems.

1. Introduction

Complex products have the characteristics of the coupling of system elements, large structural compositions, and a large number of parts. Conceptual design is very creative work that is a mapping process from the abstract to the concrete, so as to realize the decision making from user demands to the product’s optimal scheme [1]. The existing conceptual design of complex products focuses on the exploration of design model construction, design solution, design scheme evaluation, and decision making [2]. Conceptual design is a key link in the design process, and some defects generated in this link are difficult or even impossible to compensate for in the next complex product life cycle [3]; therefore, it is of great significance to study the design scheme decision for the conceptual design process of complex products.
Conceptual design scheme decisions are considered a typical multi-criteria decision-making (MCDM) problem [4]. Many methods have been proposed to solve this problem; however, in the conceptual design stage of a complex product, the structural size has not yet been determined, and the technical eigenvalues of most attribute indicators and schemes cannot be quantitatively analyzed [5]. The decision making of conceptual design schemes depends on the background and subjective experiences of experts, which leads to ambiguity in the decision-making environment [6]. Therefore, the scheme for decisions faces two problems:
(1)
Assessing data uncertainty: Attributed evaluation parameters often contain inaccurate, incomplete, or even completely unknown data, and it is difficult to express the complexity of the decision environment without accurate data [7]; in addition, it is difficult for experts to evaluate design schemes with uncertain values. Researchers use the Technique for Order Preference by Similarity to an Ideal Solution (TOPSIS) [6], GRA, VIKOR [8], and other methods to calculate the comprehensive evaluation value of the scheme to determine the optimal scheme; however, these methods cannot evaluate the conflicting relationships between evaluation criteria. The traditional method transforms linguistic terms into fuzzy numbers [9] or rough numbers [10] to deal with uncertainty. In addition, in the actual decision-making process, decision makers often show psychological characteristics of bounded rationality (such as reference dependence, different risk preferences for losses and gains, etc.), which affect the real choices of decision makers [11];
(2)
Evaluation criteria influence each other: There is an interaction between different types of evaluation criteria in discrete evaluation data [12]. Researchers use methods such as the Analytic Hierarchy Process (AHP), the Analytic Network Process (ANP), etc., by constructing a judgment matrix to deal with the degree of influence between different evaluation criteria but these methods are easily affected by the demand preferences of decision makers [13]. The expected balance of technical and economic indicators can improve the feasibility of the design [14]. In addition, for the information fusion of the quantitative economic indicators and qualitative technical indicators, a more effective method is to regard both as evidence for judgment and reasoning.
Therefore, in the process of conceptual design scheme decision-making, it is necessary to weigh the interaction between economic and technical indicators in uncertain multi-type evaluation data to obtain the optimal design scheme. In the actual product design process, there is no design scheme with the highest satisfaction and the lowest cost, and only a relatively better scheme can be selected. Therefore, in order to make better use of the ideas of decision makers in the evaluation of conceptual design schemes, this paper proposes a new decision-making method. Differing from previous multi-objective transformation decision-making methods, our proposed method mainly contributes to the following three areas: (1) Considering the evaluation data of three different expressions of the precise value, interval number, and natural language, and calculating the intuitionistic fuzzy prospect value. This not only improves the types of evaluation information but also standardizes and transforms the information; (2) When determining the comprehensive weight, the subjective and objective weights of the technical and economic indicators are considered, and the GRA and CRITIC methods are used to achieve the balance of comprehensive weights. By using the evidence theory, the basic probability distribution of the evidence chain of the design scheme is completed, the mutual influence degree of the evaluation criteria is reduced, and the comprehensive prospect evaluation result of the scheme is obtained.
A deep-hole CNC machine tool is a typical complex electromechanical product. It uses a specific deep-hole machining system to drill, bore, or grind holes, with a length and diameter ratio greater than 5. It is widely used in automobile manufacturing, medical equipment, textile machinery, aerospace, and other equipment manufacturing fields. In this paper, the proposed decision-making method is applied to the evaluation and optimization of the conceptual design scheme of deep-hole machining tools.
The remainder of this paper is organized as follows: Section 2 describes the literature review and introduces the motivation and uniqueness of this study; Section 3 introduces the proposed conceptual design scheme evaluation method; Section 4 introduces a case study of machine tool design scheme evaluation and compares the proposed method with other methods; Section 5 draws conclusions and introduces future research work.

2. The Literature Review

In this section, we will review the decision-making method of a complex product’s conceptual design scheme, the analysis method of evaluation data, and the method of determining the weights of decision criteria.

2.1. Conceptual Design Scheme Decision Method

The decisions of conceptual design schemes play an important role in complex product innovation designs and improvement designs. Conceptual design decision-making involves many factors such as user needs, product technical standards, and enterprise resource allocation, which belong to MCDM problems [15].
In recent years, researchers have proposed a variety of solutions for MCDM problems, which are widely used in a variety of scenarios that require decision-making. Many studies are mainly divided into the following two categories: (1) Evaluation data. Ma et al. constructed a fuzzy logic model based on the TOPSIS method to deal with multiple conflicting attributes in project portfolio selection [6]. Govindan et al. investigated 600 + papers using ELECTRE to solve the MCDM problems for researchers’ reference [16]. Song et al. used the AHP and TOPSIS methods to make decisions on subjective and fuzzy evaluations [17]. Feng et al. proposed an MCDM model for product optimization and environmental protection based on reliability by combining the ANP and VIKOR methods based on the Decision-making Trial and Evaluation Laboratory (DEMATEL) [18]; (2) Design criteria. Nguyen et al. used the Fuzzy Analytic Hierarchy Process (FANP) to deal with the inaccurate, fuzzy, and uncertain information of expert judgment and modeled the interaction, feedback relationship, and interdependence between attributes to determine the weights of the attributes [19]. Tiwari et al. expressed the importance level of design criteria in the form of rough numbers, and highly subjective customer preferences for design specifications are incorporated into the framework of the extended VIKOR method of interval numbers to help designers make good decisions in uncertain environments [10]. Tian et al. used the AHP method to determine the weight of the hierarchical index structure of indoor environmental characteristics and applied GRA-TOPSIS to obtain the best choice of green decorative materials [20]. Ferreira et al. use the Levenberg–Marquardt algorithm to update the weight matrix, abstract the network complexity, and provide support for the decision-making of non-expert users [21].
Although these studies have made significant progress and many integration methods have been well developed, independent assumptions and data inconsistencies are inevitable; therefore, diversified decision-making problems and standards put forward higher requirements for the existing conceptual design scheme decision-making model. The effective analysis of evaluation data and the reasonable weighting of design criteria in the decision-making process are two issues that need to be paid attention to.

