Solitary Solutions for the Stochastic Fokas System Found in Monomode Optical Fibers
Abstract
1. Introduction
2. Traveling Wave Equation for SFS
3. Exact Solutions of SFS
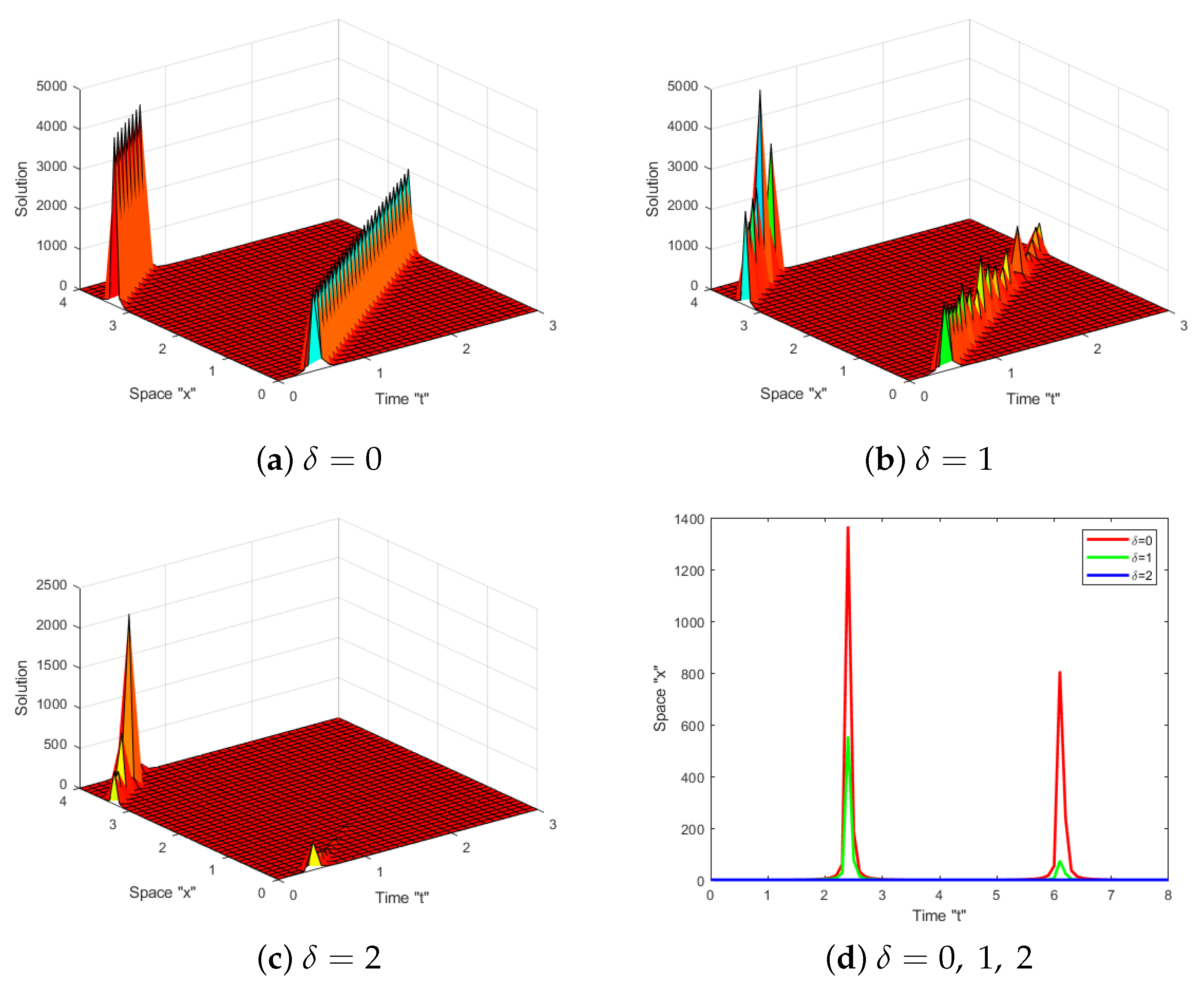
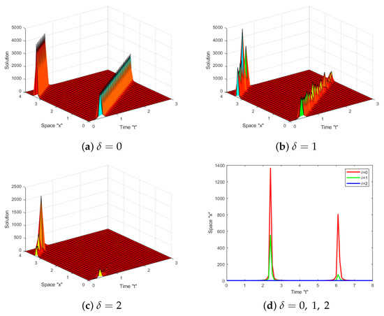
4. Impacts of Noise
5. Conclusions
Author Contributions
Funding
Data Availability Statement
Acknowledgments
Conflicts of Interest
References
- Lu, B. The first integral method for some time fractional differential equations. J. Math Anal. Appl. 2012, 395, 684–693. [Google Scholar] [CrossRef]
- Wazwaz, A.M. The sine-cosine method for obtaining solutions with compact and noncompact structures. Appl. Math. Comput. 2004, 159, 559–576. [Google Scholar] [CrossRef]
- He, J.H.; Wu, X.H. Exp-function method for nonlinear wave equations. Chaos Solitons Fractals 2006, 30, 700–708. [Google Scholar] [CrossRef]
- Yan, Z.L. Abunbant families of Jacobi elliptic function solutions of the dimensional integrable Davey-Stewartson-type equation via a new method. Chaos Solitons Fractals 2003, 18, 299–309. [Google Scholar] [CrossRef]
- Mohammed, W.W.; Al-Askar, F.M.; Cesarano, C. The Analytical Solutions of the Stochastic mKdV Equation via the Mapping Method. Mathematics 2022, 10, 4212. [Google Scholar] [CrossRef]
- Jiong, S. Auxiliary equation method for solving nonlinear partial differential equations. Phys. Lett. A 2003, 309, 387–396. [Google Scholar]
- Al-Askar, F.M.; Cesarano, C.; Mohammed, W.W. Abundant Solitary Wave Solutions for the Boiti-Leon-Manna-Pempinelli Equation with M-Truncated Derivative. Axioms 2023, 12, 466. [Google Scholar] [CrossRef]
- Arnous, A.H.; Mirzazadeh, M. Application of the generalized Kudryashov method to Eckhaus equation. Nonlinear Anal Model. Control. 2016, 21, 577–586. [Google Scholar] [CrossRef]
- Khan, K.; Akbar, M.A. The exp(-ϕ(ς))-expansion method for finding travelling wave solutions of Vakhnenko-Parkes equation. Int. J. Dyn. Syst. Differ. Equ. 2014, 5, 72–83. [Google Scholar]
- Al-Askar, F.M.; Cesarano, C.; Mohammed, W.W. The Influence of White Noise and the Beta Derivative on the Solutions of the BBM Equation. Axioms 2023, 12, 447. [Google Scholar] [CrossRef]
- Preethi, G.T.; Magesh, N.; Gatti, N.B. An Application of Conformable Fractional Differential Transform Method for Smoking Epidemic Model. Math. Comput. 2022, 415, 399–411. [Google Scholar]
- Veeresha, P.; Prakasha, D.G.; Magesh, N.; Christopher, A.J.; Sarwe, D.U. Solution for fractional potential KdV and Benjamin equations using the novel technique. J. Ocean Eng. Sci. 2021, 6, 265–275. [Google Scholar] [CrossRef]
- Elmandouh, A.; Fadhal, E. Bifurcation of Exact Solutions for the Space-Fractional Stochastic Modified Benjamin-Bona-Mahony Equation. Fractal Fract. 2022, 6, 718. [Google Scholar] [CrossRef]
- Alhamud, M.; Elbrolosy, M.; Elmandouh, A. New Analytical Solutions for Time-Fractional Stochastic (3 + 1)-Dimensional Equations for Fluids with Gas Bubbles and Hydrodynamics. Fractal Fract. 2023, 7, 16. [Google Scholar] [CrossRef]
- Wang, M.L.; Li, X.Z.; Zhang, J.L. The (G′/G)-expansion method and travelling wave solutions of nonlinear evolution equations in mathematical physics. Phys. Lett. A 2008, 372, 417–423. [Google Scholar] [CrossRef]
- Zhang, H. New application of the (G′/G)-expansion method. Commun. Nonlinear Sci. Numer. Simul. 2009, 14, 3220–3225. [Google Scholar] [CrossRef]
- Hydon, P.E. Symmetry Methode for differential Aquations; Cambridge University Press: Cambridge, UK, 2002. [Google Scholar]
- Arnold, L. Random Dynamical Systems; Springer: New York, NY, USA, 1998. [Google Scholar]
- Imkeller, P.; Monahan, A.H. Conceptual stochastic climate models. Stoch. Dyn. 2002, 2, 311–326. [Google Scholar] [CrossRef]
- Al-Askar, F.M.; Cesarano, C.; Mohammed, W.W. The Solitary Solutions for the Stochastic JimboMiwa Equation Perturbed by White Noise. Symmetry 2023, 15, 1153. [Google Scholar] [CrossRef]
- Al-Askar, F.M.; Cesarano, C.; Mohammed, W.W. Multiplicative Brownian Motion Stabilizes the Exact Stochastic Solutions of the Davey–Stewartson Equations. Symmetry 2022, 14, 2176. [Google Scholar] [CrossRef]
- Mohammed, W.W.; Cesarano, C. The soliton solutions for the (4 + 1)-dimensional stochastic Fokas equation. Math. Methods Appl. Sci. 2023, 46, 7589–7597. [Google Scholar] [CrossRef]
- Fokas, A.S. On the simplest integrable equation in 2 + 1. Inverse Probl. 1994, 10, L19. [Google Scholar] [CrossRef]
- Shulman, E.I. On the integrability of equations of Davey Stewartson type. Teor. Mat. Fiz. 1983, 56, 131–136. [Google Scholar] [CrossRef]
- Wang, K.J. Abundant exact soliton solutions to the Fokas system. Optik 2022, 249, 168265. [Google Scholar] [CrossRef]
- Tarla, S.; Ali, K.K.; Sun, T.C.; Yilmazer, R.; Osman, M.S. Nonlinear pulse propagation for novel optical solitons modeled by Fokas system in monomode optical fibers. Results Phys. 2022, 36, 1053. [Google Scholar] [CrossRef]