2.2. Analysis of Evaluation Data

Due to the complexity and uncertainty of the conceptual design decision problem, the traditional method is not suitable for establishing an accurate mechanism model, and it is necessary to analyze and make decisions based on known data. Due to the potential of fuzzy-based methods in dealing with the inaccuracy of human judgment [22], most methods for solving MCDM problems add fuzzy concepts to traditional methods [23]. A large amount of the literature has combined fuzzy set theory with practical MCDM problems. Chou et al. used the criteria of the universal design (UD) principle to construct the evaluation hierarchy and the linguistic variables related to the fuzzy weighted-average technique to summarize the preference information and sort the alternatives [24]. Wu improved and applied the intuitionistic fuzzy set to provide a clear expression for the hesitation of experts and provide ideas for the location decision of energy projects [25]. Islam combined intuitionistic fuzzy sets to determine the weight of decision makers, fuzzy AHP, and fuzzy TOPSIS to rank suppliers [26]. The fuzzy number of fuzzy sets collects the original data from the decision maker, which can reflect the fuzziness in the decision-making process. These research results show that in the subjective environment, data analysis based on fuzzy numbers is an effective method for decision makers to participate in evaluation; however, when some numerical cases are used to verify the feasibility of the method, some deficiencies will be exposed, and the reliability of the case results is still not satisfied.
Prospect theory considers the psychological and behavioral characteristics of decision makers in an uncertain environment, and believes that decision makers do not pursue the goal of maximizing utility in the decision-making process but choose the decision-making plan with the most satisfactory comprehensive value [12]. Prospect theory, based on the bounded rationality hypothesis, has attracted more and more attention because of its advantages being in line with the thinking habits of decision makers. Chai proposed a decision-making method based on the combination of IFS, interval-valued fuzzy sets, and cumulative prospect theory to select the most sustainable supplier [27]. Among them, the combination of prospect theory and fuzzy numbers has been proven to be feasible in decision-making problems. Therefore, this paper considers the bounded rationality of decision makers, introduces the prospect theory, combines the evaluation data represented by intuitionistic fuzzy numbers, and uses Intuitionistic Fuzzy Prospect theory (IFP) as the basic decision-making framework of the conceptual design scheme.

2.3. Weighting of Design Criteria

In the decision-making of the multi-attributed conceptual design scheme, the rationality of design criterion weights directly affects the accuracy of decision making. Subjective evaluation can simply and intuitively reflect the evaluator’s cognition and preference but different evaluation groups will produce inconsistent evaluation results. An objective evaluation is based on experimental data and mathematical theory, and there will be deviations between the evaluation results and the actual situation. Therefore, a combination weighting method is needed to balance the subjective and objective weights in the evaluation process.
The AHP, ANP, CRITIC, GRA, and entropy weight method (EWM) are classical weighting methods. Yang et al. obtained the combined weight by the subjective weight calculated using the improved FAHP and the objective weight obtained using the CRITIC method. It not only reflects the experience of decision makers but also reflects the information in the index data [28]. Li et al. developed a data envelopment analysis (DEA) and game cross-efficiency method to calculate the Shapley value for competing decision-making units, and the corresponding optimization of the relevant public weights to determine the final allocation plan [29]. For a multidisciplinary product design project, Chen et al. used the Nash equilibrium to construct a compromise negotiation model, comprehensively coordinated the individual strategy of the discipline and the overall strategy of the system, and sought a design solution that maximized overall satisfaction [30]. Ayağ et al. provide a solution for energy assessment decision-making with subjective data and fuzzy information by combining the FAHP and GRA [31]. Tellez et al. normalized and weighted the decision matrix using the CRITIC method to find the best position according to the minimum criterion [32]. The application of the above weighting method in the decision-making process is mainly to weigh the multi-objective conflict of product design, so as to form a stable decision-making result [33].
The selection of the optimal product design scheme needs to consider the conflict between the technical and economic objectives of the design criteria. The evaluation criterion of a conceptual design scheme is essentially a trade-off between the product’s technical requirements and economic objectives. On the one hand, the weight of the technical evaluation index is obtained from the subjective experience of decision makers. On the other hand, the weight of the economic evaluation index is obtained from objective facts such as time, cost, and benefit. There is a competitive relationship between the two types of evaluation objectives, and each evaluation criterion needs to be coordinated with each other [34]. Dempster–Shafer theory (D–S) is widely used in decision-level information fusion and intelligent manufacturing research due to its ability to deal with uncertain information [35,36]; therefore, in the basic decision-making framework of IFP, this paper uses the subjective and objective combination of the GRA and CRITIC methods to balance the technical and economic evaluation indicators and maintain the balance between the two. The evidence reasoning is used to fuse the subjective and objective combination weighting decision information to evaluate and sort the schemes, so as to improve the rationality of the prospect decision.
In general, experienced decision makers provide important judgments in the evaluation of conceptual design schemes, such as understanding product design, determination of assembly standards, and analysis of product prospects. The purpose of this study is to help designers choose more reasonable design concepts by exploring the criteria for decision makers.

3. Evaluation Method of the Conceptual Design Scheme

3.1. Study Framework

Figure 1 shows the framework of a decision-making method. From the perspective of evaluation data, the evaluation information provided by experts participates in the decision-making of complex product concept schemes in various forms of expression. Firstly, based on IFS, various forms of evaluation information are unified to eliminate the influence of data with large differences on the overall evaluation results. Secondly, combined with the prospect theory, the prospect decision matrix is represented in the form of intuitionistic fuzzy numbers. Thirdly, the GRA is used to calculate the subjective index weight, the CRITIC method is used to calculate the objective index weight, and the combination weighting is used to balance the mutual influence between the subjective and objective weights, so as to overcome the limitations of the subjective and objective single-evaluation method in the scheme evaluation. Finally, combined with the evidence reasoning theory, the optimal scheme of a comprehensive prospect is found. The specific steps are as follows:
Step 1: Taking the attribute values of the expert evaluation in three forms—precise number, interval number, and natural language variable—as the research object, the evaluation information is standardized and unified based on IFS;
Step 2: The intuitionistic fuzzy prospect value function is constructed for the decision criterion of the conceptual design scheme, and the prospect transformation of the decision information is completed;
Step 3: Aiming at the technical and economic objectives of the product, the GRA method and the CRITIC method are used to calculate the subjective and objective weights of the evaluation indicators, and the combination weighting is performed;
Step 4: According to the decision evidence of the design scheme and its comprehensive weights, based on the Dempster combination rule, the basic probability distribution of all the evidence is synthesized, and, finally, the comprehensive prospect evaluation result is obtained and the conceptual design scheme is optimized.

3.2. Intuitionistic Fuzzy Unification of Evaluation Information

As we all know, the evaluation of conceptual schemes relies on the background and subjective experience of experts, which leads to the ambiguity of the evaluation environment. The actual scheme evaluation problem contains quantitative attributes and qualitative attributes. When industry experts give the evaluation information of the design scheme under a certain criterion based on experience and professional knowledge, the expression of the information presents diversity. Quantitative attributes may be expressed as precise numbers, interval numbers, etc., and are all non-negative numbers. Qualitative attributes may be described in natural language variables. Intuitionistic fuzzy sets can unify the three types of evaluation information. The degree of affirmation and negation of the expert to the scheme is expressed by the membership degree and non-membership degree of the IFS, respectively. In the evaluation process, due to the different attribute types and measurement units of the evaluation value, it is necessary to standardize the three types of evaluation information for comparison and calculation.
Suppose the feasible scheme set of conceptual design is F = f i i = 1 , 2 , , m , the evaluation criterion of experts for feasible schemes is E = e j j = 1 , 2 , , n . The evaluation criteria reflect the decision-making team’s assessment of the technical feasibility, input costs, and benefits of the product; therefore, it is divided into technical and economic types, which are recorded as eB and eC, respectively. According to the evaluation value aij given by experts under the evaluation criterion ej for the scheme fi, the initial decision matrix A = [ a i j ] m × n is constructed. Assuming that the attribute value aij is normalized to a i j ¯ , the initial decision matrix is unified by information to obtain the intuitionistic fuzzy decision matrix B = [ b i j ] m × n , b i j = ( μ i j , ν i j ) .

3.2.1. Evaluation Information Expressed by Exact Number

When the evaluation value aij is a positive exact number, the corresponding evaluation criterion subset is expressed as EP, e j E P . At this time, the standardization of the evaluation value is:
a i j ¯ = a i j     min a j max a j     min a j e j e B e P max a j     a i j max a j     min a j e j e C e P
In the equation, max a j = max a i j i = 1 , 2 , , m , min a j = min a i j i = 1 , 2 , , m , 0 a i j ¯ 1 .
Through Equation (2), a i j ¯ is transformed into bij, and the intuitionistic fuzzy decision matrix of the conceptual design scheme is constructed.
μ i j = a i j ¯ , ν i j = 1 a i j ¯
Equation (2) indicates that the expert group members fully believe that the conceptual design scheme fi evaluates the attribute ej as μ i j and because π i j = 1 μ i j ν i j = 0 , the expert does not have any hesitation in the evaluation.

3.2.2. Interval Number and Evaluation Information Expressed using Linguistic Variables

(1)
When the evaluation value aij is a positive interval number, it is expressed as a i j = [ a i j L , a i j R ] , 0 a i j L a i j R , and the corresponding evaluation criterion subset is expressed as EI. At this time, after the evaluation interval number is normalized, it is a i j ¯ = [ a ¯ i j L , a ¯ i j R ] .
a ¯ i j L = a i j L     min a j L max a j R     min a j L e j e B e I max a j R     a i j R max a j R     min a j L e j e C e I , a ¯ i j R = a i j R     min a j L max a j R     min a j L e j e B e I max a j R     a i j L max a j R     min a j L e j e C e I
In the equation, max a j R = max a i j R i = 1 , 2 , , m , min a j L = min a i j L i = 1 , 2 , , m , 0 a i j L ¯ a i j R ¯ 1 ;
(2)
When the evaluation value aij is a linguistic variable, the subset of evaluation criteria of the conceptual design scheme is expressed as EL. Define L = l t t = 1 , 2 , , T as the set of evaluation linguistic variables, and satisfy the orderliness. When s > t, L s L t . ‘ ’ means ‘better than’. When the evaluation value is a i j = [ a i j l L , a i j l R ] , a i j l R a i j l L , this paper takes the seven-level language variable set as the standard and uses the two-level ratio method [37] to quantify the uncertain evaluation language variable as a i j l = [ a i j L , a i j R ] . At this time, the evaluation language variable is normalized to a i j ¯ = [ a ¯ i j L , a ¯ i j R ] .
a ¯ i j L = a i j L min a j L max a j R min a j L , a ¯ i j R = a i j R min a j L max a j R min a j L
In the equation, max a j R = max a i j R i = 1 , 2 , , m , min a j L = min a i j L i = 1 , 2 , , m , 0 a i j L ¯ a i j R ¯ 1 .
When e j E I E L , the intuitionistic fuzzy decision matrix of evaluation information expressed by the interval number and linguistic variable can be calculated using Equation (5).
μ i j = a ¯ i j L , ν i j = 1 a ¯ i j R
The above formula shows that experts believe that the evaluation of the conceptual design scheme fi on the criterion ej is μ i j at least, not more than 1 ν i j , and the hesitation degree is π i j = 1 μ i j ν i j = a ¯ i j R a ¯ i j L .

3.3. Prospect Transformation of Evaluation Information

The expert team discusses the expectations of various options after they are put on the market. Aiming at the evaluation criterion ej of the conceptual design scheme, the corresponding target vector G = [ g o j ] 1 × n is given. Then, the decision matrix of the conceptual design scheme and the target vector constitute the decision-augmented matrix A o = [ a k j ] ( m + 1 ) × n , k = 0 , 1 , 2 , , m .
The reference point vector is o = [ o j ] 1 × n = [ b 0 j ] 1 × n , j = 1 , 2 , , n .
Let two intuitionistic fuzzy numbers be x = ( μ x , ν x ) , y = ( μ y , ν y ) , the intuitionistic fuzzy distance between bij and oj is shown in Equation (6).
D I F ( b i j , o j ) = ( 1 max ( L , H ) , min ( L , H ) ) , L = min ( μ i j , μ j o ) max ( μ i j , μ j o ) , H = min ( 1 ν i j , 1 ν j o ) max ( 1 ν i j , 1 ν j o )
The prospect theory uses the value function to reflect the relationship between the result and the expectation, which is the gain and loss relative to the reference point of each evaluation criterion. The value function of the prospect theory is constructed by intuitionistic fuzzy distance. The intuitionistic fuzzy prospect value function pij of the conceptual design scheme fi to the evaluation criterion ej is obtained by Equation (7), and the prospect decision matrix of the conceptual design scheme is obtained as P = [ p i j ] m × n , p i j = ( μ i j p , ν i j p ) .
p i j = ( D I F ( b i j , o j ) ) α , b i j o j δ ( D I F ( b i j , o j ) ) β , b i j < o j
where b i j o j represents the scheme benefit corresponding to each criterion evaluated by the expert team; b i j < o j represents the scheme loss; α and β are the attitude coefficients of the expert for the scheme risk, and the larger the coefficient, the more inclined the decision maker is to take risks; δ is the avoidance coefficient of the expert for the prediction loss of the scheme; δ > 1 represents the loss sensitivity of the decision maker.

3.4. The Determination of Weights

In the decision-making problem of the complex product conceptual design scheme, the determination of index weight has an important influence on the final evaluation results. Especially when there are many evaluation attributes, it is difficult for decision makers to directly give the attribute weights; therefore, it is necessary to clarify the weight of the evaluation index to determine the best plan that best meets the overall expectations.