- Wang, K.J.; Liu, J.H.; Wu, J. Soliton solutions to the Fokas system arising in monomode optical fibers. Optik 2022, 251, 168319. [Google Scholar] [CrossRef]
- Zhang, P.L.; Wang, K.J. Abundant optical soliton structures to the Fokas system arising in monomode optical fibers. Open Phys. 2022, 20, 493–506. [Google Scholar] [CrossRef]
- Rao, J.; Mihalache, D.; Cheng, Y.; He, J. Lump-soliton solutions to the Fokas system. Phys. Lett. A 2019, 383, 1138–1142. [Google Scholar] [CrossRef]
- Kaplan, M.; Akbulut, A.; Alqahtani, R.T. New Solitary Wave Patterns of the Fokas System in Fiber Optics. Mathematics 2023, 11, 1810. [Google Scholar] [CrossRef]
- Bhrawy, A.H.; Abdelkawy, M.A.; Kumar, S.; Johnson, S.; Biswas, A. Solitons and other solutions to quantum Zakharov–Kuznetsov equation in quantum magneto-plasmas. Indian J. Phys. 2013, 87, 455–463. [Google Scholar] [CrossRef]





Disclaimer/Publisher’s Note: The statements, opinions and data contained in all publications are solely those of the individual author(s) and contributor(s) and not of MDPI and/or the editor(s). MDPI and/or the editor(s) disclaim responsibility for any injury to people or property resulting from any ideas, methods, instructions or products referred to in the content. |
© 2023 by the authors. Licensee MDPI, Basel, Switzerland. This article is an open access article distributed under the terms and conditions of the Creative Commons Attribution (CC BY) license (https://creativecommons.org/licenses/by/4.0/).
Share and Cite
Mohammed, W.W.; Al-Askar, F.M.; Cesarano, C. Solitary Solutions for the Stochastic Fokas System Found in Monomode Optical Fibers. Symmetry 2023, 15, 1433. https://doi.org/10.3390/sym15071433
Mohammed WW, Al-Askar FM, Cesarano C. Solitary Solutions for the Stochastic Fokas System Found in Monomode Optical Fibers. Symmetry. 2023; 15(7):1433. https://doi.org/10.3390/sym15071433
Chicago/Turabian StyleMohammed, Wael W., Farah M. Al-Askar, and Clemente Cesarano. 2023. "Solitary Solutions for the Stochastic Fokas System Found in Monomode Optical Fibers" Symmetry 15, no. 7: 1433. https://doi.org/10.3390/sym15071433
APA StyleMohammed, W. W., Al-Askar, F. M., & Cesarano, C. (2023). Solitary Solutions for the Stochastic Fokas System Found in Monomode Optical Fibers. Symmetry, 15(7), 1433. https://doi.org/10.3390/sym15071433