3.4.1. Determination of Subjective Weight

Considering that the technical evaluation index has certain subjectivity, the gray correlation analysis method can characterize the correlation between complex technical factors; therefore, the gray correlation analysis method is used to calculate the correlation degree between the evaluation indexes of the concept scheme, and the subjective weight of the evaluation index is obtained.
The expert team proposes a subjective evaluation value for the technical indicators as a reference sequence S 0 = ( s 0 ( 1 ) , s 0 ( 1 ) , s 0 ( n ) ) . A comparison sequence is constructed for the evaluation of n technical indexes of m conceptual design schemes, as shown in Equation (8).
S 1 = ( s 1 ( 1 ) , s 1 ( 1 ) , s 1 ( n ) ) S i = ( s i ( 1 ) , s i ( 1 ) , s i ( n ) ) S m = ( s m ( 1 ) , s m ( 1 ) , s m ( n ) )
According to Equation (9), the absolute difference, the maximum and minimum absolute difference between the reference sequence, and the comparison sequence are calculated.
Δ 0 i ( k ) = s 0 ( k ) s i ( k ) Δ min = min i min k s 0 ( k ) s i ( k ) Δ max = max i max k s 0 ( k ) s i ( k )
Then, the correlation coefficient of the reference sequence S0 to the comparison sequence Si in the kth concept scheme sample is:
τ ( s 0 ( k ) , s i ( k ) ) = Δ min + λ Δ max Δ 0 i + λ Δ max
where λ ( 0 , 1 ) is the resolution coefficient, which is used to adjust the degree of contrast between technical indicators, and the median value is generally 0.5.
The gray correlation degree of the jth technical evaluation index is shown in Equation (11).
r j = 1 n k = 1 n τ ( s 0 ( k ) , s i ( k ) )
The gray correlation degree is normalized, and the subjective weight of the evaluation index of the conceptual design scheme is obtained according to Equation (12).
ω j = r j j = 1 m r j

3.4.2. Determination of Objective Weight

CRITIC is an objective weighting method superior to the entropy weight method and the standard deviation method. It comprehensively measures the objective weight of indicators based on the contrast strength between different conceptual design schemes and the conflict between evaluation indicators.
For the objective evaluation matrix, composed of the conceptual design scheme and evaluation index, the positive and negative elements after data standardization are shown in Equation (13):
c i j + = c i j     min ( c i j ) max ( c i j )     min ( c i j ) , c i j 0 c i j = max ( c i j )     c i j max ( c i j )     min ( c i j ) , c i j 0
The information-carrying capacity and contrast of the evaluation index are set as G j , ρ j , respectively. Equation (14) is used to calculate the contrast and contradiction of the evaluation index.
G j = ρ j i = 1 m ( 1 r i j ) ρ j = i = 1 m ( c i j     c i j ¯ ) m     1
where r i j is the correlation coefficient between the evaluation indexes i and j, and the Pearson correlation coefficient is used, which is the linear correlation coefficient.
According to Equation (15), the objective weight of the evaluation index of the conceptual design scheme is obtained.
ω j = G j j = 1 n G j

3.4.3. Subjective and Objective Combination Weight

On the basis of subjective weights, objective weights are integrated to reduce the inconsistency of weights caused by different weighting methods, realize the balance in the process of weighting evaluation indicators, and reduce the conflict between subjective and objective weights.
In this paper, the GRA and CRITIC methods are used to obtain the subjective and objective weight vectors of multiple independent evaluation indexes and construct any linear combination, as shown in Equation (16).
ω = j = 1 N ε j ω j
In order to obtain a better index weight vector, the objective function is established as shown in Equation (17) with the goal of minimizing the deviation.
min j = 1 n ε j ω j T ω i 2
In order to obtain the optimal comprehensive weight value, according to the optimal performance optimization criterion, the optimal first-order derivative condition of the objective function is obtained as Equation (18).
j = 1 n ε j ω i ω j T
Let ε = ε 1 , ε 2 be a linear combination coefficient, Equation (18) is equivalently transformed into a system of linear equations:
ω 1 ω 1 T ω 1 ω 2 T ω 2 ω 1 T ω 2 ω 2 T ε 1 ε 2 = ω 1 ω 1 T ω 2 ω 2 T
The optimized combination coefficient is calculated and normalized:
ε 1 = ε 1 / ( ε 1 + ε 2 ) ε 2 = ε 2 / ( ε 1 + ε 2 )
The comprehensive weight of technical and economic evaluation indexes of the conceptual design scheme is ω j = ε 1 ω s T + ε 2 ω c T .

3.5. Discrimination of Comprehensive Prospect of the Scheme

The conceptual design scheme regards the intuitionistic fuzzy prospect value function of the decision criterion as evidence, and uses the evidence reasoning theory to aggregate the intuitionistic fuzzy prospect value of all decision attributes.
According to the expert’s judgment on whether the evaluation index meets the expectation, the prospect level of the decision attribute is divided into two categories: Q 1 = ( μ p , ν p ) = ( 1 , 0 ) , Q 2 = ( μ p , ν p ) = ( 0 , 1 ) . Q1 indicates that the expert believes that the evaluation index has fully met the expectation, and Q2 indicates that the expert believes that it has not met the expectation at all. Among them, the prospect value of the scheme to the decision criterion is expressed by Equation (20).
W ( e j ( f i ) ) = ( Q q , η q , i j ) , q = 1 , 2
where η q , i j denotes the prospect confidence of the decision criterion under the prospect level; and η 1 , i j = μ i j p , η 2 , i j = ν i j p . If q = 1 2 η q , i j = 1 , that is μ i j p + ν i j p = 1 , π i j p = 1 μ i j p ν i j p = 0 , the expert believes that the decision making under the evaluation criteria does not hesitate. If q = 1 2 η q , i j < 1 , indicating that experts believe that the prospect value of the scheme under the evaluation criteria is uncertain, η Q , i j = 1 q = 1 2 η q , i j = π i j p .
z q , i j represents the basic probability distribution of the jth evidence decision in the prospect level of the scheme, and z Q , i j represents the degree to which all the evidence decisions of the scheme are not allocated after synthesis. The calculation formula is shown in Equation (21).
z q , i j = ω j η q , i j , j = 1 , 2 , , n z Q , i j = 1 q = 1 2 z q , i j = 1 ω j q = 1 2 η q , i j
Set z ¯ Q , i j = 1 ω j ,   z ˜ Q , i j = ω j η Q , i j , then z ¯ Q , i j + z ˜ Q , i j = z Q , i j .
z q , i J ( j ) is the probability density, which represents the degree of the prior evidence decision of the scheme in the prospect level. z Q , i J ( j ) is the residual probability density, which represents the degree of the prior evidence decision of the scheme that is not allocated after the combination. The recursive formula is shown in Equation (22).
z q , i J ( j + 1 ) = K J ( j + 1 ) z q , i J ( j ) z q , i ( j + 1 ) + z Q , i J ( j ) z q , i ( j + 1 ) + z q , i J ( j ) z Q , i ( j + 1 ) z ˜ Q , i J ( j + 1 ) = K J ( j + 1 ) z ˜ Q , i J ( j ) z ˜ Q , i ( j + 1 ) + z ¯ Q , i J ( j ) z ˜ Q , i ( j + 1 ) + z ˜ Q , i J ( j ) z ¯ Q , i ( j + 1 ) z ¯ Q , i J ( j + 1 ) = K J ( j + 1 ) z ¯ Q , i J ( j ) z ¯ Q , i ( j + 1 ) z Q , i J ( j + 1 ) = z ˜ Q , i ( j + 1 ) + z ¯ Q , i ( j + 1 ) , j = 1 , 2 , , n 1
In Equation (22), K J ( j + 1 ) = 1 q = 1 2 t = 1 , t q 2 z q , i J ( j ) z t , i ( j + 1 ) 1 = 1 z 1 , i J ( j ) z 2 , i ( j + 1 ) z 2 , i ( j ) z 1 , i J ( j + 1 ) 1 .
The comprehensive prospect value of the conceptual design scheme can be calculated by (23).
P ( f i ) = ( μ i p , ν i p ) = ( η 1 , i , η 2 , i ) , η h , i = z q , i J ( n ) 1 z ¯ Q , i J ( n ) , h = 1 , 2
U ( f i ) = ( μ i p ν i p ) is the scoring function of the comprehensive prospect value, which represents the net support degree of the conceptual design scheme. The larger the value, the higher the satisfaction degree of the decision maker. V ( f i ) = ( μ i p + ν i p ) is the exact function of the comprehensive prospect value, which indicates the accuracy of the conceptual design scheme reflecting the membership degree. In the case of the same score function value, the larger the exact function value is, the higher the comprehensive prospect value is.

4. Case Study

The experimental processing of the spindle sleeve hole of aviation shell parts and the steam generator tube plate of a nuclear power plant needs to be completed by a deep-hole CNC machine tool. This kind of machine tool needs to provide sufficient rigidity to meet the requirements of high precision. It is mainly divided into three parts: the workpiece device, the drilling mechanism, and the chipremoval system. According to the product design requirements obtained by patent mining [38], the chipremoval system of the machine tool is innovatively improved, and four conceptual design schemes are constructed, as shown in Figure 2.
The f1-Electromagnetic chip removal system includes an automatic suction device, filter, cleaning roller, cleaning plate, cleaning magnetic, sewage collection box, debris collection box, and other components. The f2-Vibration chip removal system includes an automatic suction device, filter, vibration motor, filter plate, spring, diversion block, and other components. The f3-Flap chip removal system includes an automatic suction device, filter, horizontal plate, cover plate, motor, extension plate, rotating shaft, and other components. The f4-Chain plate chip removal system includes an automatic suction device, rolling filter, motor, chain plate, sprocket, magnetic strip, lifting frame, sewage collection box, chip collection box, and other components. The evaluation model proposed in this paper is used to make a decision on the conceptual design scheme of the deep-hole CNC machine tool in the case and tries to select the optimal conceptual design scheme from the perspective of its technical expectation and economic satisfaction.

4.1. Prospect Transformation of Evaluation Data

According to the product characteristics and design requirements of the machine tool chipremoval system, the evaluation index system of the product conceptual design scheme is established, and these indexes are divided into two categories: technical and economic. The refined indexes are appropriately deleted, added, and merged, and the nine evaluation indexes of this paper are determined. e1e6 is the technical evaluation index, e7e9 is the economic evaluation index, and the detailed indexes and evaluation criteria are shown in Figure 3.
The decision value of the index in the decision process mainly comes from the early stage of product design and the simulation analysis of the previous generation of products. The initial decision evaluation information of the conceptual scheme of the machine tool cooling and chip-removal system includes three data expression types, exact number, interval number, and natural language, as shown in Table 1. Among them, motion feasibility e1, structural stiffness e2, manufacturing cost e7, and revenue e8 are accurately expressed. Manufacturing complexity e3, assembly performance e4, portability e5, and scalability e6 are expressed in natural language. The development time e9 is expressed as an interval number.
According to Equations (1)–(5), the three types of evaluation data are standardized and unified, and the intuitionistic fuzzy unified decision matrix and reference point vector are obtained by combining the target vector.
G = [ 2.5 1.3 [ L o w , A v e r a g e ] [ A v e r a g e , H i g h ] [ A v e r a g e , H i g h ] [ A v e r a g e , H i g h ] 1000 1000 165 168 ] B = ( 0.701 , 0.299 ) ( 0.799 , 0.201 ) ( 0.286 , 0.143 ) ( 0 , 0.666 ) ( 0.334 , 0 ) ( 0.286 , 0.143 ) ( 0.495 , 0.505 ) ( 0.301 , 0.699 ) ( 0.941 , 0 ) ( 0 , 1 ) ( 0 , 1 ) ( 0.286 , 0.143 ) ( 0.334 , 0.333 ) ( 0.334 , 0.333 ) ( 0.286 , 0.429 ) ( 0.804 , 0.196 ) ( 0 , 1 ) ( 0.824 , 0.118 ) ( 1 , 0 ) ( 0.657 , 0.343 ) ( 0.286 , 0.429 ) ( 0.334 , 0 ) ( 0.334 , 0.333 ) ( 0.572 , 0 ) ( 1 , 0 ) ( 0.452 , 0.548 ) ( 0.441 , 0.441 ) ( 0.479 , 0.521 ) ( 0.494 , 0.506 ) ( 0.857 , 0 ) ( 0.667 , 0 ) ( 0 , 0.666 ) ( 0 , 0.429 ) ( 0 , 1 ) ( 1 , 0 ) ( 0 , 0.882 ) o = [ ( 0.906 , 0.094 ) ( 0.767 , 0.233 ) ( 0 , 0.714 ) ( 0.334 , 0.333 ) ( 0.334 , 0.333 ) ( 0.286 , 0.429 ) ( 0.888 , 0.112 ) ( 0.132 , 0.868 ) ( 0.294 , 0.265 ) ]
According to Equations (6) and (7), the prospect decision matrix of the conceptual design scheme is calculated.
P = ( 0.608 , 0.646 ) ( 0.059 , 0.792 ) ( 0.673 , 0 ) ( 0.573 , 0 ) ( 0 , 0.7 ) ( 0 , 0.611 ) ( 0.098 , 0.212 ) ( 0.602 , 0.168 ) ( 0.311 , 0.359 ) ( 0.25 , 0 ) ( 0.25 , 0 ) ( 0.673 , 0 ) ( 0 , 0.575 ) ( 0 , 0.575 ) ( 0 , 0.374 ) ( 0.282 , 0.857 ) ( 0.25 , 0 ) ( 0.311 , 0.404 ) ( 0.125 , 0.917 ) ( 0.407 , 0.555 ) ( 0.743 , 0 ) ( 0 , 0.7 ) ( 0 , 0.575 ) ( 0.475 , 0.543 ) ( 0.146 , 0.901 ) ( 0.738 , 0.168 ) ( 0.856 , 0.349 ) ( 0.161 , 0.177 ) ( 0.907 , 0.210 ) ( 0.743 , 0 ) ( 0.38 , 0.544 ) ( 0.573 , 0 ) ( 0.068 , 0 ) ( 0.25 , 0 ) ( 0.883 , 0.168 ) ( 0.015 , 0 )

4.2. The Determination of Weights

The expert team put forward the subjective evaluation value as the reference sequence for nine evaluation indexes of four machine tool chipremoval system design schemes. These include 10 teachers in mechanical college, 30 students majoring in mechanical design and automation, and 25 students majoring in mechanical engineering. The average value of the evaluation value of technical indicators is taken as the comparison sequence of the design scheme, as shown in Table 2.
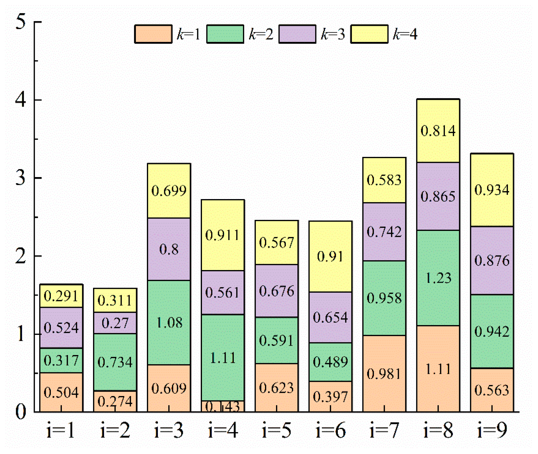
The absolute difference between the reference sequence and the comparison sequence is calculated according to Equation (9), as shown in Figure 4.
According to Equations (10) and (11), the correlation coefficient of the reference sequence to the comparison sequence in each conceptual scheme sample is calculated, and the gray correlation degree of each technical evaluation index is r = {0.718, 0.780, 0.555, 0.692, 0.622, 0.642, 0.554, 0.503, 0.536}. Finally, the subjective weight of the evaluation index of the conceptual design scheme is ωs = {0.1282, 0.1392, 0.0990, 0.1235, 0.1110, 0.1145, 0.0989, 0.0898, 0.0957}.
The objective weight is calculated according to the contrast strength and conflict degree between the evaluation indexes, as shown in Figure 5.
According to Equations (16)–(20) and the subjective and objective weight of the evaluation index, the combination coefficient is calculated as ε 1 = 0.1659 , ε 2 = 0.8341 . The comprehensive weight of each evaluation index is ωj = {0.1551, 0.1678, 0.0925, 0.1446, 0.1042, 0.1227, 0.0835, 0.0600, 0.0696}.

4.3. Comprehensive Decision of the Design Scheme

According to the evidence reasoning algorithm, the comprehensive weight of each evaluation index and the prospect decision matrix are aggregated using Equations (21)–(24), and the comprehensive prospect value of the conceptual design scheme is obtained as follows:
P ( f 1 ) = ( 0.3153 , 0.4338 ) P ( f 2 ) = ( 0.2032 , 0.2886 ) P ( f 3 ) = ( 0.3308 , 0.5728 ) P ( f 4 ) = ( 0.4438 , 0.1514 )
Thus, the scoring function value of each conceptual design scheme is U ( f 1 ) = 0.1185 , U ( f 2 ) = 0.0854 , U ( f 3 ) = 0.2420 , U ( f 4 ) = 0.2924 . The exact value is V ( f 1 ) = 0.7491 , V ( f 2 ) = 0.4918 , V ( f 3 ) = 0.9036 , V ( f 4 ) = 0.5952 . The results show that the sequence of the conceptual design feasibility scheme of the deep-hole machine tool is f 4 f 2 f 1 f 3 ; therefore, f4 is the first choice among the four design schemes. In this scheme, the rolling filter is located directly below the automatic suction device, and the magnetic suction strip is arranged at the periphery of the chain plate, which can double-filter the chips. Through the roller lifting frame, the height of the chip-removal device body can be adjusted, the deep-hole processing machine tool with different heights can be adapted, and the application scope is more extensive.

4.4. Comparison and Discussion

In order to verify the effectiveness of the proposed method, we compare it with other methods, namely, the importance level of design criteria obtained in the form of rough numbers, the VIKOR method with interval number expansion, and the comprehensive method based on the AHP to determine weights alongside the TOPSIS. Based on the case study of the text, the rough number and AHP methods are used to calculate the weight of the decision index of the conceptual design scheme of the machine tool, as shown in Figure 6.
It can be seen from Figure 6 that the overall trend of the weight results obtained by the three methods is the same, which verifies the feasibility and effectiveness of the proposed method. Through the analysis of the weight value, it can be found that the use of rough set theory may lead to missing some information due to approximation. The use of the AHP subjective weight determination method leads to a large weight distribution of economic indicators. When determining the attribute weight, this method not only considers the subjectivity of technical indicators but also considers the objectivity of economic indicators. The result of attribute weight determination is more comprehensive and reasonable, which is more conducive to decision-making; therefore, the ranking of design scheme decisions calculated using the method proposed in this paper is different from the other two methods. The scheme calculated using the RS + VIKOR method is ranked as f 2 f 4 f 1 f 3 because the conceptual design scheme f2 is based on two important technical indicators of motion feasibility and structural stiffness and is the least preferred for the portability of low-importance technical indicators. In addition, for moderately important design indicators, such as scalability, manufacturing complexity, manufacturing cost, and revenue forecast, the index value belongs to the intermediate value. The ranking of the schemes calculated using the AHP + TOPSIS method is f 4 f 1 f 2 f 3 . This comprehensive method mainly focuses on the economic attributes of the design features. It is concluded that f4 is the decision of the best design scheme, which is consistent with the optimal scheme obtained using the method in this paper.
The conceptual design decision-making method proposed in this paper is not a design standard but enables designers to consider the importance of design indicators in innovative design and improved design, so as to develop alternative methods for conceptual design selection processes that may be useful for products under certain requirements. In the early stage of product design, many design attributes and design requirements are not clear enough. When the design team is hesitant about some design schemes, it can easily find the desired design scheme using this method.
However, the method of this paper also has some limitations. It may be that the final selection of the design scheme is more satisfied with the technical expectations of the experts, and the many demands of the users cannot be fully satisfied from the technical point of view. And experts may not have enough time and knowledge reserved for a certain evaluation criterion, so experts cannot perfectly judge all evaluation criteria fairly. Similarly, due to practical reasons, technical and economic evaluation indicators have different weights, and the conceptual needs without considering economic conditions cannot be perfectly realized technically. These types of constraints may slightly affect the evaluation results.

5. Conclusions

This paper proposes a new method for selecting complex product conceptual design schemes and provides support for multi-attribute decision-making problems. Considering nine evaluation indexes, the method is applied to the selection of a conceptual design scheme for a deep-hole machine tool. The main conclusions are as follows:
(1)
The decision-making framework of a product conceptual design scheme is proposed. The framework integrates the evaluation information of three expressions: exact number, interval number, and natural language, and evaluates the scheme subjectively and objectively from the perspective of economic and technical evaluations. It is comprehensive and can be applied to the evaluation of conceptual design schemes of different complex products;
(2)
Effective transformation of various forms of evaluation information. Based on intuitionistic fuzzy sets, the evaluation information is unified and the prospect decision matrix of the evaluation information is constructed;
(3)
Reasonable weighting of subjective and objective evaluation indicators. GRA is used to calculate the weight of subjective indicators, the CRITIC method is used to calculate the weight of objective indicators, and combination weighting is used to balance the interaction between subjective and objective weights.
This method helps decision makers to understand the evaluation information of various expression forms more effectively, so as to improve the accuracy of decision making. In addition, technical and economic evaluation indicators can be considered from both subjective and objective aspects to provide conceptual decision-making for other intelligent products and personalized customization equipment in innovative design and transformation design.
In future work, the technical evaluation index should reduce the subjective factors as much as possible and be more objective and accurate. For example, motion feasibility can be measured using modeling and simulation to provide high-quality scheme inputs for subsequent design. In addition, design features such as geometric accuracy, interoperability, and carbon emissions can be included in the evaluation criteria, making the design rationality more extensive.

Author Contributions

Conceptualization, X.G.; Methodology, J.H. and X.G.; Validation, X.Y.; Formal analysis, J.H.; Investigation, X.Y.; Data curation, J.H.; Writing—original draft, J.H.; Writing—review and editing, Z.H.; Supervision, Y.L. All authors have read and agreed to the published version of the manuscript.

Funding

This research was funded by the Natural Science Foundation of China, grant number 51575443, and the Key Scientific Research Program of the Shaanxi Provincial Education Department, China, grant number 20JY047.

Data Availability Statement

Not applicable.

Conflicts of Interest

The authors declare no conflict of interest.

References

  1. Yan, L.; Hongwei, L.; Li Mengdie, L.; Ping, Y. Review on research of design thinking. J. Mech. Eng. 2017, 53, 1–20. [Google Scholar]
  2. Guo, X.; Liu, Y.; Zhao, W.; Wang, J.; Chen, L. Supporting resilient conceptual design using functional decomposition and conflict resolution. Adv. Eng. Inform. 2021, 48, 101262. [Google Scholar] [CrossRef]
  3. Abbasi, D.; Ashrafi, M.; Ghodsypour, S.H. A Multi Objective-BSC Model for New Product Development Project Portfolio Selection. Expert Syst. Appl. 2020, 162, 113757. [Google Scholar] [CrossRef]
  4. Zavadskas, E.K.; Turskis, Z. Multiple criteria decision making (MCDM) methods in economics: An overview. Technol. Econ. Dev. Econ. 2011, 17, 397–427. [Google Scholar] [CrossRef]
  5. Jing, L.; Li, Z.; Peng, X.; Li, J.; Jiang, S. A Relative Equilibrium Decision Approach for Concept Design Through Fuzzy Cooperative Game Theory. J. Comput. Inf. Sci. Eng. 2019, 19, 041001. [Google Scholar] [CrossRef]
  6. Ma, J.; Harstvedt, J.D.; Jaradat, R.; Smith, B. Sustainability driven multi-criteria project portfolio selection under uncertain decision-making environment. Comput. Ind. Eng. 2020, 140, 106236. [Google Scholar] [CrossRef]
  7. Jing, L.; Yao, J.; Gao, F.; Li, J.; Peng, X.; Jiang, S. A rough set-based interval-valued intuitionistic fuzzy conceptual design decision approach with considering diverse customer preference distribution. Adv. Eng. Inform. 2021, 48, 101284. [Google Scholar] [CrossRef]
  8. Zhang, Z.-J.; Gong, L.; Jin, Y.; Xie, J.; Hao, J. A quantitative approach to design alternative evaluation based on data-driven performance prediction. Adv. Eng. Inform. 2017, 32, 52–65. [Google Scholar] [CrossRef]
  9. Ayağ, Z. An integrated approach to concept evaluation in a new product development. J. Intell. Manuf. 2016, 27, 991–1005. [Google Scholar] [CrossRef]
  10. Tiwari, V.; Jain, P.K.; Tandon, P. Product design concept evaluation using rough sets and VIKOR method. Adv. Eng. Inform. 2016, 30, 16–25. [Google Scholar] [CrossRef]
  11. Wang, M.; Liang, D.; Xu, Z.; Ye, D. The evaluation of mobile health apps: A psychological perception-based probabilistic linguistic belief thermodynamic multiple attribute decision making method. J. Oper. Res. Soc. 2021, 72, 2596–2610. [Google Scholar] [CrossRef]
  12. Guo, S.; Gao, Y.; Guo, J.; Yang, Z.; Du, B.; Li, Y. A multi-stage group decision making for strategic supplier selection based on prospect theory with interval-valued q-rung orthopair fuzzy linguistic sets. J. Intell. Fuzzy Syst. 2021, 40, 9855–9871. [Google Scholar] [CrossRef]
  13. Qi, J.; Hu, J.; Peng, Y.-H. Integrated rough VIKOR for customer-involved design concept evaluation combining with customers’ preferences and designers’ perceptions. Adv. Eng. Informatics 2020, 46, 101138. [Google Scholar] [CrossRef]
  14. Jing, L.; Zhan, Y.; Li, Q.; Peng, X.; Li, J.; Gao, F.; Jiang, S. An integrated product conceptual scheme decision approach based on Shapley value method and fuzzy logic for economic-technical objectives trade-off under uncertainty. Comput. Ind. Eng. 2021, 156, 107281. [Google Scholar] [CrossRef]
  15. Bin, X.; Qiang, L.X. Product Information Modeling Based on Polychromatic Sets and Scheme Optimum Selection for Conceptual Design. J. Phys. Conf. Ser. 2019, 1187, 052016. [Google Scholar]
  16. Govindan, K.; Jepsen, M.B. ELECTRE: A comprehensive literature review on methodologies and applications. Eur. J. Oper. Res. 2016, 250, S0377221715006529. [Google Scholar] [CrossRef]
  17. Song, W.; Ming, X.; Wu, Z. An integrated rough number-based approach to design concept evaluation under subjective environments. J. Eng. Des. 2013, 24, 320–341. [Google Scholar] [CrossRef]
  18. Feng, Y.; Hong, Z.; Tian, G.; Li, Z.; Tan, J.; Hu, H. Environmentally Friendly MCDM of Reliability-based Product Optimisation Combining DEMATEL-based ANP, Interval Uncertainty and Vlse Kriterijumska Optimizacija Kompromisno Resenje (VIKOR). Inf. Sci. 2018, 442, 128–144. [Google Scholar] [CrossRef]
  19. Nguyen, H.T.; Dawal SZ, M.; Nukman, Y.; Aoyama, H. A hybrid approach for fuzzy multi-attribute decision making in machine tool selection with consideration of the interactions of attributes. Expert Syst. Appl. 2014, 41, 3078–3090. [Google Scholar] [CrossRef]
  20. Tian, G.; Zhang, H.; Feng, Y.; Wang, D.; Peng, Y.; Jia, H. Green decoration materials selection under interior environment characteristics: A grey-correlation based hybrid MCDM method. Renew. Sustain. Energy Rev. 2018, 81, 682–692. [Google Scholar] [CrossRef]
  21. Ferreira, I.M.; Gil, P.J. Application and performance analysis of neural networks for decision support in conceptual design. Expert Syst. Appl. 2012, 39, 7701–7708. [Google Scholar] [CrossRef]
  22. Alcantud, J.C.R. Complemental Fuzzy Sets: A Semantic Justification of q-Rung Orthopair Fuzzy Sets. IEEE Trans. Fuzzy Syst. 2023, 1–9. [Google Scholar] [CrossRef]
  23. Ali, W.; Shaheen, T.; Haq, I.U.; Toor, H.G.; Akram, F.; Jafari, S.; Uddin, M.Z.; Hassan, M.M. Multiple-Attribute Decision Making Based on Intuitionistic Hesitant Fuzzy Connection Set Environment. Symmetry 2023, 15, 778. [Google Scholar] [CrossRef]
  24. Chou, J.R. A linguistic evaluation approach for universal design. Inf. Sci. 2012, 190, 76–94. [Google Scholar] [CrossRef]
  25. Wu, Y.W.; Zhou, X.Y.; Hu, Z.; Cai, Q.; Yang, S.G.; Lu, Q. Site selection of crop straw cogeneration project under intuitionistic fuzzy environment: A four-stage decision framework from the perspective of circular economy. J. Clean. Prod. 2023, 395, 136431. [Google Scholar] [CrossRef]
  26. Islam, M.M.; Arakawa, M. Integrated multi-criteria group decision-making model for supplier selection in an uncertain environment. Cogent Eng. 2022, 9, 2079220. [Google Scholar] [CrossRef]
  27. Chai, N.; Zhou, W.; Jiang, Z. Sustainable supplier selection using an intuitionistic and interval-valued fuzzy MCDM approach based on cumulative prospect theory. Inf. Sci. 2023, 626, 710–737. [Google Scholar] [CrossRef]
  28. Xueqing, Y.; Xuejing, Z.; Zhihua, Z.; Hongfei, M.; Huzhen, L.; Yaran, W.; Huan, Z.; Shijun, Y.; Shen, W. A novel multilevel decision-making evaluation approach for the renewable energy heating systems: A case study in China. J. Clean. Prod. 2023, 390, 135934. [Google Scholar]
  29. Li, F.; Zhu, Q.; Liang, L. Allocating a Fixed Cost based on a DEA-Game Cross Efficiency Approach. Expert Syst. Appl. 2017, 96, 196–207. [Google Scholar] [CrossRef]
  30. Chen, L.; Wang, W.; Huang, B. A negotiation methodology for multidisciplinary collaborative product design. Adv. Eng. Inform. 2014, 28, 469–478. [Google Scholar] [CrossRef]
  31. Ayağ, Z.; Samanlioglu, F. Fuzzy AHP-GRA approach to evaluating energy sources: A case of Turke. Int. J. Energy Sect. Manag. 2020, 14, 40–58. [Google Scholar] [CrossRef]
  32. Téllez, A.A.; Ortiz, L.; Ruiz, M.; Narayanan, K.; Varela, S. Optimal Location of Reclosers in Electrical Distribution Systems Considering Multicriteria Decision Through the Generation of Scenarios Using the Montecarlo Method. IEEE Access 2023, 11, 68853–68871. [Google Scholar] [CrossRef]
  33. Baylis, K.; Zhang, G.; McAdams, D.A. Product family platform selection using a Pareto front of maximum commonality and strategic modularity. Res. Eng. Des. 2018, 29, 547–563. [Google Scholar] [CrossRef]
  34. Jiang, S.; Jing, L.; Peng, X.; Chai, H.; Li, J. Conceptual design conceptual scheme optimization based on integrated design objectives. Concurr. Eng. 2018, 26, 231–250. [Google Scholar] [CrossRef]
  35. Zhou, L.; Cui, H.; Mi, X.; Zhang, J.; Kang, B. A novel conflict management considering the optimal discounting weights using the BWM method in Dempster-Shafer evidence theory. Inf. Sci. 2022, 612, 536–552. [Google Scholar] [CrossRef]
  36. Zhao, K.; Li, L.; Chen, Z.; Sun, R.; Yuan, G.; Li, J. A survey: Optimization and applications of evidence fusion algorithm based on Dempster–Shafer theory. Appl. Soft Comput. J. 2022, 124, 109075. [Google Scholar]
  37. Li, R.J. Fuzzy Multiple Criteria Decision Making Theory and Application; Science Press: Beijing, China, 2002; pp. 139–152. [Google Scholar]
  38. Hao, J.; Gao, X.; Liu, Y.; Han, Z. Acquisition Method of User Requirements for Complex Products Based on Data Mining. Sustainability 2023, 15, 7566. [Google Scholar] [CrossRef]
Figure 1. Decision-making framework of product conceptual design scheme.
Figure 1. Decision-making framework of product conceptual design scheme.
Symmetry 15 01570 g001
Figure 2. Conceptual design scheme diagram.
Figure 2. Conceptual design scheme diagram.
Symmetry 15 01570 g002aSymmetry 15 01570 g002b
Figure 3. Evaluation indicators.
Figure 3. Evaluation indicators.
Symmetry 15 01570 g003
Figure 4. Absolute difference between reference sequence and comparison sequence.
Figure 4. Absolute difference between reference sequence and comparison sequence.
Symmetry 15 01570 g004
Figure 5. Objective weight of evaluation index.
Figure 5. Objective weight of evaluation index.
Symmetry 15 01570 g005
Figure 6. The comparison of the weight results of the evaluation index.
Figure 6. The comparison of the weight results of the evaluation index.
Symmetry 15 01570 g006
Table 1. Initial evaluation information.
Table 1. Initial evaluation information.
e1/%e2/%e3e4e5e6e7 (¥)e8 (¥)e9 (Day)
f12.42121.3107[Average, Very high][Low, Average][Average, Very high][Average, Very high]11,2521037156–158
f22.15201.0494[Average, Very high][Average, High][Average, High][Average, High]10,266971142–145
f32.53631.2641[Average, High][Average, Very high][Average, High][High, Highest]96421070171–175
f42.33621.2108[Very high, Highest][High, Very high][Low, Average][Low, High]12,8291190186–190
Table 2. Evaluation index of design scheme.
Table 2. Evaluation index of design scheme.
S0S1S2S3S4S5S6S7S8S9
f1−0.1330.370.140.480.010.490.260.860.970.43
f2−0.2510.070.480.830.860.340.240.710.980.69
f3−0.0160.510.250.780.550.660.640.730.850.86
f4−0.1470.140.160.550.760.420.760.440.670.79
Disclaimer/Publisher’s Note: The statements, opinions and data contained in all publications are solely those of the individual author(s) and contributor(s) and not of MDPI and/or the editor(s). MDPI and/or the editor(s) disclaim responsibility for any injury to people or property resulting from any ideas, methods, instructions or products referred to in the content.

Share and Cite

MDPI and ACS Style

Hao, J.; Gao, X.; Yang, X.; Liu, Y.; Han, Z. A Decision-Making Method for Design Schemes Based on Intuitionistic Fuzzy Sets and Prospect Theory. Symmetry 2023, 15, 1570. https://doi.org/10.3390/sym15081570

AMA Style

Hao J, Gao X, Yang X, Liu Y, Han Z. A Decision-Making Method for Design Schemes Based on Intuitionistic Fuzzy Sets and Prospect Theory. Symmetry. 2023; 15(8):1570. https://doi.org/10.3390/sym15081570

Chicago/Turabian Style

Hao, Juan, Xinqin Gao, Xueqi Yang, Yong Liu, and Zhoupeng Han. 2023. "A Decision-Making Method for Design Schemes Based on Intuitionistic Fuzzy Sets and Prospect Theory" Symmetry 15, no. 8: 1570. https://doi.org/10.3390/sym15081570

APA Style

Hao, J., Gao, X., Yang, X., Liu, Y., & Han, Z. (2023). A Decision-Making Method for Design Schemes Based on Intuitionistic Fuzzy Sets and Prospect Theory. Symmetry, 15(8), 1570. https://doi.org/10.3390/sym15081570

Note that from the first issue of 2016, this journal uses article numbers instead of page numbers. See further details here.

Article Metrics

Back to TopTop